Analysis of the Impact of Meteorological Factors on Ambient Air Quality during the COVID-19 Lockdown in Jilin City in 2022
Abstract
1. Introduction
2. Data Source and Method
2.1. Overview of the Study Area
2.2. Data Source
2.3. WRF–CMAQ Model
3. Results and Discussion
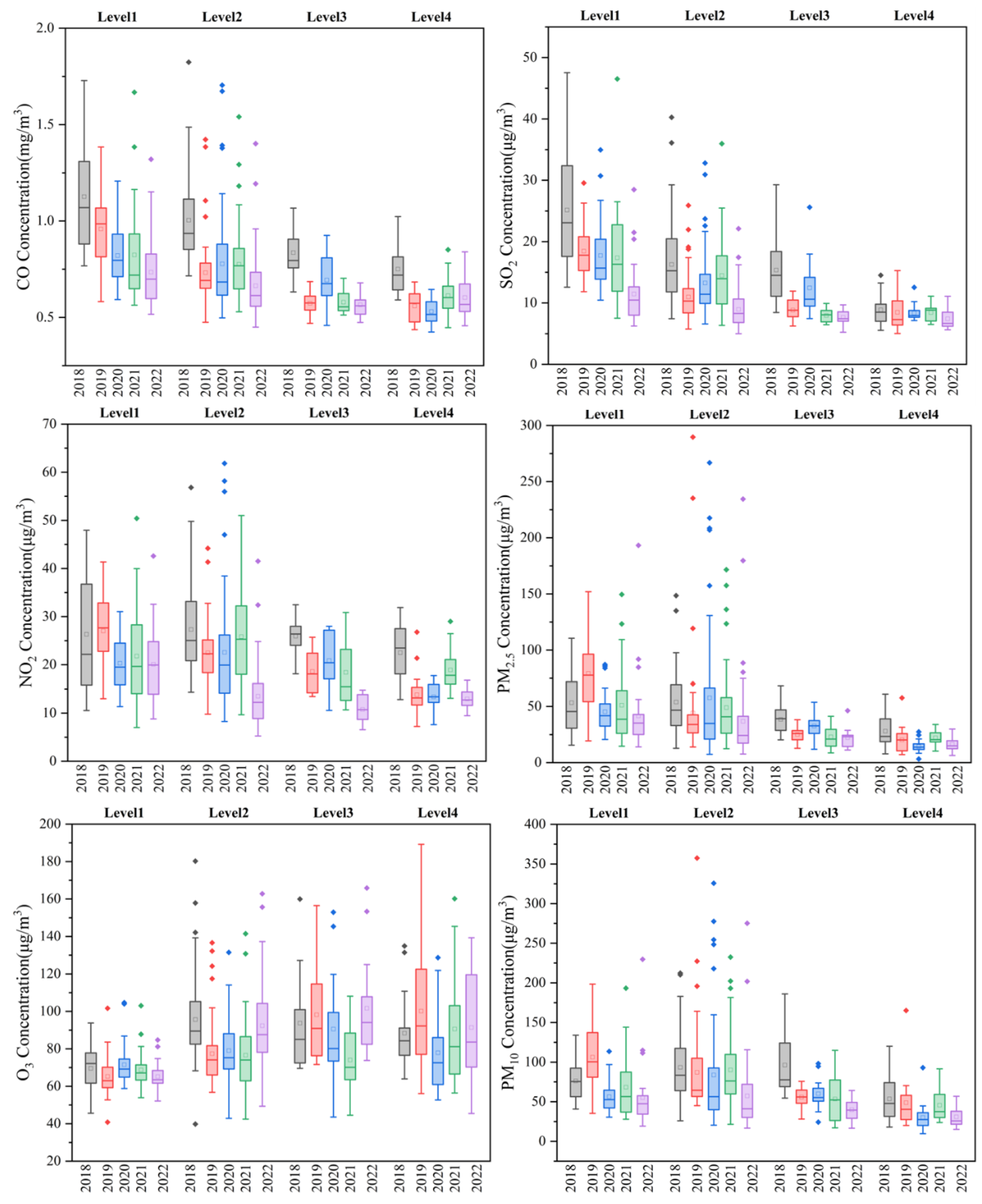
3.1. Comparison of Pollutant Concentrations in Different Years at the Same Period
3.2. Daily Average Concentration Change
3.3. Hourly Variation Trend of Pollutants in Different Control Periods
3.4. WRF Model Simulation Effect Evaluation
3.5. CMAQ Model Simulation Effect Evaluation
3.6. Impact of Changes in Meteorological Conditions on Changes in Pollutant Concentrations
4. Conclusions
Supplementary Materials
Author Contributions
Funding
Institutional Review Board Statement
Informed Consent Statement
Data Availability Statement
Acknowledgments
Conflicts of Interest
References
- Gao, H.; Wang, J.; Li, T.; Fang, C. Analysis of Air Quality Changes and Influencing Factors in Changchun During the COVID-19 Pandemic in 2020. Aerosol Air Qual. Res. 2021, 21, 210055. [Google Scholar] [CrossRef]
- Mofijur, M.; Fattah, I.M.R.; Alam, M.A.; Islam, A.B.M.S.; Ong, H.C.; Rahman, S.M.A.; Najafi, G.; Ahmed, S.F.; Uddin, M.A.; Mahlia, T.M.I. Impact of COVID-19 on the social, economic, environmental and energy domains: Lessons learnt from a global pandemic. Sustain. Prod. Consum. 2021, 26, 343–359. [Google Scholar] [CrossRef] [PubMed]
- Zheng, H.; Kong, S.F.; Chen, N.; Yan, Y.; Liu, D.; Zhu, B.; Xu, K.; Cao, W.; Ding, Q.; Lan, B.; et al. Significant changes in the chemical compositions and sources of PM2.5 in Wuhan since the city lockdown as COVID-19. Sci. Total Environ. 2020, 739, 140000. [Google Scholar] [CrossRef] [PubMed]
- Yao, L.Q.; Kong, S.F.; Zheng, H.; Chen, N.; Zhu, B.; Xu, K.; Cao, W.; Zhang, Y.; Zheng, M.; Cheng, Y.; et al. Co-benefits of reducing PM2.5 and improving visibility by COVID-19 lockdown in Wuhan. NPJ Clim. Atmos. Sci. 2021, 4, 1–10. [Google Scholar] [CrossRef]
- Le, T.; Wang, Y.; Liu, L.; Yang, J.; Yung, Y.L.; Li, G.; Seinfeld, J.H. Unexpected air pollution with marked emission reductions during the COVID-19 outbreak in China. Science 2020, 369, 702–706. [Google Scholar] [CrossRef]
- Bao, R.; Zhang, A. Does lockdown reduce air pollution? Evidence from 44 cities in northern China. Sci. Total Environ. 2020, 731, 139052. [Google Scholar] [CrossRef] [PubMed]
