Main Emission Sources and Health Risks of Polycyclic Aromatic Hydrocarbons and Nitro-Polycyclic Aromatic Hydrocarbons at Three Typical Sites in Hanoi
Abstract
1. Introduction
2. Materials and Methods
2.1. Site Depiction Description
2.2. Sampling
2.3. PAHs and NPAHs Analysis
2.4. Health Risk Assessment
3. Results
3.1. Concentrations of PAHs and NPAHs
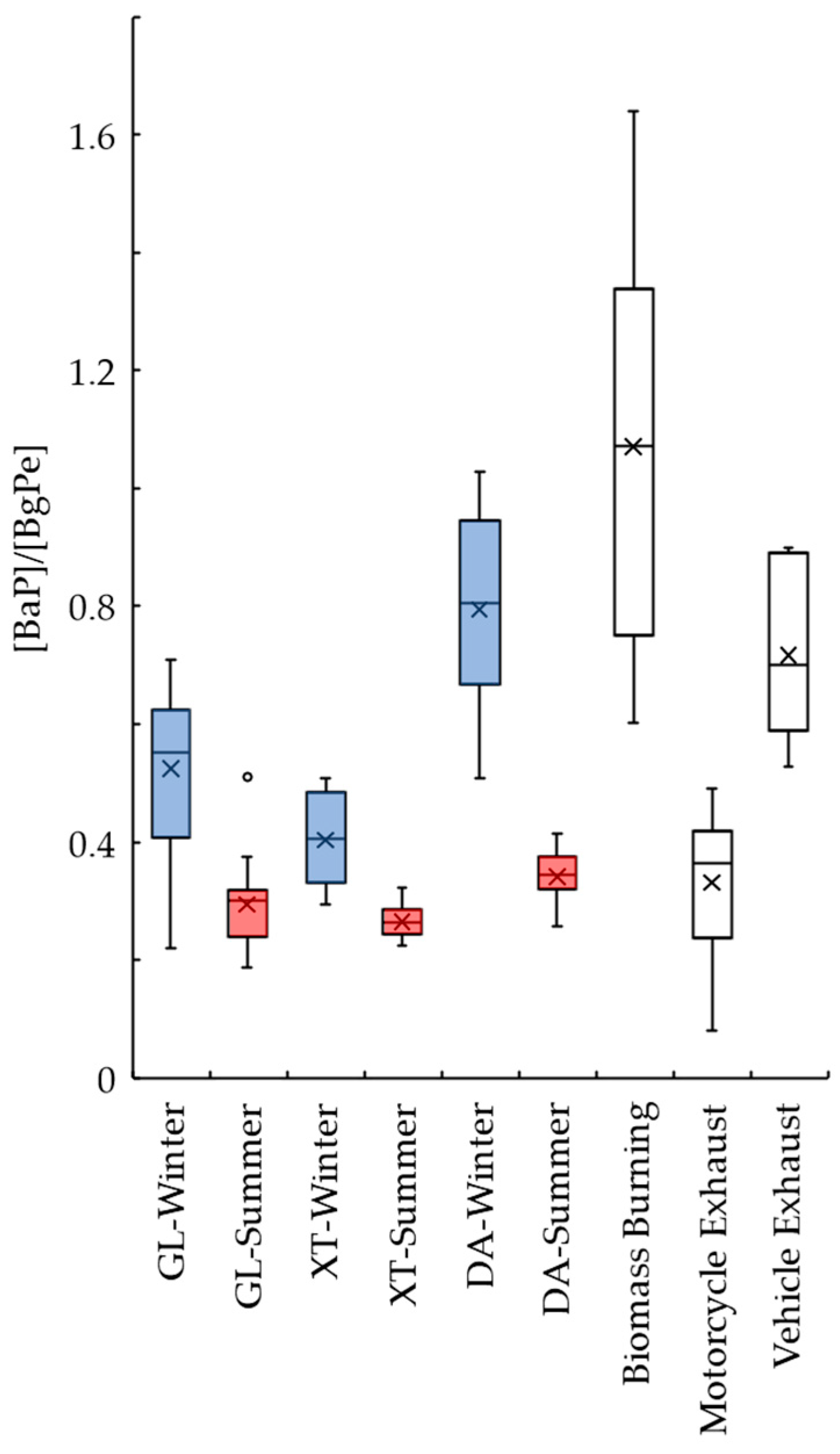
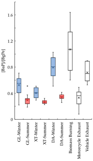
3.2. Prospective Emission Sources of PAHs and NPAHs
3.3. Health Risk Assessment
3.3.1. BaP Equivalent Concentration
3.3.2. ILCR Assessment
4. Conclusions
Supplementary Materials
Author Contributions
Funding
Institutional Review Board Statement
Informed Consent Statement
Data Availability Statement
Conflicts of Interest
References
- De Oliveira Alves, N.; Martins Pereira, G.; Di Domenico, M.; Costanzo, G.; Benevenuto, S.; De Oliveira Fonoff, A.M.; De Souza Xavier Costa, N.; Ribeiro Júnior, G.; Satoru Kajitani, G.; Cestari Moreno, N.; et al. Inflammation response, oxidative stress and DNA damage caused by urban air pollution exposure increase in the lack of DNA repair XPC protein. Environ. Int. 2020, 145, 106150. [Google Scholar] [CrossRef]
- Yang, L.; Zhang, H.; Zhang, X.; Xing, W.L.; Wang, Y.; Bai, P.C.; Zhang, L.L.; Hayakawa, K.; Toriba, A.; Tang, N. Exposure to atmospheric particulate matter-bound polycyclic aromatic hydrocarbons and their health effects: A Review. Int. J. Environ. Res. Public Health 2021, 18, 2177. [Google Scholar] [CrossRef]
- Zhang, H.; Zhang, L.L.; Yang, L.; Zhou, Q.Y.; Zhang, X.; Xing, W.L.; Hayakawa, K.; Toriba, A.; Tang, N. Impact of COVID-19 outbreak on the long-range transport of common air pollutants in KUWAMS. Chem. Pharm. Bull. 2021, 69, 237–245. [Google Scholar] [CrossRef]
- Zhang, X.; Zhang, H.; Wang, Y.; Bai, P.C.; Zhang, L.L.; Wei, Y.; Tang, N. Personal PM2.5-bound PAH exposure and lung function in healthy office workers: A pilot study in Beijing and Baoding, China. J. Environ. Sci. 2023, 133, 48–59. [Google Scholar] [CrossRef]
- Xing, W.L.; Yang, L.; Zhang, H.; Zhang, X.; Wang, Y.; Bai, P.C.; Zhang, L.L.; Hayakawa, K.; Nagao, S.; Tang, N. Variations in traffic-related water-soluble inorganic ions in PM2.5 in Kanazawa, Japan, after the implementation of a new vehicle emission regulation. Atmos. Pollut. Res. 2021, 12, 101233. [Google Scholar] [CrossRef]
- Xing, W.L.; Yang, L.; Zhang, H.; Zhang, X.; Wang, Y.; Bai, P.C.; Zhang, L.L.; Hayakawa, K.; Nagao, S.; Tang, N. Variations in traffic-related polycyclic aromatic hydrocarbons in PM2.5 in Kanazawa, Japan, after the implementation of a new vehicle emission regulation. J. Environ. Sci. 2022, 121, 38–47. [Google Scholar] [CrossRef]
- Lee, B.K. Sources, distribution and toxicity of polyaromatic hydrocarbons (pahs) in particulate matter. In Air Pollution; IntechOpen Limited: London, UK, 2010. [Google Scholar] [CrossRef]
- Arey, J.; Zielinska, B.; Atkinson, R.; Winer, A.M.; Ramdahl, T.; Pitts, J.N. The formation of Nitro-PAH from the gas-phase reactions of fluoranthene and pyrene with the OH radical in the presence of Nox. Atmos. Environ. 1986, 20, 2339–2345. [Google Scholar] [CrossRef]
- Marino, F.; Cecinato, A.; Siskos, P.A. Nitro-PAH in ambient particulate matter in the atmosphere of Athens. Chemosphere 2000, 40, 533–537. [Google Scholar] [CrossRef]
- Boffetta, P.; Jourenkova, N.; Gustavsson, P. Cancer risk from occupational and environmental exposure to polycyclic aromatic hydrocarbons. Cancer Causes Control 1997, 8, 444–472. [Google Scholar] [CrossRef]
- Knafla, A.; Phillipps, K.A.; Brecher, R.W.; Petrovic, S.; Richardson, M. Development of a dermal cancer slope factor for benzo[a]pyrene. Regul. Toxicol. Pharmacol. 2006, 45, 159–168. [Google Scholar] [CrossRef]
