Next Article in Journal
The Interrelated Pollution Characteristics of Atmospheric Speciated Mercury and Water-Soluble Inorganic Ions in Ningbo, China
Previous Article in Journal
Validation of MERRA-2 AOT Modeling Data over China Using SIAVNET Measurement
 
 
Font Type:
Arial Georgia Verdana
Font Size:
Aa Aa Aa
Line Spacing:
Column Width:
Background:
Article

Adapting Almond Production to Climate Change through Deficit Irrigation and Foliar Kaolin Application in a Mediterranean Climate

by
David Barreales
1,2,3,
Susana Capitão
1,2,
Albino António Bento
1,2,
Pedro A. Casquero
3 and
António Castro Ribeiro
1,2,*
1
Centro de Investigação de Montanha (CIMO), Instituto Politécnico de Bragança, Campus de Santa Apolónia, 5300-253 Bragança, Portugal
2
Laboratório Associado para a Sustentabilidade e Tecnologia em Regiões de Montanha (SusTEC), Instituto Politécnico de Bragança, Campus de Santa Apolónia, 5300-253 Bragança, Portugal
3
Grupo Universitario de Investigación en Ingeniería y Agricultura Sostenible (GUIIAS), Instituto de Medio Ambiente, Recursos Naturales y Biodiversidad, Escuela de Ingeniería Agraria y Forestal, Universidad de León, Avenida de Portugal 41, 24009 León, Spain
*
Author to whom correspondence should be addressed.
Atmosphere 2023, 14(10), 1593; https://doi.org/10.3390/atmos14101593
Submission received: 14 August 2023 / Revised: 3 October 2023 / Accepted: 19 October 2023 / Published: 23 October 2023
(This article belongs to the Section Biometeorology and Bioclimatology)

Abstract

:
Irrigation is the best strategy to reduce the adverse effects of water stress on almond trees [Prunus dulcis (Mill) D.A. Web] and improve their productivity. However, in the current context of climatic change, in which the amount of water available for irrigation is increasingly limited, deficit irrigation (DI) strategies have become essential in the almond orchards of southern Europe. Other practices, such as the foliar application of reflective compounds, are being implemented. A three-year experiment (2019–2021) was set in a factorial design in which the effect of regulated deficit irrigation and foliar kaolin spray was evaluated on physiological (predawn leaf water potential, relative water content, leaf area, leaf gas exchange, and chlorophyll fluorescence) and agronomic parameters (yield, yield components, and water use efficiency (WUE)). The treatments include full irrigation (FI), which received 100% of ETc (crop evapotranspiration) during all irrigation seasons; regulated deficit irrigation (RDI), which received 100% of ETc until the kernel-filling stage, reducing the application to 35% ETc during the kernel-filling stage until harvest; and both irrigation regimes combined with kaolin application and two cultivars, Constantí and Vairo. More negative water potential values were observed in the RDI treatments compared to the FI treatments. There were no significant differences in the stomatal conductance, photosynthetic rate, or transpiration rate between treatments with RDI and FI, demonstrating the almond tree’s good adaptation to irrigation reduction in the kernel-filling stage. The two cultivars had different responses in cumulative yield throughout the three years of the trial. The cv. Constantí did not present significant differences between the FI and RDI treatments, translating into improved WUE. In contrast, the cv. Vairo suffered a reduction in accumulated performance in the RDI treatments with respect to the FI. The foliar application of kaolin did not present differences in yield and very few in the physiological activity of the almond trees. With the results obtained, we can suggest that under the conditions of our experiment, the combination of RDI and the kaolin foliar application can help save irrigation water and produce almonds more sustainably.

1. Introduction

The main causes that limit the productivity of the almond tree [Prunus dulcis (Mill) D.A. Web] are radiative, thermal, and water stress in Mediterranean growing regions [1,2,3]. These regions are characterized by a temperate and humid climate in the winter and a hot and dry climate in the summer [4]. Due to the alterations produced by climate change in the Mediterranean-type climate regions, the average annual precipitation tends to decrease, and consequently, the availability of water for crops decreases [5,6,7]. In addition, a general increase in average temperatures and an increase in the frequency of heat waves are expected [8]. Using different climate projections, Freitas et al. [9] evaluated the effects of climate change on almond cultivation in the north-eastern Portugal region, where our experimental almond orchard was located. In this study, Freitas et al. [9] concluded that an increase in temperatures is expected during spring, which can cause problems in the flowering and fruit growth stages together with water limitation and an increase in temperatures during summer. Fraga et al. [10] also demonstrated through projections that there will be a significant decrease in annual precipitation in the northern Portugal region. These adverse climatic conditions will cause an increase in water stress and may result in a wide range of negative impacts, such as low flower-setting and fruit-setting, low leaf area, limited photosynthesis, flower abortion, fruit abscission, and yield decline [6,11]. Drought periods are influenced by the lack of water in the soil since part of the evaporation that occurs into the atmosphere is limited by soil moisture. Thus, this deficit can be prolonged in time and space, which could lead to the self-propagation of droughts [12,13]. The almond tree, a plant well adapted to these agroclimatic conditions, survives, but profitability as a crop is reduced or null [2,14]. Different studies, on a global scale, have reported that the almond tree can increase its yield with the application of irrigation [15,16,17]. Miarnau et al. [18] observed how the application of irrigation in different almond tree plantations for more than ten years in the Iberian Peninsula increased yield, even doubling or tripling the yield. In the rural areas of the interior of the Iberian Peninsula, agriculture is a crucial economic, social, and cultural activity, contributing to these regions’ development [19]. To reduce the disparity between the rural world and the big cities, it is necessary to look for alternatives so that agriculture is an economically more profitable activity and consequently more attractive to the population. The almond tree is a traditional crop in the countries of the Mediterranean basin, mainly Spain and Portugal. It is in the Iberian Peninsula where we can find great edapho-climatic potential for almond cultivation, as shown by the large area it occupies. In 2020, Portugal had an area of 52,340 ha of almond trees and produced 31,610 tons of almonds (with shell); Spain had 718,540 ha and produced 416,950 tons [20]. Traditionally, the almond tree was grown on marginal land, where yields per hectare were very low (150 kg of kernel/ha) compared to typical intensive orchards in the US and Australia, where yields are much higher (approximately 1800 kg of kernel/ha) [21]. In the last 15–20 years, due to the reasonable prices of almonds in international markets and the low yields of other traditional crops in Mediterranean areas (cereals, olive trees, and vines), farmers have opted for new and modern plantations with better productivities, thanks to different factors. First, varietal innovation should be highlighted, with new hybrid rootstocks and self-fertile and late-flowering varieties [22]. The second aspect has been the evolution in cultivation techniques: new training and pruning systems, smaller plantation frameworks, mechanization of harvesting, reducing the time of entry into production, improving fertilization and pest and disease control, and above all, the implementation of irrigation [2,14,23].
Although the almond tree is perfectly adapted to the conditions of the Iberian Peninsula [24], water stress is the factor most limiting its productivity [7,22]. In a large part of the area in which the almond tree is grown, we have recorded that rainfall only covers the water needs of the almond tree in the first months of its vegetative cycle [25] and that the water available for irrigation is insufficient for all the almond orchards. For this reason, deficit irrigation (DI) is one of the most commonly used strategies. It is based on reducing irrigation below maximum crop evapotranspiration [15]. According to the period of reduction and form of application, there are different types of reduced irrigation, such as regulated deficit irrigation (RDI), sustained deficit irrigation (SDI), and partial root drying (PRD). RDI consists of imposing water deficits, or even completely stopping irrigation, during specific phenological stages, which are less sensitive to water stress without affecting the crop yield or economic benefits, and supplying full irrigation in critical phenological periods [26]. The objective of SDI is to provide irrigation water throughout the entire growing season in uniform form, promoting the water stress of the plant by not completely replenishing the root zone during irrigation [27,28]. Finally, PRD is a technique where half of the root system is exposed to drought and the remaining half is irrigated. Frequently, the roots on the wet/dry sides are rotated. The theory is that while the roots of the humid side keep the plant in favorable water conditions, the root’s dry side induces root chemical signals, mainly ABA (abscisic acid) formation. This hormone is responsible for reducing stomatal conductance [11,21,22,29]. Currently, there is a greater commitment to the implementation of the RDI strategy in almond trees since it does not cause such a marked depletion of water reserves in the soil as seems to occur in the use of SDI [17,30], and in economic terms, it seems to have greater profitability [31]. In the region where our study is located, northern Portugal, there are some previous studies on the application of SDI techniques in almond orchards [32,33], but knowledge on the application of RDI techniques is limited.
Many scientific works study the response of deficit irrigation to different physiological and agronomic parameters in almond trees [26,27,28,33,34,35]. Even so, there are still many discrepancies and different conclusions between all the works. For example, when RDI was applied during the kernel-filling period, some authors concluded that there was a reduction in the kernel yield [30,36]. Meanwhile, other studies found no significant yield reductions for RDI treatments in the same phenological stage [32,34]. These different conclusions between DI studies can be explained by all the factors that can affect whether a DI strategy applied to almond trees has a positive result. For example, Gutiérrez-Gordillo et al. [37] carried out a study to determine the response of three almond tree cultivars (Guara, Marta, and Lauranne) to two SDI treatments (75% and 65% of the ETc) compared to full irrigation (100% of the ETc). These authors observed that cvs. Lauranne and Marta did not reflect yield losses, while cv. Guara suffered a slight decrease when SDI treatments were applied. Thus, we can see how the cultivar already has an important influence on the positive effect of the DI strategy applied.
Although deficit irrigation is the most widely used option to combat water stress in almond trees, there are other strategies that do not involve water consumption and that have been studied in recent years. For example, the foliar application of reflective substances reduces the negative effects of excess radiation in the summer months [38]. There are some studies, mainly on crops in the Mediterranean area, such as the vine (Vitis vinifera L.) [39,40], the olive tree (Olea europaea L.) [41,42], the walnut (Juglans regia L.) [43], the hazelnut tree (Corylus avellana L.) [44], and the almond tree [43,45,46], that examine the effects of the application of reflective substances on physiological and agronomic parameters and the quality characteristics of the products. Several substances have been evaluated, such as kaolin, pinolene, and silicon [39,41,47], but the most commonly used is kaolin.
Kaolin (Al2Si2O5(OH)4) is a white mineral that is chemically inert, non-abrasive, non-toxic, and easily dispersible in water [48]. Kaolin began to be used as a foliar application on crops to prevent and control pests and diseases [38,49]. Kaolin is easily soluble in water, and when it is applied as a foliar spray on the leaf’s surface, the water evaporates, leaving a white protective film [50]. The mineral particles that form this film on the leaves partially generate light reflection, including ultraviolet radiation (UV), infrared radiation (IR), and photosynthetically active radiation (PAR) [40,51]. This reflection reduces the temperature of the leaf and consequently the loss of water through transpiration, improving the plant’s water status [40,52].
The conventionally dominant global agricultural system needs innovative approaches to shift towards more sustainable, equitable, and healthy agricultural systems. This work was motivated by the lack of data on the combined effect of controlled deficit irrigation and foliar application of kaolin on the physiological response and yield of almond trees under the agroclimatic conditions of Northern Portugal. In addition, we also intend to evaluate the interactions produced by DI and kaolin foliar application in the different parameters studied. The findings from this study can help establish new combined strategies of deficit irrigation and foliar application of kaolin, which could mean a significant saving of water in relation to full irrigation to optimize yield. This would have multiple advantages, such as reducing the cost associated with irrigation and increasing the irrigation area using the same amount of water, thus improving the benefits for the farmer. In addition, DI can help reduce high vigor and excessive shoot growth, reducing pruning costs. Finally, one of the most critical aspects is reducing the consumption of irrigation water, which helps reduce the negative impact on the environment. The present work complements the results shown by Barreales et al. [53], which analyzed and compared some quality parameters of the almonds obtained in this experiment: morphological characteristics (weight, length, width, etc.), color properties, nutritional value (carbohydrates, fat, proteins, and ash), and chemical parameters (free sugars and fatty acid profiles).

