Composition, Distribution, and Attribution of Hydrochemistry in Drainage Systems in the North of Tianshan Mountains, China
Abstract
1. Introduction
2. Background of the Study Area
2.1. Geographical and Climatic Environment
2.2. Hydrology and Geology
3. Research Methods and Data Sources
3.1. Research Methods
3.2. Data Sources
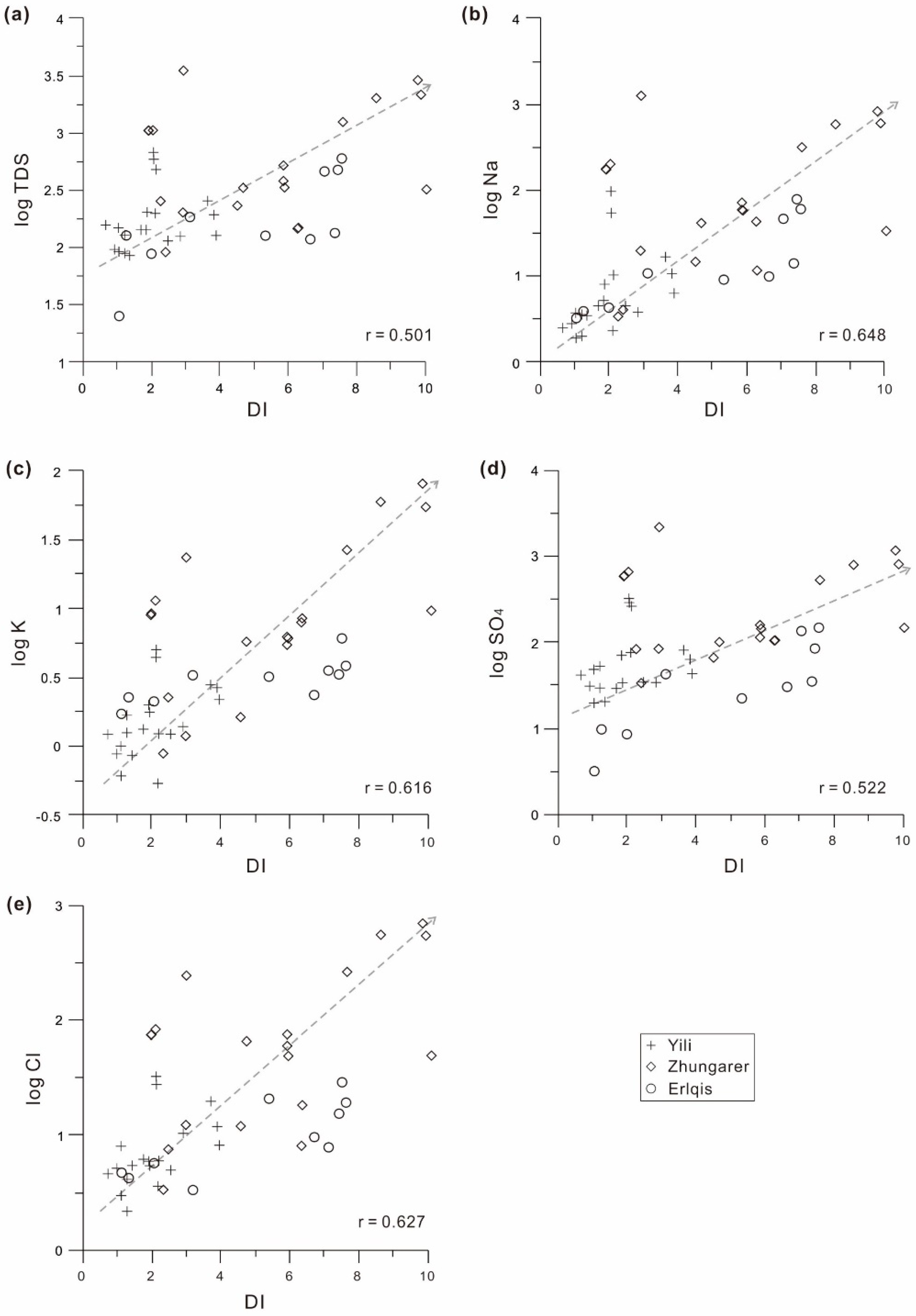
4. Results
4.1. Composition and Distribution of Major Ions in Natural Water in the Study Area
4.2. Regional Differences
5. Discussion
5.1. Mechanism Controlling the Hydrochemical Compositions of Rivers in the Study Area: Rock Weathering, Climate, or Human Activity?
