The Impacts of Assimilating Fengyun-4A Atmospheric Motion Vectors on Typhoon Forecasts
Abstract
1. Introduction
2. Data and Methodology
2.1. WRFDA-3DVAR Assimilation System
2.2. AMVs Datasets from Fengyun Satellite Series
2.3. Reanalysis Data
2.4. Typhoon Track and Intensity Data
3. The Assessment of the AMVs Data
- AMVs from infrared channels above 100 hPa and below 900 hPa were excluded;
- AMVs from water vapor channels above 100 hPa and below 550 hPa were excluded;
- AMVs with full wind speed <5 m/s and full wind speed >55 m/s were excluded;
- AMVs outside the assimilation window were excluded;
- AMVs with QI < 80 were excluded.
4. AMVs Data Assimilation Experiments Studies
4.1. Overview of Severe Typhoon In-Fa
4.2. Experimental Settings
4.3. Forecasting Impacts on Typhoon In-Fa
4.3.1. Impacts on the Typhoon Track and Intensity Forecasts
4.3.2. Impacts on the Typhoon Precipitation Forecasts
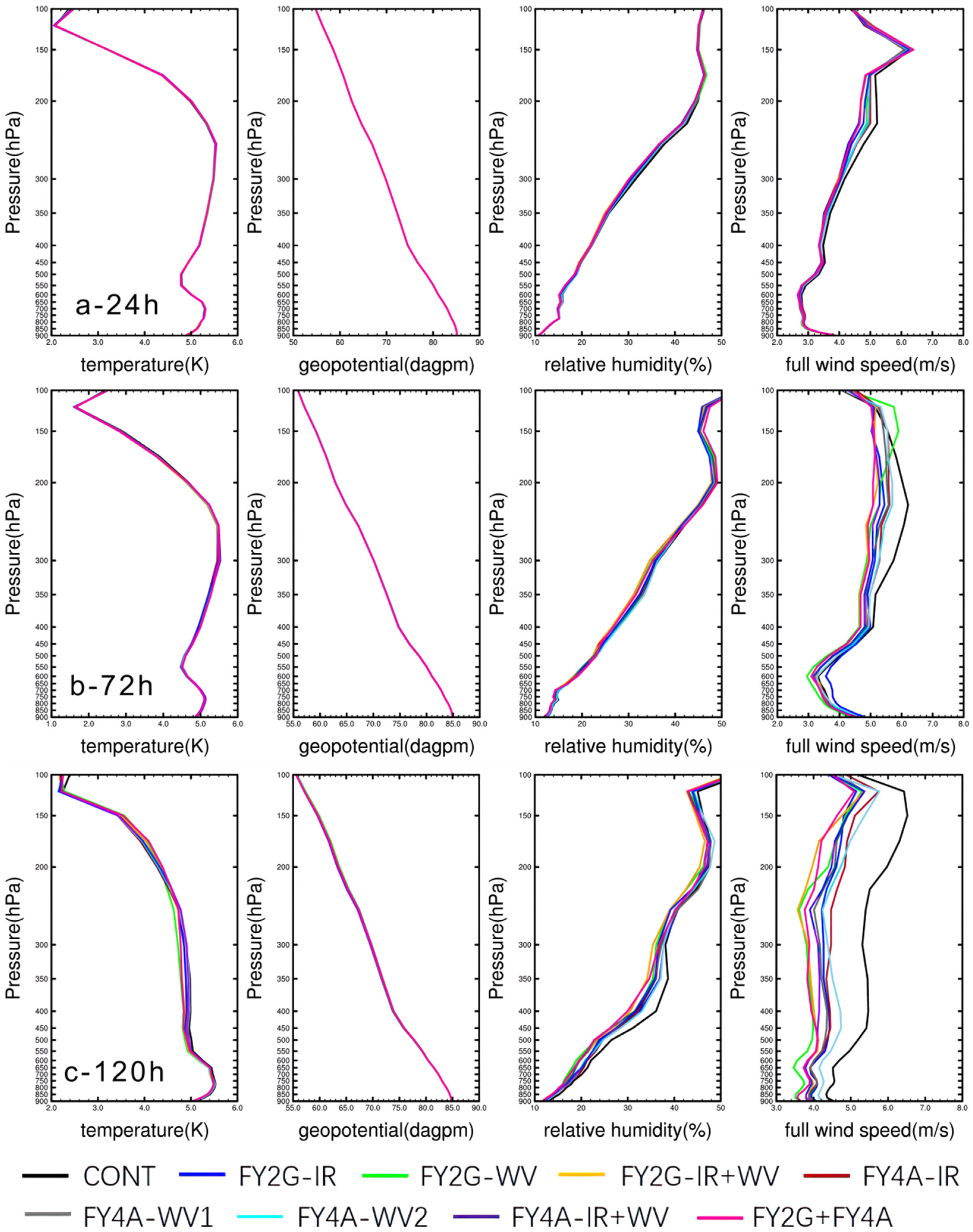
4.3.3. Forecasting Impacts on the Physical Variables Fields
5. Conclusions and Discussion
Author Contributions
Funding
Data Availability Statement
Conflicts of Interest
References
- Yang, J. Meteorological Satellites and their Applications; China Meteorological Press: Beijing, China, 2012. (In Chinese) [Google Scholar]
- Zhang, P.; Guo, Q.; Chen, B.; Feng, X. Comparative analysis of Chinese Fy-4 meteorological satellite and Japanese Himawari-8/9 satellite. Prog. Meteorol. Sci. Technol. 2016, 6, 72–75. (In Chinese) [Google Scholar]
- Lu, F.; Zhang, X.H.; Chen, B.Y.; Liu, H.; Wu, R.; Han, Q.; Feng, X.; Li, Y.; Zhang, Z. FY-4 geostationary meteorological satellite imaging characteristics and its application prospects. J. Mar. Meteor. 2017, 37, 1–12. (In Chinese) [Google Scholar] [CrossRef]
- Hansen, M.C.; Reed, B. A comparison of the IGBP DIS Cover and University of Maryland 1 km global land cover products. Int. J. Remote Sens. 2000, 21, 1365–1373. [Google Scholar] [CrossRef]
- Xue, J. The scientific problems and prospects of meteorological satellite data assimilation. Acta Meteorol. Sin. 2009, 67, 903–911. (In Chinese) [Google Scholar] [CrossRef]
- Mecikalski, J.R.; Bedka, K.M. Forecasting convective initiation by monitoring the evolution of moving cumulus in daytime GOES imagery. Mon. Weather Rev. 2006, 134, 49–78. [Google Scholar] [CrossRef]
- Bedka, K.M.; Velden, C.S.; Petersen, R.A.; Feltz, W.F.; Mecikalski, J.R. Comparisons of satellite-derived atmospheric motion vectors, rawinsondes, and NOAA wind profiler observations. J. Appl. Meteorol. Climatol. 2009, 48, 1542–1561. [Google Scholar] [CrossRef]
