Spatiotemporal Variability of Urban Air Pollution in Bucharest City
Abstract
:1. Introduction
2. Materials and Methods
2.1. Study Area and Measurements
2.2. Data Treatment
2.3. Air Pollution Human Health Risk Assessment
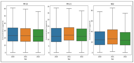
3. Results and Discussion
4. Conclusions
Supplementary Materials
Author Contributions
Funding
Institutional Review Board Statement
Informed Consent Statement
Data Availability Statement
Acknowledgments
Conflicts of Interest
References
- EEA. European City Air Quality Viewer. 2023. Available online: https://www.eea.europa.eu/themes/air/urban-air-quality/european-city-air-quality-viewer (accessed on 15 May 2023).
- Bodor, Z.; Bodor, K.; Keresztesi, Á.; Szép, R. Major air pollutants seasonal variation analysis and long-range transport of PM 10 in an urban environment with specific climate condition in Transylvania (Romania). Environ. Sci. Pollut. Res. 2020, 27, 38181–38199. [Google Scholar] [CrossRef] [PubMed]
- Grobéty, B.; Gieré, R.; Dietze, V.; Stille, P. Airborne particles in the urban environment. Elements 2010, 6, 229–234. [Google Scholar] [CrossRef]
- Mukherjee, A.; Agrawal, M. World air particulate matter: Sources, distribution and health effects. Environ. Chem. Lett. 2017, 15, 283–309. [Google Scholar] [CrossRef]
- Kim, B.M.; Park, J.S.; Kim, S.W.; Kim, H.; Jeon, H.; Cho, C.; Kim, J.H.; Hong, S.; Rupakheti, M.; Panday, A.K.; et al. Source apportionment of PM10 mass and particulate carbon in the Kathmandu Valley, Nepal. Atmos. Environ. 2015, 123, 190–199. [Google Scholar] [CrossRef]
- Pascal, M.; Falq, G.; Wagner, V.; Chatignoux, E.; Corso, M.; Blanchard, M.; Host, S.; Pascal, L.; Larrieu, S. Short-term impacts of particulate matter (PM10, PM10-2.5, PM2.5) on mortality in nine French cities. Atmos. Environ. 2014, 95, 175–184. [Google Scholar] [CrossRef]
- Alberts, W.M. Indoor air pollution: NO, NO2, CO, and CO2. J. Allergy Clin. Immunol. 1994, 94, 289–295. [Google Scholar] [CrossRef] [PubMed]
- Salonen, H.; Salthammer, T.; Morawska, L. Human exposure to NO2 in school and office indoor environments. Environ. Int. 2019, 130, 104887. [Google Scholar] [CrossRef]
- Nazari, S.; Shahhoseini, O.; Sohrabi-Kashani, A.; Davari, S.; Sahabi, H.; Rezaeian, A. SO2 pollution of heavy oil-fired steam power plants in Iran. Energy Policy 2012, 43, 456–465. [Google Scholar] [CrossRef]
- Hung, Y.T.; Ashner, I. Sulfur Dioxide Emission and Mitigation. In Handbook of Environment and Waste Management: Acid Rain and Greenhouse Gas Pollution Control; World Scientific: Singapore, 2020; pp. 627–658. [Google Scholar]
- Sicard, P. Ground-level ozone over time: An observation-based global overview. Curr. Opin. Environ. Sci. Health 2021, 19, 100226. [Google Scholar] [CrossRef]
- Badr, O.; Probert, S. Sources of atmospheric carbon monoxide. Appl. Energy 1994, 49, 145–195. [Google Scholar] [CrossRef]
- EEA. Air Quality Standards. 2021. Available online: https://www.eea.europa.eu/themes/air/air-quality-concentrations/air-quality-standards (accessed on 20 June 2023).
- WHO. WHO Global Air Quality Guidelines: Particulate Matter (PM2.5 and PM10), Ozone, Nitrogen Dioxide, Sulfur Dioxide and Carbon Monoxide: Executive Summary. 2021. Available online: https://who.int/publications/i/item/9789240034228 (accessed on 17 May 2023).