5.1.1. Input of Atmospheric Precipitation
5.1.2. Impact of Human Activities
5.1.3. Influence of Rock Weathering
5.2. Quantitative Contributions of Different Hydrochemical Sources
5.3. Environmental Factors Influencing the Hydrochemistry in the Study Area
5.3.1. Climatic Factors: Temperature, Precipitation, and Aridity
5.3.2. Hydrological Factors: Runoff
5.3.3. Lithological Geology
5.3.4. Physical Erosion
6. Conclusions
Supplementary Materials
Author Contributions
Funding
Data Availability Statement
Acknowledgments
Conflicts of Interest
References
- Dixon, J.L.; Heimsath, A.M.; Amundson, R. The critical role of climate and saprolite weathering in landscape evolution. Earth Surf. Process. Landforms 2009, 34, 1507–1521. [Google Scholar] [CrossRef]
- Norton, K.P.; von Blanckenburg, F. Silicate weathering of soil-mantled slopes in an active Alpine landscape. Geochim. Cosmochim. Acta 2010, 74, 5243–5258. [Google Scholar] [CrossRef]
- Berner, E.K.; Berner, R.A. Global Environment: Water, Air and Geochemical Cycles; Prenticeton Press: Prenticeton, NJ, USA, 1996; p. 376. [Google Scholar] [CrossRef]
- Ludwig, W.; Probst, J.-L.; Kempe, S. Predicting the oceanic input of organic carbon by continental erosion. Glob. Biogeochem. Cycles 1996, 10, 23–41. [Google Scholar] [CrossRef]
- Liu, Z.; Dreybrodt, W.; Wang, H. A new direction in effective accounting for the atmospheric CO2 budget: Considering the combined action of carbonate dissolution, the global water cycle and photosynthetic uptake of DIC by aquatic organisms. Earth-Sci. Rev. 2010, 99, 162–172. [Google Scholar] [CrossRef]
- Goudie, A.S.; Viles, H.A. Weathering and the global carbon cycle: Geomorphological perspectives. Earth-Sci. Rev. 2012, 113, 59–71. [Google Scholar] [CrossRef]
- Liu, Z. New progress and prospects in the study of rock-weathering-related carbon sinks. Chin. Sci. Bull. 2012, 57, 95–102. [Google Scholar] [CrossRef]
- Zeng, S.; Liu, Z.; Kaufmann, G. Sensitivity of the global carbonate weathering carbon-sink flux to climate and land-use changes. Nat. Commun. 2019, 10, 5749. [Google Scholar] [CrossRef]
- Raymo, M.E.; Ruddiman, W.F.; Froelich, P.N. Influence of late cenozoic mountain-building on ocean geochemical cycles. Geology 1988, 16, 649–653. [Google Scholar] [CrossRef]
- Raymo, M.E.; Ruddiman, W.F. Tectonic forcing of late Cenozoic climate. Nature 1992, 359, 117–122. [Google Scholar] [CrossRef]
- Quade, J.; Roe, L.; DeCelles, P.G.; Ojha, T.P. The Late Neogene 87Sr/86Sr Record of Lowland Himalayan Rivers. Science 1997, 276, 1828–1831. [Google Scholar] [CrossRef]
- Gislason, S.R.; Oelkers, E.H.; Eiriksdottir, E.S.; Kardjilov, M.I.; Gisladottir, G.; Sigfusson, B.; Snorrason, A.; Elefsen, S.; Hardardottir, J.; Torssander, P.; et al. Direct evidence of the feedback between climate and weathering. Earth Planet Sci. Lett. 2009, 277, 213–222. [Google Scholar] [CrossRef]
- Kump, L.R.; Brantley, S.L.; Arthur, M.A. Chemical weathering, atmospheric CO2, and climate. Annu. Rev. Earth Planet. Sci. 2000, 28, 611–667. [Google Scholar] [CrossRef]
- West, A.J.; Galy, A.; Bickle, M. Tectonic and climatic controls on silicate weathering. Earth Planet Sci. Lett. 2005, 235, 211–228. [Google Scholar] [CrossRef]
- Molnar, P.; Boos, W.R.; Battisti, D.S. Orographic controls on climate and paleoclimate of Asia: Thermal and mechanical roles for the Tibetan plateau. Annu. Rev. Earth Planet. Sci. 2010, 38, 77–102. [Google Scholar] [CrossRef]
- Gaillardet, J.; Dupré, B.; Louvat, P.; Allègre, C. Global silicate weathering and CO2 consumption rates deduced from the chemistry of large rivers. Chem. Geol. 1999, 159, 3–30. [Google Scholar] [CrossRef]
- Liu, Z.; Dreybrodt, W.; Liu, H. Atmospheric CO2 sink: Silicate weathering or carbonate weathering? Appl. Geochem. 2011, 26, S292–S294. [Google Scholar] [CrossRef]
- White, A.F.; Brantley, S.L. The effect of time on the weathering of silicate minerals: Why do weathering rates differ in the laboratory and field? Chem. Geol. 2003, 202, 479–506. [Google Scholar] [CrossRef]
- Cai, W.-J.; Guo, X.; Chen, C.-T.A.; Dai, M.; Zhang, L.; Zhai, W.; Lohrenz, S.E.; Yin, K.; Harrison, P.J.; Wang, Y. A comparative overview of weathering intensity and HCO3− flux in the world’s major rivers with emphasis on the Changjiang, Huanghe, Zhujiang (Pearl) and Mississippi Rivers. Cont. Shelf Res. 2008, 28, 1538–1549. [Google Scholar] [CrossRef]
- Wu, W.; Zheng, H.; Yang, J.; Luo, C.; Zhou, B. Chemical weathering, atmospheric CO2 consumption, and the controlling factors in a subtropical metamorphic-hosted watershed. Chem. Geol. 2013, 356, 141–150. [Google Scholar] [CrossRef]
- Lyu, X.; Tao, Z.; Gao, Q.; Peng, H.; Zhou, M. Chemical weathering and riverine carbonate system driven by human activities in a Subtropical Karst Basin, South China. Water 2018, 10, 1524. [Google Scholar] [CrossRef]