- Mecikalski, J.R.; Bedka, K.M.; Paech, S.J.; Litten, L.A. A statistical evaluation of GOES cloud-top properties for nowcasting convective initiation. Mon. Weather Rev. 2008, 136, 4899–4914. [Google Scholar] [CrossRef]
- Velden, C.S.; Bedka, K.M. Identifying the Uncertainty in Determining Satellite-Derived Atmospheric Motion Vector Height Attribution. J. Appl. Meteorol. Climatol. 2009, 48, 450–463. [Google Scholar] [CrossRef]
- Salonen, K.; Cotton, J.; Bormann, N.; Forsythe, M. Characterizing AMV Height-Assignment Error by Comparing Best-Fit Pressure Statistics from the Met Office and ECMWF Data Assimilation Systems. J. Appl. Meteor. Climatol. 2014, 54, 5647–5653. [Google Scholar] [CrossRef]
- Liu, R.; Zhai, G.; Wang, Z.; Zhu, Y.; Shen, H.; Xu, Y. Experimental study on the influence of FY-2C Cloud Track Wind Data Assimilation on typhoon forecast. Chin. J. Atmos. Sci. 2012, 36, 350–360. (In Chinese) [Google Scholar]
- Liang, J.; Chen, K.; Xian, Z. Assessment of FY-2G Atmospheric Motion Vector Data and Assimilating Impacts on Typhoon Forecasts. Earth Space Sci. 2021, 8, e2020EA001628. [Google Scholar] [CrossRef]
- Barker, D.; Huang, X.Y.; Liu, Z.; Auligné, T.; Zhang, X.; Rugg, S.; Ajjaji, R.; Bourgeois, A.; Bray, J.; Chen, Y.; et al. The weather research and forecasting model’s community variational/ensemble data assimilation system: WRFDA. Bull. Am. Meteorol. Soc. 2012, 93, 831–843. [Google Scholar] [CrossRef]
- Barker, D.; Huang, W.; Guo, Y.-R.; Bourgeois, A. A three-dimensional variational (3DVAR) data assimilation system for use with MM5. NCAR Tech. Note 2003, 68, 897–914. [Google Scholar] [CrossRef]
- Huang, X.Y.; Xiao, Q.; Barker, D.; Zhang, X.; Michalakes, J.; Huang, W.; Henderson, T.; Bray, J.; Chen, Y.; Ma, Z.; et al. Four-Dimensional Variational Data Assimilation for WRF: Formulation and Preliminary Results. Mon. Weather Rev. 2009, 137, 299–314. [Google Scholar] [CrossRef]
- Lin, Y.; Farley, R.; Orville, H. Bulk parameterization of the snow field in a cloud model. J. Clim. Appl. Meteorol. 1983, 22, 1065–1092. [Google Scholar] [CrossRef]
- Tiedtke, M. A comprehensive mass flux scheme for cumulus parameterization in large–scale models. Mon. Weather Rev. 1989, 117, 1779–1800. [Google Scholar] [CrossRef]
- Mlawer, E.J.; Taubman, S.J.; Brown, P.D.; Iacono, M.J.; Clough, S.A. Radiative transfer for inhomogeneous atmospheres:RRTM, a validated correlated-k model for the longwave. J. Geophys. Res. 1997, 102, 16663–16682. [Google Scholar] [CrossRef]
- Janjic, Z.I. The Step-Mountain Eta Coordinate Model: Further developments of the convection, viscous sublayer, and turbulence closure schemes. Mon. Weather Rev. 1994, 122, 927–945. [Google Scholar] [CrossRef]