- Sulaymon, I.D.; Zhang, Y.; Hopke, P.K.; Zhang, Y.; Hua, J.; Mei, X. COVID-19 pandemic in Wuhan: Ambient air quality and the relationships between criteria air pollutants and meteorological variables before, during, and after lockdown. Atmos. Res. 2021, 250, 105362. [Google Scholar] [CrossRef]
- Wang, P.; Chen, K.; Zhu, S.; Wang, P.; Zhang, H. Severe air pollution events not avoided by reduced anthropogenic activities during COVID-19 outbreak. Conserv. Recycl. 2020, 158, 104814. [Google Scholar] [CrossRef]
- Rudke, A.P.; de Almeida, D.S.; Alves, R.A.; Beal, A.; Martins, L.D.; Martins, J.A.; Hallak, R.; de Almeida Albuquerque, T.T. Impacts of Strategic Mobility Restrictions Policies during 2020 COVID-19 Outbreak on Brazil’s Regional Air Quality. Aerosol Air Qual. Res. 2022, 22, 210351. Available online: https://aaqr.org/articles/aaqr-21-11-covid2-0351 (accessed on 8 February 2023). [CrossRef]
- Matthias, V.; Quante, M.; Arndt, J.A.; Badeke, R.; Fink, L.; Petrik, R.; Feldner, J.; Schwarzkopf, D.; Link, E.-M.; Ramacher, M.O.P.; et al. The role of emission reductions and the meteorological situation forair quality improvements during the COVID-19 lockdown period in central Europe. Atmos. Chem. Phys. 2021, 21, 13931–13971. [Google Scholar] [CrossRef]
- Fu, S.; Guo, M.; Fan, L.; Deng, Q.; Han, D.; Wei, Y.; Luo, J.; Qin, G.; Cheng, J. Ozone pollution mitigation in Guangxi (south China) driven by meteorology andanthropogenic emissions during the CoVID-19 lockdown. Environ. Pollut. 2021, 272, 115927. [Google Scholar] [CrossRef] [PubMed]
- Zaręba, M.; Danek, T. Analysis of Air Pollution Migration during COVID-19 Lockdown in Krakow, Poland. Aerosol Air Qual. Res. 2022, 22, 210275. Available online: https://aaqr.org/articles/aaqr-21-10-covid2-0275 (accessed on 8 February 2023). [CrossRef]
- Danek, T.; Weglinska, E.; Zareba, M. The Influence of Meteorological Factors and Terrain on Air Pollution Concentration and Migration: A Geostatistical Case Study from Krakow, Poland. Sci. Rep. 2022, 12, 11050. Available online: https://www.nature.com/articles/s41598-022-15160-3 (accessed on 8 February 2023). [CrossRef] [PubMed]
- Statistical Bulletin of National Economic and Social Development of Jilin City in 2021. Available online: http://www.jl.gov.cn/mobile/sj/sjcx/ndbg/tjgb/202206/t20220602_8466592.html (accessed on 1 June 2022).