- Chen, J.W.; Wang, S.L.; Hsieh, D.P.; Yang, H.H.; Lee, H.L. Carcinogenic potencies of polycyclic aromatic hydrocarbons for back-door neighbors of restaurants with cooking emissions. Sci. Total Environ. 2012, 417–418, 68–75. [Google Scholar] [CrossRef] [PubMed]
- Yoon, E.; Park, K.; Lee, H.; Yang, J.-H.; Lee, C. Estimation of excess cancer risk on time-weighted lifetime average daily intake of pahs from food ingestion. Hum. Ecol. Risk Assess. Int. J. 2007, 13, 669–680. [Google Scholar] [CrossRef]
- National Institute of Technology and Evaluation. Basic Manual for Calculation of the Estimated Human Exposure Used in the Risk Assessment of Consumer Products. Available online: https://www.nite.go.jp/en/chem/risk/ghs_risk_consumer_guidance_ap1_e.pdf (accessed on 21 April 2023).
- Armstrong, B.; Hutchinson, E.; Unwin, J.; Fletcher, T. Lung cancer risk after exposure to polycyclic aromatic hydrocarbons: A review and meta-analysis. Environ. Health Perspect. 2004, 112, 970–978. [Google Scholar] [CrossRef] [PubMed]
- Raymond, C.V. Estimating the lung deposition of particulate polycyclic aromatic hydrocarbons associated with multimodal urban aerosols. Inhal. Toxicol. 1998, 10, 183–204. [Google Scholar] [CrossRef]
- IARC. Bitumens and bitumen emissions, and some n- and s-heterocyclic polycyclic aromatic hydrocarbons. In Monographs on the Evaluation of Carcinogenic Risks to Humans; International Agency for Research on Cancer: Lyon, France, 2013; Volume 103. [Google Scholar]
- IARC. Diesel and gasoline engine exhausts and some nitroarenes. In Monographs on the Evaluation of Carcinogenic Risks to Humans; International Agency for Research on Cancer: Lyon, France, 2013; Volume 105. [Google Scholar]
- IARC. Monographs on the Evaluation of Carcinogenic Risks to Humans; International Agency for Research on Cancer: Lyon, France, 2015; Volume 109. [Google Scholar]
- Taga, R.; Tang, N.; Hattori, T.; Tamura, K.; Sakai, S.; Toriba, A.; Kizu, R.; Hayakawa, K. Direct-acting mutagenicity of extracts of coal burning-derived particulates and contribution of nitropolycyclic aromatic hydrocarbons. Mutat. Res. Genet. Toxicol. Environ. Mutagen. 2005, 581, 91–95. [Google Scholar] [CrossRef]
- Thepnuan, D.; Chantara, S. Characterization of PM2.5–bound polycyclic aromatic hydrocarbons in Chiang Mai, Thailand during biomass open burning period of 2016. Appl. Environ. Res. 2020, 42, 11–24. [Google Scholar] [CrossRef]
- Yadav, A.; Behera, S.N.; Nagar, P.K.; Sharma, M. Spatio-seasonal concentrations, source apportionment and assessment of associated human health risks of PM2.5-bound polycyclic aromatic hydrocarbons in Delhi, India. Aerosol Air Qual. Res. 2020, 20, 2805–2825. [Google Scholar] [CrossRef]
- Shen, R.; Wang, Y.; Gao, W.; Cong, X.; Cheng, L.; Li, X. Size-segregated particulate matter bound polycyclic aromatic hydrocarbons (pahs) over China: Size distribution, characteristics and health risk assessment. Sci. Total Environ. 2019, 685, 116–123. [Google Scholar] [CrossRef] [PubMed]
- Tang, N.; Araki, Y.; Tamura, K.; Dong, L.; Zhang, X.; Liu, Q.; Ji, R.; Kameda, T.; Toriba, A.; Hayakawa, K. Distribution and source of atmospheric polycyclic aromatic hydrocarbons and nitropolycyclic aromatic hydrocarbons in Tieling city, Liaoning province, a typical local city in Northeast China. Asian J. Atmos. Environ. 2009, 3, 52–58. [Google Scholar] [CrossRef]
- Tang, N.; Sato, K.; Tokuda, T.; Tatematsu, M.; Hama, H.; Suematsu, C.; Kameda, T.; Toriba, A.; Hayakawa, K. Factors affecting atmospheric 1-, 2-nitropyrenes and 2-nitrofluoranthene in winter at Noto Peninsula, a remote background site, Japan. Chemosphere 2014, 107, 324–330. [Google Scholar] [CrossRef]
- Gulia, S.; Khanna, I.; Shukla, K.; Khare, M. Ambient air pollutant monitoring and analysis protocol for low and middle income countries: An element of comprehensive urban air quality management framework. Atmos. Environ. 2020, 222, 117120. [Google Scholar] [CrossRef]