- Zhang, J.; Huang, W.; Létolle, R.; Jusserand, C. Major element chemistry of the Huanghe (Yellow River), China-weathering processes and chemical fluxes. J. Hydrol. 1995, 168, 173–203. [Google Scholar] [CrossRef]
- Chen, J.; Wang, F.; Xia, X.; Zhang, L. Major element chemistry of the Changjiang (Yangtze River). Chem. Geol. 2002, 187, 231–255. [Google Scholar] [CrossRef]
- Yang, S.; Jung, H.-S.; Li, C. Two unique weathering regimes in the Changjiang and Huanghe drainage basins: Geochemical evidence from river sediments. Sediment. Geol. 2004, 164, 19–34. [Google Scholar] [CrossRef]
- Wu, L.; Huh, Y.; Qin, J.; Du, G.; van Der Lee, S. Chemical weathering in the Upper Huang He (Yellow River) draining the eastern Qinghai-Tibet Plateau. Geochim. Cosmochim. Acta 2005, 69, 5279–5294. [Google Scholar] [CrossRef]
- Xu, Z.; Liu, C.-Q. Chemical weathering in the upper reaches of Xijiang River draining the Yunnan–Guizhou Plateau, Southwest China. Chem. Geol. 2007, 239, 83–95. [Google Scholar] [CrossRef]
- Wu, W.; Xu, S.; Yang, J.; Yin, H. Silicate weathering and CO2 consumption deduced from the seven Chinese rivers originating in the Qinghai-Tibet Plateau. Chem. Geol. 2008, 249, 307–320. [Google Scholar] [CrossRef]
- Wang, B.; Lee, X.-Q.; Yuan, H.-L.; Zhou, H.; Cheng, H.-G.; Cheng, J.-Z.; Zhou, Z.-H.; Xing, Y.; Fang, B.; Zhang, L.-K.; et al. Distinct patterns of chemical weathering in the drainage basins of the Huanghe and Xijiang River, China: Evidence from chemical and Sr-isotopic compositions. J. Asian Earth Sci. 2012, 59, 219–230. [Google Scholar] [CrossRef]
- Windley, B.F.; Alexeiev, D.; Xiao, W.; Kröner, A.; Badarch, G. Tectonic models for accretion of the Central Asian Orogenic Belt. J. Geol. Soc. 2007, 164, 31–47. [Google Scholar] [CrossRef]
- Buckman, S.; Aitchison, J.C. Tectonic Evolution of Paleozoic Terranes in West Junggar, Xinjiang, NW China; Geological Society London Special Publications: London, UK, 2004; pp. 101–129. [Google Scholar] [CrossRef]
- Zhou, T.; Yuan, F.; Fan, Y.; Zhang, D.; Cooke, D.; Zhao, G. Granites in the Sawuer region of the west Junggar, Xinjiang Province, China: Geochronological and geochemical characteristics and their geodynamic significance. Lithos 2008, 106, 191–206. [Google Scholar] [CrossRef]
- Fang, X.; Shi, Z.; Yang, S. Development of Tianshan loess and Gurbantunggut Desert and related aridification of Northern Xinjiang. Chin. Sci. Bull. 2002, 47, 540–545. [Google Scholar] [CrossRef]
- Zhu, B.; Yu, J.; Qin, X.; Rioual, P.; Liu, Z.; Zhang, Y.; Jiang, F.; Mu, Y.; Li, H.; Ren, X.; et al. The significance of mid-latitude rivers for weathering rates and chemical fluxes: Evidence from northern Xinjiang rivers. J. Hydrol. 2013, 486, 151–174. [Google Scholar] [CrossRef]
- Zhu, B.; Yang, X.; Rioual, P.; Qin, X.; Liu, Z.; Xiong, H.; Yu, J. Hydrogeochemistry of three watersheds (the Erlqis, Zhungarer and Yili) in northern Xinjiang, NW China. Appl. Geochem. 2011, 26, 1535–1548. [Google Scholar] [CrossRef]
- Zhu, B.; Yu, J.; Qin, X.; Rioual, P.; Xiong, H. Climatic and geological factors contributing to the natural water chemistry in an arid environment from watersheds in northern Xinjiang, China. Geomorphology 2012, 153–154, 102–114. [Google Scholar] [CrossRef]
- Zhu, B.; Yu, J.; Qin, X.; Rioual, P.; Zhang, Y.; Liu, Z.; Mu, Y.; Li, H.; Ren, X.; Xiong, H. Identification of rock weathering and environmental control in arid catchments (Northern Xinjiang) of Central Asia. J. Asian Earth Sci. 2013, 66, 277–294. [Google Scholar] [CrossRef]
- Zhu, B.; Yu, J.; Rioual, P. Geochemical signature of natural water recharge in the Jungar Basin and its response to climate. Water Environ. Res. 2016, 88, 79–86. [Google Scholar] [CrossRef]
- Zhu, B.; Wang, X.; Rioual, P. Multivariate indications between environment and ground water recharge in a sedimentary drainage basin in northwestern China. J. Hydrol. 2017, 549, 92–113. [Google Scholar] [CrossRef]
- Liu, Y.-L.; Luo, K.-L.; Lin, X.-X.; Gao, X.; Ni, R.-X.; Wang, S.-B.; Tian, X.-L. Regional distribution of longevity population and chemical characteristics of natural water in Xinjiang, China. Sci. Total. Environ. 2014, 473–474, 54–62. [Google Scholar] [CrossRef]
- Ma, L. Geological Atlas of China; Geological Press: Beijing, China, 2002. [Google Scholar]
- Şengör, A.M.C.; Natal’In, B.A.; Burtman, V.S. Evolution of the Altaid tectonic collage and Palaeozoic crustal growth in Eurasia. Nature 1993, 364, 299–307. [Google Scholar] [CrossRef]
- Xinjiang Bureau of Hydrology and Water Resources. Overview of Surface Water Resources in Xinjiang; China Water Conservancy and Hydropower Press: Beijing, China, 2011.