- Sugata, S. Seasonal Simulation of the Air Quality in East Asia Using CMAQ. In Air Pollution Modeling and Its Application XV; Borrego, C., Schayes, G., Eds.; Springer: Boston, MA, USA, 2004. [Google Scholar] [CrossRef]
- Appel, W.; Napelenok, S.; Hogrefe, C.; Pouliot, G.; Foley, K.; Roselle, S.; Pleim, J.; Bash, J.; Pye, H.; Heath, N. Overview and Evaluation of the Community Multiscale Air Quality (CMAQ) Modeling System Version 5.2. In Air Pollution Modeling and Its Application XXV. ITM 2016. Springer Proceedings in Complexity; Mensink, C., Kallos, G., Eds.; Springer: Cham, Switzerland, 2018. [Google Scholar] [CrossRef]
- Gao, L.; Liu, Z.; Chen, D.; Yan, P.; Zhang, Y.; Hu, H.; Liang, H. GPS-ZTD data assimilation and its impact on wintertime haze prediction over North China Plain using WRF 3DVAR and CMAQ modeling system. Environ. Sci. Pollut. Res. 2021, 28, 68523–68538. [Google Scholar] [CrossRef] [PubMed]
- Tan, J.; Zhang, Y.; Ma, W.; Yu, Q.; Wang, Q.; Fu, Q.; Zhou, B.; Chen, J. Evaluation and potential improvements of WRF/CMAQ in simulating multi-levels air pollution in megacity Shanghai, China. Stoch. Environ. Res. Risk Assess. 2017, 31, 2513–2526. [Google Scholar] [CrossRef]
- Frid, M.; Haeger-Eugensson, M.; Rayner, D. Alteration of Vehicle Propellant Use and the Impact on CO2 Emissions and NO2 Concentrations in Gothenburg and Mölndal. In Air Pollution Modeling and Its Application XXVII. ITM 2019. Springer Proceedings in Complexity; Mensink, C., Matthias, V., Eds.; Springer: Berlin/Heidelberg, Germany, 2021. [Google Scholar] [CrossRef]
- Steinhaus, T.; Thiem, M.; Beidl, C. NO2-immission assessment for an urban hot-spot by modelling the emission–immission interaction. Automot. Engine Technol. 2021, 6, 113–125. [Google Scholar] [CrossRef]
- Fang, C.; Xue, K.; Li, J.; Wang, J. Characteristics and Weekend Effect of Air Pollution in Eastern Jilin Province. Atmosphere 2022, 13, 681. [Google Scholar] [CrossRef]
- Kommalapati, R.R.; Liang, Z.; Huque, Z. Photochemical model simulations of air quality for Houston–Galveston–Brazoria area and analysis of ozone–NO x –hydrocarbon sensitivity. Int. Environ. Sci. Technol. 2016, 13, 209–220. [Google Scholar] [CrossRef]
- Domínguez-López, D.; Adame, J.A.; Hernández-Ceballos, M.A.; Vaca, F.; De la Morena, B.A. Spatial and temporal variation of surface ozone, NO and NO2 at urban, suburban, rural and industrial sites in the southwest of the Iberian Peninsula. Env. Monit Assess 2014, 186, 5337–5351. [Google Scholar] [CrossRef]
- Feng, R.; Luo, K.; Fan, J. Decoding Tropospheric Ozone in Hangzhou, China: From Precursors to Sources. Asia-Pac. J Atmos Sci. 2020, 56, 321–331. [Google Scholar] [CrossRef]
- Pedruzzi, R.; Baek, B.H.; Henderson, B.H.; Aravanis, N.; Pinto, J.A.; Araujo, I.B.; Nascimento, E.G.S.; Junior, N.C.; Moreira, D.M.; de Almeida Albuquerque, T.T. Performance evaluation of a photochemical model using different boundary conditions over the urban and industrialized metropolitan area of Vitória, Brazil. Environ. Sci. Pollut. Res. 2019, 26, 16125–16144. [Google Scholar] [CrossRef] [PubMed]








