Spatiotemporal Characteristics of Hourly-Scale Extreme Precipitation in the Sichuan Basin and Its Impact on Normalized Difference Vegetation Index Values
Abstract
:1. Introduction
2. Materials and Methods
2.1. Overview of the Study Area
2.2. Data Introduction
2.2.1. NDVI Data and Their Processing
2.2.2. Meteorological Data Processing and Preparatory Steps
2.3. Methods
2.3.1. Indices for Identifying Extreme Precipitation
2.3.2. Sen’s Slope Estimation Method
2.3.3. Mann–Kendall (M-K) Method
2.3.4. Maximum Value Composites (MVC)
2.3.5. Correlation Coefficient
2.3.6. Rainfall Pattern Identification
2.3.7. Fuzzy Recognition Method
3. Results
3.1. Examining Daily Scale Extreme Precipitation Patterns
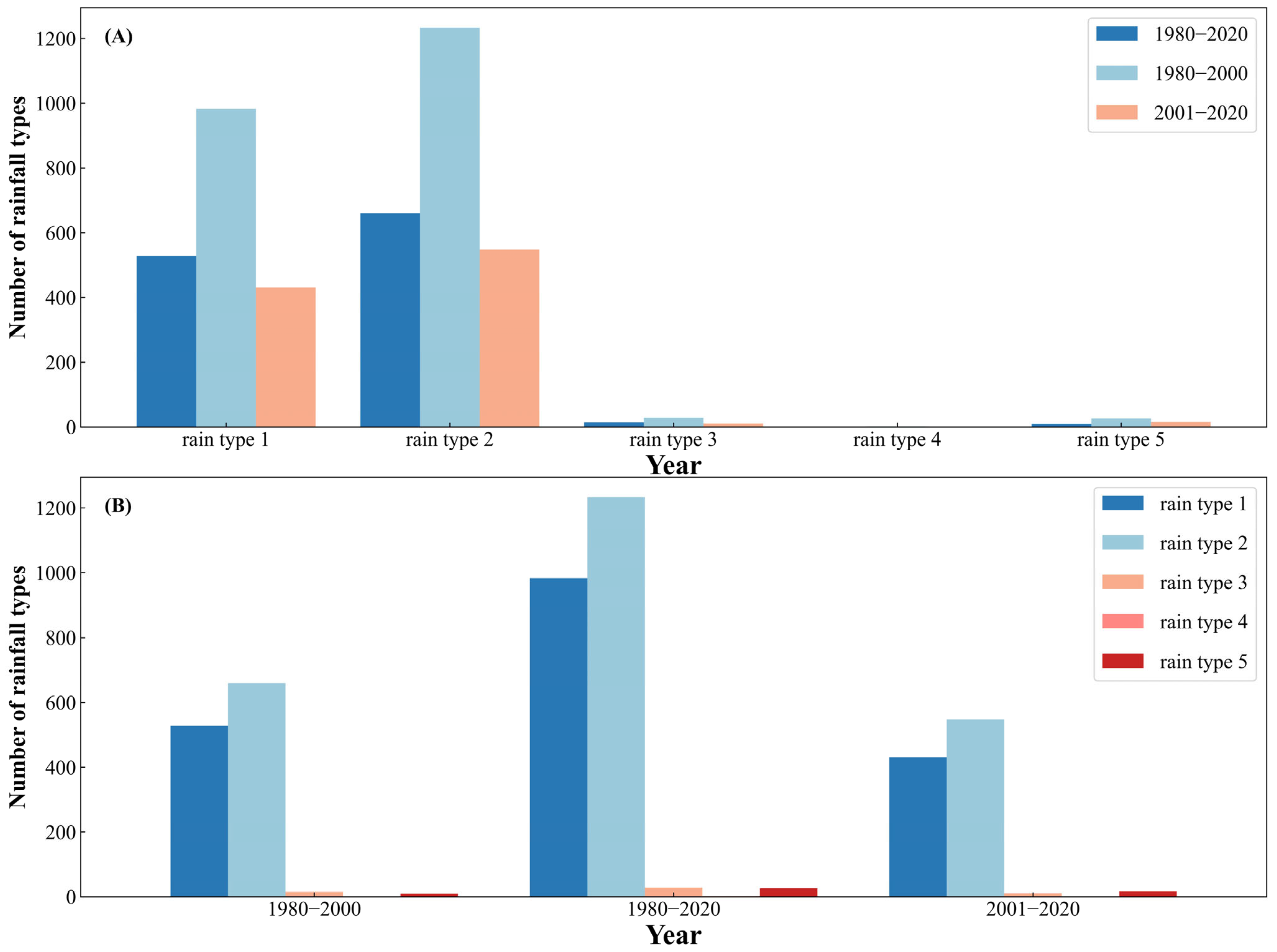
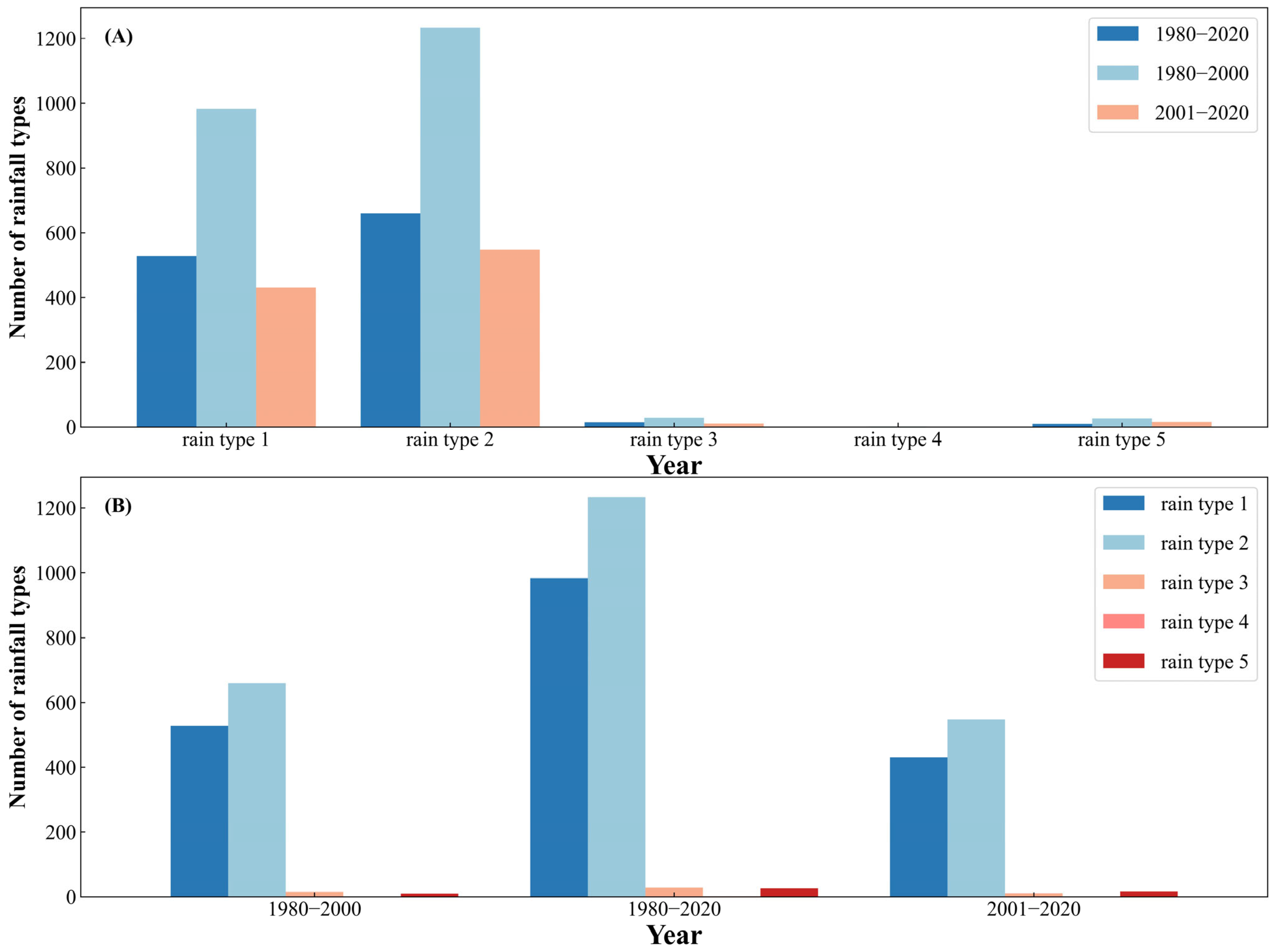
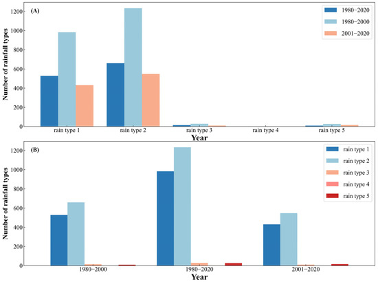
3.2. Examination of Spatial and Temporal Patterns of Hourly Extreme Heavy Rainfall
3.3. Extreme Value Characteristics of Hourly Extreme Rainfall
3.4. Influence of Extreme Hourly Precipitation on NDVI
4. Discussion
5. Conclusions
Author Contributions
Funding
Institutional Review Board Statement
Informed Consent Statement
Data Availability Statement
Acknowledgments
Conflicts of Interest
References
- Mukherjee, S.; Aadhar, S.; Stone, D.; Mishra, V. Increase in extreme precipitation events under anthropogenic warming in India. Weather Clim. Extrem. 2018, 20, 45–53. [Google Scholar] [CrossRef]
- Tramblay, Y.; Somot, S. Future evolution of extreme precipitation in the Mediterranean. Clim. Change 2018, 151, 289–302. [Google Scholar] [CrossRef]
- Harpa, G.V.; Croitoru, A.E.; Djurdjevic, V.; Horvath, C. Future changes in five extreme precipitation indices in the lowlands of Romania. Int. J. Climatol. 2019, 39, 5720–5740. [Google Scholar] [CrossRef]
- Myhre, G.; Alterskjær, K.; Stjern, C.W.; Hodnebrog, Ø.; Marelle, L.; Samset, B.H.; Sillmann, J.; Schaller, N.; Fischer, E.; Schulz, M. Frequency of extreme precipitation increases extensively with event rareness under global warming. Sci. Rep. 2019, 9, 16063. [Google Scholar] [CrossRef] [PubMed]
- Wang, X.; Hou, X.; Wang, Y. Spatiotemporal variations and regional differences of extreme precipitation events in the Coastal area of China from 1961 to 2014. Atmos. Res. 2017, 197, 94–104. [Google Scholar] [CrossRef]
- Fu, G.; Yu, J.; Yu, X.; Ouyang, R.; Zhang, Y.; Wang, P.; Liu, W.; Min, L. Temporal variation of extreme rainfall events in China, 1961–2009. J. Hydrol. 2013, 487, 48–59. [Google Scholar] [CrossRef]
- Ding, Z.; Lu, R.; Wang, Y. Spatiotemporal variations in extreme precipitation and their potential driving factors in non-monsoon regions of China during 1961–2017. Environ. Res. Lett. 2019, 14, 024005. [Google Scholar] [CrossRef]
- Xia, R.; Luo, Y.; Zhang, D.-L.; Li, M.; Bao, X.; Sun, J. On the diurnal cycle of heavy rainfall over the Sichuan basin during 10–18 August 2020. Adv. Atmos. Sci. 2021, 38, 2183–2200. [Google Scholar] [CrossRef]
- Liu, W.; Wu, J.; Tang, R.; Ye, M.; Yang, J. Daily precipitation threshold for rainstorm and flood disaster in the mainland of China: An economic loss perspective. Sustainability 2020, 12, 407. [Google Scholar] [CrossRef]
- Chen, Y.; Li, Y. Convective characteristics and formation conditions in an extreme rainstorm on the eastern edge of the Tibetan plateau. Atmosphere 2021, 12, 381. [Google Scholar] [CrossRef]
