Tree Traits and Microclimatic Conditions Determine Cooling Benefits of Urban Trees
Abstract
1. Introduction
2. Materials and Methods
2.1. Study Site
2.2. Data Collection
2.2.1. Tree Species Selection
2.2.2. Air Temperatures under Tree Canopies
2.2.3. Climate Data Collection
2.2.4. Morphological Trait Measurements
2.3. Data Analysis
3. Results
3.1. Daytime and Nighttime Delta Temperature
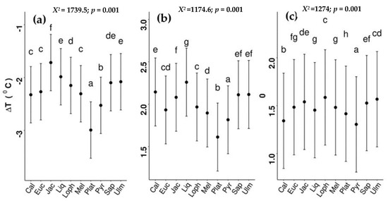
3.2. Species Differences
3.3. Relationships between ΔT, Climatic Variables, and Tree Characteristics
4. Discussion
5. Conclusions and Implications
Supplementary Materials
Author Contributions
Funding
Institutional Review Board Statement
Informed Consent Statement
Data Availability Statement
Acknowledgments
Conflicts of Interest
References
- IPCC. Climate Change 2021: The Physical Science Basis. Contribution of Working Group I to the Sixth Assessment Report of the Intergovernmental Panel on Climate Change; Cambridge University Press: Cambridge, UK, 2021. [Google Scholar]
- Meehl, G.A.; Tebaldi, C. More intense, more frequent, and longer lasting heat waves in the 21st century. Science 2004, 305, 994–997. [Google Scholar] [CrossRef] [PubMed]
- Esperon-Rodriguez, M.; Tjoelker, M.G.; Lenoir, J.; Baumgartner, J.B.; Beaumont, L.J.; Nipperess, D.A.; Power, S.A.; Richard, B.; Rymer, P.D.; Gallagher, R.V. Climate change increases global risk to urban forests. Nat. Clim. Chang. 2022, 12, 950–955. [Google Scholar] [CrossRef]
- Tuholske, C.; Caylor, K.; Funk, C.; Verdin, A.; Sweeney, S.; Grace, K.; Peterson, P.; Evans, T. Global urban population exposure to extreme heat. Proc. Natl. Acad. Sci. USA 2021, 118, e2024792118. [Google Scholar] [CrossRef] [PubMed]
- Elmqvist, T.; Fragkias, M.; Goodness, J.; Güneralp, B.; Marcotullio, P.J.; McDonald, R.I.; Parnell, S.; Schewenius, M.; Sendstad, M.; Seto, K.C.; et al. (Eds.) Urbanization, Biodiversity and Ecosystem Services: Challenges and Opportunities; Springer: London, UK, 2013. [Google Scholar]
- Fuller, R.A.; Gaston, K.J. The scaling of greenspace coverage in European cities. Biol. Lett. 2009, 5, 352–355. [Google Scholar] [CrossRef]
- Manoli, G.; Fatichi, S.; Schlapfer, M.; Yu, K.; Crowther, T.W.; Meili, N.; Burlando, P.; Katul, G.G.; Bou-Zeid, E. Magnitude of urban heat islands largely explained by climate and population. Nature 2019, 573, 55–60. [Google Scholar] [CrossRef]
- Oke, T.R. The energetic basis of the urban heat island. Q. J. R. Meteorol. Soc. 1982, 108, 1–24. [Google Scholar] [CrossRef]
- Zhao, L.; Lee, X.; Smith, R.B.; Oleson, K. Strong contributions of local background climate to urban heat islands. Nature 2014, 511, 216–219. [Google Scholar] [CrossRef]
- Ossola, A.; Lin, B.B. Making nature-based solutions climate-ready for the 50 °C world. Environ. Sci. Policy 2021, 123, 151–159. [Google Scholar] [CrossRef]
- Mutani, G.; Todeschi, V. The effects of green roofs on outdoor thermal comfort, urban heat island mitigation and energy savings. Atmosphere 2020, 11, 123. [Google Scholar] [CrossRef]
- Akbari, H.; Pomerantz, M.; Taha, H. Cool surfaces and shade trees to reduce energy use and improve air quality in urban areas. Sol. Energy 2001, 70, 295–310. [Google Scholar] [CrossRef]