- Anderson, S.P.; Blum, A.E. Controls on chemical weathering: Small- and large-scale perspectives. Chem. Geol. 2003, 202, 191–193. [Google Scholar] [CrossRef]
- White, A.F.; Blum, A.E.; Schulz, M.S.; Vivit, D.V.; Stonestrom, D.A.; Larsen, M.; Murphy, S.F.; Eberl, D. Chemical Weathering in a Tropical Watershed, Luquillo Mountains, Puerto Rico: I. Long-Term Versus Short-Term Weathering Fluxes. Geochim. Cosmochim. Acta 1998, 62, 209–226. [Google Scholar] [CrossRef]
- White, A.F.; Schulz, M.S.; Stonestrom, D.A.; Vivit, D.V.; Fitzpatrick, J.; Bullen, T.D.; Maher, K.; Blum, A.E. Chemical weathering of a marine terrace chronosequence, Santa Cruz, California. Part II: Solute profiles, gradients and the comparisons of contemporary and long-term weathering rates. Geochim. Cosmochim. Acta 2009, 73, 2769–2803. [Google Scholar] [CrossRef]
- Buss, H.L.; Lara, M.C.; Moore, O.W.; Kurtz, A.C.; Schulz, M.S.; White, A.F. Lithological influences on contemporary and long-term regolith weathering at the Luquillo Critical Zone Observatory. Geochim. Cosmochim. Acta 2017, 196, 224–251. [Google Scholar] [CrossRef]
- Meybeck, M. Global chemical weathering of surficial rocks estimated from river dissolved loads. Am. J. Sci. 1987, 287, 401–428. [Google Scholar] [CrossRef]
- Meybeck, M.; Helmer, R. The quality of rivers: From pristine stage to global pollution. Glob. Planet. Chang. 1989, 1, 283–309. [Google Scholar] [CrossRef]
- Meybeck, M. Global Occurrence of Major Elements in Rivers: Surface and Ground Water, Weathering, and Soils; Elsevier-Pergamon: Oxford, UK, 2004; pp. 207–223. [Google Scholar]
- White, A.F.; Schulz, M.S.; Lawrence, C.R.; Vivit, D.V.; Stonestrom, D.A. Long-term flow-through column experiments and their relevance to natural granitoid weathering rates. Geochim. Cosmochim. Acta 2017, 202, 190–214. [Google Scholar] [CrossRef]
- Pawellek, F.; Frauenstein, F.; Veizer, J. Hydrochemistry and isotope geochemistry of the upper Danube River. Geochim. Cosmochim. Acta 2002, 66, 3839–3853. [Google Scholar] [CrossRef]
- Cai, X.; Qian, Y.; Zhang, Q. A study on the hydrochemical of Barcol Salt Lake in Xinjiang and evaluation of Artemia bar-kolica survival environment. J. Agri. Coll. 1994, 17, 15–20. [Google Scholar]
- Zheng, X.; Liu, J. The composition and origin of salt lake brines in Xinjiang. Sci. Geogr. Sin. 1996, 16, 115–123. [Google Scholar] [CrossRef]
- Liu, J. Application of by geochemistry model to the determination of mineralization of sandstone type uranium ore. J. Mineral. Petrol. 2004, 24, 65–70. [Google Scholar] [CrossRef]
- Liu, Z.; Liu, S.; Wang, G. Water-rock interaction simulation of groundwater in the plain of Manasi River Basin, Xinjiang. Acta Geol. Sin. 2006, 80, 885–892. [Google Scholar] [CrossRef]
- Wu, B. Study on Groundwater System Evolvement Law and Water Environment Effect of Shihezi City. Doctoral Thesis, Xinjiang Agricultural University, Urumqi, China, 2007. [Google Scholar]
- Liu, C.; Yang, J.; Chen, X. Quality of irrigation water and soil salinity of the Manas river valley in Xinjiang. Soils 2008, 40, 288–292. [Google Scholar] [CrossRef]
- Chen, G.; Cai, N.; Liu, J. Study on chemical field characteristics of underground brine in north depression area of Luobupo in Xinjiang Uygur Automous Region. Shandong Land Resour. 2013, 29, 23–26. [Google Scholar]
- Li, Q.; Zhou, J.; Ji, Y. Water-rock interaction simulation of groundwater in north Santang lake of Hami district of Xinjiang. J. Water Resour. Water Eng. 2013, 24, 29–33. [Google Scholar]
- Li, Q. Spatial and Temporal Evolution of Groundwater Quality in the Plain Area of Jungar Basin. Doctoral Thesis, Xingjiang Agricultural University, Urumqi, China, 2014. [Google Scholar]
- Li, Q.; Zhou, J.; Gao, Y. Variations of groundwater quality in 2003–2011 in the plain area of north Xinjiang, China. Earth Sci. Front. 2014, 21, 124–134. [Google Scholar] [CrossRef]
- Li, Q.; Zhou, J.; Gao, Y. Groundwater hydro-geochemistry in Plain of Manasi River Basin, Xinjiang. Geoscience 2015, 29, 238–244. [Google Scholar]
- Wu, J.; Zeng, H.; Ma, L. Analysis on water quality and volume of the baihu lake in the Altay Mountains, Xinjiang. Arid. Zone Res. 2013, 30, 5–9. [Google Scholar]
- Chen, Z.; Du, J.; Zhou, X. Hydrogeochemical changes of mud volcanoes and springs in North Tianshan related to the June 30, 2012 Xinyuan Ms6.6 earthquake. Earthquake 2014, 34, 97–107. [Google Scholar] [CrossRef]