- Guo, B.; Xie, T.; Subrahmanyam, M.V. Rainfall runoff in small watershed after wenchuan earthquake in western China based on remote sensing technology–a case study of jianping gully watershed. Pol. J. Environ. Stud. 2021, 30, 2543–2552. [Google Scholar] [CrossRef] [PubMed]
- Shi, X.; Wang, J.; Jiang, M.; Zhang, S.; Wu, Y.; Zhong, Y. Extreme rainfall-related accelerations in landslides in Danba County, Sichuan Province, as detected by InSAR. Int. J. Appl. Earth Obs. Geoinf. 2022, 115, 103109. [Google Scholar] [CrossRef]
- Wang, H.; Yan, Y.; Long, K.; Chen, Q.; Fan, X.; Zhang, F.; Tan, L. Relationships Between Rapid Urbanization and Extreme Summer Precipitation Over the Sichuan–Chongqing Area of China. Front. Earth Sci. 2022, 10, 899. [Google Scholar] [CrossRef]
- Lengfeld, K.; Kirstetter, P.-E.; Fowler, H.J.; Yu, J.; Becker, A.; Flamig, Z.; Gourley, J. Use of radar data for characterizing extreme precipitation at fine scales and short durations. Environ. Res. Lett. 2020, 15, 085003. [Google Scholar] [CrossRef]
- Dong, Y.; Li, G.; Jiang, X.; Wang, Y. The characteristics and formation mechanism of double-band radar echoes formed by a severe rainfall occurred in the Sichuan Basin under the background of two vortices coupling. Front. Earth Sci. 2022, 10, 915954. [Google Scholar] [CrossRef]
- Kim, I.-W.; Oh, J.; Woo, S.; Kripalani, R. Evaluation of precipitation extremes over the Asian domain: Observation and modelling studies. Clim. Dyn. 2019, 52, 1317–1342. [Google Scholar] [CrossRef]
- Fang, J.; Yang, W.; Luan, Y.; Du, J.; Lin, A.; Zhao, L. Evaluation of the TRMM 3B42 and GPM IMERG products for extreme precipitation analysis over China. Atmos. Res. 2019, 223, 24–38. [Google Scholar] [CrossRef]
- Ayugi, B.; Zhihong, J.; Zhu, H.; Ngoma, H.; Babaousmail, H.; Rizwan, K.; Dike, V. Comparison of CMIP6 and CMIP5 models in simulating mean and extreme precipitation over East Africa. Int. J. Climatol. 2021, 41, 6474–6496. [Google Scholar] [CrossRef]
- Xu, J.; Zhang, Q.; Bi, B.; Chen, Y. Spring extreme precipitation days in North China and their reliance on atmospheric circulation patterns during 1979–2019. J. Clim. 2022, 35, 2253–2267. [Google Scholar] [CrossRef]
- Hong, Y.; Ying, S. Characteristics of extreme temperature and precipitation in China in 2017 based on ETCCDI indices. Adv. Clim. Change Res. 2018, 9, 218–226. [Google Scholar]
- Deng, M.; Lu, R.; Li, C. Contrasts between the interannual variations of extreme rainfall over western and eastern Sichuan in mid-summer. Adv. Atmos. Sci. 2022, 39, 999–1011. [Google Scholar] [CrossRef]
- Wu, X.; Guo, J.; Wu, X.; Guo, J. A new economic loss assessment system for urban severe rainfall and flooding disasters based on big data fusion. Econ. Impacts Emerg. Manag. Disasters China 2020, 188, 259–287. [Google Scholar]
- Duan, Z.; Ren, Y.; Liu, X.; Lei, H.; Hua, X.; Shu, X.; Zhou, L. A comprehensive comparison of data fusion approaches to multi-source precipitation observations: A case study in Sichuan province, China. Environ. Monit. Assess. 2022, 194, 422. [Google Scholar] [CrossRef]
- Zhang, Z.; Zeng, Y.; Huang, Z.; Liu, J.; Yang, L. Multi-source data fusion and hydrodynamics for urban waterlogging risk identification. Int. J. Environ. Res. Public Health 2023, 20, 2528. [Google Scholar] [CrossRef] [PubMed]