- Bowler, D.E.; Buyung-Ali, L.; Knight, T.M.; Pullin, A.S. Urban greening to cool towns and cities: A systematic review of the empirical evidence. Landsc. Urban Plan. 2010, 97, 147–155. [Google Scholar] [CrossRef]
- Meili, N.; Manoli, G.; Burlando, P.; Carmeliet, J.; Chow, W.T.L.; Coutts, A.M.; Roth, M.; Velasco, E.; Vivoni, E.R.; Fatichi, S. Tree effects on urban microclimate: Diurnal, seasonal, and climatic temperature differences explained by separating radiation, evapotranspiration, and roughness effects. Urban For. Urban Green. 2021, 58, 126970. [Google Scholar] [CrossRef]
- De Abreu-Harbich, L.V.; Labaki, L.C.; Matzarakis, A. Effect of tree planting design and tree species on human thermal comfort in the tropics. Landsc. Urban Plan. 2015, 138, 99–109. [Google Scholar] [CrossRef]
- Sharmin, M. Urban Vegetation: Towards Cooler, Biodiverse Cities of the Future. In Hawkesbury Institute for the Environment; Western Sydney University, Hawkesbury: Richmond, Australia, 2022. [Google Scholar]
- Ibsen, P.C.; Borowy, D.; Dell, T.; Greydanus, H.; Gupta, N.; Hondula, D.M.; Meixner, T.; Santelmann, M.V.; Shiflett, S.A.; Sukop, M.C.; et al. Greater aridity increases the magnitude of urban nighttime vegetation-derived air cooling. Environ. Res. Lett. 2021, 16, 034011. [Google Scholar] [CrossRef]
- Motazedian, A.; Coutts, A.M.; Tapper, N.J. The microclimatic interaction of a small urban park in central Melbourne with its surrounding urban environment during heat events. Urban For. Urban Green. 2020, 52, 126688. [Google Scholar] [CrossRef]
- Winbourne, J.B.; Jones, T.S.; Garvey, S.M.; Harrison, J.L.; Wang, L.; Li, D.; Templer, P.H.; Hutyra, L.R. Tree transpiration and urban temperatures: Current understanding, implications, and future research directions. BioScience 2020, 70, 576–588. [Google Scholar] [CrossRef]
- Wang, C.; He, J.; Zhao, T.H.; Cao, Y.; Wang, G.; Sun, B.; Yan, X.; Guo, W.; Li, M.H. The smaller the leaf is, the faster the leaf water loses in a temperate forest. Front. Plant Sci. 2019, 10, 58. [Google Scholar] [CrossRef]
- Fauset, S.; Freitas, H.C.; Galbraith, D.R.; Sullivan, M.J.P.; Aidar, M.P.M.; Joly, C.A.; Phillips, O.L.; Vieira, S.A.; Gloor, M.U. Differences in leaf thermoregulation and water use strategies between three co-occurring Atlantic forest tree species. Plant Cell Environ. 2018, 41, 1618–1631. [Google Scholar] [CrossRef]
- Kong, L.; Lau, K.K.L.; Yuan, C.; Chen, Y.; Xu, Y.; Ren, C.; Ng, E. Regulation of outdoor thermal comfort by trees in Hong Kong. Sustain. Cities Soc. 2017, 31, 12–25. [Google Scholar] [CrossRef]
- Wilson, P.J.; Thompson, K.; Hodgson, J.G. Specific leaf area and leaf dry matter content as alternative predictors of plant strategies. New Phytol. 1999, 143, 155–162. [Google Scholar] [CrossRef]
- Rahman, A.M.; Stratopoulos, L.M.F.; Moser-Reischl, A.; Zölch, T.; Häberle, K.; Rötzer, T.; Pretzsch, H.; Pauleit, S. Traits of trees for cooling urban heat islands: A meta-analysis. Build. Environ. 2020, 170, 106606. [Google Scholar] [CrossRef]