2. Materials and Methods

2.1. Site Description and Plant Material

The study was conducted in a commercial almond orchard in Alfandega Da Fé, Portugal (41°20′37″ N; 6°56′32″ W; 555 m a. s. l.) during 2019, 2020, and 2021. The climate of this area is typically Mediterranean, a warm temperate climate with dry and hot summers and winters with moderate temperatures and changeable, rainy weather [54]. Meteorological variables were monitored by an automatic weather station (CR800, Campbell Scientific, Logan, Utah) positioned at the experimental site. The meteorological conditions have been measured during the three years of the experiment and are reported in Table 1. From the weather data, reference evapotranspiration (ET0), following the FAO Penman-Monteith method [55], and vapor pressure deficit (VPD) were calculated.
Prunus dulcis (Mill.) D.A. Webb cv. Constantí and Vairo grafted onto GF-677 rootstock were planted in 2014. Trees were trained in the open vase, and the pruning consisted of three or four instances of first-year scaffold formation, followed by subsequent years of maintenance pruning to preserve form and balance on the canopy tree. The almond spacing was 6 × 5 m (333 almond trees/ha), and the two cultivars, Constantí and Vairo, were planted interspersed in four lines each. The drip-irrigated system consisted of one pipeline with emitters of 3.8 L h−1 with 1.0 m of distance between them and five emitters per tree. The orchard was managed according to the grower’s commercial cultural practices. The soil was managed with a natural cover mowed once a year in mid-May, with tree rows maintained with a glyphosate-based herbicide.

2.2. Experimental Design

The experiment was a completely randomized block design with two replications of seven almond trees each. In total, 14 trees were assessed for each treatment. The treatments consisted of two amounts of irrigation and foliar kaolin applications. Thus, four treatments per cultivar were studied in total (Table 2):
-
FI: full irrigation treatment, which received 100% of the crop evapotranspiration (ETc) during the entire irrigation period.
-
FI-Kaolin: the same amount of irrigation as FI with kaolin applied.
-
RDI: the irrigation was 100% of the ETc until the kernel-filling period, then 35% ETc irrigation until the harvest (100/35).
-
RDI-Kaolin: the same amount of irrigation as RDI with kaolin applied.
The kaolin was applied at a dose rate of 2 L/tree of aqueous kaolin suspension (4%) (BAS 24000 F, SURROUND®—95%). The kaolin was applied at the beginning of the kernel-filling phase, coinciding with the change in regulated deficit irrigation in corresponding treatments. Dates of first and last irrigation, kaolin application, reducing irrigation to 35% of ETc, and total water applied for the two irrigation treatments are indicated in Table 3.
The weekly volume of irrigation water to be applied was calculated each week according to the previous week’s total ETc and effective precipitation using the following equation:
RDI = (K × ETc − Peff)/Er
Peff is the effective precipitation; Er is the irrigation efficiency of the irrigation system (0.95). The K value represents the fraction of the ETc for the different irrigation regimes (1.0 for FI and 0.35 for RDI). ETc was estimated using the FAO Penman-Monteith equation for reference evapotranspiration (ET0) and a crop coefficient (Kc) of 0.9 for the mid-season stage [55]. Effective precipitation was calculated according to the United States Department of Agriculture’s (USDA) soil conservation (S.C.) method. Data from the growing season were used to calculate the effective precipitation from March 1 to October 31. The meteorological data were obtained from an automatic weather station (CR800, Campbell Scientific, Logan, Utah) near the almond orchard (Table 3).
The irrigation frequency was three days a week, and the irrigation time was adjusted to the amount of water applied at each irrigation. Thus, for each experimental year and irrigation treatment, the number of irrigation events was 37, 28, and 39 in 2019, 2020, and 2021, respectively.

2.3. Water Status and Leaf Area

Tree water status was assessed through the determination of predawn leaf water potential (ΨPLWP) with a pressure chamber (Soil Moisture Equipment Corp., Sta. Barbara, CA, USA) at 3-week intervals from the end of May until the harvest [56]. The measurements were made on a leaf of each tree and six trees per treatment. The leaves were mature, without damage. The Ψpd was measured to assess the start of irrigation and control the water stress level in the different treatments.
The leaf’s relative water content (RWC) was determined in ten leaves on two dates according to the expression of [57]: RWC [%] = (FW − DW)/(TW − DW) × 100. The leaves were collected in the intermediate zone of the adult shoot and immediately placed into refrigerated, airtight containers. Once in the laboratory, all parameters of the expression were determined: FW is the fresh weight (g), DW is the dry weight (g) after the leaves were dried at 70 °C to a constant weight, and TW is the fresh weight at full turgor (g) after immersion of leaf petioles in distilled water for 24 h at 4 °C in the dark. Leaf area (LA) was recorded using a portable scanner (CanoScan LIDE110) and image analysis (Image J, U.S. National Institutes of Health, Bethesda, Maryland, USA). Other water status indexes were calculated following the methodology and expressions of [58]: relative water content (RWC = (FM − DM)/(TM − DM) ×100; %), succulence (S = (FM − DM)/LA; mg H2O/cm2), water saturation deficit (WSD = (TM − FM)/(TM − DM) × 100; %), and water content at saturation (WCS = (TM − FM)/DM; g H2O/g DM).

2.4. Physiological Measurements

Leaf gas exchange was measured with an infrared gas analyzer (LCA-4, Analytical Development Co., Hoddesdon, England). Measurements were carried out on DOY 213 and DOY 241 in 2019 and DOY 220 and DOY 253 in 2020 between 11 a.m. and 1 p.m. Net photosynthesis (Pn), stomatal conductance (gs), and transpiration rate (E) were estimated according to von Caemmerer and Farquhar [59]. In addition, intrinsic water use efficiency (iWUE = A/gs) was calculated.
Also, chlorophyll fluorescence and transient fluorescence were measured with a handheld portable fluorometer (model OS-30p+) (Opti-Sciences Chlorophyll Fluorometer, Hudson, USA). The OJIP test provides origin (O) fluorescence at 20 μs, fluorescence at 2 ms (J), fluorescence at 30 ms (I), and maximum fluorescence, or Fm (P). The fluorometer uses a pulse-modulated detection system to allow for various tests, with a high capability for detecting and measuring plant stress types that affect photosystem II (PSII). These measurements were carried out on the same days and at the same time as the leaf gas exchange measurements on ten sun-exposed, healthy, clean, and mature leaves per treatment. The leaves were dark-adapted with clips for 35 min before measurements, according to Rodrigues [60]. The following variables were determined: Fm, F0, and Fv are, respectively, maximum, minimum, and variable fluorescence from dark-adapted leaves, and the relations are Fv/Fm = (Fm − F0)/Fm and Fv/F0 = (Fm − F0)/F0.

