A Hybrid Model for Spatiotemporal Air Quality Prediction Based on Interpretable Neural Networks and a Graph Neural Network
Abstract
:1. Introduction
- Temporal dependence. Periodicity and trend are the primary ways in which dynamic changes in air quality over time are expressed. Periodicity is the occurrence of similar patterns or regular changes over a certain span of time. As shown in Figure 1a, the air quality index changes periodically over a week (① indicates a period of change). Trend is when a certain data pattern shows a continuous directional development over a certain period of time. Figure 1a shows a downward trend on certain days and for a certain period of time with cyclical changes. As shown in Figure 1b, the air quality index over a day changes with time (② indicates a shift in the trend over a certain amount of time); for instance, air pollutants from a prior or longer period of time have an impact on the current AQI.
- Complex spatiotemporal correlations. In addition to changing dynamically over time, the spatial location also has an impact on air quality. As illustrated in Figure 2, city B’s air quality will be impacted by the atmospheric conditions in city A. Even when taking time into account, the spatial relationship is still challenging.
- An advanced AQP module is constructed, which introduces the extraction of interpretable trends and periodic time series features. In order to thoroughly extract the properties from the data, the interpretation module uses residual connections in conjunction with the trend and periodicity of the time series, to extract the features that are easily missed and are challenging to extract at random moments.
- The INNGNN hybrid model is proposed to perform a spatiotemporal prediction of AQP from time and space dimensions. Graph neural networks (GNN) are used to extract the spatial dependency between different cities, and interpretable neural networks (INN) are used to capture the temporal dependence between the observations made on multiple time scales, and allows for self-attention to acquire the local and global dependence of time. The prediction accuracy of the INNGNN model is enhanced, as shown by its more accurate prediction outcomes in the evaluation we conducted on a Chinese urban air quality dataset.
2. Related Work
3. Methodology
3.1. Problem Definition
3.2. Framework
3.3. Temporal Dependency Modeling
3.3.1. Interpretable Neural Networks
- Trend: The time series of air quality has a certain trend, as shown in Figure 1b. One of the trend characteristics is that it exhibits an upward or downward trend over time. Either a slowly changing function or a monotone function can simulate the trend. A slowly changing function is used here. The formula is described as follows:
- Periodicity: As seen in Figure 1, there is a certain periodicity to the air quality time series (a). Periodic functions can be chosen to mimic the periodicity. Periodicity is defined as recurring or cyclical patterns within a specific time span. The Fourier series is chosen here, and the formula is described as follows:
3.3.2. Time Step Local and Global Dependency Capturing
3.4. Spatial Dependency Modeling
- City grouping: The cities with strong dependencies are assigned to a city group, and each city is mapped onto a city group one by one; this grouping method allows us to identify any potential spatial dependencies between the cities. We use the matrix to represent the mapping relationship between the cities and city groups. Cities can be assigned to multiple city groups. In order to illustrate the correlation between cities and city groups, is randomly initialized during training and optimized at the same time. For the case given, and shown in Figure 7, there are 10 cities divided into 3 city groups, among which the probability of city being assigned to city group is 0.1, the probability it of being assigned to city group is 0.8, and the probability it of being assigned to city group is 0.1. This shows that city has a stronger correlation with city group . In order to capture the spatial dependence between the cities, the geographic location of the city is added, and the process definition for city grouping is as follows:
- Dependencies between city groups: In a city group, the nodes of each city group are fully connected to generate a fully connected undirected graph , and the dependency relationship between the city groups is modeled through the mechanism of message passing. The modeling process is as follows:
- Dependencies between cities: During city representation, the cities are updated through the process of assigning cities to city groups, and the dependency relationship between the cities is completed through the transmission of messages in city graph , and the message transmission mechanism is similar to that of the city groups. The difference is that the cities incorporate time series features from the temporal dependency module output, geographic location information, and city group information assigned to the city. The specific process is as follows:
4. Experiments
4.1. Data Description
- AQI dataset: The data come from the national urban air quality real-time release platform, downloaded from the public platform https://drive.google.com/file/d/1I_vpbLJhOJpNh-TpLdSWsaG3xCpzMVSQ/ (accessed on 15 June 2023.).
