Statistics of the Inertial Energy Transfer Range in d-Dimensional Turbulence (2 ≤ d ≤ 3) in a Lagrangian Renormalized Approximation
Abstract
1. Introduction
2. Exact Relations
2.1. Navier–Stokes Equation in d-Dimension with
2.2. Spectral Relations
2.3. Statistics in the Inertial Energy Transfer Ranges of Wave-Vector and Physical Spaces
3. LRA Equations in Integer Dimension
3.1. LRA Equations
3.2. LRA Equations in the IETR
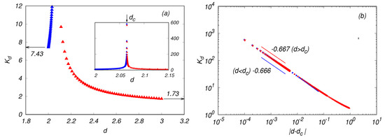
4. Statistics in the IETR for
5. Discussion
Author Contributions
Funding
Institutional Review Board Statement
Informed Consent Statement
Data Availability Statement
Acknowledgments
Conflicts of Interest
Appendix A. Relation between Π d (k) and D LLL (r)
References
- Kaneda, Y. Renormalized expansions in the theory of turbulence with the use of the Lagrangian position function. J. Fluid Mech. 1981, 107, 131–145. [Google Scholar] [CrossRef]
- Kraichnan, R.H. Lagrangian-history closure approximation for turbulence. Phys. Fluids 1965, 8, 575–598, Erratum in Phys. Fluids 1966, 9, 1884. [Google Scholar] [CrossRef]
- Kraichnan, R.H.; Herring, J.R. A strain-based Lagrangian-history turbulence theory. J. Fluid Mech. 1978, 88, 355–367. [Google Scholar] [CrossRef]
- Herring, J.R.; Kraichnan, R.H. Numerical comparison of velocity-based and strain-based Lagrangian-history turbulence approximations. J. Fluid Mech. 1979, 91, 581–597. [Google Scholar] [CrossRef]
- Fournier, J.D.; Frisch, U. d-dimensional turbulence. Phys. Rev. A 1978, 17, 747–762. [Google Scholar] [CrossRef]
- Gotoh, T.; Watanabe, Y.; Shiga, Y.; Nakano, T.; Suzuki, E. Statistical properties of four-dimensional turbulence. Phys. Rev. E 2007, 75, 016310. [Google Scholar] [CrossRef]
- Orszag, S.A. Analytical theories of turbulence. J. Fluid Mech. 1970, 41, 363–386. [Google Scholar] [CrossRef]
- Clark, D.; Ho, R.D.; Berera, A. Effect of spatial dimension on a model of fluid turbulence. J. Fluid Mech. 2021, 912, A40. [Google Scholar] [CrossRef]
- Fukayama, D.; Oyamada, T.; Nakano, T.; Gotoh, T.; Yamamoto, K. Longitudinal structure functions in decaying and forced turbulence. J. Phys. Soc. Jpn. 2000, 69, 701–715. [Google Scholar] [CrossRef]
- Hill, R.J. Equations relating structure functions of all orders. J. Fluid Mech. 2001, 434, 379–388. [Google Scholar] [CrossRef]
- Yakhot, V. Mean-field approximation and small parameter in turbulence theory. Phys. Rev. E 2001, 63, 026307. [Google Scholar] [CrossRef]
- Kolmogorov, A.N. Dissipation of energy in locally isotropic turbulence. C. R. Acad. Sci. USSR 1941, 32, 16–18. [Google Scholar]
- Zhou, Y. Turbulence theories and statistical closure approaches. Phy. Rep. 2021, 935, 1–117. [Google Scholar]
- Kida, S.; Goto, S. A Lagrangian direct-interaction approximation for homogeneous isotropic turbulence. J. Fluid Mech. 1997, 345, 307–345. [Google Scholar] [CrossRef]
- Kaneda, Y. Lagrangian renormalized approximation of turbulence. Fluid Dyn. Res. 2007, 39, 526–551. [Google Scholar] [CrossRef]
- Kolmogorov, A.N. The local structure of turbulence in incompressible viscous fluid for very Large Reynolds numbers. C. R. Acad. Sci. USSR 1941, 30, 301–305. [Google Scholar]
- Kaneda, Y. Inertial range structure of turbulent velocity and scalar fields in a Lagrangian renormalized approximation. Phys. Fluids 1986, 29, 701–708. [Google Scholar] [CrossRef]