2.5. Yield and Yield Components

Harvest occurred on 4 September 2019, 10 September 2020, and 26 September 2021. Each of the 14 trees monitored per treatment was collected separately, following the details of García-Tejero et al. [61]. The collected almonds were processed manually to remove the hulls and leaves. After that, cleaned almonds were left to air-dry and weighed once a humidity content of about 5–6% was reached. The following yield and all yield compounds were calculated with this moisture percentage. Later in the laboratory, 100 almonds were used for each treatment to calculate nut and kernel weights using a precision balance (RADWAG, AS 220.R2, Poland) with a reading accuracy of 0.0001 and expressed in grams. The kernel yield per hectare was calculated using the equation: kernel yield (kg ha−1) = kernel yield per tree (kg tree−1) × tree density (n° tree ha−1).
Water use efficiency (WUE) was calculated as the ratio between kernel yield per hectare and the amount of water applied (effective precipitation and irrigation) during the growing season of the crop. From the phenology states recorded during the experiment, the growing season was considered from 1 March to 31 October.

2.6. Statistical Analysis

The statistical analysis was carried out using Statgraphics Centurion version XVI (Stat point Technologies INC., Warrenton, VA, USA). Data were evaluated by a three-way analysis of variance (three-way ANOVA), and significant interactions between the tested factors (irrigation, foliar application of kaolin, and cultivar) were observed. Therefore, all the means for each treatment were compared separately using Tukey’s honestly significant difference (HSD) test (p = 0.05).

3. Results

3.1. Climate Conditions, Irrigation, and Plant Water Status

The climatic conditions in the three years of the experiment (2019, 2020, and 2021) are shown in Table 1. In general, the three years of study had similar climatic conditions. The year 2021 presented a lower total precipitation (534 mm) than the other two experimental years (676 mm in 2019 and 643 mm in 2020). The effective precipitation in 2019, 2020, and 2021 was 265, 318, and 240 mm, respectively. The low amount of effective precipitation during the almond growing season in 2021 translated into an increase in the total amount of irrigation water applied that year (Table 3). The amounts of water used for treatments FI and RDI, respectively, were 2189.9 and 1287.8 m3 ha−1 in 2019, 2141.2 and 1254.1 m3 ha−1 in 2020, and 2458.3 and 1433.6 m3 ha−1 in 2021 (Table 3). Thus, the RDI of the 100/35 treatments represented a water saving of 41.19% in 2019, 41.46% in 2020, and 41.68% in 2021 compared to FI treatments.
Figure 1 shows the results obtained from the measurements of ΨPLWP for two different dates in each experimental year. The first measurement was made two to three weeks after the foliar application of kaolin and the reduction in irrigation to 35% of the ETc in the RDI treatments (during the kernel-filling period). In all DOYs, except for DOY 253 in 2020, deficit irrigation showed significant differences between treatments. Kaolin never presented significant differences, while in contrast, the cultivar did present significance on some measurement days. Regarding the values achieved for the different treatments, as expected, we found the most negative ones in deficit irrigation treatments; throughout the three years of the study, the RDI treatments values varied between −1.73 MPa and −0.75 MPa, while the FI treatments values were from −1.21 MPa to −0.52 MPa.

3.2. Leaf Morphological Characteristics

Table 4 shows the results obtained during 2020 and 2021 for the different leaf morphological parameters studied: leaf area (LA), leaf mass per area (LMA), density of the leaf tissue (D), relative water content (RWC), succulence (S), water content at saturation (WCS), and water saturation deficit (WSD). All the parameters evaluated showed significant differences on some of the measurement dates.
The relative leaf water content (RWC) varied significantly on all the measurement dates over the two years. Results for the measurement of the DOY 220 in 2020 showed no clear trend between the different factors studied. However, for DOY 253, it was observed that cv. Vairo presented higher RWC values than cv. Constantí, except for the V100/35K treatment. For 2021, the DOY 224 results showed significant differences but without a clear trend, while for DOY 242, it was observed that the RWC of the treatments for cv. Vairo presented higher values than the treatments for cv. Constantí.
Regarding the leaf area, for 2020, only the DOY 253 measurements showed significant differences. These differences were observed between the two cultivars: cv. Vairo presented a greater leaf area, with values between 22.42 and 24.74 cm2, than cv. Constantí, with values between 17.13 and 21.06 cm2. In 2021, it was also only the last measurement (DOY 242) that presented significant differences but with a different trend. All treatments for cv. Constantí, except C100, had lower LA values than cv. Vairo. Within the treatments for cv. Vairo, a not-significant reduction in LA was observed in the two RDI treatments with respect to the FI treatments. The foliar application of kaolin did not cause significant effects in any of the measurements. Succulence was another parameter that presented significant differences in the two years’ measurements. The cv. Vairo showed significantly higher values of leaf succulence than the cv. Constantí in all measurements.

3.3. Physiological Measurements

The results of leaf gas exchange parameters (Figure 2 and Figure 3) showed different trends between the measurement dates. For example, in 2019, for DOY 213 (kernel-filling stage), higher values of E were observed in the treatments for cv. Vairo (5.39 mmol m−2 s−1) with respect to the treatments for cv. Constantí (4.66 mmol m−2 s−1). The same happened for the gs, with mean values of 0.13 mmol m−2 s−1 for cv. Constantí and 0.19 mmol m−2 s−1 for cv. Vairo. Regarding Pn, the deficit irrigation presented significant differences between the two cultivars. The treatments with deficit irrigation for cv. Constantí presented values of 13.94 mmol m−2 s−1, and the treatments with total irrigation were 18.92 mmol m−2 s−1. For cv. Vairo, the RDI treatments showed mean Pn values of 14.18 mmol m−2 s−1, and the FI treatments were 19.53 mmol m−2 s−1. Regarding iWUE, the significant differences were due to cultivar type and kaolin. The kaolin significantly increased the values of iWUE in cv. Vairo. The FIV treatment presented a value of 92.74 mmol m−2 s−1, and the FIV + K increased to a value of 144.73 mmol m−2 s−1. Regarding the measurement during the ripening stage of the fruit (DOY 241) in 2019, the differences between the treatments were very slight.
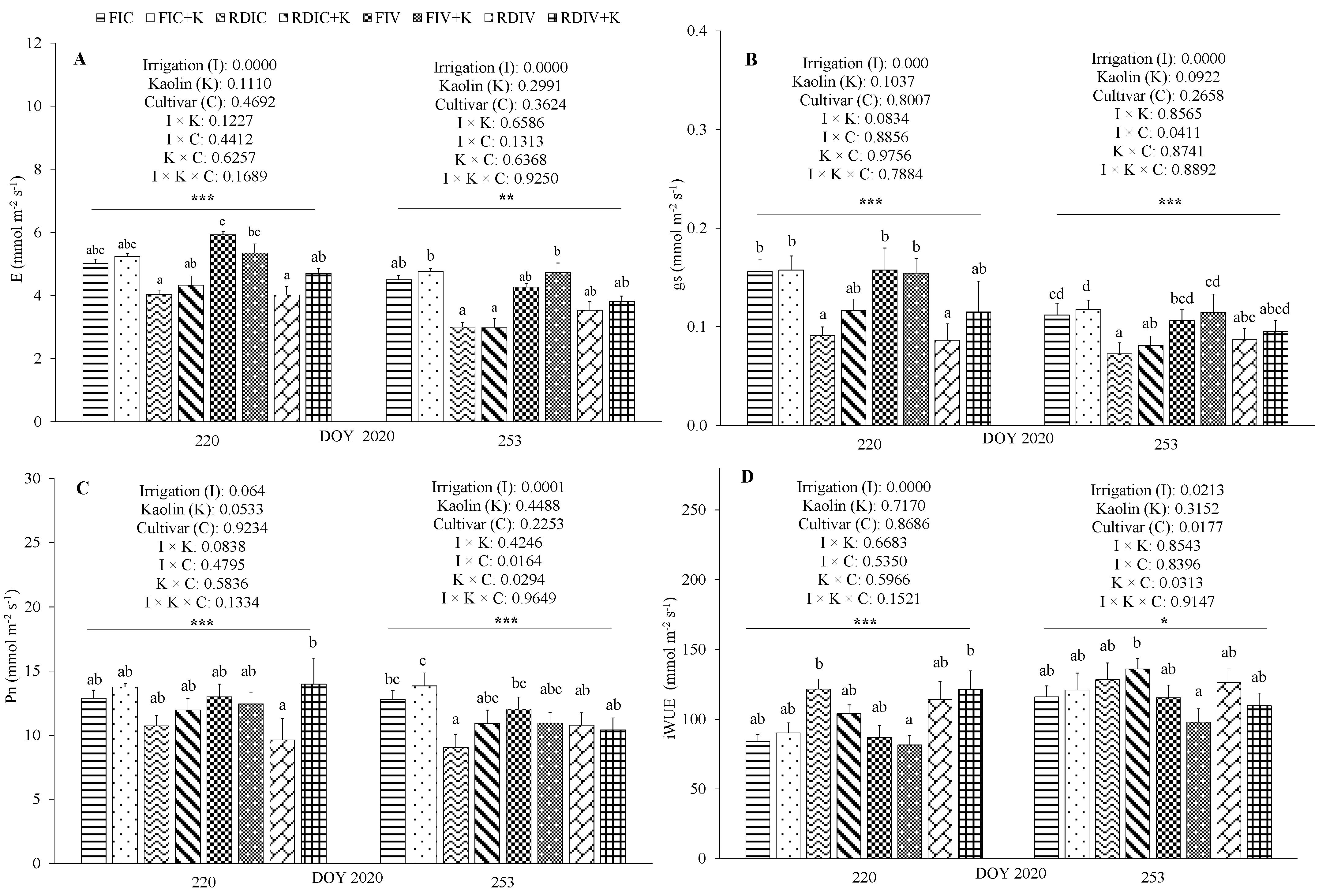
In the measurements from 2020, the deficit irrigation presented considerable influence on the parameters E and gs (Figure 3). For example, in the DOY 220 measurements, the FI treatments presented a mean E value of 5.12 mmol m−2 s−1, and the RDI treatments had a value of 4.18 mmol m−2 s−1. For cv. Vairo, the trend was similar; the FI treatments showed a mean value of 5.64 mmol m−2 s−1, and the RDI treatments had a value of 4.36 mmol m−2 s−1. Regarding the iWUE results, the RDI treatments showed higher values than the FI treatments for both cultivars in 2020.
Figure 4, Figure 5 and Figure 6 present parameters related to chlorophyll fluorescence. Significant differences were observed in the different measurement dates in the two years (2019 and 2020). In 2019, the differences were due to irrigation and cultivation without presenting a consistent trend. In 2020, although irrigation and cultivar were significant for some parameters, the greatest differences were caused by applying kaolin. In the DOY 220 measurement, the application of kaolin showed a clear trend for some parameters of chlorophyll in a fluorescence analysis. A reduction in O, J, and p values was observed in all the control treatments in which kaolin was not applied.