- Vo, V.C. Forecast on electricity demand for industry and construction sectors in Vietnam by 2030. In Proceedings of the 2019 International Conference on System Science and Engineering, Dong Hoi, Vietnam, 20–21 July 2019. [Google Scholar] [CrossRef]
- Liu, X.; Deng, B.; Fu, J.; Xu, Z.; Liu, J.; Li, M.; Li, Q.; Ma, Z.; Feng, R. The effect of air/fuel composition on the HC emissions for a twin-spark motorcycle gasoline engine: A wide condition range study. Chem. Eng. J. 2019, 355, 170–180. [Google Scholar] [CrossRef]
- Phung, D.; Hien, T.T.; Linh, H.N.; Luong, L.M.T.; Morawska, L.; Chu, C.; Binh, N.D.; Thai, P.K. Air pollution and risk of respiratory and cardiovascular hospitalizations in the most populous city in Vietnam. Sci. Total Environ. 2016, 557–558, 322–330. [Google Scholar] [CrossRef] [PubMed]
- Kitamura, Y.; Hayashi, M.; Yagi, E. Traffic problems in Southeast Asia featuring the case of Cambodia’s traffic accidents involving motorcycles. IATSS Res. 2018, 42, 163–170. [Google Scholar] [CrossRef]
- Pham, C.T.; Kameda, T.; Toriba, A.; Hayakawa, K. Polycyclic aromatic hydrocarbons and nitropolycyclic aromatic hydrocarbons in particulates emitted by motorcycles. Environ. Pollut. 2013, 183, 175–183. [Google Scholar] [CrossRef]
- Pham, C.T.; Boongla, Y.; Nghiem, T.D.; Le, H.T.; Tang, N.; Toriba, A.; Hayakawa, K. Emission characteristics of polycyclic aromatic hydrocarbons and nitro-polycyclic aromatic hydrocarbons from open burning of rice straw in the north of Vietnam. Int. J. Environ. Res. Public Health 2019, 16, 2343. [Google Scholar] [CrossRef]
- General Statistical Office Vietnam. Statistical Yearbook of Vietnam 2021; Statistical Publishing House: Hanoi, Vietnam, 2021. [Google Scholar]
- Le, H.A.; Khoi, N.Q.; Mallick, J. Integrated emission inventory and modelling to assess the distribution of particulate matters from rice straw open burning in Hanoi, Vietnam. Atmos. Pollut. Res. 2022, 13, 101416. [Google Scholar] [CrossRef]
- Công, L.H. Coffee plantations in Ninh Binh Province during the French Colonial Period. J. Sci. Soc. Sci. 2015, 60, 55–61. [Google Scholar] [CrossRef]
- Lasko, K.; Vadrevu, K. Improved rice residue burning emissions estimates: Accounting for practice-specific emission factors in air pollution assessments of Vietnam. Environ. Pollut. 2018, 236, 795–806. [Google Scholar] [CrossRef]
- Stelte, W.; Sanadi, A.R.; Shang, L.; Holm, J.K.; Ahrenfeldt, J.; Henriksen, U.B. Recent developments in biomass pelletization—A review. BioResources 2012, 7, 4451–4490. [Google Scholar] [CrossRef]
- Hong Phuong, P.; Nghiem, T.; Mai Thao, P.; Nguyen, T. Emission factors of selected air pollutants from rice straw open burning in the Mekong Delta of Vietnam. Atmos. Pollut. Res. 2022, 13, 101353. [Google Scholar] [CrossRef]
- Zhang, H.; Zhang, X.; Wang, Y.; Bai, P.C.; Hayakawa, K.; Zhang, L.L.; Tang, N. Characteristics and influencing factors of polycyclic aromatic hydrocarbons emitted from open burning and stove burning of biomass: A brief review. Int. J. Environ. Res. Public Health 2022, 19, 3944. [Google Scholar] [CrossRef] [PubMed]
- Nguyen, D.V.; Vu, A.T.; Polders, E.; Ross, V.; Brijs, T.; Wets, G.; Brijs, K. Modeling the injury severity of small-displacement motorcycle crashes in Hanoi City, Vietnam. Saf. Sci. 2021, 142, 105371. [Google Scholar] [CrossRef]
- Nguyen, Y.T.; Le, A.; Duc, K.N.; Duy, V.N.; Nguyen, C.D. A study on emission and fuel consumption of motorcycles in idle mode and the impacts on air quality in Hanoi, Vietnam. Int. J. Urban Sci. 2021, 25, 522–541. [Google Scholar] [CrossRef]