- Sellin, A.; Rosenvald, K.; Ounapuu-Pikas, E.; Tullus, A.; Ostonen, I.; Lohmus, K. Elevated air humidity affects hydraulic traits and tree size but not biomass allocation in young silver birches (Betula pendula). Front. Plant Sci. 2015, 6, 860. [Google Scholar] [CrossRef] [PubMed]
- Tyree, M.T.; Ewers, F.W. The hydraulic architecture of trees and other woody plants. New Phytol. 1991, 119, 345–360. [Google Scholar] [CrossRef]
- Grossiord, C.; Buckley, T.N.; Cernusak, L.A.; Novick, K.A.; Poulter, B.; Siegwolf, R.T.W.; Sperry, J.S.; McDowell, N.G. Plant responses to rising vapor pressure deficit. New Phytol. 2020, 226, 1550–1566. [Google Scholar] [CrossRef] [PubMed]
- Aphalo, P.J.; Jarvis, P.G. The boundary layer and the apparent responses of stomatal conductance to wind speed and to the mole fractions of CO2 and water vapour in the air. Plant Cell Environ. 1993, 16, 771–783. [Google Scholar] [CrossRef]
- Carvalho, D.R.; Torre, S.; Kraniotis, D.; Almeida, D.P.; Heuvelink, E.; Carvalho, S.M. Elevated air movement enhances stomatal sensitivity to abscisic acid in leaves developed at high relative air humidity. Front. Plant Sci. 2015, 6, 383. [Google Scholar] [CrossRef]
- Konarska, J.; Uddling, J.; Holmer, B.; Lutz, M.; Lindberg, F.; Pleijel, H.; Thorsson, S. Transpiration of urban trees and its cooling effect in a high latitude city. Int. J. Biometeorol. 2016, 60, 159–172. [Google Scholar] [CrossRef]
- Chen, L.; Zhang, Z.; Li, Z.; Tang, J.; Caldwell, P.; Zhang, W. Biophysical control of whole tree transpiration under an urban environment in Northern China. J. Hydrol. 2011, 402, 388–400. [Google Scholar] [CrossRef]
- Zeppel, M.; Tissue, D.; Taylor, D.; Macinnis-Ng, C.; Eamus, D. Rates of nocturnal transpiration in two evergreen temperate woodland species with differing water-use strategies. Tree Physiol. 2010, 30, 988–1000. [Google Scholar] [CrossRef]
- Rahman, A.M.; Armson, D.; Ennos, A.R. A comparison of the growth and cooling effectiveness of five commonly planted urban tree species. Urban Ecosyst. 2014, 18, 371–389. [Google Scholar] [CrossRef]
- Lin, B.S.; Lin, Y. Cooling effect of shade trees with different characteristics in a subtropical urban park. Am. Soc. Hortic. Sci. 2010, 45, 83–86. [Google Scholar] [CrossRef]
- Trancoso, R.; Syktus, J.; Toombs, N.; Ahrens, D.; Wong, K.K.; Pozza, R.D. Heatwaves intensification in Australia: A consistent trajectory across past, present and future. Sci. Total Environ. 2020, 742, 140521. [Google Scholar] [CrossRef]
- Bureau of Meteorology (BOM). Greater Sydney in January 2020: Record Heat, Severe Storms, Smoke and Dust. Monthly Climate Summary for Greater Sydney. 2020. Available online: http://www.bom.gov.au/climate/current/month/nsw/archive/202001.sydney (accessed on 6 March 2021).
- Lewis, S.C.; King, A.D.; Mitchell, D.M. Australia’s unprecedented future temperature extremes under paris limits to warming. Geophys. Res. Lett. 2017, 44, 9947–9956. [Google Scholar] [CrossRef]
- BOM. Australia in Summer 2018–19. 2019. Available online: http://www.bom.gov.au/climate/current/season/aus/archive/201902.summary.shtml (accessed on 25 May 2019).