3.4. Yield and Water Use Efficiency

The year 2020 showed the lowest yield, with an RDIV + K treatment value of 301 kg ha−1. The year 2021 saw the highest yields, with an RDIC treatment value of 667 kg ha−1. In the first year of the experiment, 2019, all the treatments of the cv. Vairo were more productive than those of the cv. Constantí. Within the cv. Vairo, the treatments with RDI presented a slight yield reduction but without significant differences. In 2020 and 2021, the treatments with RDI for the cv. Vairo showed a significant decrease in yield compared to the rest of the treatments. These yield variations in the three years of study impacted the accumulated productivity for the three years. For cv. Vairo, the RDI treatments of RDIV (1372 kg ha−1) and RDIV + K (1310 kg ha−1) presented a lower accumulated yield than the two FI treatments, FIV (1699 kg ha−1) and FIV + K (1629 kg ha−1). In contrast, cv. Constantí did not present significant differences between the RDI and control FI treatments. The foliar application of kaolin did not show any significance in any of the cultivars.
The cv. Constantí presented a significantly lower percent kernel in all the years of study than the cv. Vairo. In 2019, the C100/35 (26.32%) and RDIC + K (26.4%) treatments presented a better kernel percentage than the control treatments, FIC (25.51%) and FIC + K (25.46%). In 2021, the RDI treatments for cv. Vairo (25.99% and 26.05% for RDIV and RDIV + K, respectively) presented a reduction in percent kernel compared to the two FI treatments (27.8% and 27.39% for FIV and FIV + K, respectively). The average value of the kernel percent over the three years of the experiment only showed significant differences between the two cultivars evaluated: the cv. Vairo presented a kernel percent of 27.2%, and the cv. Constantí had an average kernel percent of 24.3%.
Water use efficiency (WUE) presented significant differences every year of the experiment. In 2019, the RDI treatments for cv. Vairo (RDIV and RDIV + K) stood out with the highest value, 0.14 kg m−3. In 2021, the treatments RDIC and RDIC + K presented the highest values of the entire experiment, with 0.17 and 0.16 kg m−3, respectively. Finally, for the mean values of the three years, a higher WUE was observed in the RDIC and RDIC + K treatments (0.13 kg m−3) compared to the rest of the treatments. Kaolin foliar application did not show significant differences.