- Kishida, M.; Imamura, K.; Takenaka, N.; Maeda, Y.; Viet, P.H.; Bandow, H. Concentrations of atmospheric polycyclic aromatic hydrocarbons in particulate matter and the gaseous phase at roadside sites in Hanoi, Vietnam. Bull. Environ. Contam. Toxicol. 2008, 81, 174–179. [Google Scholar] [CrossRef]
- Saha, M.; Maharana, D.; Kurumisawa, R.; Takada, H.; Yeo, B.G.; Rodrigues, A.C.; Bhattacharya, B.; Kumata, H.; Okuda, T.; He, K.; et al. Seasonal trends of atmospheric pahs in five Asian megacities and source detection using suitable biomarkers. Aerosol Air Qual. Res. 2017, 17, 2247–2262. [Google Scholar] [CrossRef]
- Nhung, N.T.; Schindler, C.; Dien, T.M.; Probst-Hensch, N.; Perez, L.; Künzli, N. Acute effects of ambient air pollution on lower respiratory infections in Hanoi children: An eight-year time series study. Environ. Int. 2018, 110, 139–148. [Google Scholar] [CrossRef]
- Trinh, T.T.; Trinh, T.T.; Le, T.T.; Nguyen, T.D.; Tu, B.M. Temperature inversion and air pollution relationship, and its effects on human health in Hanoi City, Vietnam. Environ. Geochem. Health 2018, 41, 929–937. [Google Scholar] [CrossRef]
- Pham, C.T.; Kameda, T.; Toriba, A.; Tang, N.; Hayakawa, K. Characteristics of atmospheric polycyclic aromatic hydrocarbons and nitropolycyclic aromatic hydrocarbons in Hanoi-vietnam, as a typical motorbike city. Polycycl. Aromat. Compd. 2012, 32, 296–312. [Google Scholar] [CrossRef]
- Pham, C.T.; Le, H.T. Distribution and toxic equipvalent assessement of polycyclic aromatic hydrocarbons (pahs) in particulate matter emmited from Rice Straw Open field burning in Hanoi. VNU J. Sci. Nat. Sci. Technol. 2021, 37, 97–106. [Google Scholar] [CrossRef]
- Pham, C.T.; Ly, B.T.; Nghiem, T.D.; Pham, T.H.P.; Minh, N.T.; Tang, N.; Hayakawa, K.; Toriba, A. Emission factors of selected air pollutants from rice straw burning in Hanoi, Vietnam. Air Qual. Atmos. Health 2021, 14, 1757–1771. [Google Scholar] [CrossRef]
- Pham, C.T. Polycyclic aromatic hydrocarbons and nitropolycyclic aromatic hydrocarbons in motorcycle exhaust. Polycycl. Aromat. Compd. 2018, 137–153. [Google Scholar] [CrossRef]
- Trung, N.T.; Anh, H.Q.; Tue, N.M.; Suzuki, G.; Takahashi, S.; Tanabe, S.; Khai, N.M.; Hong, T.T.; Dau, P.T.; Thuy, P.C.; et al. Polycyclic aromatic hydrocarbons in airborne particulate matter samples from Hanoi, Vietnam: Particle size distribution, aryl hydrocarbon ligand receptor activity, and implication for cancer risk assessment. Chemosphere 2021, 280, 130720. [Google Scholar] [CrossRef] [PubMed]
- Wang, Y.; Zhang, H.; Zhang, X.; Bai, P.C.; Neroda, A.; Mishukov, V.F.; Zhang, L.L.; Hayakawa, K.; Nagao, S.; Tang, N. PM-bound polycyclic aromatic hydrocarbons and nitro-polycyclic aromatic hydrocarbons in the ambient air of Vladivostok: Seasonal variation, sources, health risk assessment and long-term variability. Int. J. Environ. Res. Public Health 2022, 19, 2878. [Google Scholar] [CrossRef]
- Yang, L.; Zhang, L.L.; Zhang, H.; Zhou, Q.Y.; Zhang, X.; Xing, W.; Takami, A.; Sato, K.; Shimizu, A.; Yoshino, A.; et al. Comparative analysis of PM2.5-bound polycyclic aromatic hydrocarbons (pahs), nitro-pahs (npahs), and water-soluble inorganic ions (wsiis) at two background sites in Japan. Int. J. Environ. Res. Public Health 2020, 17, 8224. [Google Scholar] [CrossRef] [PubMed]
- Chen, S.C.; Liao, C.M. Health risk assessment on human exposed to environmental polycyclic aromatic hydrocarbons pollution sources. Sci. Total Environ. 2006, 366, 112–123. [Google Scholar] [CrossRef]
- De Miguel, E.; Iribarren, I.; Chacón, E.; Ordoñez, A.; Charlesworth, S. Risk-based evaluation of the exposure of children to trace elements in playgrounds in Madrid (Spain). Chemosphere 2007, 66, 505–513. [Google Scholar] [CrossRef]
- U.S. EPA. 1994, Benzo[a]pyrene (BaP) (CASRN 50-32-8). Available online: https://cfpub.epa.gov/ncea/iris2/chemicalLanding.cfm?substance_nmbr=136 (accessed on 9 April 2023).