- Niu, G.-Y.; Yang, Z.-L.; Mitchell, K.; Chen, F.; Ek, M.; Barlage, M.; Kumar, A.; Manning, K.; Niyogi, D.; Rosero, E.; et al. The community Noah land surface model with multiparameterization options (Noah–MP): 1. Model description and evaluation with local-scale measurements. J. Geophys. Res. 2011, 116, D12109. [Google Scholar] [CrossRef]









| Satellite | IR Channel/(μm) | WV Channel/(μm) | Observing Area | Nadir |
|---|---|---|---|---|
| FY-2G | 10.3–11.3 | 6.3–7.6 | 55° E–155° E 50° S–50° N | 99.5° E |
| FY-4A | 10.3–11.3 | 6.9–7.3 | 40° E–170° E 65° S–65° N | 105° E |
| 5.8–6.7 |
| Experiments | ID | Settings |
|---|---|---|
| Control experiment | CONT | Without data assimilated |
| Cycling assimilation experiments | FY2G-IR | FY-2G AMVs data from the infrared channel assimilated |
| FY2G-WV | FY-2G AMVs data from the water vapor channel assimilated | |
| FY2G-IR+WV | FY-2G AMVs data from the combined channels assimilated | |
| FY4A-IR | FY-4A AMVs data from the infrared channel assimilated | |
| FY4A-WV1 | FY-4A AMVs data from the lower water vapor channel assimilated | |
| FY4A-WV2 | FY-4A AMVs data from the higher water vapor channel assimilated | |
| FY4A-IR+WV | FY-4A AMVs data from the combined channels assimilated | |
| FY2G+FY4A | FY-2G+FY-4A AMVs data from all the five retrieved channels assimilated |
Disclaimer/Publisher’s Note: The statements, opinions and data contained in all publications are solely those of the individual author(s) and contributor(s) and not of MDPI and/or the editor(s). MDPI and/or the editor(s) disclaim responsibility for any injury to people or property resulting from any ideas, methods, instructions or products referred to in the content. |
© 2023 by the authors. Licensee MDPI, Basel, Switzerland. This article is an open access article distributed under the terms and conditions of the Creative Commons Attribution (CC BY) license (https://creativecommons.org/licenses/by/4.0/).
Share and Cite
Chen, K.; Guan, P. The Impacts of Assimilating Fengyun-4A Atmospheric Motion Vectors on Typhoon Forecasts. Atmosphere 2023, 14, 375. https://doi.org/10.3390/atmos14020375
Chen K, Guan P. The Impacts of Assimilating Fengyun-4A Atmospheric Motion Vectors on Typhoon Forecasts. Atmosphere. 2023; 14(2):375. https://doi.org/10.3390/atmos14020375
Chicago/Turabian StyleChen, Keyi, and Peigen Guan. 2023. "The Impacts of Assimilating Fengyun-4A Atmospheric Motion Vectors on Typhoon Forecasts" Atmosphere 14, no. 2: 375. https://doi.org/10.3390/atmos14020375
APA StyleChen, K., & Guan, P. (2023). The Impacts of Assimilating Fengyun-4A Atmospheric Motion Vectors on Typhoon Forecasts. Atmosphere, 14(2), 375. https://doi.org/10.3390/atmos14020375