- Pope, C.A., III; Dockery, D.W. Health effects of fine particulate air pollution: Lines that connect. J. Air Waste Manag. Assoc. 2006, 56, 709–742. [Google Scholar] [CrossRef] [PubMed]
- Carvalho, H. Air pollution-related deaths in Europe–time for action. J. Glob. Health 2019, 9, 020308. [Google Scholar] [CrossRef] [PubMed]
- Sicard, P.; Agathokleous, E.; De Marco, A.; Paoletti, E.; Calatayud, V. Urban population exposure to air pollution in Europe over the last decades. Environ. Sci. Eur. 2021, 33, 28. [Google Scholar] [CrossRef] [PubMed]
- Katsouyanni, K.; Touloumi, G.; Samoli, E.; Gryparis, A.; Le Tertre, A.; Monopolis, Y.; Rossi, G.; Zmirou, D.; Ballester, F.; Boumghar, A.; et al. Confounding and effect modification in the short-term effects of ambient particles on total mortality: Results from 29 European cities within the APHEA2 project. Epidemiology 2001, 521–531. [Google Scholar] [CrossRef] [PubMed]
- EEA. Health Impacts of Air Pollution in Europe. 2022. Available online: https://www.eea.europa.eu/publications/air-quality-in-europe-2022/health-impacts-of-air-pollution (accessed on 19 June 2023).
- EPA. Risk Assessment Guidance for Superfund. Volume I: Human Health Evaluation Manual (Part A); Technical report; EPA/540/1-89/002; Office of Emergency and Remedial Response, U.S. Environmental Protection Agency: Washington, DC, USA, 1989.
- Alpopi, C.; Colesca, S.E. Urban air quality. A comparative study of major European capitals. Theor. Empir. Res. Urban Manag. 2010, 5, 92–107. [Google Scholar]
- Cohen, A.J.; Anderson, H.R.; Ostro, B.; Pandey, K.D.; Krzyzanowski, M.; Künzli, N.; Gutschmidt, K.; Pope, C.A., III; Romieu, I.; Samet, J.M.; et al. Urban air pollution. In Comparative Quantification of Health Risks: Global and Regional Burden of Disease Attributable to Selected Major Risk Factors; World Health Organization: Geneva, Switzerland, 2004; Volume 2, pp. 1353–1433. [Google Scholar]
- Seinfeld, J.H. Urban air pollution: State of the science. Science 1989, 243, 745–752. [Google Scholar] [CrossRef]
- Lotrecchiano, N.; Sofia, D. Analysis of the Air Quality of a District Heating System with a Biomass Plant. Atmosphere 2022, 13, 1636. [Google Scholar] [CrossRef]
- Kahya, C.; Balcik, F.B.; Oztaner, Y.B.; Ozcomak, D.; Seker, D.Z. Spatio-temporal analysis of PM2. 5 over Marmara region, Turkey. Fresenius Environ. Bull. 2017, 26, 310–317. [Google Scholar]
- Vlachokostas, C.; Achillas, C.; Moussiopoulos, N.; Kalogeropoulos, K.; Sigalas, G.; Kalognomou, E.A.; Banias, G. Health effects and social costs of particulate and photochemical urban air pollution: A case study for Thessaloniki, Greece. Air Qual. Atmos. Health 2012, 5, 325–334. [Google Scholar] [CrossRef]