- Weather data: Weather data include the humidity, wind direction, rainfall, wind speed, air pressure, temperature, and visibility. The data come from the open platform for environmental big data http://www.envicloud.cn/ (accessed on 15 June 2023).
- Geographic location data: The geographic location of each city is shown in Figure 2. The geographic locations of all the cities are marked on the map with red dots.
4.2. Experimental Settings
4.3. Experimental Results
4.3.1. Comparative Prediction Results
4.3.2. Comparative Analysis: Individual Module vs. Hybrid Model
4.3.3. Ablation Studies
4.3.4. Display and Analysis
5. Conclusions
Author Contributions
Funding
Institutional Review Board Statement
Informed Consent Statement
Data Availability Statement
Conflicts of Interest
References
- Lin, Y.-C.; Chi, W.-J.; Lin, Y.-Q. The Improvement of Spatial-Temporal Resolution of PM2.5 Estimation Based on Micro-Air Quality Sensors by Using Data Fusion Technique. Environ. Int. 2020, 134, 105305. [Google Scholar] [CrossRef] [PubMed]
- Wijnands, J.S.; Nice, K.A.; Seneviratne, S.; Thompson, J.; Stevenson, M. The Impact of the COVID-19 Pandemic on Air Pollution: A Global Assessment Using Machine Learning Techniques. Atmos. Pollut. Res. 2022, 13, 101438. [Google Scholar] [CrossRef] [PubMed]
- Brett, G.J.; Whitt, D.B.; Long, M.C.; Bryan, F.O.; Feloy, K.; Richards, K.J. Submesoscale Effects on Changes to Export Production Under Global Warming. Glob. Biogeochem. Cycles 2023, 37, e2022GB007619. [Google Scholar] [CrossRef]
- Pruthi, D.; Liu, Y. Low-Cost Nature-Inspired Deep Learning System for PM2.5 Forecast over Delhi, India. Environ. Int. 2022, 166, 107373. [Google Scholar] [CrossRef] [PubMed]
- Balachandran, S.; Chang, H.H.; Pachon, J.E.; Holmes, H.A.; Mulholland, J.A.; Russell, A.G. Bayesian-Based Ensemble Source Apportionment of PM2.5. Environ. Sci. Technol. 2013, 47, 13511–13518. [Google Scholar] [CrossRef] [PubMed]
- Singh, K.P.; Gupta, S.; Kumar, A.; Shukla, S.P. Linear and Nonlinear Modeling Approaches for Urban Air Quality Prediction. Sci. Total Environ. 2012, 426, 244–255. [Google Scholar] [CrossRef] [PubMed]
- Navares, R.; Aznarte, J.L. Predicting Air Quality with Deep Learning LSTM: Towards Comprehensive Models. Ecol. Inform. 2020, 55, 101019. [Google Scholar] [CrossRef]
- Zhang, C.; Yan, J.; Li, C.; Rui, X.; Liu, L.; Bie, R. On Estimating Air Pollution from Photos Using Convolutional Neural Network. In Proceedings of the 24th ACM International Conference on Multimedia; Association for Computing Machinery, New York, NY, USA, 15–19 October 2016; Springer: Berlin/Heidelberg, Germany, 2016; pp. 297–301. [Google Scholar]
- Bruna, J.; Zaremba, W.; Szlam, A.; LeCun, Y. Spectral Networks and Locally Connected Networks on Graphs 2014. arXiv 2014, arXiv:1312.6203. [Google Scholar]
- Chen, L.; Xu, J.; Wu, B.; Qian, Y.; Du, Z.; Li, Y.; Zhang, Y. Group-Aware Graph Neural Network for Nationwide City Air Quality Forecasting 2021. arXiv 2021, arXiv:2108.12238. [Google Scholar]
- Qi, Y.; Li, Q.; Karimian, H.; Liu, D. A Hybrid Model for Spatiotemporal Forecasting of PM2.5 Based on Graph Convolutional Neural Network and Long Short-Term Memory. Sci. Total Environ. 2019, 664, 1–10. [Google Scholar] [CrossRef]