- Kaneda, Y. Inertial range of two-dimensional turbulence in a Lagrangian renormalized approximation. Phys. Fluids 1987, 30, 2672–2675. [Google Scholar] [CrossRef]
- Gotoh, T. Passive scalar diffusion in two dimensional turbulence in the Lagrangian renormalized approximation. J. Phys. Soc. Jpn. 1989, 58, 2365–2379. [Google Scholar] [CrossRef]
- Frisch, U.; Pomyalov, A.; Procaccia, I.; Ray, S.S. Turbulence in noninteger dimensions by fractal Fourier Decimation. Phys. Rev. Lett. 2012, 108, 074501. [Google Scholar] [CrossRef] [PubMed]
- Lanott, A.S.; Benzi, R.; Malapaka, S.K.; Toschi, F.; Biferale, L. Turbulence on a fractal Fourier set. Phys. Rev. Lett. 2015, 115, 264502. [Google Scholar] [CrossRef] [PubMed]
- Buzzicotti, M.; Biferale, L.; Frisch, U.; Ray, S.S. Intermittency in fractal Fourier hydrodynamics: Lessons from the Burgers equation. Phys. Rev. E 2016, 93, 033109. [Google Scholar] [CrossRef] [PubMed]
- Buzzicotti, M.; Bhatnagar, A.; Biferale, L.; Lanotte, A.S.; Ray, S.S. Lagrangian statistics for Navier–Stokes turbulence under Fourier mode reduction: Fractal and homogeneous decimation. New J. Phys. 2016, 18, 113047. [Google Scholar] [CrossRef]
- Ray, S.S. Non-intermittent turbulence: Lagrangian chaos and irreversibility. Phys. Rev. Fluids 2018, 3, 072601. [Google Scholar] [CrossRef]
- Picardo, J.R.; Bhatnagar, A.; Ray, S.S. Lagrangian irreversibility and Eulerian dissipation in fully developed turbulence. Phys. Rev. Fluids 2020, 5, 042601. [Google Scholar] [CrossRef]
- Frisch, U. Turbulence; Cambridge University Press: Cambridge, UK, 1995. [Google Scholar]
- Cerbus, R.T.; Chakraborty, P. The third-order structure function in two dimensions: The Rashomon effect. Phys. Fluids 2017, 29, 111110. [Google Scholar] [CrossRef]



Disclaimer/Publisher’s Note: The statements, opinions and data contained in all publications are solely those of the individual author(s) and contributor(s) and not of MDPI and/or the editor(s). MDPI and/or the editor(s) disclaim responsibility for any injury to people or property resulting from any ideas, methods, instructions or products referred to in the content. |
© 2023 by the authors. Licensee MDPI, Basel, Switzerland. This article is an open access article distributed under the terms and conditions of the Creative Commons Attribution (CC BY) license (https://creativecommons.org/licenses/by/4.0/).
Share and Cite
Gotoh, T.; Kaneda, Y. Statistics of the Inertial Energy Transfer Range in d-Dimensional Turbulence (2 ≤ d ≤ 3) in a Lagrangian Renormalized Approximation. Atmosphere 2023, 14, 1053. https://doi.org/10.3390/atmos14061053
Gotoh T, Kaneda Y. Statistics of the Inertial Energy Transfer Range in d-Dimensional Turbulence (2 ≤ d ≤ 3) in a Lagrangian Renormalized Approximation. Atmosphere. 2023; 14(6):1053. https://doi.org/10.3390/atmos14061053
Chicago/Turabian StyleGotoh, Toshiyuki, and Yukio Kaneda. 2023. "Statistics of the Inertial Energy Transfer Range in d-Dimensional Turbulence (2 ≤ d ≤ 3) in a Lagrangian Renormalized Approximation" Atmosphere 14, no. 6: 1053. https://doi.org/10.3390/atmos14061053
APA StyleGotoh, T., & Kaneda, Y. (2023). Statistics of the Inertial Energy Transfer Range in d-Dimensional Turbulence (2 ≤ d ≤ 3) in a Lagrangian Renormalized Approximation. Atmosphere, 14(6), 1053. https://doi.org/10.3390/atmos14061053