- Wang, Z. Regional Study on Soil Polycyclic Aromatic Hydrocarbons in Liaoning: Patterns, Sources and Cancer Risks; Dalian University of Technology: Dalian, China, 2007. [Google Scholar]
- NCD Risk Factor Collaboration. Height and body-mass index trajectories of school-aged children and adolescents from 1985 to 2019 in 200 countries and territories: A pooled analysis of 2181 population-based studies with 65 million participants. In Yearbook of Paediatric Endocrinology; Bioscientifica Ltd.: Bristol, UK, 2021. [Google Scholar] [CrossRef]
- Zhang, H.; Yang, L.; Zhang, X.; Xing, W.L.; Wang, Y.; Bai, P.C.; Zhang, L.L.; Li, Y.; Hayakawa, K.; Toriba, A.; et al. Characteristics and health risks of polycyclic aromatic hydrocarbons and nitro-pahs in Xinxiang, China in 2015 and 2017. Int. J. Environ. Res. Public Health 2021, 18, 3017. [Google Scholar] [CrossRef]
- Tang, N.; Hattori, T.; Taga, R.; Igarashi, K.; Yang, X.; Tamura, K.; Kakimoto, H.; Mishukov, V.F.; Toriba, A.; Kizu, R.; et al. Polycyclic aromatic hydrocarbons and nitropolycyclic aromatic hydrocarbons in urban air particulates and their relationship to emission sources in the Pan–Japan Sea Countries. Atmos. Environ. 2005, 39, 5817–5826. [Google Scholar] [CrossRef]
- Yang, L.; Suzuki, G.; Zhang, L.L.; Zhou, Q.Y.; Zhang, X.; Xing, W.L.; Shima, M.; Yoda, Y.; Nakatsubo, R.; Hiraki, T.; et al. The characteristics of polycyclic aromatic hydrocarbons in different emission source areas in Shenyang, China. Int. J. Environ. Res. Public Health 2019, 16, 2817. [Google Scholar] [CrossRef]
- Lara, S.; Villanueva, F.; Martín, P.; Salgado, S.; Moreno, A.; Sánchez-Verdú, P. Investigation of pahs, nitrated pahs and oxygenated pahs in PM10 urban aerosols. A comprehensive data analysis. Chemosphere 2022, 294, 133745. [Google Scholar] [CrossRef] [PubMed]
- Soleimani, M.; Ebrahimi, Z.; Mirghaffari, N.; Moradi, H.; Amini, N.; Poulsen, K.G.; Christensen, J.H. Seasonal trend and source identification of polycyclic aromatic hydrocarbons associated with fine particulate matters (PM2.5) in Isfahan City, Iran, using diagnostic ratio and PMF model. Environ. Sci. Pollut. Res. 2021, 29, 26449–26464. [Google Scholar] [CrossRef] [PubMed]
- Wang, Y.; Zhang, H.; Zhang, X.; Bai, P.C.; Zhang, L.L.; Huang, S.J.; Pointing, S.B.; Nagao, S.; Chen, B.; Toriba, A.; et al. Abundance, source apportionment and health risk assessment of polycyclic aromatic hydrocarbons and nitro-polycyclic aromatic hydrocarbons in PM2.5 in the urban atmosphere of Singapore. Atmosphere 2022, 13, 1420. [Google Scholar] [CrossRef]
- Hu, R.; Liu, G.; Zhang, H.; Xue, H.; Wang, X. Levels and sources of pahs in air-borne PM2.5 of Hefei City, China. Bull. Environ. Contam. Toxicol. 2017, 98, 270–276. [Google Scholar] [CrossRef]
- Yunker, M.B.; Macdonald, R.W.; Vingarzan, R.; Mitchell, R.H.; Goyette, D.; Sylvestre, S. PAHs in the fraser river basin: A critical appraisal of PAH ratios as indicators of PAH source and composition. Org. Geochem. 2002, 33, 489–515. [Google Scholar] [CrossRef]
- Zhang, F.; Chen, Y.; Cui, M.; Feng, Y.; Yang, X.; Chen, J.; Zhang, Y.; Gao, H.; Tian, C.; Matthias, V.; et al. Emission factors and environmental implication of organic pollutants in PM emitted from various vessels in China. Atmos. Environ. 2019, 200, 302–311. [Google Scholar] [CrossRef]
- Chen, Y.; Li, X.; Zhu, T.; Han, Y.; Lv, D. PM2.5-bound pahs in three indoor and one outdoor air in Beijing: Concentration, source and health risk assessment. Sci. Total Environ. 2017, 586, 255–264. [Google Scholar] [CrossRef] [PubMed]
- Xing, W.L.; Zhang, L.L.; Yang, L.; Zhou, Q.Y.; Zhang, X.; Toriba, A.; Hayakawa, K.; Tang, N. Characteristics of PM2.5-bound polycyclic aromatic hydrocarbons and nitro-polycyclic aromatic hydrocarbons at a roadside air pollution monitoring station in Kanazawa, Japan. Int. J. Environ. Res. Public Health 2020, 17, 805. [Google Scholar] [CrossRef] [PubMed]
- Hien, T.T.; Nam, P.P.; Yasuhiro, S.; Takayuki, K.; Norimichi, T.; Hiroshi, B. Comparison of particle-phase polycyclic aromatic hydrocarbons and their variability causes in the ambient air in Ho Chi Minh City, Vietnam and in Osaka, Japan, during 2005–2006. Sci. Total Environ. 2007, 382, 70–81. [Google Scholar] [CrossRef]
- Hien, T.T.; Thanh, L.T.; Kameda, T.; Takenaka, N.; Bandow, H. Nitro-polycyclic aromatic hydrocarbons and polycyclic aromatic hydrocarbons in particulate matter in an urban area of a tropical region: Ho Chi Minh City, Vietnam. Atmos. Environ. 2007, 41, 7715–7725. [Google Scholar] [CrossRef]