- Baek, J.; Lee, C.; Yu, H.; Baek, S.; Lee, S.; Lee, S.; Park, C. Automatic Sleep Scoring Using Intrinsic Mode Based on Interpretable Deep Neural Networks. IEEE Access 2022, 10, 36895–36906. [Google Scholar] [CrossRef]
- Oreshkin, B.N.; Carpov, D.; Chapados, N.; Bengio, Y. N-BEATS: Neural Basis Expansion Analysis for Interpretable Time Series Forecasting 2020. arXiv 2020, arXiv:1905.10437. [Google Scholar]
- Huang, D.; Tang, S.; Zhou, D.; Hao, J. Nox Emission Estimation in Gas Turbines via Interpretable Neural Network Observer with Adjustable Intermediate Layer Considering Ambient and Boundary Conditions. Measurement 2022, 189, 110429. [Google Scholar] [CrossRef]
- Byun, D.W.; Ching, J.K.S. Science Algorithms OF THE Epa Models-3 Community Multiscale Air Quality (CMAQ) Modeling System; Office of Research and Development, US Environmental Protection Agency: Washington, DC, USA, 1999. [Google Scholar]
- Byun, D.; Schere, K.L. Review of the Governing Equations, Computational Algorithms, and Other Components of the Models-3 Community Multiscale Air Quality (CMAQ) Modeling System. Appl. Mech. Rev. 2006, 59, 51–77. [Google Scholar] [CrossRef]
- Mueller, S.F.; Mallard, J.W. Contributions of Natural Emissions to Ozone and PM2.5 as Simulated by the Community Multiscale Air Quality (CMAQ) Model. Available online: https://pubs.acs.org/doi/pdf/10.1021/es103645m (accessed on 25 June 2023).
- Environ. User’s Guide to the Comprehensive Air Quality Model with Extensions (CAMx) 2014. Available online: http://www.camx.com (accessed on 11 July 2023).
- Koo, Y.-S.; Choi, D.-R.; Kwon, H.-Y.; Jang, Y.-K.; Han, J.-S. Improvement of PM10 Prediction in East Asia Using Inverse Modeling. Atmos. Environ. 2015, 106, 318–328. [Google Scholar] [CrossRef]
- Ni, X.Y.; Huang, H.; Du, W.P. Relevance Analysis and Short-Term Prediction of PM2.5 Concentrations in Beijing Based on Multi-Source Data. Atmos. Environ. 2017, 150, 146–161. [Google Scholar] [CrossRef]
- Zhang, L.; Lin, J.; Qiu, R.; Hu, X.; Zhang, H.; Chen, Q.; Tan, H.; Lin, D.; Wang, J. Trend Analysis and Forecast of PM2.5 in Fuzhou, China Using the ARIMA Model. Ecol. Indic. 2018, 95, 702–710. [Google Scholar] [CrossRef]
- García Nieto, P.J.; Sánchez Lasheras, F.; García-Gonzalo, E.; de Cos Juez, F.J. PM10 Concentration Forecasting in the Metropolitan Area of Oviedo (Northern Spain) Using Models Based on SVM, MLP, VARMA and ARIMA: A Case Study. Sci. Total Environ. 2018, 621, 753–761. [Google Scholar] [CrossRef]
- Ma, Z.; Hu, X.; Huang, L.; Bi, J.; Liu, Y. Estimating Ground-Level PM2.5 in China Using Satellite Remote Sensing. Environ. Sci. Technol. 2014, 48, 7436–7444. [Google Scholar] [CrossRef]
- Masmoudi, S.; Elghazel, H.; Taieb, D.; Yazar, O.; Kallel, A. A Machine-Learning Framework for Predicting Multiple Air Pollutants’ Concentrations via Multi-Target Regression and Feature Selection. Sci. Total Environ. 2020, 715, 136991. [Google Scholar] [CrossRef]
- Leong, W.C.; Kelani, R.O.; Ahmad, Z. Prediction of Air Pollution Index (API) Using Support Vector Machine (SVM). J. Environ. Chem. Eng. 2020, 8, 103208. [Google Scholar] [CrossRef]
- Zhou, Y.; Chang, F.-J.; Chang, L.-C.; Kao, I.-F.; Wang, Y.-S.; Kang, C.-C. Multi-Output Support Vector Machine for Regional Multi-Step-Ahead PM2.5 Forecasting. Sci. Total Environ. 2019, 651, 230–240. [Google Scholar] [CrossRef] [PubMed]