- Ji, Y.; Jia, R.; Zhou, J. Assessment of groundwater quality and pollution in Ili River Valley of Xinjiang. Water Sav. Irrig. 2014, 12, 32–36. [Google Scholar] [CrossRef]
- Abdisalam, J.; Wang, X.; Shi, Y. Variation analysis of the chemical characteristics of surface water in Turpan City. Acta Sci. Circumstantiae 2015, 35, 2481–2486. [Google Scholar] [CrossRef]
- Cheng, F. Evolution of Groundwater Environment and Hydrogeochemical Simulation of Shihezi City. Master’s Thesis, Xinjiang Agricultural University, Urumqi, China, 2015. [Google Scholar]
- Chen, F. Hydrogeochemical simulation of ground water of Shihezi City. Northwest Water Power 2016, 23, 18–22. [Google Scholar] [CrossRef]
- Shao, J. Groundwater Circulation and Evolution Pattern in YiLi-GongNaiSi Valley of Xinjiang Autonomous Region. Master’s Thesis, Chang’an University, Xi’an, China, 2015. [Google Scholar]
- Shao, J.; Li, Y.; Wang, W. Indicative effects of hydrochemistry on groundwater circulation in the Yili River Valley of Xin-jiang. Hydrogeol. Eng. Geol. 2016, 43, 30–35. [Google Scholar] [CrossRef]
- Ye, R. Interaction of Surface Water and Groundwater in Yili-Gongnaisi River Valley. Master’s Thesis, Chang’an University, Xi’an, China, 2015. [Google Scholar]
- Jiang, W.; Zhao, D.; Wang, G. Hydro-geochemical characteristics and formation of groundwater in Tu-Ha Basin, Xinjiang. Geoscience 2016, 30, 825–833. [Google Scholar]
- Wang, H.; Gu, H.; Jiang, J. Hydrochemical charateristics and origin including isotope technique of the river water in the Yili River Basin, Xinjiang. Quat. Sci. 2016, 36, 1383–1392. [Google Scholar] [CrossRef]
- Wei, H.; Wu, J.-K.; Shen, Y.-P.; Zhang, W.; Liu, S.-W.; Zhou, J.-X. Hydrochemical characteristics of snow meltwater and river water during snow-melting period in the headwaters of the Ertis River, Xinjiang. Environ. Sci. 2016, 37, 1345–1352. [Google Scholar] [CrossRef]
- Zeng, Y.; Zhou, J.; Gao, Y. Causes of groundwater pollution and the assessment in Shihezi Area, Xinjiang. J. Arid. Land Resour. Environ. 2016, 30, 197–202. [Google Scholar] [CrossRef]
- Zhu, S.; Zhang, F.; Zhang, H. The seasonal and spatial variations of water chemistry of rivers in EbinurLake Basin. Acta Sci. Circumstantiae 2018, 38, 892–899. [Google Scholar] [CrossRef]
- Jiao, S.; Liu, L.; Sun, T. Hydrological characteristics and the atmospheric carbon sink in the chemical weathering processes of the Sanchahe watershed. Geogr. Res. 2013, 32, 1025–1032. [Google Scholar]
- Li, R.; Zhang, F.; Gao, Y. Surface hydrochemistry characteristics and controlling factors in the Ebinur Lake region during dry and wet seasons. J. Glaciol. Geocryol. 2016, 38, 1394–1403. [Google Scholar] [CrossRef]
- Liu, Y.; Lou, K.; Li, L. Regional differences and geological causes of hydrochemistryof natural water in Xinjiang, China. Sci. Geogr. Sin. 2016, 36, 794–802. [Google Scholar] [CrossRef]
- He, L. Analysis and countermeasures on the present situation of water resources development and utilization in Yili Riv-er Basin. Shaanxi Water Resour. 2019, 14, 49–51. [Google Scholar] [CrossRef]
- Zheng, L. The temporal-Spatial Distribution of Snow Properties in North Xinjiang. Master’s Thesis, Lanzhou University, Lanzhou, China, 2015. [Google Scholar]
- Zhu, B.; Yang, X. The ion chemistry of surface and ground waters in the Taklimakan Desert of Tarim Basin, western China. Chin. Sci. Bull. 2007, 52, 2123–2129. [Google Scholar] [CrossRef]
- Zhang, J.; Takahashi, K.; Wushiki, H.; Yabuki, S.; Xiong, J.-M.; Masuda, A. Water geochemistry of the rivers around the Taklimakan Desert (NW China): Crustal weathering and evaporation processes in arid land. Chem. Geol. 1995, 119, 225–237. [Google Scholar] [CrossRef]
- Shao, Y.; Lou, G.; Wang, J. Hydrochemical characteristics and formation causes of main Ions in water of the Keriya River, Xinjiang. Arid. Zone Res. 2018, 35, 1021–1029. [Google Scholar] [CrossRef]
- Li, W.; Wang, W.; Duan, L. Study of hydro-chemical characteristics and genesis in Kashi Reach of Kizil River Basin in Xin-jiang. South North Water Transf. Water Sci. Technol. 2016, 14, 159–164. [Google Scholar] [CrossRef]
- Sun, Y.; Zhou, J.; Nai, W. Seasonal variation characteristics and causes of surface water chemistry in Kashgar River Basin, Xinjiang. J. Arid. Land Resour. Environ. 2019, 33, 130–136. [Google Scholar] [CrossRef]