- Insian, W.; Yabueng, N.; Wiriya, W.; Chantara, S. Size-fractionated PM-bound pahs in urban and rural atmospheres of northern Thailand for respiratory health risk assessment. Environ. Pollut. 2022, 293, 118488. [Google Scholar] [CrossRef] [PubMed]
- Kishida, M.; Mio, C.; Fujimori, K.; Imamura, K.; Takenaka, N.; Maeda, Y.; Lan, T.T.; Shibutani, Y.; Bandow, H. Seasonal change in the atmospheric concentration of particulate polycyclic aromatic hydrocarbons in Ho Chi Minh City, Vietnam. Bull. Environ. Contam. Toxicol. 2009, 83, 747–751. [Google Scholar] [CrossRef]
- To, T.H.; Nguyen, D.T.; Le, X.V.; Duong, H.H. A comparison of PM2.5 and pahs in ambient air between an urban background site and a background site in Ho Chi Minh City. Vietnam J. Sci. Technol. Engr. 2019, 61, 79–83. [Google Scholar] [CrossRef]
- Hosseini, S.; Urbanski, S.P.; Dixit, P.; Qi, L.; Burling, I.R.; Yokelson, R.J.; Johnson, T.J.; Shrivastava, M.; Jung, H.S.; Weise, D.R.; et al. Laboratory characterization of PM emissions from combustion of wildland biomass fuels. J. Geophys. Res. Atmos. 2013, 118, 9914–9929. [Google Scholar] [CrossRef]
- Noblet, C.; Besombes, J.L.; Lemire, M.; Pin, M.; Jaffrezo, J.L.; Favez, O.; Aujay-Plouzeau, R.; Dermigny, A.; Karoski, N.; Van Elsuve, D.; et al. Emission factors and chemical characterization of particulate emissions from Garden Green Waste burning. Sci. Total Environ. 2021, 798, 149367. [Google Scholar] [CrossRef]
- Samburova, V.; Connolly, J.; Gyawali, M.; Yatavelli, R.L.N.; Watts, A.C.; Chakrabarty, R.K.; Zielinska, B.; Moosmüller, H.; Khlystov, A. Polycyclic aromatic hydrocarbons in biomass-burning emissions and their contribution to light absorption and aerosol toxicity. Sci. Total Environ. 2016, 568, 391–401. [Google Scholar] [CrossRef]
- Shen, G.; Tao, S.; Wei, S.; Zhang, Y.; Wang, R.; Wang, B.; Li, W.; Shen, H.; Huang, Y.; Chen, Y.; et al. Reductions in emissions of carbonaceous particulate matter and polycyclic aromatic hydrocarbons from combustion of biomass pellets in comparison with raw fuel burning. Environ. Sci. Technol. 2012, 46, 6409–6416. [Google Scholar] [CrossRef] [PubMed]
- Wang, H.L.; Zhuang, Y.H.; Hao, Z.P.; Cao, M.Q.; Zhong, J.X.; Wang, X.K.; Nguyen, T.K. Polycyclic aromatic hydrocarbons from rural household biomass burning in a typical Chinese village. Sci. China Earth Sci. 2008, 51, 1013–1020. [Google Scholar] [CrossRef]
- Wiriya, W.; Chantara, S.; Sillapapiromsuk, S.; Lin, N.-H. Emission profiles of PM10-bound polycyclic aromatic hydrocarbons from biomass burning determined in chamber for assessment of air pollutants from open burning. Aerosol Air Qual. Res. 2016, 16, 2716–2727. [Google Scholar] [CrossRef]
- Ciganek, M.; Neca, J.; Adamec, V.; Janosek, J.; Machala, M. A combined chemical and bioassay analysis of traffic-emitted polycyclic aromatic hydrocarbons. Sci. Total Environ. 2004, 334–335, 141–148. [Google Scholar] [CrossRef]
- Gao, B.; Guo, H.; Wang, X.M.; Zhao, X.Y.; Ling, Z.H.; Zhang, Z.; Liu, T.-Y. Polycyclic aromatic hydrocarbons in PM2.5 in Guangzhou, Southern China: Spatiotemporal patterns and emission sources. J. Hazard. Mater. 2012, 239–240, 78–87. [Google Scholar] [CrossRef] [PubMed]
- Kim, K.H.; Anthwal, A.; Goo Park, C.; Jo, S.J.; Chae, Y.Z.; Park, J.A.; Heub Jung, J.; Ryeul Sohn, J.; Oh, J.M. Monitoring of polyaromatic hydrocarbons and volatile organic compounds in two major traffic tunnels in Seoul, Korea. Environ. Technol. 2012, 33, 1963–1976. [Google Scholar] [CrossRef] [PubMed]
- Manoli, E.; Kouras, A.; Karagkiozidou, O.; Argyropoulos, G.; Voutsa, D.; Samara, C. Polycyclic aromatic hydrocarbons (pahs) at traffic and urban background sites of Northern Greece: Source apportionment of ambient PAH levels and PAH-induced lung cancer risk. Environ. Sci. Pollut. Res. 2015, 23, 3556–3568. [Google Scholar] [CrossRef] [PubMed]
- Sánchez-Piñero, J.; Moreda-Piñeiro, J.; Turnes-Carou, I.; Fernández-Amado, M.; Muniategui-Lorenzo, S.; López-Mahía, P. Polycyclic aromatic hydrocarbons in atmospheric particulate matter (PM10) at a southwestern Europe coastal city: Status, sources and Health Risk Assessment. Air Qual. Atmos. Health 2021, 14, 1325–1339. [Google Scholar] [CrossRef]