- He, H.; Li, M.; Wang, W.; Wang, Z.; Xue, Y. Prediction of PM2.5 Concentration Based on the Similarity in Air Quality Monitoring Network. Build. Environ. 2018, 137, 11–17. [Google Scholar] [CrossRef]
- Li, Z.; Yang, J. PM-25 Forecasting Use Reconstruct Phase Space LS-SVM. In Proceedings of the 2010 The 2nd Conference on Environmental Science and Information Application Technology, Wuhan, China, 17–18 July 2010; Volume 1, pp. 143–146. [Google Scholar]
- Beckerman, B.S.; Jerrett, M.; Martin, R.V.; van Donkelaar, A.; Ross, Z.; Burnett, R.T. Application of the Deletion/Substitution/Addition Algorithm to Selecting Land Use Regression Models for Interpolating Air Pollution Measurements in California. Atmos. Environ. 2013, 77, 172–177. [Google Scholar] [CrossRef]
- He, Z.; Liu, P.; Zhao, X.; He, X.; Liu, J.; Mu, Y. Responses of Surface O3 and PM2.5 Trends to Changes of Anthropogenic Emissions in Summer over Beijing during 2014–2019: A Study Based on Multiple Linear Regression and WRF-Chem. Sci. Total Environ. 2022, 807, 150792. [Google Scholar] [CrossRef] [PubMed]
- Wahid, H.; Ha, Q.P.; Duc, H.N. Computational Intelligence Estimation of Natural Background Ozone Level and Its Distribution for Air Quality Modelling and Emission Control. In Proceedings of the 28th International Symposium on Automation and Robotics in Construction (ISARC 2011), Seoul, Republic of Korea, 29 June–2 July 2011. [Google Scholar]
- Antanasijević, D.Z.; Pocajt, V.V.; Povrenović, D.S.; Ristić, M.Đ.; Perić-Grujić, A.A. PM10 Emission Forecasting Using Artificial Neural Networks and Genetic Algorithm Input Variable Optimization. Sci. Total Environ. 2013, 443, 511–519. [Google Scholar] [CrossRef] [PubMed]
- Kamal, M.M.; Jailani, R.; Shauri, R.L.A. Prediction of Ambient Air Quality Based on Neural Network Technique. In Proceedings of the 2006 4th Student Conference on Research and Development, Shah Alam, Malaysia, 27–28 June 2006; pp. 115–119. [Google Scholar]
- Loy-Benitez, J.; Vilela, P.; Li, Q.; Yoo, C. Sequential Prediction of Quantitative Health Risk Assessment for the Fine Particulate Matter in an Underground Facility Using Deep Recurrent Neural Networks. Ecotoxicol. Environ. Saf. 2019, 169, 316–324. [Google Scholar] [CrossRef] [PubMed]
- Lu, X.; Sha, Y.H.; Li, Z.; Huang, Y.; Chen, W.; Chen, D.; Shen, J.; Chen, Y.; Fung, J.C.H. Development and Application of a Hybrid Long-Short Term Memory—Three Dimensional Variational Technique for the Improvement of PM2.5 Forecasting. Sci. Total Environ. 2021, 770, 144221. [Google Scholar] [CrossRef]
- Ulpiani, G.; Duhirwe, P.N.; Yun, G.Y.; Lipson, M.J. Meteorological Influence on Forecasting Urban Pollutants: Long-Term Predictability versus Extreme Events in a Spatially Heterogeneous Urban Ecosystem. Sci. Total Environ. 2022, 814, 152537. [Google Scholar] [CrossRef]
- Wu, C.; He, H.; Song, R.; Peng, Z. Prediction of Air Pollutants on Roadside of the Elevated Roads with Combination of Pollutants Periodicity and Deep Learning Method. Build. Environ. 2022, 207, 108436. [Google Scholar] [CrossRef]
- Huang, G.; Li, X.; Zhang, B.; Ren, J. PM2.5 Concentration Forecasting at Surface Monitoring Sites Using GRU Neural Network Based on Empirical Mode Decomposition. Sci. Total Environ. 2021, 768, 144516. [Google Scholar] [CrossRef]
- Xu, R.; Deng, X.; Wan, H.; Cai, Y.; Pan, X. A Deep Learning Method to Repair Atmospheric Environmental Quality Data Based on Gaussian Diffusion. J. Clean. Prod. 2021, 308, 127446. [Google Scholar] [CrossRef]