- Lazoglou, G.; Anagnostopoulou, C.; Tolika, K.; Kolyva-Machera, F. A review of statistical methods to analyze extreme precipitation and temperature events in the Mediterranean region. Theor. Appl. Climatol. 2019, 136, 99–117. [Google Scholar] [CrossRef]
- Xiang, J.; Wang, H.; Li, Z.; Bu, Z.; Yang, R.; Liu, Z. Case Study on the Evolution and Precipitation Characteristics of Southwest Vortex in China: Insights from FY-4A and GPM Observations. Remote Sens. 2023, 15, 4114. [Google Scholar] [CrossRef]
- Wang, Y.; Zhang, Z.; Chen, X. Quantifying influences of natural and anthropogenic factors on vegetation changes based on geodetector: A case study in the Poyang Lake Basin, China. Remote Sens. 2021, 13, 5081. [Google Scholar] [CrossRef]
- Li, X.; Wang, X.; Babovic, V. Analysis of variability and trends of precipitation extremes in Singapore during 1980–2013. Int. J. Climatol. 2018, 38, 125–141. [Google Scholar] [CrossRef]
- Cooley, A.K.; Chang, H. Detecting change in precipitation indices using observed (1977–2016) and modeled future climate data in Portland, Oregon, USA. J. Water Clim. Change 2021, 12, 1135–1153. [Google Scholar] [CrossRef]
- Zuo, H.; Lou, Y.; Li, Z. Spatiotemporal Variation of Hourly Scale Extreme Rainstorms in the Huang-Huai-Hai Plain and Its Impact on NDVI. Remote Sens. 2023, 15, 2778. [Google Scholar] [CrossRef]
- Barlow, M.; Gutowski, W.J.; Gyakum, J.R.; Katz, R.W.; Lim, Y.-K.; Schumacher, R.S.; Wehner, M.F.; Agel, L.; Bosilovich, M.; Collow, A. North American extreme precipitation events and related large-scale meteorological patterns: A review of statistical methods, dynamics, modeling, and trends. Clim. Dyn. 2019, 53, 6835–6875. [Google Scholar] [CrossRef]
- Xu, J.; Li, R.; Zhang, Q.; Chen, Y.; Liang, X.; Gu, X. Extreme large-scale atmospheric circulation associated with the “21· 7” Henan flood. Sci. China Earth Sci. 2022, 65, 1847–1860. [Google Scholar] [CrossRef]
- Aihaiti, A.; Jiang, Z.; Li, Y.; Tao, L.; Zhu, L.; Zhang, J. The global warming and IPO impacts on summer extreme precipitation in China. Clim. Dyn. 2023, 60, 3369–3384. [Google Scholar] [CrossRef]
- Gu, X.; Zhang, Q.; Singh, V.P.; Shi, P. Non-stationarities in the occurrence rate of heavy precipitation across China and its relationship to climate teleconnection patterns. Int. J. Climatol. 2017, 37, 4186–4198. [Google Scholar] [CrossRef]
- Zhao, Y.; Chen, D.; Li, J.; Chen, D.; Chang, Y.; Li, J.; Qin, R. Enhancement of the summer extreme precipitation over North China by interactions between moisture convergence and topographic settings. Clim. Dyn. 2020, 54, 2713–2730. [Google Scholar] [CrossRef]
- Liu, M.; Xu, X.; Sun, A.Y.; Wang, K.; Liu, W.; Zhang, X. Is southwestern China experiencing more frequent precipitation extremes? Environ. Res. Lett. 2014, 9, 064002. [Google Scholar] [CrossRef]
- Li, Y.G.; He, D.; Hu, J.M.; Cao, J. Variability of extreme precipitation over Yunnan Province, China 1960–2012. Int. J. Climatol. 2015, 35, 245–258. [Google Scholar] [CrossRef]
- Yuan, W.; Hu, X.; Tian, Q. Regional differences in rainfall frequency and amount over southwestern China. Atmos. Ocean. Sci. Lett. 2019, 12, 313–319. [Google Scholar] [CrossRef]