- Wang, F.; Ketzel, M.; Ellermann, T.; Wåhlin, P.; Jensen, S.; Fang, D.; Massling, A. Particle number, particle mass and NO x emission factors at a highway and an urban street in Copenhagen. Atmos. Chem. Phys. 2010, 10, 2745–2764. [Google Scholar] [CrossRef]
- Jiao, Y.; Ren, Y.; Laroussi, W.; Robin, C.; De Filippis, A.; Bordier, F.; Rangognio, J.; Yahyaoui, A.; Favez, O.; Mellouki, A. Tracking changes in atmospheric particulate matter at a semi-urban site in Central France over the past decade. Sci. Total Environ. 2023, 885, 163807. [Google Scholar] [CrossRef] [PubMed]
- Favez, O.; Weber, S.; Petit, J.E.; Alleman, L.Y.; Albinet, A.; Riffault, V.; Chazeau, B.; Amodeo, T.; Salameh, D.; Zhang, Y.; et al. Overview of the French operational network for in situ observation of PM chemical composition and sources in urban environments (CARA program). Atmosphere 2021, 12, 207. [Google Scholar] [CrossRef]
- Proorocu, M.; Odagiu, A.; Oroian, I.G.; Ciuiu, G.; Dan, V. Particulate matter status in romanian urban areas: PM10 pollution levels in bucharest. Environ. Eng. Manag. J. (EEMJ) 2014, 13, 3115–3122. [Google Scholar] [CrossRef]
- Rusanescu, C.O.; Jinescu, C.; Rusanescu, M.; Begea, M.; Ghermec, O. Evaluation of air pollution by NO2, SO2, PM10 in Bucharest. Rev. Chim. 2018, 69, 105–111. [Google Scholar] [CrossRef]
- Bucur, E.; Danet, A.F. Particulate matter and polycyclic aromatic hydrocarbon air pollution in areas of Bucharest with heavy road traffic. Rev. Chim. 2016, 67, 621–625. [Google Scholar]
- Marmureanu, L.; Vasilescu, J.; Marin, C.; Ene, D. Aerosol source assessment based on organic chemical markers. Rev. Chim. 2017, 68, 853–857. [Google Scholar] [CrossRef]
- Vasilescu, J.; Marmureanu, L.; Nemuc, A.; Nicolae, D.; Talianu, C. Seasonal variation of the aerosol chemical composition in a romanian peri-urban area. Environ. Eng. Manag. J. (EEMJ) 2017, 16, 2491–2496. [Google Scholar]
- Marmureanu, L.; Vasilescu, J.; Stefanie, H.; Talianu, C. Chemical and optical characterization of submicronic aerosol sources. Environ. Eng. Manag. J. (EEMJ) 2017, 16, 2165–2172. [Google Scholar] [CrossRef]
- Carstea, E.; Fragkos, K.; Siomos, N.; Antonescu, B.; Belegante, L. Columnar aerosol measurements in a continental southeastern Europe site: Climatology and trends. Theor. Appl. Climatol. 2019, 137, 3149–3159. [Google Scholar] [CrossRef]
- RNMCA. National Network for Monitoring Air Quality. 2023. Available online: https://www.calitateaer.ro/public/home-page/ (accessed on 19 June 2023).
- European Comission. Air Quality: Commission Decides to Refer Romania to the Court of Justice of the European Union for Failure to Comply with EU Clean Air and Industrial Emissions Legislation. 2023. Available online: https://ec.europa.eu/commission/presscorner/detail/en/ip_21_6264 (accessed on 2 October 2023).