- Zhang, B.; Zou, G.; Qin, D.; Lu, Y.; Jin, Y.; Wang, H. A Novel Encoder-Decoder Model Based on Read-First LSTM for Air Pollutant Prediction. Sci. Total Environ. 2021, 765, 144507. [Google Scholar] [CrossRef] [PubMed]
- Fang, W.; Zhu, R.; Lin, J.C.-W. An Air Quality Prediction Model Based on Improved Vanilla LSTM with Multichannel Input and Multiroute Output. Expert Syst. Appl. 2023, 211, 118422. [Google Scholar] [CrossRef]
- Zhang, B.; Zhang, H.; Zhao, G.; Lian, J. Constructing a PM2.5 Concentration Prediction Model by Combining Auto-Encoder with Bi-LSTM Neural Networks. Environ. Model. Softw. 2019, 124, 104600. [Google Scholar] [CrossRef]
- Eren, B.; Aksangür, İ.; Erden, C. Predicting next Hour Fine Particulate Matter (PM2.5) in the Istanbul Metropolitan City Using Deep Learning Algorithms with Time Windowing Strategy. Urban Clim. 2023, 48, 101418. [Google Scholar] [CrossRef]
- Zhu, J.; Deng, F.; Zhao, J.; Zheng, H. Attention-Based Parallel Networks (APNet) for PM2.5 Spatiotemporal Prediction—ScienceDirect. Sci. Total Environ. 2021, 769, 145082. [Google Scholar] [CrossRef]
- Rijal, N.; Gutta, R.T.; Cao, T.; Lin, J.; Bo, Q.; Zhang, J. Ensemble of Deep Neural Networks for Estimating Particulate Matter from Images. In Proceedings of the 2018 IEEE 3rd International Conference on Image, Vision and Computing (ICIVC), Chongqing, China, 27–29 June 2018; pp. 733–738. [Google Scholar]
- Pak, U.; Ma, J.; Ryu, U.; Ryom, K.; Juhyok, U.; Pak, K.; Pak, C. Deep Learning-Based PM2.5 Prediction Considering the Spatiotemporal Correlations: A Case Study of Beijing, China. Sci. Total Environ. 2020, 699, 133561. [Google Scholar] [CrossRef]
- Yan, R.; Liao, J.; Yang, J.; Sun, W.; Nong, M.; Li, F. Multi-Hour and Multi-Site Air Quality Index Forecasting in Beijing Using CNN, LSTM, CNN-LSTM, and Spatiotemporal Clustering. Expert Syst. Appl. 2021, 169, 114513. [Google Scholar] [CrossRef]
- Zhang, B.; Geng, Z.; Zhang, H.; Pan, J. Densely Connected Convolutional Networks with Attention Long Short-Term Memory for Estimating PM2.5 Values from Images. J. Clean. Prod. 2022, 333, 130101. [Google Scholar] [CrossRef]
- Wen, C.; Liu, S.; Yao, X.; Peng, L.; Li, X.; Hu, Y.; Chi, T. A Novel Spatiotemporal Convolutional Long Short-Term Neural Network for Air Pollution Prediction. Sci. Total Environ. 2019, 654, 1091–1099. [Google Scholar] [CrossRef] [PubMed]
- Zhu, M.; Xie, J. Investigation of Nearby Monitoring Station for Hourly PM2.5 Forecasting Using Parallel Multi-Input 1D-CNN-biLSTM. Expert Syst. Appl. 2023, 211, 118707. [Google Scholar] [CrossRef]
- Gilik, A.; Ogrenci, A.S.; Ozmen, A. Air Quality Prediction Using CNN+LSTM-Based Hybrid Deep Learning Architecture. Environ. Sci. Pollut. Res. 2022, 29, 11920–11938. [Google Scholar] [CrossRef] [PubMed]
- Wu, C.; He, H.; Song, R.; Zhu, X.; Peng, Z.; Fu, Q.; Pan, J. A Hybrid Deep Learning Model for Regional O3 and NO2 Concentrations Prediction Based on Spatiotemporal Dependencies in Air Quality Monitoring Network. Environ. Pollut. 2023, 320, 121075. [Google Scholar] [CrossRef] [PubMed]
- Liu, B.; Wang, M.; Guesgen, H.W. A Hybrid Model for Spatial–Temporal Prediction of PM2.5 Based on a Time Division Method. Int. J. Environ. Sci. Technol. 2023, 20, 12195–12206. [Google Scholar] [CrossRef]