4. Discussion

It is well known from the literature that edaphoclimatic conditions strongly influence crop productivity [26,62]. To have a profitable almond orchard and, at the same time, be environmentally sustainable, we need to apply some cultural techniques that allow us to adapt to the local edaphoclimatic conditions [14,63]. This work was proposed to evaluate the physiological and agronomic responses of applying two combined strategies to reduce the negative effects of water and thermal stress on the almond tree and to assess the behavior of two commercial almond cultivars under these strategies. After three years of experimentation, we obtained interesting results that are presented and discussed below.
As can be interpreted in Table 1, throughout the vegetative cycle of the almond tree in this region, the critical period of water stress was centered from June to September. This was similar to what has been described by other authors in the regions of the Mediterranean area [25,35]. In the early phenological stages of the development of the almond tree (budding, flowering, fruit-setting, and growth), the rainfall was sufficient to maintain the almond trees in conditions of water comfort. In general, every year, the precipitations are reduced at the end of spring (May and June), as we can see in 2019 and 2020, with 31.4 mm and 23.2 mm, respectively. During this period, with high temperatures and high solar radiation, the ET0 also increases. Therefore, the predawn leaf water potential measurements in this period demonstrated water comfort (data not shown). Generally, almond water stress in this region of northeastern Portugal starts to develop in June [9,32,33]. There are exceptional years, such as 2021, where the rainfall at the beginning of June was high, but at the same time, given the high ETc values due to high temperatures and high solar radiation, the almond trees quickly consume the water available in the soil.
Different works on climatic change have shown how, in recent years, rainfall has decreased and temperatures have increased, as well as heatwave events [5,6]. The projections for the Mediterranean regions of southern Europe show an increase in these negative effects of climate change in the near future [64,65]. For this reason, it is increasingly important to find new strategies to cope with crop water stress and, at the same time, improve knowledge of the adaptation measures that are already being implemented.
The two cultivars showed different behavior regarding the effect of RDI on kernel yield during the kernel-filling stage. The RDI did not cause a yield loss in the cv. Constantí in any of the three years of study or in the accumulated production (Table 5). However, it did produce a yield reduction in cv. Vairo. This reduction was not significant in the first year of the study, but it was also observed in the second year and had an impact on the accumulated productivity of the three years of study. As a result, a 19.5% reduction in cumulative production was observed in the RDI treatments compared to the FI treatments for cv. Vairo. In general, some authors did not find significant yield reductions when they applied RDI treatments during the kernel-filling period, as in our study [35,66,67,68,69,70]. Controversially, other studies did find yield reductions when they applied RDI strategies during the kernel-filling stage [27,30,71,72]. These different conclusions between scientific studies could be due to the different edaphoclimatic conditions of the regions where these field experiments were carried out. There could also be slight deviations that were made in the calculations of the irrigation water since, in general, the measurement is never carried out directly from evapotranspiration [17] for estimates of the amount of water applied with irrigation.
Some studies relate the reduction in irrigation water supply from DI techniques with a reduction in vegetative growth and, therefore, a lower canopy of the almond trees [67,69,73]. A smaller volume of the almond tree crown impacts productivity over the years since it reduces the productive organs per tree and the fruit load. As would be expected, the cause of the reduction in vegetative growth could be related to the water stress imposed in DI. Still, it must also be considered that this could be related to a reduction in the surface area of moist soil in trees irrigated with RDI. This translates into less nutrient availability to be absorbed by the roots [74]. To counteract the reduction in vegetation due to RDI, some authors state that the planting density could be increased [27]. It should be noted that this increase in planting density also causes an increase in water needs per area. This discrepancy in conclusions between works that applied RDI may be due to the different responses of the plant material used in the experiments, both the rootstock and the cultivar. The rootstock is a crucial factor because the depth and development reached by the roots will depend on it and, thus, the best or worst use of the water stored in the soil [2]. Most studies on deficit irrigation are carried out with almond trees on the GF677 rootstock [32,33,34,35,70,71,72,73] since it is the most commonly used in recent years [14]. There are works with other rootstocks such as GN15 ‘Garnem’ [75], Mayor [69,76,77], Nemaguard [78], and RootPac® series [79,80]. Thus, the rootstock is a factor to consider when evaluating the physiological and agronomic effects of deficit irrigation. Álvarez et al. [79] compared the drought resistance of almond trees of the cv. Soleta on RootPac® -20 rootstock and self-rooted almond trees, noting that water stress did not produce differences in stomatal conductance, while the grafted trees presented lower Pn than the self-rooted trees. Isaakidis et al. [81] evaluated the resistance to water stress and the nutrient absorption capacity of eight different rootstocks grafted on the same cultivar, Ferragnès, finding significant differences between them and highlighting GN22 in terms of its better capacity to resist water stress.
The different responses of different almond cultivars to deficit irrigation have been evaluated in some works. For example, Gutiérrez-Gordillo et al. [75] assessed the effect of RDI during the kernel-filling period when irrigation was reduced to 65% of ETc on three cultivars: Guara, Marta, and Lauranne. These authors appreciated that the cv. Marta was more sensitive to the water stress conditions imposed by the RDI than the cvs. Lauranne and Guara. Gomes-Laranjo et al. [33] evaluated the physiological behavior of five almond cultivars (Francoli, Ferragnès, Glorieta, Lauranne, and Masbovera) growing under non-irrigated and irrigated conditions, noting that all cultivars responded with an increase in photosynthesis under irrigated conditions compared to rainfed conditions. These authors have also highlighted that when irrigation was applied, photosynthesis increased more in Masbovera and Ferragnès cultivars than in Lauranne, Glorieta, and Francolí cultivars. Fernandes de Oliveira et al. [3] made a comparison of the physiological activity and the yield components between four cultivars, two autochthonous from Italy (Arrubia and Cossu) and two commercial ones (Texas and Tuono). In this study, the cvs. Arrubia and Texas presented an efficient control over transpiration, translating into a higher almond yield than the cvs. Cossu and Tuono, which showed worse physiological adaptation to water stress conditions. These studies showed the different adaptive responses of cultivars to water stress conditions in the Mediterranean area in the summer. For these reasons, it is crucial to carefully evaluate which cultivars and rootstocks will be used for planting almond orchards in regions where the scarcity of irrigation water and high summer temperatures are the limiting factors to achieving profitable and sustainable almond production.
As already suggested by some studies, the morphological characteristics of the leaves may show a better or worse adaptation to water stress conditions [3,43,74]. Thus, in our study, the reduction in performance in the RDI treatment for cv. Vairo compared to cv. Constantí may have an explanation based on the morphological characteristics of the leaves of both cultivars. The cv. Constantí seems to be better adapted to dry summer conditions than the cv. Vairo. Within the different forms of adaptation that an almond cultivar may possess, specific morphological characteristics of the leaves favor resistance to drought stress [58]. In our study, the two cultivars evaluated had different structural adaptations of the leaves (Table 4). The cv. Constantí had a smaller leaf area (18.98 cm2) than the cv. Vairo (21.54 cm2) when we calculated the average value of all the measurements. The reduction in the foliar area has been described as an essential factor in avoiding water stress in almond trees [58] and in other characteristic crops of the Mediterranean area, such as olive trees [82]. Significant differences in RWC were observed between the treatments for the different measurement dates, with cultivar and irrigation being significant. In our study, regardless of the irrigation or kaolin treatment, cv. Vairo presented a higher RWC (84.32%) than cv. Constantí (80.97%), which can be interpreted as a better adaptation of cv. Constantí to water stress conditions. Some works suggest that a higher density of the leaf tissue favors a better adaptation to water stress conditions since the higher density translates into a more dry mass within the same area [83]. At the same time, the higher density of the leaves causes greater mechanical resistance and reduces damage by desiccation, providing a longer life expectancy for the leaf [84]. In our work, if we perform the average value of all the treatments regardless of the irrigation treatment and the foliar kaolin application, cv. Constantí presented a higher density (467.32 g/kg) than cv. Vairo (435.57 g/kg), which could also suggest that the leaves of cv. Constantí are better adapted than cv. Vairo. Gispert et al. [85] studied the physiological behavior of six almond cultivars (Glorieta, Francolí, Masbovera, Guara, Ferragnès, and Lauranne) under water stress conditions. These authors observed that the morphological leaf characteristics were genetically predetermined, but they also suffered modifications due to environmental conditions. Their results showed that the Masbovera leaves had good sensitivity to stomatal closure, and those of cv. Guara presented a good cuticular insulator against water stress conditions.
Regarding the results of ΨPLWP (Figure 1), if we perform an average of all ΨPLWP measurements regardless of the cultivar and the foliar kaolin application, we obtain significant differences between the treatments with a value of −0.87 MPa for the FI treatment and −1.11 MPa for the RDI treatment. When we carefully analyzed each measurement date, the irrigation was significant for all of them except for DOY 253 in 2020 (Figure 1), but with close ΨPLWP values between the FI and RDI treatments and without showing a very negative trend in the RDI treatments. This suggests that the reduction in irrigation water of up to 35% of the ETc during the kernel-filling stage did not drastically reduce the values of ΨPLWP with respect to the FI treatments. Thus, the theory put forward by other studies could be demonstrated [32,35,73], in which almond trees during the kernel-filling phase are less sensitive to water deficits because almond trees at this stage have low evaporative demand. However, other studies showed more markedly significant differences in water potential between RDI treatments. For example, Gutierrez-Gordillo et al. [75] found significant differences in water potential measurements during the kernel-filling phase for an RDI treatment with 65% ETc compared to an FI for three different cultivars (Marta, Guara, and Lauranne).
There are different mechanisms by which plants in Mediterranean regions regulate their physiology to minimize the negative effects of water stress [38,86,87]. One way the almond tree regulates its water consumption is through stomata regulation [87]. This is reflected in the measurement of some gas exchange parameters, such as gs and E [88]. In contrast, plants have other biochemical regulation mechanisms that do not involve stomata regulation [86]. In our experiment, E was unaffected by the irrigation reduction in the RDI treatments during 2019 (Figure 2). However, in the measurements carried out in 2020, significant differences were observed for both cultivars between the RDI and FI treatments (Figure 3). This same trend from 2020 was also seen in the values of gs. In comparison, the Pn was not significantly reduced in the measurements of the same days, which indicates good stomatal control of the two cultivars. So, although the amount of water available to the almond trees in the RDI treatments is less than in the FI treatments, the stomatal conductance allows them to maintain acceptable levels of Pn. This behavior has been observed in other works with almond trees [32,35] and olive trees [83]. Different deficit irrigation strategies have also been implemented on other fruit trees of the prunus genus with satisfactory results. For example, Houghton et al. [89] applied deficit irrigation to sweet cherry (Prunus avium L.), demonstrating that deficit irrigation is an effective strategy to improve the water status of sweet cherry trees and save water in these orchards. Hajlaoui et al. [90] reported that deficit irrigation on different cultivars of plum (Prunus salicina L.) slightly reduced yield but improved some fruit quality parameters, such as total soluble solid content and firmness, compared to full irrigation trees.
Kaolin has more and more uses in agriculture, particularly in the almond tree crop. Initially, it was used to combat and prevent some almond pests and diseases [91,92] but was subsequently used to reduce the negative effects of water stress and high temperatures [43,45,46]. In our study, the foliar application of kaolin did not present significant results regarding yield, percent kernel, or WUE. Gharaghani et al. [93] conducted a study on applying kaolin to almond trees under SDI treatment, observing that the yield improved in the two years of study. Brito et al. [42] carried out an experiment with the foliar application of kaolin on olive trees (cv. Cobrançosa) that were irrigated under SDI, observing a positive synergistic effect between SDI and kaolin on the physiological activity of the trees, their yield, and improving some quality oil parameters. Regarding the physiological activity, in general, our results did not reveal the same significant alterations due to the effect of kaolin in either of the two cultivars. We could only highlight how kaolin improved the iWUE values in the DOY 213 measurements in 2019. This may be due to the reflection effect of excess radiation caused by kaolin, which leads to a reduction in the temperature of the leaf and a better iWUE [43]. This iWUE improvement through kaolin was also observed in other research works on the grapevine (Vitis vinifera L.) [39,40]. Rosati et al. [43] did not find significant effects of the application of kaolin on the physiological activity of almond trees with low irrigation and a moderate level of water stress or on trees with a low level of water stress. In general, some studies on kaolin support the theory that its benefits on photosynthetic capacity occur when plants are under moderate or severe water stress and cannot take advantage of all the radiation that reaches the leaves [93,94,95,96]. At the same time, it has been observed that when the leaves are in optimal hydration status, kaolin decreases stomatal conductance and the photosynthetic rate [97,98]. This may occur due to the low intensity of radiation that reaches the photosynthetic system of the leaf due to the kaolin film on it [99]. With the reflection capacity of kaolin, a priori, a negative effect is produced, which is the reduction in photosynthetically active radiation (PAR) by the photosynthetic system of the leaf. Some studies, such as Rosati et al. [43] and Glenn [51], have shown that this effect is counteracted by the redistribution of radiation within the most shaded leaves inside the tree. Thus, Rosati et al. [43] studied the absorption and distribution of light in walnut trees (Juglans regia) and almond trees (Prunus dulcis) with and without foliar application of kaolin, demonstrating that there is a reduction of approximately 20% of the PAR at the level of the leaves fully exposed to the sun and that there is a redistribution due to the reflection caused by the kaolin towards the leaves inside the canopy. Rosati et al. [43] concluded that with the application of kaolin, the net photosynthesis rate in the entire tree increased by 9%.
Finally, we have to highlight that Barreales et al. [53], in the physical-chemical analysis of the almonds produced during the three years of the present experiment, reported that the combination of regulated deficit irrigation and the kaolin application did not present a negative influence on the morphological and color characteristics of the almonds. In fact, the chemical and nutritional compositions were not affected by applying these two water stress mitigation strategies, and some parameters even presented positive effects. For example, the synthesis of linoleic acid was increased by the foliar application of kaolin.