- Mărmureanu, L.; Vasilescu, J.; Slowik, J.; Prévôt, A.S.; Marin, C.A.; Antonescu, B.; Vlachou, A.; Nemuc, A.; Dandocsi, A.; Szidat, S. Online Chemical Characterization and Source Identification of Summer and Winter Aerosols in Măgurele, Romania. Atmosphere 2020, 11, 385. [Google Scholar] [CrossRef]
- Iorga, G. Air Pollution and Environmental Policies, EU and Romania: Where We Stand, What the Data Reveals, What Should Be Done in the Future? In Europeanization of Environmental Policies and their Limitations: Capacity Building; Springer: Berlin/Heidelberg, Germany, 2021; pp. 51–73. [Google Scholar]
- Tumanov, S.; Stan-Sion, A.; Lupu, A.; Soci, C.; Oprea, C. Influences of the city of Bucharest on weather and climate parameters. Atmos. Environ. 1999, 33, 4173–4183. [Google Scholar] [CrossRef]
- Fenger, J.; Hertel, O.; Palmgren, F. Urban Air Pollution—European Aspects; Springer Science & Business Media: Berlin/Heidelberg, Germany, 1999; Volume 1. [Google Scholar]
- Grønskei, K.E. Europe and its cities. In Urban Air Pollution—European Aspects; Springer: Berlin/Heidelberg, Germany, 1998; pp. 21–32. [Google Scholar]
- Rodríguez-Urrego, D.; Rodríguez-Urrego, L. Air quality during the COVID-19: PM2.5 analysis in the 50 most polluted capital cities in the world. Environ. Pollut. 2020, 266, 115042. [Google Scholar] [CrossRef] [PubMed]
- Lin, C.; Huang, R.J.; Ceburnis, D.; Buckley, P.; Preissler, J.; Wenger, J.; Rinaldi, M.; Facchini, M.C.; O’Dowd, C.; Ovadnevaite, J. Extreme air pollution from residential solid fuel burning. Nat. Sustain. 2018, 1, 512–517. [Google Scholar] [CrossRef]
- Iorga, G. Air pollution monitoring: A case study from Romania. In Air Quality: Measurement and Modeling; IntechOpen: London, UK, 2016. [Google Scholar] [CrossRef]
- QGIS Development Team. QGIS Geographic Information System; QGIS Association: Gossau, Switzerland, 2023. [Google Scholar]
- World Health Organization. Health Impact Assessment of Air Pollution: Introductory Manual to AirQ+; Technical report; World Health Organization, Regional Office for Europe: Copenhagen, Denmark, 2020. [Google Scholar]
- INSSE. Romanian National Institute of Statistics. 2023. Available online: http://statistici.insse.ro:8077/tempo-online (accessed on 31 October 2023).
- Pushpawela, B.; Shelton, S.; Liyanage, G.; Jayasekara, S.; Rajapaksha, D.; Jayasundara, A.; Das Jayasuriya, L. Changes of Air Pollutants in Urban Cities during the COVID-19 Lockdown-Sri Lanka; Aerosol and Air Quality Research: Taoyuan, Taiwan, 2023. [Google Scholar] [CrossRef]
- Vasilescu, J.; Nemuc, A.; Marmureanu, L.; Nicolae, D. Aerosol size distribution and composition near bucharest during may 2010. Environ. Eng. Manag. J. (EEMJ) 2011, 10, 121–126. [Google Scholar] [CrossRef]
- Zhang, Y.; Seidel, D.J.; Zhang, S. Trends in planetary boundary layer height over Europe. J. Clim. 2013, 26, 10071–10076. [Google Scholar] [CrossRef]
- Jänicke, B.; Meier, F.; Fenner, D.; Fehrenbach, U.; Holtmann, A.; Scherer, D. Urban–rural differences in near-surface air temperature as resolved by the Central Europe Refined analysis (CER): Sensitivity to planetary boundary layer schemes and urban canopy models. Int. J. Climatol. 2017, 37, 2063–2079. [Google Scholar] [CrossRef]