- Kow, P.-Y.; Chang, L.-C.; Lin, C.-Y.; Chou, C.C.-K.; Chang, F.-J. Deep Neural Networks for Spatiotemporal PM2.5 Forecasts Based on Atmospheric Chemical Transport Model Output and Monitoring Data. Environ. Pollut. 2022, 306, 119348. [Google Scholar] [CrossRef] [PubMed]
- Zhang, K.; Yang, X.; Cao, H.; Thé, J.; Tan, Z.; Yu, H. Multi-Step Forecast of PM2.5 and PM10 Concentrations Using Convolutional Neural Network Integrated with Spatial–Temporal Attention and Residual Learning. Environ. Int. 2023, 171, 107691. [Google Scholar] [CrossRef]
- Zeng, Y.; Chen, J.; Jin, N.; Jin, X.; Du, Y. Air Quality Forecasting with Hybrid LSTM and Extended Stationary Wavelet Transform. Build. Environ. 2022, 213, 108822. [Google Scholar] [CrossRef]
- Choudhury, A.; Middya, A.I.; Roy, S. Attention Enhanced Hybrid Model for Spatiotemporal Short-Term Forecasting of Particulate Matter Concentrations. Sustain. Cities Soc. 2022, 86, 104112. [Google Scholar] [CrossRef]
- Wang, X.; Wang, Y.; Peng, J.; Zhang, Z.; Tang, X. A Hybrid Framework for Multivariate Long-Sequence Time Series Forecasting. Appl. Intell. 2023, 53, 13549–13568. [Google Scholar] [CrossRef]
- Cui, Z.; Zhang, J.; Noh, G.; Park, H.J. MFDGCN: Multi-Stage Spatio-Temporal Fusion Diffusion Graph Convolutional Network for Traffic Prediction. Appl. Sci. 2022, 12, 2688. [Google Scholar] [CrossRef]
- Song, C.; Lin, Y.; Guo, S.; Wan, H. Spatial-Temporal Synchronous Graph Convolutional Networks: A New Framework for Spatial-Temporal Network Data Forecasting. Proc. AAAI Conf. Artif. Intell. 2020, 34, 914–921. [Google Scholar] [CrossRef]
- Vaswani, A.; Shazeer, N.; Parmar, N.; Uszkoreit, J.; Jones, L.; Gomez, A.N.; Kaiser, L.; Polosukhin, I. Attention Is All You Need 2023. arXiv 2023, arXiv:1706.03762. [Google Scholar]
- Kingma, D.P.; Ba, J. Adam: A Method for Stochastic Optimization 2017. arXiv 2017, arXiv:1412.6980. [Google Scholar]
- Li, G.; Xiong, C.; Thabet, A.; Ghanem, B. DeeperGCN: All You Need to Train Deeper GCNs. arXiv 2020, arXiv:2006.07739. [Google Scholar] [CrossRef]
- Zhang, W.; Liu, H.; Liu, Y.; Zhou, J.; Xiong, H. Semi-Supervised Hierarchical Recurrent Graph Neural Network for City-Wide Parking Availability Prediction. In Proceedings of the National Conference on Artificial Intelligence, New York, NY, USA, 7–12 February 2020. [Google Scholar]
- Yu, B.; Yin, H.; Zhu, Z. ST-UNet: A Spatio-Temporal U-Network for Graph-Structured Time Series Modeling 2021. arXiv 2021, arXiv:1903.05631. [Google Scholar]
- Chen, T.; Guestrin, C. XGBoost: A Scalable Tree Boosting System. In Proceedings of the 22nd ACM SIGKDD International Conference on Knowledge Discovery and Data Mining, San Francisco, CA, USA, 13–17 August 2016; pp. 785–794. [Google Scholar]
- Xu, J.; Chen, L.; Lv, M.; Zhan, C.; Chen, S.; Chang, J. HighAir: A Hierarchical Graph Neural Network-Based Air Quality Forecasting Method. arXiv 2021, arXiv:2101.04264. [Google Scholar]
- Hsu, A.; Reuben, A.; Shindell, D.; De Sherbinin, A.; Levy, M. Toward the next Generation of Air Quality Monitoring Indicators. Atmos. Environ. 2013, 80, 561–570. [Google Scholar] [CrossRef]




: represents the input minus the output of each block; : represents the addition of the output information from each block in every stack with the residual information from the final block, for information aggregation.