- The Commonwealth Scientific and Industrial Research Organisation (CSIRO); Bureau of Meteorology (BOM). Climate Change in Australia Information for Australia’s Natural Resource Management Regions: Technical Report; CSIRO: Canberra, Australia; Bureau of Meteorology: Melbourne, Australia, 2015. [Google Scholar]
- Singh, S.; Hanna, E.G.; Kjellstrom, T. Working in Australia’s heat: Health promotion concerns for health and productivity. Health Promot. Int. 2015, 30, 239–250. [Google Scholar] [CrossRef]
- Whittaker, J.; Haynes, K.; Wilkinson, C.; Tofa, M.; Dilworth, T.; Collins, J.; Tait, L.; Samson, S. Black Summer—How the NSW Community Responded to the 2019–20 Bushfire Season; Bushfire and Natural Hazards CRC: Melbourne, Australia, 2021. [Google Scholar]
- Pfautsch, S.; Wujeska-Klause, A.; Walters, J.R. Measuring local-scale canopy-layer air temperatures in the built environment: A flexible method for urban heat studies. Comput. Environ. Urban Syst. 2023, 99, 101913. [Google Scholar] [CrossRef]
- Wujeska-Klause, A.; Pfautsch, S. The best urban trees for daytime cooling leave nights slightly warmer. Forests 2020, 11, 945. [Google Scholar] [CrossRef]
- Snyder, R.L.; Shaw, R.H. Converting Humidity Expressions with Computers and Calculators; Leaflet 21372; Cooperative Extension, Division of Agriculture and Natural Resources, University of California: Davis, CA, USA, 1984. [Google Scholar]
- Breda, N.J. Ground-based measurements of leaf area index: A review of methods, instruments and current controversies. J. Exp. Bot. 2003, 54, 2403–2417. [Google Scholar] [CrossRef]
- Vinya, R.; Malhi, Y.; Brown, N.; Fisher, J.B. Functional coordination between branch hydraulic properties and leaf functional traits in miombo woodlands: Implications for water stress management and species habitat preference. Acta Physiol. Plant. 2012, 34, 1701–1710. [Google Scholar] [CrossRef]
- Pérez-Harguindeguy, N.; Díaz, S.; Garnier, E.; Lavorel, S.; Poorter, H.; Jaureguiberry, P.; Bret-Harte, M.S.; Cornwell, W.K.; Craine, J.M.; Gurvich, D.E.; et al. New handbook for standardised measurement of plant functional traits worldwide. Aust. J. Bot. 2013, 61, 167. [Google Scholar] [CrossRef]
- R Core Team. R: A Language and Environment for Statistical Computing; R Foundation for Statistical Computing: Vienna, Austria, 2020. [Google Scholar]
- Lenth, R.; Singmann, H.; Love, J.; Buerkner, P.; Herve, M.; emmeans:Estimated Marginal Means, Aka Least-Squares Means. R Package Version 1.4.5. 2020. Available online: https://github.com/rvlenth/emmeans (accessed on 1 April 2021).
- Bretz, F.; Hothorn, T.; Westfall, P. Multiple Comparisons Using R; CRC Press: Boca Raton, FL, USA, 2010. [Google Scholar]
- Bates, D.; Mächler, M.; Bolker, B.; Walker, S. Fitting linear mixed-effects models using ime4. J. Stat. Softw. 2015, 67, 1–48. [Google Scholar] [CrossRef]
- Alonzo, M.; Baker, M.E.; Gao, Y.; Shandas, V. Spatial configuration and time of day impact the magnitude of urban tree canopy cooling. Environ. Res. Lett. 2021, 16, 084028. [Google Scholar] [CrossRef]
- Ziter, C.D.; Pedersen, E.J.; Kucharik, C.J.; Turner, M.G. Scale-dependent interactions between tree canopy cover and impervious surfaces reduce daytime urban heat during summer. Proc. Natl. Acad. Sci. USA 2019, 116, 7575–7580. [Google Scholar] [CrossRef] [PubMed]
- Sanusi, R.; Johnstone, D.; May, P.; Livesley, S.J. Microclimate benefits that different street tree species provide to sidewalk pedestrians relate to differences in Plant Area Index. Landsc. Urban Plan. 2017, 157, 502–511. [Google Scholar] [CrossRef]