- Xiao, J.; Jin, Z.; Wang, J. Geochemistry of trace elements and water quality assessment of natural water within the Tarim River Basin in the extreme arid region, NW China. J. Geochem. Explor. 2014, 136, 118–126. [Google Scholar] [CrossRef]
- Wu, X.; Li, Q.; He, J. Hydrochemical characteristics and inner-year process of upper Heihe River in summer half year. J. Desert Res. 2008, 28, 1190–1196. [Google Scholar]
- Hu, M.; Stallard, R.F.; Edmond, J.M. Major ion chemistry of some large Chinese rivers. Nature 1982, 298, 550–553. [Google Scholar] [CrossRef]
- Li, J.; Zhang, J. Chemical weathering processes and atmospheric CO2 consumption in the yellow river drainage basin. Mar. Geol. Quat. Geol. 2003, 23, 43–49. [Google Scholar] [CrossRef]
- Zhao, L.; Yongji, Z.; Zhang, L. Consumption of atmospheric CO2 via chemical weathering and DIC flux in the Qing-hai-Tibet Plateau major tributaries of the Yellow River. Period. Ocean. Univ. China 2017, 47, 16–26. [Google Scholar] [CrossRef]
- Li, J.; Zhang, J. Variations of solid content and water chemistrty at Nantong Station and weathering processes of the Changjiang Watershed. Resour. Environ. Yangtze Basin 2003, 12, 363–369. [Google Scholar] [CrossRef]
- Sun, M. Silicate Weathering Rate and Its Controlling Factors: The Study from the Different “Small Watershed Systems”. Master’s Thesis, Nanjing University, Nanjing, China, 2018. [Google Scholar]
- Gordeev, V.V.; Martin, J.M.; Sidorov, I.S.; Sidorova, M.V. A reassessment of the Eurasian river input of water, sediment, major elements, and nutrients to the Arctic Ocean. Am. J. Sci. 1996, 296, 664–691. [Google Scholar] [CrossRef]
- Mast, M.A.; Drever, J.I.; Baron, J. Chemical Weathering in the Loch Vale Watershed, Rocky Mountain National Park, Colorado. Water Resour. Res. 1990, 26, 2971–2978. [Google Scholar] [CrossRef]
- Kempe, S. Long-term records of CO2 pressure fluctuations in fresh waters. In Transport of Carbon and Minerals in Major World Rivers; Degens, E.T., Ed.; Scope/Unep Sonderband Heft: Hamburg, Germany, 1982; pp. 91–332. [Google Scholar]
- Stallard, R.F.; Edmond, J.M. Geochemistry of the Amazon: 3. Weathering chemistry and limits to dissolved inputs. J. Geophys. Res. Atmos. 1987, 92, 8293–8302. [Google Scholar] [CrossRef]
- Gaillardet, J.; Dupre, B.; Allegre, C.J.; Négrel, P. Chemical and physical denudation in the Amazon River Basin. Chem. Geol. 1997, 142, 141–173. [Google Scholar] [CrossRef]
- Dalai, T.; Krishnaswami, S.; Sarin, M. Major ion chemistry in the headwaters of the Yamuna river system:: Chemical weathering, its temperature dependence and CO2 consumption in the Himalaya. Geochim. Cosmochim. Acta 2002, 66, 3397–3416. [Google Scholar] [CrossRef]
- Bastia, F.; Equeenuddin, S. Chemical weathering and associated CO2 consumption in the Mahanadi river basin, India. J. Asian Earth Sci. 2018, 174, 218–231. [Google Scholar] [CrossRef]
- Glińska-Lewczuk, K.; Cymes, I. The use of water quality indices (WQI and SAR) for multipurpose assessment of water in dam reservoirs. J. Elementology 2012, 21, 1211–1224. [Google Scholar] [CrossRef]
- Summerfield, M.A.; Hulton, N.J. Natural controls of fluvial denudation in major world drainage basins. J. Geophycial Res. 1994, 99, 13871–13883. [Google Scholar] [CrossRef]
- Han, G.; Liu, C.-Q. Water geochemistry controlled by carbonate dissolution: A study of the river waters draining karst-dominated terrain, Guizhou Province, China. Chem. Geol. 2004, 204, 1–21. [Google Scholar] [CrossRef]
- Wu, W. Hydrochemistry of inland rivers in the north Tibetan Plateau: Constraints and weathering rate estimation. Sci. Total. Environ. 2016, 541, 468–482. [Google Scholar] [CrossRef] [PubMed]
- Yang, X.; Williams, M.A. The ion chemistry of lakes and late Holocene desiccation in the Badain Jaran Desert, Inner Mongolia, China. Catena 2003, 51, 45–60. [Google Scholar] [CrossRef]
- Gibbs, R.J. Mechanisms controlling world water chemistry. Science 1970, 170, 1088–1090. [Google Scholar] [CrossRef]
- White, A.F.; Blum, A.E. Effects of climate on chemical weathering in watersheds. Geochim. Cosmochim. Acta 1995, 59, 1729–1747. [Google Scholar] [CrossRef]
- Zhang, L.; Gao, M. Research on the distribution characteristics of the population in Xinjiang based on GIS. Chin. Agric. Sci. Bull. 2014, 30, 301–307. [Google Scholar]