- Sun, Y.; Niu, T.; He, J.; Ma, Z.; Liu, P.; Xiao, D.; Hu, J.; Yang, J.; Yan, X. Classification of circulation patterns during the formation and dissipation of continuous pollution weather over the Sichuan Basin, China. Atmos. Environ. 2020, 223, 117244. [Google Scholar] [CrossRef]
- Zhang, Y.; Sun, J.; Zhu, L.; Tang, H.; Jin, S.; Liu, X. Comparison of two types of persistent heavy rainfall events during sixteen warm seasons in the Sichuan Basin. Atmos. Ocean. Sci. Lett. 2021, 14, 100094. [Google Scholar] [CrossRef]
- Feng, S.L.; Jin, S.L.; Fu, S.M.; Sun, J.H.; Zhang, Y.C. Formation of a kind of heavy-precipitation-producing mesoscale vortex around the Sichuan Basin: An along-track vorticity budget analysis. Atmos. Sci. Lett. 2020, 21, e949. [Google Scholar] [CrossRef]
- Chen, Y.; Li, Y. Analysis of a late-autumn rainstorm in the Sichuan basin on the eastern side of the Tibetan plateau. Adv. Meteorol. 2019, 2019, 8797368. [Google Scholar] [CrossRef]
- Li, X.; Hussain, S.A.; Sobri, S.; Said, M.S.M. Overviewing the air quality models on air pollution in Sichuan Basin, China. Chemosphere 2021, 271, 129502. [Google Scholar] [CrossRef]
- Luo, J.; Zhang, J.; Huang, X.; Liu, Q.; Luo, B.; Zhang, W.; Rao, Z.; Yu, Y. Characteristics, evolution, and regional differences of biomass burning particles in the Sichuan Basin, China. J. Environ. Sci. 2020, 89, 35–46. [Google Scholar] [CrossRef] [PubMed]
- Ning, G.; Yim, S.H.L.; Wang, S.; Duan, B.; Nie, C.; Yang, X.; Wang, J.; Shang, K. Synergistic effects of synoptic weather patterns and topography on air quality: A case of the Sichuan Basin of China. Clim. Dyn. 2019, 53, 6729–6744. [Google Scholar] [CrossRef]
- Qiao, X.; Guo, H.; Tang, Y.; Wang, P.; Deng, W.; Zhao, X.; Hu, J.; Ying, Q.; Zhang, H. Local and regional contributions to fine particulate matter in the 18 cities of Sichuan Basin, southwestern China. Atmos. Chem. Phys. 2019, 19, 5791–5803. [Google Scholar] [CrossRef]
- Yang, J.; Huang, M.; Zhai, P. Performance of the CRA-40/Land, CMFD, and ERA-Interim datasets in reflecting changes in surface air temperature over the Tibetan Plateau. J. Meteorol. Res. 2021, 35, 663–672. [Google Scholar] [CrossRef]
- Jin, H.; Chen, X.; Zhong, R.; Pan, Y.; Zhao, T.; Liu, Z.; Tu, X. Corrected GCM data through CMFD data to analysis future runoff changes in the source region of the Yangtze River, China. Environ. Earth Sci. 2022, 81, 527. [Google Scholar] [CrossRef]
- Li, H.; Wang, X.; Choy, S.; Jiang, C.; Wu, S.; Zhang, J.; Qiu, C.; Zhou, K.; Li, L.; Fu, E. Detecting heavy rainfall using anomaly-based percentile thresholds of predictors derived from GNSS-PWV. Atmos. Res. 2022, 265, 105912. [Google Scholar] [CrossRef]
- Holben, B.N. Characteristics of maximum-value composite images from temporal AVHRR data. Int. J. Remote Sens. 1986, 7, 1417–1434. [Google Scholar] [CrossRef]
- Dee, D.P.; Uppala, S.M.; Simmons, A.J.; Berrisford, P.; Poli, P.; Kobayashi, S.; Andrae, U.; Balmaseda, M.; Balsamo, G.; Bauer, D.P. The ERA-Interim reanalysis: Configuration and performance of the data assimilation system. Q. J. R. Meteorol. Soc. 2011, 137, 553–597. [Google Scholar] [CrossRef]
- Malla, M.K.; Arya, D.S. Event-based extreme precipitation variability analysis over a part of the Hindu Kush Himalayan region. Int. J. Climatol. 2023, 43, 4196–4219. [Google Scholar] [CrossRef]