- Aguiar, A.C.; French, K.; Chisholm, L.A. A comparison of the ameliorating effects of native and exotic street trees on surface heat retention at dusk. Urban Clim. 2014, 10, 56–62. [Google Scholar] [CrossRef]
- Shahidan, M.F.; Shariff, M.K.M.; Jones, P.; Salleh, E.; Abdullah, A.M. A comparison of Mesua ferrea L. and Hura crepitans L. for shade creation and radiation modification in improving thermal comfort. Landsc. Urban Plan. 2010, 97, 168–181. [Google Scholar]
- Rahman, A.M.; Moser, A.; Rötzer, T.; Pauleit, S. Within canopy temperature differences and cooling ability of Tilia cordata trees grown in urban conditions. Build. Environ. 2017, 114, 118–128. [Google Scholar] [CrossRef]
- Barišić, I.; Netinger Grubeša, I.; Krstić, H.; Kubica, D. Field and Laboratory Assessment of Different Concrete Paving Materials Thermal Behavior. Sustainability 2022, 14, 6638. [Google Scholar] [CrossRef]
- Shashua-Bar, L.; Pearlmutter, D.; Erell, E. The influence of trees and grass on outdoor thermal comfort in a hot-arid environment. Int. J. Climatol. 2011, 31, 1498–1506. [Google Scholar] [CrossRef]
- Granier, A.; Huc, R.; Barigah, S. Transpiration of natural rain forest and its dependence on climatic factors. Agric. For. Meteorol. 1996, 78, 19–29. [Google Scholar] [CrossRef]
- Yu, Q.; Ji, W.; Pu, R.; Landry, S. A Preliminary Exploration of the Cooling Effect of Tree Shade in Urban Landscapes. Int. J. Appl. Earth Obs. Geoinf. 2020, 92, 102161. [Google Scholar] [CrossRef]
- Oliveira, A.; Lopes, A.; Correia, E.; Niza, S.; Soares, A. Heatwaves and summer urban heat islands: A daily cycle approach to unveil the urban thermal signal changes in lisbon, portugal. Atmosphere 2021, 12, 292. [Google Scholar] [CrossRef]
- Alcoforado, M.; Andrade, H.; Lopes, A.; Vasconcelos, J. Application of climatic guidelines to urban planning: The example of Lisbon (Portugal). Landsc. Urban Plan. 2009, 90, 56–65. [Google Scholar] [CrossRef]
- Souch, C.A.; Souch, C. The effect of trees on summertime below canopy urban climates: A case study Bloomington, Indiana. J. Arboric. 1993, 19, 303–312. [Google Scholar] [CrossRef]
- Taha, H.; Akbari, H.; Rosenfeld, A. Heat island and oasis effects of vegetative canopies: Micro-meteorological field-measurements. Theor. Appl. Climatol. 1991, 44, 123–138. [Google Scholar] [CrossRef]
- Kaluarachichi, T.U.N.; Tjoelker, M.G.; Pfautsch, S. Temperature reduction in urban surface materials through tree shading depends on surface type not tree species. Forests 2020, 11, 1141. [Google Scholar]
- Bureau of Meteorology (BOM). Previous Droughts 2020. Available online: http://www.bom.gov.au/climate/drought/knowledge-centre/previous-droughts.shtml#:~:text=The%202019%20cool%20season%20was,Basin%20and%20New%20South%20Wales (accessed on 18 August 2022).
- Marchin, R.M.; Esperon-Rodriguez, M.; Tjoelker, M.G.; Ellsworth, D.S. Crown dieback and mortality of urban trees linked to heatwaves during extreme drought. Sci. Total Environ. 2022, 850, 157915. [Google Scholar] [CrossRef]
- Tabassum, S.; Manea, A.; Ossola, A.; Thomy, B.; Blackham, D.; Leishman, M.R. The angriest summer on record: Assessing canopy damage and economic costs of an extreme climatic event. Urban For. Urban Green. 2021, 63, 127221. [Google Scholar] [CrossRef]