5. Conclusions

The almond tree is a typical crop of the Mediterranean area that can improve its profitability with irrigation. Within multiple irrigation techniques, some have been developed to reduce water consumption in recent years. For example, deficit irrigation could be the solution to improving yield with a limited amount of irrigation water. In our work, we verified how the reduction in irrigation during the filling-kernel stage affected the accumulated yield in different ways during the three years of study of the two almond cultivars. While the cv. Constantí did not suffer significant losses in yield, the cv. Vairo had a small yield drop. This shows the importance of selecting suitable cultivars and, at the same time, adapting the implemented irrigation strategy. Interestingly, the foliar application of kaolin showed no effect on the yield of the almond trees. Although some studies describe synergistic effects between DI techniques and the application of kaolin in reducing water stress, in general, the physiological activity of almond trees under RDI and kaolin application was not affected. Thus, according to the results obtained in our study, for cv. Constantí, it is possible to save 1000 m3 ha−1 year−1 of irrigation water without having reductions in production through RDI. Also, in cv. Vairo, irrigation water can be saved while still obtaining yields very close to those obtained by FI.

Author Contributions

Conceptualization, D.B. and A.C.R.; methodology, D.B. and A.C.R.; software, D.B.; validation, A.C.R., A.A.B. and P.A.C.; formal analysis, D.B.; investigation, D.B., S.C. and A.C.R.; resources, D.B. and A.C.R.; data curation, D.B. and S.C.; writing—original draft preparation, D.B.; writing—review and editing, A.C.R., A.A.B. and P.A.C.; visualization, D.B. and A.C.R.; supervision, A.C.R.; project administration, A.C.R.; funding acquisition, A.C.R. All authors have read and agreed to the published version of the manuscript.

Funding

The authors acknowledge the financial support of Operational Group EGIS—Estratégias de Gestão Integrada do Solo e da Água em Espécies Produtoras de Frutos Secos, PDR2020-1.0.1-FEADER-030981, funded by PT2020 and EAFRD (European Agricultural Fund for Rural Development). David Barreales thanks the Foundation for Science and Technology (FCT) for the Ph.D. grants SFRH/BD/139393/2018 and COVID/BD/152770/2023. This manuscript is part of David Barreales’s Ph.D. thesis. The authors are grateful to the Foundation for Science and Technology (FCT, Portugal) for financial support by national funds FCT/MCTES(PIDDAC) and CIMO (UIDB/00690/2020 and UIDP/00690/2020), and to the Associate Laboratory SusTEC (LA/P/0007/2021).

Institutional Review Board Statement

Not applicable.

Informed Consent Statement

Informed consent was obtained from all subjects involved in the study.

Data Availability Statement

The data presented in this study are available on request from the corresponding author. The data are not publicly available due to corporate privacy reasons.

Acknowledgments

The authors also thank the Cooperativa Agrícola de Alfandega da Fé, Crl., for allowing this research activity in its almond orchards.

Conflicts of Interest

The authors declare no conflict of interest.