- Asklany, S.A.; Elhelow, K.; Youssef, I.K.; Abd El-wahab, M. Rainfall events prediction using rule-based fuzzy inference system. Atmos. Res. 2011, 101, 228–236. [Google Scholar] [CrossRef]
- Zhang, Y.; Xue, M.; Zhu, K.; Zhou, B. What is the main cause of diurnal variation and nocturnal peak of summer precipitation in Sichuan Basin, China? The key role of boundary layer low-level jet inertial oscillations. J. Geophys. Res. Atmos. 2019, 124, 2643–2664. [Google Scholar] [CrossRef]
- Zhang, T.; Wei, W.; Zheng, L.; Chen, Y. Characteristics and Variations of Raindrop Size Distribution in Chengdu of the Western Sichuan Basin, China. Atmosphere 2023, 14, 76. [Google Scholar] [CrossRef]
- Wu, A.; Li, G. Roles of the Topographically-Affected Boundary Layer Low-Level Jet in the Moisture Transport Process of Nocturnal Rainstorms in Mountainous Areas around the Western Sichuan Basin. Atmosphere 2022, 14, 84. [Google Scholar] [CrossRef]
- Zhu, Y.; Liu, X.; Zhang, Y.; Chen, C.; Shen, L.; Ju, Q.; Zhou, T.; Xia, P. The Proportional Characteristics of Daytime and Nighttime Precipitation Based on Daily Precipitation in Huai River Basin, China. Atmosphere 2022, 13, 1287. [Google Scholar] [CrossRef]
- Zhou, X.; Jiang, D.; Lang, X. Unstable relationship between the Pacific decadal oscillation and eastern China summer precipitation: Insights from the Medieval Climate Anomaly and Little Ice Age. Holocene 2020, 30, 799–809. [Google Scholar] [CrossRef]
- Sharma, A.; Wasko, C.; Lettenmaier, D.P. If precipitation extremes are increasing, why aren’t floods? Water Resour. Res. 2018, 54, 8545–8551. [Google Scholar] [CrossRef]
- Wu, D.; Zhao, X.; Liang, S.; Zhou, T.; Huang, K.; Tang, B.; Zhao, W. Time-lag effects of global vegetation responses to climate change. Glob. Change Biol. 2015, 21, 3520–3531. [Google Scholar] [CrossRef]
- Wu, T.; Feng, F.; Lin, Q.; Bai, H. Advanced Method to Capture the Time-Lag Effects between Annual NDVI and Precipitation Variation Using RNN in the Arid and Semi-Arid Grasslands. Water 2019, 11, 1789. [Google Scholar] [CrossRef]
- Bao, Y.; Song, G.; Li, Z.; Gao, J.; Lü, H.; Wang, H.; Cheng, Y.; Xu, T. Study on the spatial differences and its time lag effect on climatic factors of the vegetation in the Longitudinal Range-Gorge Region. Chin. Sci. Bull. 2007, 52, 42–49. [Google Scholar] [CrossRef]
- Zhe, M.; Zhang, X. Time-lag effects of NDVI responses to climate change in the Yamzhog Yumco Basin, South Tibet. Ecol. Indic. 2021, 124, 107431. [Google Scholar] [CrossRef]
- Kong, D.; Miao, C.; Wu, J.; Zheng, H.; Wu, S. Time lag of vegetation growth on the Loess Plateau in response to climate factors: Estimation, distribution, and influence. Sci. Total Environ. 2020, 744, 140726. [Google Scholar] [CrossRef]
- Chamaille-Jammes, S.; Fritz, H.; Murindagomo, F. Spatial patterns of the NDVI–rainfall relationship at the seasonal and interannual time scales in an African savanna. Int. J. Remote Sens. 2006, 27, 5185–5200. [Google Scholar] [CrossRef]
- Wu, X.; Mao, J. Spatial and interannual variations of spring rainfall over eastern China in association with PDO–ENSO events. Theor. Appl. Climatol. 2018, 134, 935–953. [Google Scholar] [CrossRef]