- Klein, T.; Niu, S. The variability of stomatal sensitivity to leaf water potential across tree species indicates a continuum between isohydric and anisohydric behaviours. Funct. Ecol. 2014, 28, 1313–1320. [Google Scholar] [CrossRef]
- Marchin, R.M.; Backes, D.; Ossola, A.; Leishman, M.R.; Tjoelker, M.G.; Ellsworth, D.S. Extreme heat increases stomatal conductance and drought-induced mortality risk in vulnerable plant species. Glob. Chang. Biol. 2022, 28, 1133–1146. [Google Scholar] [CrossRef]
- Tardieu, F.; Simonneau, T. Variability among species of stomatal control under fluctuating soil water status and evaporative demand: Modelling isohydric and anisohydric behaviours. J. Exp. Bot. 1998, 49, 419–432. [Google Scholar] [CrossRef]
- McDowell, N.G.; Sapes, G.; Pivovaroff, A.; Adams, H.D.; Allen, C.D.; Anderegg, W.R.L.; Arend, M.; Breshears, D.D.; Brodribb, T.; Choat, B.; et al. Mechanisms of woody-plant mortality under rising drought, CO2 and vapour pressure deficit. Nat. Rev. Earth Environ. 2022, 3, 294–308. [Google Scholar] [CrossRef]
- Osonubi, O.; Davies, W.J. The Influence of plant water stress on stomatal control of gas exchange at different levels of atmospheric humidity. Oecologia 1980, 46, 1–6. [Google Scholar] [CrossRef] [PubMed]
- Urban, J.; Ingwers, M.W.; McGuire, M.A.; Teskey, R.O. Increase in leaf temperature opens stomata and decouples net photosynthesis from stomatal conductance in Pinus taeda and Populus deltoides x nigra. J. Exp. Bot. 2017, 68, 1757–1767. [Google Scholar] [CrossRef] [PubMed]
- Taha, H. Urban climates and heat islands: Albedo, evapotranspiration, and anthropogenic heat. Energy Build. 1997, 25, 99–103. [Google Scholar] [CrossRef]
- O’grady, A.P.; Eamus, D.; Hutly, L.B. Transpiration increases during the dry season: Patterns of tree water use in eucalypt open-forests of northern Australia. Tree Physiol. 1999, 19, 591––597. [Google Scholar] [CrossRef]
- Esperon-Rodriguez, M.; Power, S.A.; Tjoelker, M.G.; Marchin, R.M.; Rymer, P.D. Contrasting heat tolerance of urban trees to extreme temperatures during heatwaves. Urban For. Urban Green. 2021, 66, 127387. [Google Scholar] [CrossRef]
- Dawson, T.E.; Burgress, S.S.O.; Tu, K.P.; Oliveira, R.S.; Santiago, L.S.; Fisher, J.B.; Simonin, K.A.; Ambrose, A.R. Nighttime transpiration in woody plants from contrasting ecosystems. Tree Physiol. 2007, 27, 561–575. [Google Scholar] [CrossRef]
- Lindén, J.; Fonti, P.; Esper, J. Temporal variations in microclimate cooling induced by urban trees in Mainz, Germany. Urban For. Urban Green. 2016, 20, 198–209. [Google Scholar] [CrossRef]
- Esperon-Rodriguez, M.; Power, S.A.; Tjoelker, M.G.; Rymer, P.D. Urban tree inventories and future climate risk in Australian cities: Pitfalls, possibilities and practical considerations. Urban For. Urban Green. 2022, 78, 127769. [Google Scholar] [CrossRef]
- Oke, T.R.; Mills, G.; Christen, A.; Voogt, J.A. Energy Balance. In Urban Climates; Cambridge University Press: Cambridge, UK, 2017; pp. 158–196. [Google Scholar]
- Memon, R.A.; Leung, D.Y.C.; Liu, C.-H. Effects of building aspect ratio and wind speed on air temperatures in urban-like street canyons. Build. Environ. 2010, 45, 176–188. [Google Scholar] [CrossRef]
- Pfautsch, S.; Rouillard, S. Benchmarking Heat in Parramatta, Sydney’s Central River City; Western Sydney University: Parramatta, Australia, 2019; 56p. [Google Scholar]







| Species List | Species Abbreviation (Number) | Family | Evergreen/ Deciduous | Canopy Width | Height (m) | DBH (cm) | Huber Value (cm2 mm−2) | LDMC (mg g−1) | LAI (m2 m−2) | SLA (cm2 g−1) |