: represents the input minus the output of each block; : represents the addition of the output information from each block in every stack with the residual information from the final block, for information aggregation.





| Model | Metric | 1 h | 2 h | 3 h | 4 h | 5 h | 6 h |
|---|---|---|---|---|---|---|---|
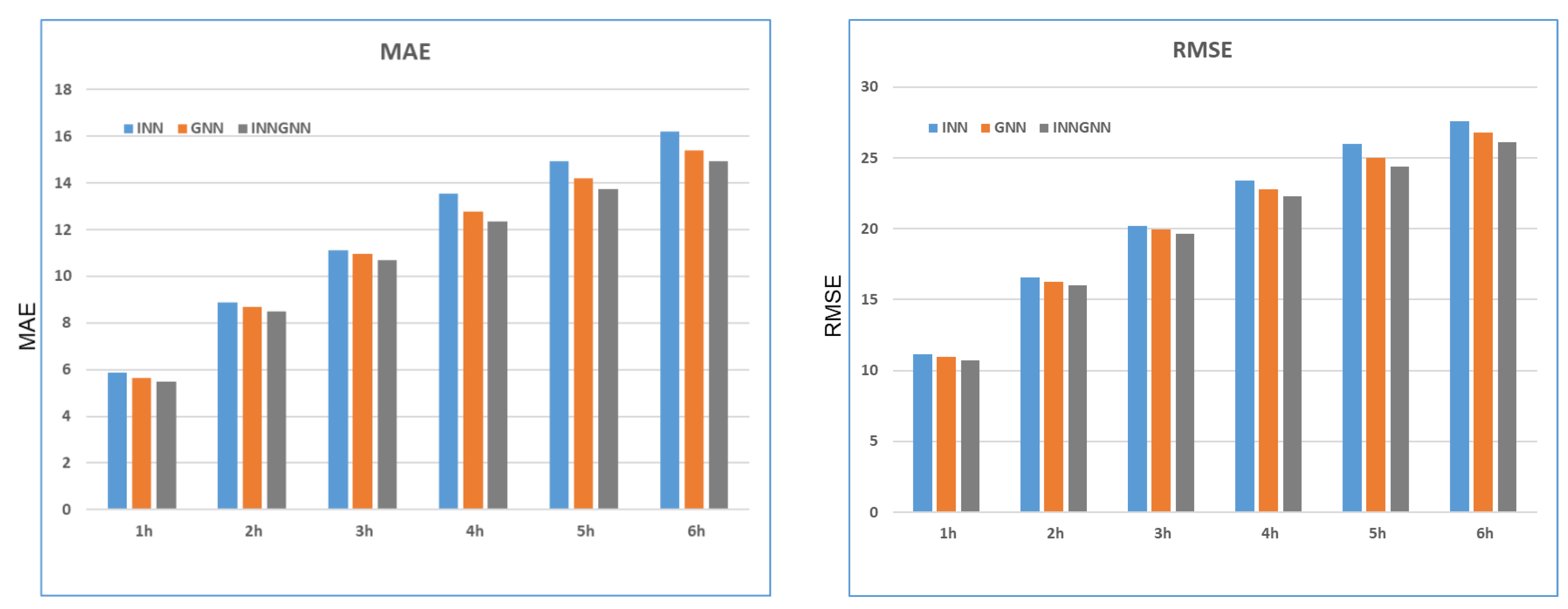
| INNGNN | MAE | 5.48 | 8.49 | 10.67 | 12.34 | 13.72 | 14.91 |
| RMSE | 10.70 | 16.03 | 19.66 | 22.29 | 24.37 | 26.11 | |
| DeeperGCN | MAE | 6.54 | 9.74 | 11.77 | 13.40 | 15.29 | 16.41 |
| RMSE | 13.67 | 18.93 | 21.14 | 23.83 | 26.25 | 28.02 | |
| LSTM | MAE | 6.50 | 10.26 | 13.18 | 15.52 | 17.40 | 18.91 |
| RMSE | 13.85 | 19.26 | 23.52 | 26.83 | 29.46 | 31.55 | |
| GC-LSTM | MAE | 5.95 | 9.16 | 11.58 | 13.46 | 15.00 | 16.31 |
| RMSE | 11.91 | 16.98 | 20.82 | 23.69 | 25.97 | 27.82 | |
| GAGNN | MAE | 5.56 | 8.59 | 10.80 | 12.52 | 13.91 | 15.10 |
| RMSE | 10.81 | 16.17 | 19.84 | 22.51 | 24.63 | 26.37 | |
| SHARE | MAE | 5.84 | 9.07 | 11.49 | 13.35 | 14.74 | 15.79 |
| RMSE | 11.27 | 16.84 | 20.77 | 23.60 | 25.80 | 27.38 | |
| ST-UNet | MAE | 5.95 | 9.30 | 11.58 | 13.38 | 14.82 | 16.02 |
| RMSE | 11.74 | 18.01 | 21.34 | 23.90 | 25.94 | 27.64 | |
| XGBoost | MAE | 6.85 | 10.89 | 13.99 | 16.27 | 18.14 | 19.56 |
| RMSE | 14.25 | 19.80 | 24.72 | 28.14 | 30.63 | 33.44 | |
| HighAir | MAE | 5.50 | 8.52 | 10.81 | 12.50 | 14.00 | 15.09 |
| RMSE | 10.80 | 16.10 | 19.85 | 22.70 | 24.91 | 26.40 |