- Miao, C.; Duan, Q.; Sun, Q.; Lei, X.; Li, H. Non-uniform changes in different categories of precipitation intensity across China and the associated large-scale circulations. Environ. Res. Lett. 2019, 14, 025004. [Google Scholar] [CrossRef]
- Wen, N.; Liu, Z.; Li, L. Direct ENSO impact on East Asian summer precipitation in the developing summer. Clim. Dyn. 2019, 52, 6799–6815. [Google Scholar] [CrossRef]
- Hu, J.; Wang, W.; Tan, Y. Contrasting impacts of three types of ENSO event on boreal autumn rainfall over Southwest China. J. Geosci. Environ. Prot. 2021, 9, 14–27. [Google Scholar] [CrossRef]
- Yang, X.; Wu, J.; Liu, J.; Ye, X. Changes of extreme precipitation and possible influence of enso events in a humid basin in China. Atmosphere 2021, 12, 1522. [Google Scholar] [CrossRef]
- Qian, T.; Zhao, P.; Zhang, F.; Bao, X. Rainy-season precipitation over the Sichuan basin and adjacent regions in southwestern China. Mon. Weather Rev. 2015, 143, 383–394. [Google Scholar] [CrossRef]
- Qi, D.; Li, Y.; Zhou, C.; Chen, D. Climatic change of summer rainstorms and the water vapor budget in the Sichuan Basin. J. Appl. Meteorol. Climatol. 2022, 61, 537–557. [Google Scholar] [CrossRef]
- Tang, S.; Li, R.; He, J. Modeling and evaluating systematic and random errors in multiscale GPM IMERG summer precipitation estimates over the Sichuan Basin. IEEE J. Sel. Top. Appl. Earth Obs. Remote Sens. 2021, 14, 4709–4719. [Google Scholar] [CrossRef]
- Shi, P.; Wu, M.; Qu, S.; Jiang, P.; Qiao, X.; Chen, X.; Zhou, M.; Zhang, Z. Spatial distribution and temporal trends in precipitation concentration indices for the Southwest China. Water Resour. Manag. 2015, 29, 3941–3955. [Google Scholar] [CrossRef]
- Fang, D.; Dong, X.; Deng, C.; Wu, Z.; Hai, C.; Gao, S.; Huang, A. Temporal and Spatial Distribution of Precipitation in Chongqing during 2008–2016. Chin. J. Atmos. Sci 2020, 44, 327–340. [Google Scholar]
- Feidas, H.; Karagiannidis, A.; Keppas, S.; Vaitis, M.; Kontos, T.; Zanis, P.; Melas, D.; Anadranistakis, E. Modeling and mapping temperature and precipitation climate data in Greece using topographical and geographical parameters. Theor. Appl. Climatol. 2014, 118, 133–146. [Google Scholar] [CrossRef]
- Xu, B.; Li, J.; Luo, Z.; Wu, J.; Liu, Y.; Yang, H.; Pei, X. Analyzing the spatiotemporal vegetation dynamics and their responses to climate change along the Ya’an–Linzhi section of the Sichuan–Tibet Railway. Remote Sens. 2022, 14, 3584. [Google Scholar] [CrossRef]
- Li, X.; Wang, N.; Wu, Z. Terrain effects on regional precipitation in a warm season over Qinling-Daba mountains in central China. Atmosphere 2021, 12, 1685. [Google Scholar] [CrossRef]
- Zheng, Z.; Xu, G.; Gao, H. Characteristics of summer hourly extreme precipitation events and its local environmental influencing factors in Beijing under urbanization background. Atmosphere 2021, 12, 632. [Google Scholar] [CrossRef]
- Zhang, B.; Zhou, W. Spatial–temporal characteristics of precipitation and its relationship with land use/cover change on the Qinghai-Tibet Plateau, China. Land 2021, 10, 269. [Google Scholar] [CrossRef]
- Kang, L.; Di, L.; Deng, M.; Shao, Y.; Yu, G.; Shrestha, R. Use of geographically weighted regression model for exploring spatial patterns and local factors behind NDVI-precipitation correlation. IEEE J. Sel. Top. Appl. Earth Obs. Remote Sens. 2014, 7, 4530–4538. [Google Scholar] [CrossRef]