- Zhang, Y.; Yong, X.; Zhou, H.; Gao, H.; Yang, N. Characteristics of atmospheric boundary layer structure and its influencing factors under different sea and land positions in Europe. Earth Planet. Phys. 2023, 7, 257–268. [Google Scholar] [CrossRef]
- Nemuc, A.; Vasilescu, J.; Talianu, C.; Belegante, L.; Nicolae, D. Assessment of aerosol’s mass concentrations from measured linear particle depolarization ratio (vertically resolved) and simulations. Atmos. Meas. Tech. 2013, 6, 3243–3255. [Google Scholar] [CrossRef]
- Talianu, C.; Vasilescu, J.; Marmureanu, L.; Belegante, L. Quantification of black carbon anthropogenic changes over Bucharest during COVID-19 lock-down based on similarity of aerosol transport patterns. In Proceedings of the 2021 European Aerosol Conference, Birmingham, UK, 30 August–3 September 2021. [Google Scholar]
- Fan, H.; Zhao, C.; Yang, Y.; Yang, X. Spatio-temporal variations of the PM2.5/PM10 ratios and its application to air pollution type classification in China. Front. Environ. Sci. 2021, 9, 692440. [Google Scholar] [CrossRef]
- Shelton, S.; Liyanage, G.; Jayasekara, S.; Pushpawela, B.; Rathnayake, U.; Jayasundara, A.; Jayasooriya, L.D. Seasonal Variability of Air Pollutants and Their Relationships to Meteorological Parameters in an Urban Environment. Adv. Meteorol. 2022, 2022, 5628911. [Google Scholar] [CrossRef]
- Charron, A.; Harrison, R.M. Fine (PM2.5) and coarse (PM2.5-10) particulate matter on a heavily trafficked London highway: Sources and processes. Environ. Sci. Technol. 2005, 39, 7768–7776. [Google Scholar] [CrossRef]
- Faber, P.; Drewnick, F.; Borrmann, S. Aerosol particle and trace gas emissions from earthworks, road construction, and asphalt paving in Germany: Emission factors and influence on local air quality. Atmos. Environ. 2015, 122, 662–671. [Google Scholar] [CrossRef]
- Chow, J.C.; Watson, J.G. Review of PM2.5 and PM10 apportionment for fossil fuel combustion and other sources by the chemical mass balance receptor model. Energy Fuels 2002, 16, 222–260. [Google Scholar] [CrossRef]
- Grigg, J. The health effects of fossil fuel derived particles. Arch. Dis. Child. 2002, 86, 79–83. [Google Scholar] [CrossRef]
- Bukowiecki, N.; Lienemann, P.; Hill, M.; Furger, M.; Richard, A.; Amato, F.; Prévôt, A.; Baltensperger, U.; Buchmann, B.; Gehrig, R. PM10 emission factors for non-exhaust particles generated by road traffic in an urban street canyon and along a freeway in Switzerland. Atmos. Environ. 2010, 44, 2330–2340. [Google Scholar] [CrossRef]
- Camatini, M.; Crosta, G.F.; Dolukhanyan, T.; Sung, C.; Giuliani, G.; Corbetta, G.M.; Cencetti, S.; Regazzoni, C. Microcharacterization and identification of tire debris in heterogeneous laboratory and environmental specimens. Mater. Charact. 2001, 46, 271–283. [Google Scholar] [CrossRef]
- Adachi, K.; Tainosho, Y. Characterization of heavy metal particles embedded in tire dust. Environ. Int. 2004, 30, 1009–1017. [Google Scholar] [CrossRef]