|---|---|---|---|---|---|---|---|---|---|---|
| Callistemon viminalis Sol. ex Gaertn | Cal (10) | Myrtaceae | Evergreen | 7.2 ± 1.0 | 6.6 ± 1.1 | 18.6 ± 4.5 | 0.0052 ± 0.002 | 516.2 ± 50.0 | 2.74 ± 0.7 | 58.4 ± 15.0 |
| Eucalyptus microcorys F. Muell | Euc (9) | Myrtaceae | Deciduous | 13.1 ± 1.9 | 13.6 ± 1.9 | 50.1 ± 14.9 | 0.0017 ± 0.0005 | 493.0 ± 22.1 | 2.9 ± 0.5 | 73.2 ± 7.6 |
| Jacaranda mimosifolia D. Don | Jac (10) | Bignoniaceae | Deciduous | 10.9 ± 1.8 | 9.2 ± 2.0 | 32.3 ± 11.8 | 0.0016 ± 0.001 | 384.1 ± 39.1 | 3.42 ± 0.5 | 144.0 ± 25.0 |
| Liquidambar styraciflua L. | Liq (10) | Altingiaceae | Deciduous | 13.4 ± 4.4 | 15.1 ± 3.1 | 51.8 ± 16.0 | 0.0022 ± 0.001 | 389.0 ± 0.2 | 4.05 ± 0.7 | 121.0 ± 17.9 |
| Lophostemon confertus R.Br. | Loph (10) | Myrtaceae | Deciduous | 10.3 ± 1.5 | 11.2 ± 1.8 | 44.9 ± 13.0 | 0.002 ± 0.001 | 437.5 ± 80.0 | 4.23 ± 0.8 | 69.7 ± 13.8 |
| Melaleuca quinquenervia (Cav.) S.T.Blake | Mel (9) | Myrtaceae | Evergreen | 9.7 ± 2.0 | 10.5 ± 1.8 | 61.0 ± 35.1 | 0.0026 ± 0.0006 | 379.7 ± 50.1 | 3.55 ± 0.8 | 61.9 ± 13.5 |
| Platanus × acerifolia (Aiton) Willd. | Plat (10) | Platanaceae | Deciduous | 16.2 ± 3.8 | 16.4 ± 2.5 | 56.4 ± 38.4 | 0.0016 ± 0.001 | 392.0 ± 50.3 | 3.62 ± 1.0 | 133.0 ± 40.6 |
| Pyrus calleryana Decne. | Pyr (10) | Rosaceae | Deciduous | 7.5 ± 1.3 | 8.1 ± 3.4 | 21.3 ± 6.5 | 0.003 ± 0.0008 | 463.2 ± 23.7 | 4.35 ± 1.2 | 89.3 ± 14.1 |
| Sapium sebiferum (L.) Roxb. | Sap (9) | Euphorbiaceae | Deciduous | 9.5 ± 2.0 | 9.2 ± 1.3 | 35.5 ± 11.9 | 0.001 ± 0.0003 | 378.0 ± 43.0 | 3.44 ± 0.2 | 156 ± 53.8 |
| Ulmus parvifolia Jacq. | Ulm (9) | Ulmaceae | Deciduous | 11.5 ± 2.7 | 10.0 ± 1.6 | 29.9 ± 7.4 | 0.003 ± 0.002 | 408.0 ± 39.5 | 3.92 ± 1.0 | 90.1 ± 8.0 |
Disclaimer/Publisher’s Note: The statements, opinions and data contained in all publications are solely those of the individual author(s) and contributor(s) and not of MDPI and/or the editor(s). MDPI and/or the editor(s) disclaim responsibility for any injury to people or property resulting from any ideas, methods, instructions or products referred to in the content. |
© 2023 by the authors. Licensee MDPI, Basel, Switzerland. This article is an open access article distributed under the terms and conditions of the Creative Commons Attribution (CC BY) license (https://creativecommons.org/licenses/by/4.0/).
Share and Cite
Sharmin, M.; Tjoelker, M.G.; Pfautsch, S.; Esperón-Rodriguez, M.; Rymer, P.D.; Power, S.A. Tree Traits and Microclimatic Conditions Determine Cooling Benefits of Urban Trees. Atmosphere 2023, 14, 606. https://doi.org/10.3390/atmos14030606
Sharmin M, Tjoelker MG, Pfautsch S, Esperón-Rodriguez M, Rymer PD, Power SA. Tree Traits and Microclimatic Conditions Determine Cooling Benefits of Urban Trees. Atmosphere. 2023; 14(3):606. https://doi.org/10.3390/atmos14030606
Chicago/Turabian StyleSharmin, Mahmuda, Mark G. Tjoelker, Sebastian Pfautsch, Manuel Esperón-Rodriguez, Paul D. Rymer, and Sally A. Power. 2023. "Tree Traits and Microclimatic Conditions Determine Cooling Benefits of Urban Trees" Atmosphere 14, no. 3: 606. https://doi.org/10.3390/atmos14030606
APA StyleSharmin, M., Tjoelker, M. G., Pfautsch, S., Esperón-Rodriguez, M., Rymer, P. D., & Power, S. A. (2023). Tree Traits and Microclimatic Conditions Determine Cooling Benefits of Urban Trees. Atmosphere, 14(3), 606. https://doi.org/10.3390/atmos14030606