| Year | Element | R | Rcrucial (n-2, p) | RMSE |
|---|---|---|---|---|
| 2022 | T2 | 0.94 | 0.16 (250, 0.01) | 2.7 °C |
| WS10 | 0.67 | 0.18 (245, 0.01) | 3.3 m/s | |
| 2017 | T2 | 0.90 | 0.16 (250, 0.01) | 4.5 °C |
| WS10 | 0.64 | 0.18 (210, 0.01) | 1.9 m/s |
| PM2.5 | PM10 | NO2 | |
|---|---|---|---|
| Simulation value (ug/m3) | 55 | 80 | 32 |
| Observation value (ug/m3) | 81 | 118 | 37 |
| R | 0.26 | 0.29 | 0.14 |
| Rcrucial (n-2, p) | 0.097 (620, 0.01) | 0.097 (609, 0.01) | 0.097 (617, 0.01) |
| MFB | 15% | 14% | 0.33% |
| MFE | 61% | 52% | 49% |
| Year | T2 (StDev) | WS (StDev) | PBLH (StDev) |
|---|---|---|---|
| 2017 | 0.84°C (7.3 °C) | 3.7 m/s (2.3 m/s) | 538 m (660 m) |
| 2022 | 2.7°C (6.7 °C) | 4.9 m/s (3.3 m/s) | 726 m (649 m) |
| Element | t | n | Significance (p) |
|---|---|---|---|
| T2 (2017–2022) | −5.1 | 251 | <0.001 |
| WS (2017–2022) | −4.5 | 210 | <0.001 |
| PBLH (2017–2022) | −4.9 | 251 | <0.001 |
| Stations | PM2.5 | PM10 | NO2 | SO2 | CO |
|---|---|---|---|---|---|
| HDW | 42% ± 17% | 32% ± 12% | 32% ± 10% | 42% ± 23% | 35% ± 17% |
| DJZ | 29% ± 33% | 21% ± 19% | 26% ± 11% | 27% ± 55% | 22% ± 30% |
| DLXY | 40% ± 15% | 28% ± 11% | 33% ± 27% | 26% ± 194% | 33% ± 12% |
| JNGY | 41% ± 16% | 31% ± 12% | 35% ± 8.5% | 45% ± 20% | 35% ± 16% |
Disclaimer/Publisher’s Note: The statements, opinions and data contained in all publications are solely those of the individual author(s) and contributor(s) and not of MDPI and/or the editor(s). MDPI and/or the editor(s) disclaim responsibility for any injury to people or property resulting from any ideas, methods, instructions or products referred to in the content. |
© 2023 by the authors. Licensee MDPI, Basel, Switzerland. This article is an open access article distributed under the terms and conditions of the Creative Commons Attribution (CC BY) license (https://creativecommons.org/licenses/by/4.0/).
Share and Cite
Wang, J.; Shi, W.; Xue, K.; Wu, T.; Fang, C. Analysis of the Impact of Meteorological Factors on Ambient Air Quality during the COVID-19 Lockdown in Jilin City in 2022. Atmosphere 2023, 14, 400. https://doi.org/10.3390/atmos14020400
Wang J, Shi W, Xue K, Wu T, Fang C. Analysis of the Impact of Meteorological Factors on Ambient Air Quality during the COVID-19 Lockdown in Jilin City in 2022. Atmosphere. 2023; 14(2):400. https://doi.org/10.3390/atmos14020400
Chicago/Turabian StyleWang, Ju, Weihao Shi, Kexin Xue, Tong Wu, and Chunsheng Fang. 2023. "Analysis of the Impact of Meteorological Factors on Ambient Air Quality during the COVID-19 Lockdown in Jilin City in 2022" Atmosphere 14, no. 2: 400. https://doi.org/10.3390/atmos14020400
APA StyleWang, J., Shi, W., Xue, K., Wu, T., & Fang, C. (2023). Analysis of the Impact of Meteorological Factors on Ambient Air Quality during the COVID-19 Lockdown in Jilin City in 2022. Atmosphere, 14(2), 400. https://doi.org/10.3390/atmos14020400