- Voiculescu, M.; Constantin, D.E.; Condurache-Bota, S.; Călmuc, V.; Roșu, A.; Dragomir Bălănică, C.M. Role of meteorological parameters in the diurnal and seasonal variation of NO2 in a Romanian urban environment. Int. J. Environ. Res. Public Health 2020, 17, 6228. [Google Scholar] [CrossRef]
- Fang, C.; Xue, K.; Li, J.; Wang, J. Characteristics and weekend effect of air pollution in eastern Jilin Province. Atmosphere 2022, 13, 681. [Google Scholar] [CrossRef]
- Ghobakhloo, S.; Khoshakhlagh, A.H.; Mostafaii, G.R.; Chuang, K.J.; Gruszecka-Kosowska, A.; Hosseinnia, P. Critical air pollutant assessments and health effects attributed to PM2.5 during and after COVID-19 lockdowns in Iran: Application of AirQ+ models. Front. Public Health 2023, 11, 1120694. [Google Scholar] [CrossRef]
- Arregocés, H.A.; Rojano, R.; Restrepo, G. Health risk assessment for particulate matter: Application of AirQ+ model in the northern Caribbean region of Colombia. Air Qual. Atmos. Health 2023, 16, 897–912. [Google Scholar] [CrossRef] [PubMed]
- Cakaj, A.; Lisiak-Zielińska, M.; Khaniabadi, Y.O.; Sicard, P. Premature deaths related to urban air pollution in Poland. Atmos. Environ. 2023, 301, 119723. [Google Scholar] [CrossRef]
- Brito, J.; Bernardo, A.; Gonçalves, L.L. Atmospheric pollution and mortality in Portugal: Quantitative assessment of the environmental burden of disease using the AirQ+ model. Sci. Total. Environ. 2022, 815, 152964. [Google Scholar] [CrossRef] [PubMed]








| Station | Type | Available Measurements | Location | Coordinates |
|---|---|---|---|---|
| B1 | Urban | PM10, PM2.5, SO2, O3, NO2, CO | Militari | 44.45, 26.04 |
| B2 | Industrial | PM10, SO2, NO2, CO | Titan | 44.42, 26.16 |
| B3 | Traffic | PM10, NO2, CO | Obor | 44.44, 26.13 |
| B4 | Industrial | PM10, SO2, NO2 | Berceni | 44.38, 26.13 |
| B5 | Industrial | PM10, PM2.5, SO2, NO2, CO | Drumul Taberei | 44.42, 26.03 |
| B6 | Traffic | PM10, PM2.5, NO2, CO | Universitate | 44.44, 26.10 |
| B7 | Suburban | PM10, PM2.5, SO2, O3, NO2 | Magurele | 44.35, 26.03 |
| B9 | Urban | PM10, PM2.5, O3, NO2 | Bucurestii Noi | 44.49, 26.03 |
| Station | Measurements | Temporal Coverage | Filtered Coverage from the Total |
|---|---|---|---|
| B1 | 25,085 | 95.37% | 98.40% |
| B2 | 17,593 | 66.89% | 100% |
| B3 | 26,116 | 99.29% | 100% |
| B4 | 17,804 | 67.69% | 100% |
| B5 | 17,527 | 66.64% | 92.54% |
| B6 | 25,380 | 96.49% | 95.29% |
| B7 | 17,370 | 66.04% | 99.61% |
| B9 | 5664 | 21.53% | 100% |
| Year | Population | Over 30 | Deaths | Incidence | PM [g/m] | PM [g/m] | NO [g/m] |
|---|---|---|---|---|---|---|---|
| 2020 | 2,153,492 | 1,561,281 | 26,045 | 1209 | 15.2 | 27.72 | 29.98 |
| 2021 | 2,161,621 | 1,554,821 | 29,972 | 1386 | 16.2 | 26.09 | 32.79 |
| 2022 | 2,164,506 | 1,585,489 | 23,552 | 1088 | 15.2 | 25.83 | 28.9 |
| Station | B1 | B2 | B3 | B4 | B5 | B6 | B7 | B9 | ||
|---|---|---|---|---|---|---|---|---|---|---|
| Min | 0.3 | 0.55 | 0.03 | 0.23 | 0.6 | 0.63 | 0.3 | 0.41 | ||
| Total | Max | 627.36 | 250.83 | 570.25 | 367.55 | 336.47 | 644.21 | 369.61 | 369.61 | |
| Mean & Std Dev | 26.605 ± 20.1 | 23.96 ± 15.8 | 24.83 ± 17.4 | 24.1 ± 15.6 | 28.13 ± 17.4 | 29.36 ± 20 | 25.62 ± 16.9 | 25.62 ± 24.1 | ||