- Slezakova, K.; Castro, D.; Pereira, M.C.; Morais, S.; Delerue-Matos, C.; Alvim-Ferraz, M.C. Influence of traffic emissions on the carcinogenic polycyclic aromatic hydrocarbons in outdoor breathable particles. J. Air Waste Manag. Assoc. 2010, 60, 393–401. [Google Scholar] [CrossRef]
- Nguyen, H.T.; Le, T.K.; Nguyen, K.M.; Han, L.T.N. Potential of biochar production from agriculture residues at household scale: A case study in Go Cong Tay District, Tien Giang Province, Vietnam. Environ. Nat. Resour. J. 2018, 16, 68–78. [Google Scholar] [CrossRef]
- Yang, L.; Zhou, Q.Y.; Zhang, H.; Zhang, X.; Xing, W.L.; Wang, Y.; Bai, P.C.; Yamauchi, M.; Chohji, T.; Zhang, L.L.; et al. Atmospheric behaviour of polycyclic and nitro-polycyclic aromatic hydrocarbons and water-soluble inorganic ions in winter in Kirishima, a typical Japanese commercial city. Int. J. Environ. Res. Public Health 2021, 18, 688. [Google Scholar] [CrossRef]
- Arey, J.; Atkinson, R.; Aschmann, S.M.; Schuetzle, D. Experimental investigation of the atmospheric chemistry of 2-methyl-1-nitronaphthalene and a comparison of predicted NITROARENE concentrations with Ambient Air Data. Polycycl. Aromat. Compd. 1990, 1, 33–50. [Google Scholar] [CrossRef]
- Arey, J.; Zielinska, B.; Atkinson, R.; Aschmann, S.A. Nitroarene products from the gas-phase reactions of volatile polycyclic aromatic hydrocarbons with OH radical and N2O5. Int. J. Chem. Kinet. 1989, 21, 775–799. [Google Scholar] [CrossRef]
- Ciccioli, P.; Cecinato, A.; Brancaleoni, E.; Frattoni, M.; Zacchei, P.; Miguel, A.H.; De Castro Vasconcellos, P. Formation and transport of 2-nitrofluoranthene and 2-Nitropyrene of photochemical origin in the troposphere. J. Geophys. Res. Atmos. 1996, 101, 19567–19581. [Google Scholar] [CrossRef]
- Yang, L.; Zhang, L.L.; Chen, L.J.; Han, C.; Akutagawa, T.; Endo, O.; Yamauchi, M.; Neroda, A.; Toriba, A.; Tang, N. Polycyclic aromatic hydrocarbons and nitro-polycyclic aromatic hydrocarbons in five East Asian cities: Seasonal characteristics, health risks, and yearly variations. Environ. Pollut. 2021, 287, 117360. [Google Scholar] [CrossRef]
- Zhang, L.; Yang, L.; Bi, J.; Liu, Y.; Toriba, A.; Hayakawa, K.; Nagao, S.; Tang, N. Characteristics and unique sources of polycyclic aromatic hydrocarbons and nitro-polycyclic aromatic hydrocarbons in PM2.5 at a Highland Background Site in northwestern China. Environ. Pollut. 2021, 274, 116527. [Google Scholar] [CrossRef]
- Delistraty, D. Toxic equivalency factor approach for risk assessment of polycyclic aromatic hydrocarbons. Environ. Toxicol. Chem. 1997, 64, 81–108. [Google Scholar] [CrossRef]
- Zhang, L.L.; Morisaki, H.; Wei, Y.J.; Li, Z.; Yang, L.; Zhou, Q.Y.; Zhang, X.; Xing, W.L.; Hu, M.; Shima, M.; et al. PM2.5-bound polycyclic aromatic hydrocarbons and nitro-polycyclic aromatic hydrocarbons inside and outside a primary school classroom in Beijing: Concentration, composition, and inhalation cancer risk. Sci. Total Environ. 2020, 705, 135840. [Google Scholar] [CrossRef] [PubMed]
- Feng, B.; Li, L.; Xu, H.; Wang, T.; Wu, R.; Chen, J.; Zhang, Y.; Liu, S.; Ho, S.S.; Cao, J.; et al. PM2.5-bound polycyclic aromatic hydrocarbons (pahs) in Beijing: Seasonal variations, sources, and risk assessment. J. Environ. Sci. 2019, 77, 11–19. [Google Scholar] [CrossRef]
- Kelly, J.M.; Ivatt, P.D.; Evans, M.J.; Kroll, J.H.; Hrdina, A.I.; Kohale, I.N.; White, F.M.; Engelward, B.P.; Selin, N.E. Global cancer risk from unregulated polycyclic aromatic hydrocarbons. GeoHealth 2021, 5, e2021GH000401. [Google Scholar] [CrossRef] [PubMed]
- Janta, R.; Sekiguchi, K.; Yamaguchi, R.; Sopajaree, K.; Pongpiachan, S.; Chetiyanukornkul, T. Ambient PM2.5, polycyclic aromatic hydrocarbons and biomass burning tracer in Mae Sot District, Western Thailand. Atmos. Pollut. Res. 2020, 11, 27–39. [Google Scholar] [CrossRef]
- Han, B.; Liu, Y.; You, Y.; Xu, J.; Zhou, J.; Zhang, J.; Niu, C.; Zhang, N.; He, F.; Ding, X.; et al. Assessing the inhalation cancer risk of particulate matter bound polycyclic aromatic hydrocarbons (pahs) for the elderly in a retirement community of a Mega City in North China. Environ. Sci. Pollut. Res. 2016, 23, 20194–20204. [Google Scholar] [CrossRef] [PubMed]
- U.S. EPA. Exposure Factors Handbook: 2011 Edition (Final Report). U.S. Environmental Protection Agency, Washington, DC EPA/600/R-09/052F. 2011. Available online: https://cfpub.epa.gov/ncea/risk/recordisplay.cfm?deid=236252 (accessed on 9 April 2023).