- Sharma, M.; Bangotra, P.; Gautam, A.S.; Gautam, S. Sensitivity of normalized difference vegetation index (NDVI) to land surface temperature, soil moisture and precipitation over district Gautam Buddh Nagar, UP, India. Stoch. Environ. Res. Risk Assess. 2022, 36, 1779–1789. [Google Scholar] [CrossRef] [PubMed]
- Chu, X.-L.; Zhong, L.; Dan, W.; Lei, G.-P. Effects of land use/cover change (LUCC) on the spatiotemporal variability of precipitation and temperature in the Songnen Plain, China. J. Integr. Agric. 2022, 21, 235–248. [Google Scholar] [CrossRef]
- Jiao, K.; Gao, J.; Liu, Z. Precipitation drives the NDVI distribution on the Tibetan Plateau while high warming rates may intensify its ecological droughts. Remote Sens. 2021, 13, 1305. [Google Scholar] [CrossRef]
- Chen, T.; Xia, J.; Zou, L.; Hong, S. Quantifying the influences of natural factors and human activities on NDVI changes in the Hanjiang River Basin, China. Remote Sens. 2020, 12, 3780. [Google Scholar] [CrossRef]
- Peng, W.; Kuang, T.; Tao, S. Quantifying influences of natural factors on vegetation NDVI changes based on geographical detector in Sichuan, western China. J. Clean. Prod. 2019, 233, 353–367. [Google Scholar] [CrossRef]
- Chen, Y.; Ma, L.; Liu, T.; Huang, X.; Sun, G. The Synergistic Effect between Precipitation and Temperature for the NDVI in Northern China from 2000 to 2018. Appl. Sci. 2023, 13, 8425. [Google Scholar] [CrossRef]
- Xu, Y.; Huang, W.-T.; Dou, S.-Q.; Guo, Z.-D.; Li, X.-Y.; Zheng, Z.-W.; Jing, J.-L. Responding mechanism of vegetation cover to climate change and human activities in southwest China from 2000 to 2020. Huan Jing Ke Xue Huanjing Kexue 2022, 43, 3230–3240. [Google Scholar]
- Yang, Y.; Wang, S.; Bai, X.; Tan, Q.; Li, Q.; Wu, L.; Tian, S.; Hu, Z.; Li, C.; Deng, Y. Factors affecting long-term trends in global NDVI. Forests 2019, 10, 372. [Google Scholar] [CrossRef]
- Pui, A.; Sharma, A.; Mehrotra, R.; Sivakumar, B.; Jeremiah, E. A comparison of alternatives for daily to sub-daily rainfall disaggregation. J. Hydrol. 2012, 470–471, 138–157. [Google Scholar] [CrossRef]
- Manikanta, V.; Ganguly, T.; Umamahesh, N.V. A Multi criteria Decision Making based nonparametric method of fragments to disaggregate daily precipitation. J. Hydrol. 2023, 617, 128994. [Google Scholar] [CrossRef]
- Smith, A.B.; Alsdurf, J.; Knapp, M.; Baer, S.G.; Johnson, L.C. Phenotypic distribution models corroborate species distribution models: A shift in the role and prevalence of a dominant prairie grass in response to climate change. Glob. Change Biol. 2017, 23, 4365–4375. [Google Scholar] [CrossRef] [PubMed]
- Navarro, J.; Powers, J.M.; Paul, A.; Campbell, D.R. Phenotypic plasticity and selection on leaf traits in response to snowmelt timing and summer precipitation. New Phytol. 2022, 234, 1477–1490. [Google Scholar] [CrossRef]
- Münzbergová, Z.; Hadincová, V.; Skálová, H.; Vandvik, V. Genetic differentiation and plasticity interact along temperature and precipitation gradients to determine plant performance under climate change. J. Ecol. 2017, 105, 1358–1373. [Google Scholar] [CrossRef]















| Correlation | p_Value | Significant |
|---|---|---|
| 0.79 | 0.004 | *** |
| Index | Definition | Unit |