| [g/m] | 2020 | Mean & Std Dev | 27.23 ± 25.7 | 22.16 ± 15.7 | 25.91 ± 22.1 | 15.19 ± 9.2 | 23.94 ± 17.6 | 30.94 ± 26.2 | 24.92 ± 14.5 | - |
| 2021 | Mean & Std Dev | 26.84 ± 16 | 24.69 ± 15.9 | 23.59 ± 13.6 | 24.03 ± 15.6 | 26.94 ± 17.2 | 28.14 ± 16.7 | 26.05 ± 17 | - | |
| 2022 | Mean & Std Dev | 25.54 ± 17 | 23.38 ± 15.7 | 24.98 ± 15.1 | 24.86 ± 15.7 | 27 ± 17.6 | 26.43 ± 14.5 | 25.18 ± 17 | 25.62 ± 24.1 | |
| Min | 0.11 | - | - | - | 1.72 | 1.4 | 0.21 | 0.11 | ||
| Total | Max | 234.56 | - | - | - | 49.79 | 73.38 | 187.79 | 162.37 | |
| Mean & Std Dev | 16.63 ± 12.9 | - | - | - | 13.12 ± 6.9 | 13.92 ± 7.8 | 17.83 ± 13.4 | 15.37 ± 14.5 | ||
| [g/m] | 2020 | Mean & Std Dev | 17.7 ± 14.5 | - | - | - | 15.53 ± 8.8 | 14.12 ± 9.3 | 21.94 ± 13.1 | - |
| 2021 | Mean & Std Dev | 17.1 ± 12.7 | - | - | - | 13.59 ± 7.4 | 14.53 ± 7.5 | 18.95 ± 14.7 | - | |
| 2022 | Mean & Std Dev | 15.47 ±11.2 | - | - | - | 12.68 ± 6 | 13.43 ± 5.7 | 16.54 ± 11.8 | 15.37 ± 14.5 | |
| Min | 0.17 | 5.15 | 0.71 | 3.64 | 4.47 | 0.33 | 4.62 | 0.1 | ||
| Total | Max | 178.5 | 161.28 | 171.68 | 143.05 | 177.66 | 185.04 | 100.32 | 108.05 | |
| Mean & Std Dev | 25.92 ± 18 | 29.2 ± 19.6 | 41.43 ± 21.4 | 25.47 ± 17.3 | 31.75 ± 19.4 | 43.52 ± 23.4 | 19.1 ± 11.9 | 25.14 ± 17.9 | ||
| [g/m] | 2020 | Mean & Std Dev | 26.97 ± 18.7 | 27.6 ± 17.3 | 40.18 ± 20.8 | 27.29 ± 10 | 31.15 ±18.7 | 41.64 ±23.3 | 19.82 ± 11 | - |
| 2021 | Mean & Std Dev | 29.38 ±19.8 | 29.16 ± 19.4 | 44.79 ± 24.4 | 25.41 ± 15.9 | 32.05 ± 19.8 | 49.16 ± 25.8 | 18.8 ± 12.5 | - | |
| 2022 | Mean & Std Dev | 22.03 ± 17 | 29.38 ±19.9 | 39.31 ± 18.3 | 25.4 ± 18.8 | 29.65 ± 19 | 38.04 ± 19.3 | 19.34 ± 11.4 | 25.14 ± 17.9 | |
Disclaimer/Publisher’s Note: The statements, opinions and data contained in all publications are solely those of the individual author(s) and contributor(s) and not of MDPI and/or the editor(s). MDPI and/or the editor(s) disclaim responsibility for any injury to people or property resulting from any ideas, methods, instructions or products referred to in the content. |
© 2023 by the authors. Licensee MDPI, Basel, Switzerland. This article is an open access article distributed under the terms and conditions of the Creative Commons Attribution (CC BY) license (https://creativecommons.org/licenses/by/4.0/).
Share and Cite
Ilie, A.; Vasilescu, J.; Talianu, C.; Iojă, C.; Nemuc, A. Spatiotemporal Variability of Urban Air Pollution in Bucharest City. Atmosphere 2023, 14, 1759. https://doi.org/10.3390/atmos14121759
Ilie A, Vasilescu J, Talianu C, Iojă C, Nemuc A. Spatiotemporal Variability of Urban Air Pollution in Bucharest City. Atmosphere. 2023; 14(12):1759. https://doi.org/10.3390/atmos14121759
Chicago/Turabian StyleIlie, Alexandru, Jeni Vasilescu, Camelia Talianu, Cristian Iojă, and Anca Nemuc. 2023. "Spatiotemporal Variability of Urban Air Pollution in Bucharest City" Atmosphere 14, no. 12: 1759. https://doi.org/10.3390/atmos14121759
APA StyleIlie, A., Vasilescu, J., Talianu, C., Iojă, C., & Nemuc, A. (2023). Spatiotemporal Variability of Urban Air Pollution in Bucharest City. Atmosphere, 14(12), 1759. https://doi.org/10.3390/atmos14121759