Disclaimer/Publisher’s Note: The statements, opinions and data contained in all publications are solely those of the individual author(s) and contributor(s) and not of MDPI and/or the editor(s). MDPI and/or the editor(s) disclaim responsibility for any injury to people or property resulting from any ideas, methods, instructions or products referred to in the content. |
© 2023 by the authors. Licensee MDPI, Basel, Switzerland. This article is an open access article distributed under the terms and conditions of the Creative Commons Attribution (CC BY) license (https://creativecommons.org/licenses/by/4.0/).
Share and Cite
Ding, H.; Noh, G. A Hybrid Model for Spatiotemporal Air Quality Prediction Based on Interpretable Neural Networks and a Graph Neural Network. Atmosphere 2023, 14, 1807. https://doi.org/10.3390/atmos14121807
Ding H, Noh G. A Hybrid Model for Spatiotemporal Air Quality Prediction Based on Interpretable Neural Networks and a Graph Neural Network. Atmosphere. 2023; 14(12):1807. https://doi.org/10.3390/atmos14121807
Chicago/Turabian StyleDing, Huijuan, and Giseop Noh. 2023. "A Hybrid Model for Spatiotemporal Air Quality Prediction Based on Interpretable Neural Networks and a Graph Neural Network" Atmosphere 14, no. 12: 1807. https://doi.org/10.3390/atmos14121807
APA StyleDing, H., & Noh, G. (2023). A Hybrid Model for Spatiotemporal Air Quality Prediction Based on Interpretable Neural Networks and a Graph Neural Network. Atmosphere, 14(12), 1807. https://doi.org/10.3390/atmos14121807