References

  1. Gonzalez-Dugo, V.; Zarco-Tejada, P.; Berni, J.A.; Suarez, L.; Goldhamer, D.; Fereres, E. Almond tree canopy temperature reveals intra-crown variability that is water stress-dependent. Agric. For. Meteorol. 2012, 154, 156–165. [Google Scholar] [CrossRef]
  2. Arquero, O. Manual del Almendro. Editor. Junta Andal. 2013, 78, 2378. (In Spanish) [Google Scholar]
  3. Fernandes de Oliveira, A.; Mameli, M.G.; De Pau, L.; Satta, D. Almond Tree Adaptation to Water Stress: Differences in Physiological Performance and Yield Responses among Four Cultivar Grown in Mediterranean Environment. Plants 2023, 12, 1131. [Google Scholar] [CrossRef] [PubMed]
  4. del Pozo, A.; Brunel-Saldias, N.; Engler, A.; Ortega-Farias, S.; Acevedo-Opazo, C.; Lobos, G.A.; Jara-Rojas, R.; Molina-Montenegro, M.A. Climate change impacts and adaptation strategies of agriculture in Mediterranean-climate regions (MCRs). Sustainability 2019, 11, 2769. [Google Scholar] [CrossRef]
  5. Mosedale, J.R.; Abernethy, K.E.; Smart, R.; Wilson, R.J.; Maclean, I.M.D. Climate change inputs and adaptative strategies: Lessons from the grapevine. Glob. Chang. Biol. 2016, 22, 3814–3828. [Google Scholar] [CrossRef] [PubMed]
  6. Lorite, I.J.; Cabezas-Luque, J.M.; Arquero, O.; Gabaldón-Leal, C.; Santos, C.; Rodríguez, A.; Ruiz-Ramos, M.; Lovera, M. The role of phenology in the climate change impacts and adaptation strategies for tree crops: A case study on almond orchards in Southern Europe. Agric. For. Meteorol. 2020, 294, 108142. [Google Scholar] [CrossRef]
  7. Freitas, T.R.; Santos, J.A.; Silva, A.P.; Fonseca, A.; Fraga, H. Evaluation of historical and future thermal conditions for almond trees in north-eastern Portugal. Clim. Chang. 2023, 176, 89. [Google Scholar] [CrossRef]
  8. IPCC. Climate Change 2023: Synthesis Report. A Report of the Intergovernmental Panel on Climate Change. Contribution of Working Groups I, II and III to the Sixth Assessment Report of the Intergovernmental Panel on Climate Change; IPCC: Geneva, Switzerland, 2023. [Google Scholar]
  9. Freitas, T.R.; Santos, J.A.; Silva, A.P.; Fraga, H. Reviewing the Adverse Climate Change Impacts and Adaptation Measures on Almond Trees (Prunus dulcis). Agriculture 2023, 13, 1423. [Google Scholar] [CrossRef]
  10. Fraga, H.; de Cortázar Atauri, I.G.; Santos, J.A. Viticultural irrigation demands under climate change scenarios in Portugal. Agric. Water Manag. 2018, 196, 66–74. [Google Scholar] [CrossRef]
  11. Galindo, A.; Collado-González, J.; Griñán, I.; Corell, M.; Centeno, A.; Martín-Palomo, M.J.; Girón, I.F.; Rodriguez, P.L.; Cruz, Z.N.; Memmi, H.; et al. Deficit irrigation and emerging fruit crops as a strategy to save water in Mediterranean semiarid agrosystems. Agric. Water Manag. 2018, 202, 311–324. [Google Scholar] [CrossRef]
  12. Ma, N.; Szilagyi, J.; Zhang, Y. Calibration-free complementary relationship estimates terrestrial evapotranspiration globally. Water Resour. Res. 2021, 57, e2021WR029691. [Google Scholar] [CrossRef]
  13. Schumacher, D.L.; Keune, J.; Dirmeyer, P.; Miralles, D.G. Drought self-propagation in drylands due to land–atmosphere feedbacks. Nat. Geosci. 2022, 15, 262–268. [Google Scholar] [CrossRef] [PubMed]
  14. Iglesias, I.; Foles, P.; Oliveira, C. El cultivo del Almendro en España y Portugal: Situación, innovación tecnológica, costes, rentabilidad y perspectivas. Rev. Frutic. 2021, 81, 6–49. [Google Scholar]
  15. Girona, J. Estrategias de riego deficitario en el cultivo del almendro. Frutic. Prof. 1992, 47, 38–45. [Google Scholar]
  16. Goldhamer, D.A.; Fereres, E. Establishing an almond water production function for California using long-term yield response to variable irrigation. Irrig. Sci. 2017, 35, 169–179. [Google Scholar] [CrossRef]
  17. Mirás-Avalos, J.M.; Gonzalez-Dugo, V.; García-Tejero, I.F.; López-Urrea, R.; Intrigliolo, D.S.; Egea, G. Quantitative analysis of almond yield response to irrigation regimes in Mediterranean Spain. Agric. Water Manag. 2023, 279, 108208. [Google Scholar] [CrossRef]
  18. Miarnau, X.; Pomar, L.T.; Cambra, M.R.; Caravaca, I.B. Consideraciones para la mejora productiva del almendro en España. Tierras Castilla León Agric. 2018, 267, 112–120. [Google Scholar]
  19. FAO. The Future of Food and Agriculture–Trends and Challenges; Annual Report; FAO: Rome, Italy, 2017; Volume 296, pp. 1–180. [Google Scholar]
  20. FAOSTAT. Food and Agriculture Organization of the United Nations. 2022. Available online: https://www.fao.org/faostat/en/#data/QCL (accessed on 10 August 2022).
  21. Tous-Martí, J. Frutales mediterráneos cultivados en California. Agric. Rev. Agropecu. Y Ganad. 1995, 769, 680–684. [Google Scholar]
  22. Miarnau, X.; Torguet, L.; Batlle, I.; Romero, A.; Rovira, M.; Alegre, S. Comportamiento agronómico y productivo de las nuevas variedades de almendro. In Fruticultura; Editorial Tècnica Quatrebcn: Barcelona, Spain, 2016; Volume 49, pp. 42–59. [Google Scholar]
  23. Morais, M.C.; Aires, A.; Barreales, D.; Rodrigues, M.Â.; Ribeiro, A.C.; Gonçalves, B.; Silva, A.P. Combined soil and foliar nitrogen fertilization effects on rainfed almond tree performance. J. Soil Sci. Plant Nutr. 2020, 20, 2552–2565. [Google Scholar] [CrossRef]
  24. Torrecillas, A.; Alarcón, J.J.; Domingo, R.; Planes, J.; Sánchez, B.M.J. Strategies for drought resistance in leaves of two almond cultivars. Plant Sci. 1996, 118, 135–143. [Google Scholar] [CrossRef]
  25. Sánchez, J.M.; Simón, L.; González-Piqueras, J.; Montoya, F.; López-Urrea, R. Monitoring Crop Evapotranspiration and Transpiration/Evaporation Partitioning in a Drip-Irrigated Young Almond Orchard Applying a Two-Source Surface Energy Balance Model. Water 2021, 13, 2073. [Google Scholar] [CrossRef]
  26. Ruiz-Sanchez, M.D.C.; Domingo, R.; Castel, J.R. Deficit irrigation in fruit trees and vines in Spain. A review. Span. J. Agric. Res. 2010, 8, S5–S20. [Google Scholar] [CrossRef]
  27. Goldhamer, D.A.; Viveros, M.; Salinas, M. Regulated deficit irrigation in almonds: Effects of variations in applied water and stress timing on yield and yield components. Irrig. Sci. 2006, 242, 101–114. [Google Scholar] [CrossRef]
  28. Fereres, E.; Soriano, M.A. Deficit irrigation for reducing agricultural water use. J. Exp. Bot. 2007, 58, 147–159. [Google Scholar] [CrossRef] [PubMed]
  29. Chai, Q.; Gan, Y.; Zhao, C.; Xu, H.; Waskom, R.M.; Niu, Y.; Siddique, K.H.M. Regulated deficit irrigation for crop production under drought stress. A review. Agron. Sustain. Dev. 2016, 36, 3. [Google Scholar] [CrossRef]
  30. Egea, G.; Nortes, P.A.; Domingo, R.; Baille, A.; Pérez-Pastor, A.; Gónzalez-Real, M.M. Almond agronomic response to long term deficit irrigation applied since orchard establishment. Irrig. Sci. 2013, 31, 445–454. [Google Scholar] [CrossRef]
  31. Romero, P.; García, J.; Botía, P. Cost–benefit analysis of a regulated deficit-irrigated almond orchard under subsurface drip irrigation conditions in Southeastern Spain. Irrig. Sci. 2006, 24, 175–184. [Google Scholar] [CrossRef]
  32. Prgomet, I.; Pascual-Seva, N.; Morais, M.C.; Aires, A.; Barreales, D.; Ribeiro, A.C.; Silva, A.P.; Barros, A.I.R.N.A.; Gonçalves, B. Physiological and biochemical performance of almond trees under deficit irrigation. Sci. Hortic. 2020, 261, 108990. [Google Scholar] [CrossRef]
  33. Gomes-Laranjo, J.; Coutinho, J.P.; Galhano, V.; Cordeiro, V. Responses of five almond cultivars to irrigation: Photosynthesis and leaf water potential. Agric. Water Manag. 2006, 83, 261–265. [Google Scholar] [CrossRef]
  34. García-Tejero, I.F.; Durán-Zuazo, V.H.; Vélez, L.M.; Hernández, A.; Salguero, A.; Muriel-Fernández, J.L. Improving almond productivity under deficit irrigation in semiarid zones. Open Agric. J. 2011, 5, 56–62. [Google Scholar] [CrossRef]
  35. García-Tejero, I.F.; Gutiérrez Gordillo, S.; Souza, L.; Cuadros-Tavira, S.; Duran Zuazo, V.H. Fostering sustainable water use in almond (Prunus dulcis Mill.) orchards in a semiarid Mediterranean environment. Arch. Agron. Soil Sci. 2019, 65, 164–181. [Google Scholar] [CrossRef]
  36. Mañas, F.; López-Fuster, P.; López-Urrea, R. Effects of different regulated and sustained deficit irrigation strategies in almond production. Acta Hortic. 2014, 1028, 391–394. [Google Scholar] [CrossRef]
  37. Gutiérrez-Gordillo, S.; Lipan, L.; Duran Zuazo, V.H.; Sendra, E.; Hernández, F.; Hernández-Zazueta, M.S.; García-Tejero, I.F. Deficit irrigation as a suitable strategy to enhance the nutritional composition of hydrosos almonds. Water 2020, 12, 3336. [Google Scholar] [CrossRef]
  38. Glenn, D.M.; Puterka, G.J. Particle films: A new technology for agriculture. Hortic. Rev. 2005, 31, 1–44. [Google Scholar]
  39. Brillante, L.; Belfiore, N.; Gaiotti, F.; Lovat, L.; Sansone, L.; Poni, S.; Tomasi, D. Comparing kaolin and pinolene to improve sustainable grapevine production during drought. PLoS ONE 2016, 11, e0156631. [Google Scholar] [CrossRef] [PubMed]
  40. Dinis, L.T.; Bernardo, S.; Matos, C.; Malheiro, A.; Flores, R.; Alves, S.; Costa, C.; Rocha, S.; Correia, C.; Moutinho-Pereira, J. Overview of Kaolin Outcomes from vine to wine: Cerceal white variety case study. Agronomy 2020, 10, 1422. [Google Scholar] [CrossRef]
  41. Brito, C.; Dinis, L.T.; Ferreira, H.; Rocha, L.; Pavia, I.; Moutinho-Pereira, J.; Correia, C.M. Kaolin particle film modulates morphological, physiological and biochemical olive tree responses to drought and rewatering. Plant Physiol. Biochem. 2018, 133, 29–39. [Google Scholar] [CrossRef]
  42. Brito, C.; Gonçalves, A.; Silva, E.; Martins, S.; Pinto, L.; Rocha, L.; Arrobas, M.; Rodrigues, M.Â.; Moutinho-Pereira, J.; Correia, C.M. Kaolin foliar spray improves olive tree performance and yield under sustained deficit irrigation. Sci. Hortic. 2021, 277, 109795. [Google Scholar] [CrossRef]
  43. Rosati, A.; Metcalf, S.G.; Buchner, R.P.; Fulton, A.E.; Lampinen, B.D. Effects of kaolin application on light absorption and distribution, radiation use efficiency and photosynthesis of almond and walnut canopies. Ann. Bot. 2007, 99, 255–263. [Google Scholar] [CrossRef]