- Feth, J.H.; Gibbs, R.J. Mechanisms controlling world water chemistry: Evaporation-crystallization process. Science 1971, 172, 870–871. [Google Scholar] [CrossRef] [PubMed]
- Beck, K.; Reuter, J.; Perdue, E. Organic and inorganic geochemistry of some coastal plain rivers of the southeastern United States. Geochim. Cosmochim. Acta 1974, 38, 341–364. [Google Scholar] [CrossRef]
- Millero, F.J. The physical chemistry of seawater. Annu. Rev. Earth Planet. Sci. 1974, 2, 101–150. [Google Scholar] [CrossRef]
- Wu, Y.; Gibson, C. Mechanisms controlling the water chemistry of small lakes in Northern Ireland. Water Res. 1996, 30, 178–182. [Google Scholar] [CrossRef]
- Tang, J.; Xue, H.; Yu, X. The preliminary study on chemical characteristics of precipitation at Mt. Waliguan. Acta Sci. Circumstantian 2000, 20, 420–425. [Google Scholar] [CrossRef]
- White, A.F. Effects of climate on chemical weathering in watersheds underlain by grantoid rocks. Miner. Mag. 1994, 58A, 967–968. [Google Scholar] [CrossRef]
- Huh, Y.; Tsoi, M.-Y.; Zaitsev, A.; Edmond, J.M. The fluvial geochemistry of the rivers of Eastern Siberia: I. tributaries of the Lena River draining the sedimentary platform of the Siberian Craton. Geochim. Cosmochim. Acta 1998, 62, 1657–1676. [Google Scholar] [CrossRef]
- Huh, Y.; Panteleyev, G.; Babich, D.; Zaitsev, A.; Edmond, J.M. The fluvial geochemistry of the rivers of Eastern Siberia: II. Tributaries of the Lena, Omoloy, Yana, Indigirka, Kolyma, and Anadyr draining the collisional/accretionary zone of the Verkhoyansk and Cherskiy ranges. Geochim. Cosmochim. Acta 1998, 62, 2053–2075. [Google Scholar] [CrossRef]
- Huh, Y.; Edmond, J.M. The fluvial geochemistry of the rivers of Eastern Siberia: III. Tributaries of the Lena and Anabar draining the basement terrain of the Siberian Craton and the Trans-Baikal Highlands. Geochim. Cosmochim. Acta 1999, 63, 967–987. [Google Scholar] [CrossRef]
- Riebe, C.S.; Kirchner, J.W.; Finkel, R.C. Erosional and climatic effects on long-term chemical weathering rates in granitic landscapes spanning diverse climate regimes. Earth Planet. Sci. Lett. 2004, 224, 547–562. [Google Scholar] [CrossRef]
- Dinis, P.A.; Garzanti, E.; Hahn, A.; Vermeesch, P.; Cabral-Pinto, M. Weathering indices as climate proxies. A step forward based on Congo and SW African river muds. Earth-Sci. Rev. 2019, 201, 103039. [Google Scholar] [CrossRef]
- Pinet, P.; Souriau, M. Continental erosion and large-scale relief. Tectonics 1988, 7, 563–582. [Google Scholar] [CrossRef]
- Edmond, J.M.; Huh, Y. Chemical Weathering Yields from Basement and Orogenic Terrains in Hot and Cold Climates. Ruddiman W F. Tectonic Uplift and Climate Change; Springer: Boston, MA, USA, 1997; pp. 329–351. [Google Scholar] [CrossRef]
- Riebe, C.S.; Kirchner, J.W.; Granger, D.E. Strong tectonic and weak climatic control of long-term chemical weathering rates. Geology 2001, 29, 511–514. [Google Scholar] [CrossRef]
- Suchet, P.A.; Probst, J. Modelling of atmospheric CO2 consumption by chemical weathering of rocks: Application to the Garonne, Congo and Amazon basins. Chem. Geol. 1993, 107, 205–210. [Google Scholar] [CrossRef]
- Ludwig, W.; Probst, J.-L. River sediment discharge to the oceans; present-day controls and global budgets. Am. J. Sci. 1998, 298, 265–295. [Google Scholar] [CrossRef]
- Bluth, G.J.; Kump, L.R. Lithologic and climatologic controls of river chemistry. Geochim. Cosmochim. Acta 1994, 58, 2341–2359. [Google Scholar] [CrossRef]
- Blum, J.D. The Effect of Late Cenozoic Glaciation and Tectonic Uplift on Silicate Weathering Rates and the Marine 87Sr/86Sr Record. Ruddiman W F. Tectonic Uplift and Climate Change; Springer: Boston, MA, USA, 1997; pp. 259–288. [Google Scholar] [CrossRef]
- Liu, Z.; Dreybrodt, W.; Li, H. Comparison of dissolution rate-determining mechanisms between limestone and dolomite. J. China Univ. Geosci. Earth Sci. 2006, 31, 131–136. [Google Scholar] [CrossRef]
- Guerit, L.; Barrier, L.; Jolivet, M.; Fu, B.; Métivier, F. Denudation intensity and control in the Chinese Tian Shan: New constraints from mass balance on catchment-alluvial fan systems. Earth Surf. Process. Landforms 2015, 41, 1088–1106. [Google Scholar] [CrossRef]