|---|---|---|
| Precipitation amount (tp) | The cumulative precipitation surpassing the threshold of 0.1 mm | mm |
| Daily rainstorm amount (tp_daily) | Daily precipitation ≥ R95daily | mm |
| Hourly rainstorm amount (tp_hourly) | Hourly precipitation ≥ R95hourly | mm |
| Contribution of rainstorm | The proportion of accumulated precipitation exceeding the rainstorm threshold to the overall precipitation recorded during the corresponding period | dimensionless |
| Contribution rate of heavy rainfall area (contribution of area) | The fraction of the region experiencing precipitation above the rainstorm threshold to the entire area with recorded precipitation during the corresponding timeframe | dimensionless |
| Frequency of rainstorm (frequency) | Frequency of rainstorms | dimensionless |
| Rainstorm intensity (intensity) | The proportion of accumulated precipitation exceeding a specific threshold to the time span when precipitation reaches or exceeds that threshold within the given timeframe | mm/day or mm/h |
| Rainstorm dispersion (cv) | The ratio between the standard deviation of heavy rainfall and its corresponding mean value within the same timeframe | dimensionless |
| Month | Correlation | p_Value | Significant |
|---|---|---|---|
| 1 | 0.32 | 0.03 | |
| 2 | 0.05 | 0.08 | |
| 3 | −0.01 | 0.15 | |
| 4 | 0.10 | 0.09 | |
| 5 | −0.11 | 0.04 | |
| 6 | 0.04 | 0.02 | |
| 7 | −0.14 | 0.11 | |
| 8 | −0.26 | 0.03 | *** |
| 9 | 0.03 | 0.14 | |
| 10 | −0.15 | 0.11 | |
| 11 | −0.05 | 0.07 | |
| 12 | 0.25 | 0.10 |
Disclaimer/Publisher’s Note: The statements, opinions and data contained in all publications are solely those of the individual author(s) and contributor(s) and not of MDPI and/or the editor(s). MDPI and/or the editor(s) disclaim responsibility for any injury to people or property resulting from any ideas, methods, instructions or products referred to in the content. |
© 2023 by the authors. Licensee MDPI, Basel, Switzerland. This article is an open access article distributed under the terms and conditions of the Creative Commons Attribution (CC BY) license (https://creativecommons.org/licenses/by/4.0/).
Share and Cite
Xiang, Y.; Li, Z.; Wu, Y.; Wang, K.; Yang, J. Spatiotemporal Characteristics of Hourly-Scale Extreme Precipitation in the Sichuan Basin and Its Impact on Normalized Difference Vegetation Index Values. Atmosphere 2023, 14, 1719. https://doi.org/10.3390/atmos14121719
Xiang Y, Li Z, Wu Y, Wang K, Yang J. Spatiotemporal Characteristics of Hourly-Scale Extreme Precipitation in the Sichuan Basin and Its Impact on Normalized Difference Vegetation Index Values. Atmosphere. 2023; 14(12):1719. https://doi.org/10.3390/atmos14121719
Chicago/Turabian StyleXiang, Ying, Zhongliang Li, Yixiao Wu, Keqing Wang, and Jie Yang. 2023. "Spatiotemporal Characteristics of Hourly-Scale Extreme Precipitation in the Sichuan Basin and Its Impact on Normalized Difference Vegetation Index Values" Atmosphere 14, no. 12: 1719. https://doi.org/10.3390/atmos14121719
APA StyleXiang, Y., Li, Z., Wu, Y., Wang, K., & Yang, J. (2023). Spatiotemporal Characteristics of Hourly-Scale Extreme Precipitation in the Sichuan Basin and Its Impact on Normalized Difference Vegetation Index Values. Atmosphere, 14(12), 1719. https://doi.org/10.3390/atmos14121719