- Pieterse, B.; Felzel, E.; Winter, R.; van der Burg, B.; Brouwer, A. Pah-CALUX, an optimized bioassay for ahr-mediated hazard identification of polycyclic aromatic hydrocarbons (pahs) as individual compounds and in complex mixtures. Environ. Sci. Technol. 2013, 47, 11651–11659. [Google Scholar] [CrossRef]
- U.S. EPA. 2010 U.S. Environmental Protection Agency (EPA) Decontamination Research and Development Conference; EPA/600/R-11/052; U.S. Environmental Protection Agency: Washington, DC, USA, 2011.
- Collins, J.F.; Brown, J.P.; Alexeeff, G.V.; Salmon, A.G. Potency equivalency factors for some polycyclic aromatic hydrocarbons and polycyclic aromatic hydrocarbon derivatives. Regul. Toxicol. Pharmacol. 1998, 28, 45–54. [Google Scholar] [CrossRef]
- Panis, L.I.; De Geus, B.; Vandenbulcke, G.; Willems, H.; Degraeuwe, B.; Bleux, N.; Mishra, V.; Thomas, I.; Meeusen, R. Exposure to particulate matter in traffic: A comparison of cyclists and car passengers. Atmos. Environ. 2010, 44, 2263–2270. [Google Scholar] [CrossRef]
- Zhang, Z.H.; Khlystov, A.; Norford, L.K.; Tan, Z.K.; Balasubramanian, R. Characterization of traffic-related ambient fine particulate matter (PM 2.5) in an Asian city: Environmental and health implications. Atmos. Environ. 2017, 161, 132–143. [Google Scholar] [CrossRef]
- The World Bank, Life Expectancy at Birth, Total (Years)—Vietnam. Available online: https://data.worldbank.org/indicator/SP.DYN.LE00.IN?locations=VN (accessed on 9 April 2023).
- USDOE. The Risk Assessment Information System (RAIS). U.S. Department of Energy’s Oak Ridge Operations Office (ORO). 2011. Available online: http://rais.ornl.gov/ (accessed on 9 April 2023).





| GL | XT | DA | ||||
|---|---|---|---|---|---|---|
| Male | Female | Male | Female | Male | Female | |
| Ingestion | 1.07 × 10−5 | 1.17 × 10−5 | 3.69 × 10−6 | 4.01 × 10−6 | 2.36 × 10−5 | 2.56 × 10−5 |
| Inhalation | 5.22 × 10−9 | 4.76 × 10−9 | 1.79 × 10−9 | 1.64 × 10−9 | 1.14 × 10−8 | 1.04 × 10−9 |
| Dermal | 2.94 × 10−6 | 3.19 × 10−6 | 1.01 × 10−6 | 1.10 × 10−6 | 6.44 × 10−6 | 7.00 × 10−6 |
| Total | 1.37 × 10−5 | 1.49 × 10−5 | 4.70 × 10−6 | 5.11 × 10−6 | 3.00 × 10−5 | 3.26 × 10−5 |
Disclaimer/Publisher’s Note: The statements, opinions and data contained in all publications are solely those of the individual author(s) and contributor(s) and not of MDPI and/or the editor(s). MDPI and/or the editor(s) disclaim responsibility for any injury to people or property resulting from any ideas, methods, instructions or products referred to in the content. |
© 2023 by the authors. Licensee MDPI, Basel, Switzerland. This article is an open access article distributed under the terms and conditions of the Creative Commons Attribution (CC BY) license (https://creativecommons.org/licenses/by/4.0/).
Share and Cite
Zhang, H.; Pham, C.-T.; Chen, B.; Zhang, X.; Wang, Y.; Bai, P.; Zhang, L.; Nagao, S.; Toriba, A.; Nghiem, T.-D.; et al. Main Emission Sources and Health Risks of Polycyclic Aromatic Hydrocarbons and Nitro-Polycyclic Aromatic Hydrocarbons at Three Typical Sites in Hanoi. Atmosphere 2023, 14, 782. https://doi.org/10.3390/atmos14050782
Zhang H, Pham C-T, Chen B, Zhang X, Wang Y, Bai P, Zhang L, Nagao S, Toriba A, Nghiem T-D, et al. Main Emission Sources and Health Risks of Polycyclic Aromatic Hydrocarbons and Nitro-Polycyclic Aromatic Hydrocarbons at Three Typical Sites in Hanoi. Atmosphere. 2023; 14(5):782. https://doi.org/10.3390/atmos14050782
Chicago/Turabian StyleZhang, Hao, Chau-Thuy Pham, Bin Chen, Xuan Zhang, Yan Wang, Pengchu Bai, Lulu Zhang, Seiya Nagao, Akira Toriba, Trung-Dung Nghiem, and et al. 2023. "Main Emission Sources and Health Risks of Polycyclic Aromatic Hydrocarbons and Nitro-Polycyclic Aromatic Hydrocarbons at Three Typical Sites in Hanoi" Atmosphere 14, no. 5: 782. https://doi.org/10.3390/atmos14050782
APA StyleZhang, H., Pham, C.-T., Chen, B., Zhang, X., Wang, Y., Bai, P., Zhang, L., Nagao, S., Toriba, A., Nghiem, T.-D., & Tang, N. (2023). Main Emission Sources and Health Risks of Polycyclic Aromatic Hydrocarbons and Nitro-Polycyclic Aromatic Hydrocarbons at Three Typical Sites in Hanoi. Atmosphere, 14(5), 782. https://doi.org/10.3390/atmos14050782