- Yang, J.; Chen, J.; An, Z.; Shields, G.; Tao, X.; Zhu, H.; Ji, J.; Chen, Y. Variations in 87Sr/86Sr ratios of calcites in Chinese loess: A proxy for chemical weathering associated with the East Asian summer monsoon. Palaeogeogr. Palaeoclim. Palaeoecol. 2000, 157, 151–159. [Google Scholar] [CrossRef]
- Yang, J.; Chen, J.; Li, C. Variations in continental weathering intensity over the past 2.5 Ma. Geol. Rev. 2000, 46, 472–480. [Google Scholar] [CrossRef]
- Ren, X.Z. Graphic Expression, MATLAB Implementation and Its Application for Hydrochemistry in Natural Water Bodies; Xi’an Jiaotong University Press: Xi’an, China, 2021. [Google Scholar]
















| Issues Involved | Classification | Reference |
|---|---|---|
| Types of water samples collected | River water (upstream, midstream, downstream, tributaries) | [33,34,35,36,37,38,39,52,53,54,55,56,57,58,59,60,61,62,63,64,65,66,67,68,69,70,71,72,73,74,75,76] |
| Stream water | ||
| Lake water | ||
| Pond water | ||
| Groundwater | ||
| Artificial ditch water | ||
| Basin lithology | Carbonate rocks | [33,34,35,36,37,38,59,60,61,62] |
| Silicate rocks | ||
| Evaporites | ||
| landforms | Orogenic belt | [33,34,35,36,37,38,59,61,62,63] |
| Sedimentary plain | ||
| Environmental/scientific issues and research perspectives | Ionic chemistry, Geochemistry | [33,36,52,54,58,64,66,67,68,69,70,73,74] |
| Chemical weathering | [33,34,36,55,59,76,77] | |
| Water carbon, Carbon cycle | [33] | |
| Hydrology/Water Cycle, Water Quality, Water Environment pollution | [33,34,35,37,38,39,56,57,63,65,71,72,75,77,78,79,80] |
| Regions | Water System/Catchment/River Basin | References |
|---|---|---|
| North of Tianshan Mountains | Yili River System, Erlqis River System, Junggar Water System | [33,34,35,36,38,81] |
| South of Tianshan Mountains | Keliya River Basin | [82,83,84] |
| Yulongkashi River Basin | [82,83] | |
| Keziler River Basin | [82,85] | |
| Kashigarer River Basin | [82,86] | |
| Tarim River Basin | [82,87] | |
| Watersheds around the Tarim Basin | [83] | |
| Hexi Corridor Area | Heihe River Basin | [88] |
| Yellow River basin | The middle and lower reaches of the Yellow River Basin | [89,90] |
| Source Basins of the Qinghai–Tibet Plateau | [91] | |
| the Yellow River near Lanzhou hydrological station | [91] | |
| Yangtze River basin | Yangtze river basin | [23] |
| the Yangtze River near the Nantong Hydrological Station | [92] | |
| Monsoon zone (Anhui Region) | Jiuhuashan Granite Basin | [93] |
| West Siberian | Obi River Basin | [16,94] |
| North America | Loch Vale Basin | [95] |
| Yukon River Basin | [96] | |
| South America | Amazon River Basin | [97,98] |
| India | Yamuna River Basin | [99] |
| Mohanadi River Basin | [100] | |
| Ganges River Basin | [99] | |
| Poland | Northeast Poland Basin | [101] |
| Global | Global average or synthesis | [16,48,102,103] |
Disclaimer/Publisher’s Note: The statements, opinions and data contained in all publications are solely those of the individual author(s) and contributor(s) and not of MDPI and/or the editor(s). MDPI and/or the editor(s) disclaim responsibility for any injury to people or property resulting from any ideas, methods, instructions or products referred to in the content. |
© 2023 by the authors. Licensee MDPI, Basel, Switzerland. This article is an open access article distributed under the terms and conditions of the Creative Commons Attribution (CC BY) license (https://creativecommons.org/licenses/by/4.0/).
Share and Cite
Zhang, J.-X.; Zhu, B.-Q. Composition, Distribution, and Attribution of Hydrochemistry in Drainage Systems in the North of Tianshan Mountains, China. Atmosphere 2023, 14, 1116. https://doi.org/10.3390/atmos14071116
Zhang J-X, Zhu B-Q. Composition, Distribution, and Attribution of Hydrochemistry in Drainage Systems in the North of Tianshan Mountains, China. Atmosphere. 2023; 14(7):1116. https://doi.org/10.3390/atmos14071116
Chicago/Turabian StyleZhang, Jia-Xin, and Bing-Qi Zhu. 2023. "Composition, Distribution, and Attribution of Hydrochemistry in Drainage Systems in the North of Tianshan Mountains, China" Atmosphere 14, no. 7: 1116. https://doi.org/10.3390/atmos14071116
APA StyleZhang, J.-X., & Zhu, B.-Q. (2023). Composition, Distribution, and Attribution of Hydrochemistry in Drainage Systems in the North of Tianshan Mountains, China. Atmosphere, 14(7), 1116. https://doi.org/10.3390/atmos14071116