  44. Luciani, E.; Palliotti, A.; Frioni, T.; Tombesi, S.; Villa, F.; Zadra, C.; Farinelli, D. Kaolin treatments on Tonda Giffoni hazelnut (Corylus avellana L.) for the control of heat stress damages. Sci. Hortic. 2020, 263, 109097. [Google Scholar] [CrossRef]
  45. Karaat, F.E.; Denizhan, H. The effects of different particle film applications on almond trees. Ciência Rural. 2023, 53, e20210757. [Google Scholar] [CrossRef]
  46. Barreales, D.; Pereira, J.A.; Casal, S.; Ribeiro, A.C. Influence of sustained deficit irrigation and foliar kaolin application on almond kernel composition. Sci. Hortic. 2023, 321, 112262. [Google Scholar] [CrossRef]
  47. Mota, N.; Bernardo, S.; Ribeiro, A.C.; Moutinho-Pereira, J.; Dinis, L.-T. Silicon application effect on berry quality of Touriga Franca variety in the Douro Demarcated Region. In Proceedings of the VII International Congress of Mountain and Steep Slopes Viticulture, Vila Real, Portugal, 12–14 May 2022; p. 360. [Google Scholar]
  48. Glenn, D.M.; Cooley, N.; Walker, R.; Clingeleffer, P.; Shellie, K. Impact of kaolin particle film and water deficit on wine grape water use efficiency and plant water relations. HortScience. 2010, 45, 1178–1187. [Google Scholar] [CrossRef]
  49. Oliveira, D.F.; Benhadi-Marín, J.; Neto, J.; Sanz, L.; Garzo, E.; Aguiar, A.; Fereres, A.; Pereira, J.A. Kaolin particle films disrupt landing, settling behavior and feeding of Trioza erytrae on lemon plants. Pest Manag. Sci. 2022, 78, 4753–4763. [Google Scholar] [CrossRef] [PubMed]
  50. Brito, C.; Dinis, L.-T.; Moutinho-Pereira, J.; Correia, C. Kaolin, an emerging tool to alleviate the effects of abiotic stresses on crop performance. Sci. Hortic. 2019, 250, 310–316. [Google Scholar] [CrossRef]
  51. Glenn, D.M. The mechanisms of plant stress mitigation by kaolin-based particle films and applications in horticultural and agricultural crops. HortScience 2012, 47, 710–711. [Google Scholar] [CrossRef]
  52. Rosati, A.; Metcalf, S.G.; Buchner, R.P.; Fulton, A.E.; Lampinen, B.D. Physiological effects of kaolin applications in well-irrigated and water-stressed walnut and almond trees. Ann. Bot. 2006, 98, 267–275. [Google Scholar] [CrossRef]
  53. Barreales, D.; Fernandes, Â.; Barros, L.; Capitão, S.; Castro Ribeiro, A. Effects of regulated deficit irrigation and foliar kaolin application on quality parameters of almond [Prunus dulcis (Mill.) DA Webb]. J. Sci. Food Agric. 2023, 103, 7227–7240. [Google Scholar] [CrossRef]
  54. Kottek, M.; Grieser, J.; Beck, C.; Rudolf, B.; Rubel, F. World map of the Köppen-Geiger climate classification update. Meteorol. Z. 2006, 15, 259–263. [Google Scholar] [CrossRef]
  55. Allen, R.G.; Pereira, L.S.; Raes, D.; Smith, M. Crop Evapotranspiration: Guidelines for Computing Crop Water Requirements; FAO Irrigation and Drainage Paper 56; Food and Agriculture Organization of the United Nations: Rome, Italy, 1998; ISBN 9251042195. [Google Scholar]
  56. Scholander, P.F.; Hammel, H.T.; Bradstreet, E.D.; Hemmingsen, E.A. Sap pressure in vascular plants. Science 1965, 148, 339–346. [Google Scholar] [CrossRef]
  57. Abdi, S.; Abbaspur, N.; Avestan, S.; Barker, A.V. Sana physiological responses of two grapevine (Vitis vinifera L.) cultivars to Cycocel™ treatment during drought. J. Hortic. Sci. Biotechnol. 2016, 91, 211–219. [Google Scholar] [CrossRef]
  58. Oliveira, I.; Meyer, A.; Afonso, S.; Gonçalves, B. Compared leaf anatomy and water relations of commercial and traditional Prunus dulcis (Mill.) cultivars under rain-fed conditions. Sci. Hortic. 2018, 229, 226–232. [Google Scholar] [CrossRef]
  59. von Caemmerer, S.; Farquhar, G.D. Some relationships between the biochemistry of photosynthesis and the gas exchange of leaves. Planta 1981, 153, 376–387. [Google Scholar] [CrossRef] [PubMed]
  60. Rodrigues, M.A.; Afonso, S.; Ferreira, I.Q.; Arrobas, M. Response of stevia to nitrogen fertilization and harvesting regime in Northeastern Portugal. Arch. Agron. Soil Sci. 2017, 63, 626–637. [Google Scholar] [CrossRef]
  61. García-Tejero, I.F.; Lipan, L.; Gutiérrez-Gordillo, S.; Zuazo, V.H.D.; Jančo, I.; Hernández, F.; Cárceles-Rodríguez, B.; Carbonell-Barrachina, Á.A. Deficit Irrigation and Its Implications for HydroSOStainable Almond Production. Agronomy 2020, 10, 1632. [Google Scholar] [CrossRef]
  62. Gitea, M.A.; Gitea, D.; Tit, D.M.; Purza, L.; Samuel, A.D.; Bungău, S.; Badea, G.E.; Aleya, L. Orchard management under the effects of climate change: Implications for apple, plum, and almond growing. Environ. Sci. Pollut. Res. 2019, 26, 9908–9915. [Google Scholar] [CrossRef]
  63. Gutiérrez-Gordillo, S.; Lipan, L.; Durán-Zuazo, V.H.; Carbonell-Barrachina, Á.A.; Cárceles Rodríguez, B.; Rubio-Casal, A.E.; Carbonell-Bojollo, R.; Ordoñez-Fernández, R.; García-Tejero, I.F. Linking sustainability and competitiveness of almond plantations under water scarcity and changing climate. In Resources Use Efficiency in Agriculture; Springer: Singapore, 2020; pp. 695–728. [Google Scholar]
  64. Jacob, D.; Petersen, J.; Eggert, B.; Alias, A.; Christensen, O.B.; Bouwer, L.M.; Braun, A.; Colette, A.; Déqué, M.; Georgievski, G.; et al. EURO-CORDEX: New high-resolution climate change projections for European impact research. Reg. Environ. Chang. 2014, 14, 563–578. [Google Scholar] [CrossRef]
  65. Fraga, H.; Pinto, J.G.; Santos, J.A. Climate change projections for chilling and heat forcing conditions in European vineyards and olive orchards: A multi-model assessment. Clim. Chang. 2019, 152, 179–193. [Google Scholar] [CrossRef]
  66. Goldhamer, D.A.; Fereres, E. Irrigation scheduling of almond trees with trunk diameter sensors. Irrig. Sci. 2004, 23, 11–19. [Google Scholar] [CrossRef]
  67. Romero, P.; Botia, P.; Garcia, F. Effects of regulated deficit irrigation under subsurface drip irrigation conditions on vegetative development and yield of mature almond trees. Plant Soil. 2004, 260, 169–181. [Google Scholar] [CrossRef]
  68. Egea, G.; González-Real, M.M.; Baille, A.; Nortes, P.A.; Sánchez-Bel, P.; Domingo, R. The effects of contrasted deficit irrigation strategies on the fruit growth and kernel quality of mature almond trees. Agric. Water Manag. 2009, 96, 1605–1614. [Google Scholar] [CrossRef]
  69. Egea, G.; Nortes, P.A.; González-Real, M.M.; Baille, A.; Domingo, R. Agronomic response and water productivity of almond trees under contrasted deficit irrigation regimes. Agric. Water Manag. 2010, 97, 171–181. [Google Scholar] [CrossRef]
  70. Puerto, P.; Domingo, R.; Torres, R.; Pérez-Pastor, A.; García, R.M. Remote management of deficit irrigation in almond trees based n maximum daily trunk shrinkage. Water relations and yield. Agric. Water Manag. 2013, 126, 33–45. [Google Scholar] [CrossRef]
  71. Hutmacher, R.B.; Nightingale, H.I.; Rolston, D.E.; Biggar, J.W.; Dale, F.; Vail, S.S.; Peters, D. Growth and yield responses of almond (Prunus amygdalus) to trickle irrigation. Irrig. Sci. 1994, 14, 117–126. [Google Scholar] [CrossRef]
  72. Goldhamer, D.A.; Viveros, M. Effects of preharvest irrigation cutoff durations and postharvest water deprivation on almond tree performance. Irrig. Sci. 2000, 19, 125–131. [Google Scholar] [CrossRef]
  73. Girona, J.; Mata, M.; Marsal, J. Regulated deficit irrigation during the kernel-filling period and optimal irrigation rates in almond. Agric. Water Manag. 2005, 75, 152–167. [Google Scholar] [CrossRef]
  74. Gispert, J.R.; de Cartagena, F.R.; Villar, J.M.; Girona, J. Wet soil volume and strategy effects on drip-irrigated olive trees (cv. ‘Arbequina’). Irrig. Sci. 2013, 31, 479–489. [Google Scholar] [CrossRef]
  75. Gutiérrez-Gordillo, S.; Durán-Zuazo, V.H.; García-Tejero, I. Response of three almond cultivars subjected to different irrigation regimes in Guadalquivir river basin. Agric. Water Manag. 2019, 222, 72–81. [Google Scholar] [CrossRef]
  76. Nortes, P.A.; Gonzalez-Real, M.M.; Egea, G.; Baille, A. Seasonal effects of deficit irrigation on leaf photosynthetic traits of fruiting and non-fruiting shoots in almond trees. Tree Physiol. 2009, 29, 375–388. [Google Scholar] [CrossRef]
  77. Alcon, F.; Egea, G.; Nortes, P.A. Financial feasibility of implementing regulated and sustained deficit irrigation in almond orchards. Irrig. Sci. 2013, 31, 931–941. [Google Scholar] [CrossRef]
  78. Phogat, V.; Skewes, M.A.; Mahadevan, M.; Cox, J.W. Evaluation of soil plant system response to pulsed drip irrigation of an almond tree under sustained stress conditions. Agric. Water Manag. 2013, 118, 1–11. [Google Scholar] [CrossRef]
  79. Álvarez, S.; Martín, H.; Barajas, E.; Rubio, J.A.; Vivaldi, G.A. Rootstock effects on water relations of young almond trees (cv. Soleta) when subjected to water stress and rehydration. Water 2020, 12, 3319. [Google Scholar] [CrossRef]
  80. Bellvert, J.; Nieto, H.; Pelechá, A.; Jofre-Čekalović, C.; Zazurca, L.; Miarnau, X. Remote sensing energy balance model for the assessment of crop evapotranspiration and water status in an almond rootstock collection. Front. Plant Sci. 2021, 12, 608967. [Google Scholar] [CrossRef] [PubMed]
  81. Isaakidis, A.; Sotiropoulos, T.; Almaliotis, D.; Therios, I.; Stylianidis, D. Response to severe water stress of the almond (Prunus amygdalus) ‘Ferragnès’ grafted on eight rootstocks. N. Z. J. Crop Hortic. Sci. 2004, 32, 355–362. [Google Scholar] [CrossRef]
  82. Guerfel, M.; Baccouri, O.; Boujnah, D.; Chaïbi, W.; Zarrouk, M. Impacts of water stress on gas exchange, water relations, chlorophyll content and leaf structure in the two main Tunisian olive (Olea europaea L.) cultivars. Sci. Hortic. 2009, 119, 257–263. [Google Scholar] [CrossRef]
  83. Gonçalves, A.; Silva, E.; Brito, C.; Martins, S.; Pinto, L.; Dinis, L.T.; Luzio, A.; Martins-Gomes, C.; Fernandes-Silva, A.; Ribeiro, C.; et al. Olive tree physiology and chemical composition of fruits are modulated by different deficit irrigation strategies. J. Sci. Food Agric. 2020, 100, 682–694. [Google Scholar] [CrossRef]
  84. Bacelar, E.A.; Santos, D.L.; Moutinho-Pereira, J.M.; Gonçalves, B.C.; Ferreira, H.F.; Correia, C.M. Immediate responses and adaptative strategies of three olive cultivars under contrasting water availability regimes: Changes on structure and chemical composition of foliage and oxidative damage. Plant Sci. 2006, 170, 596–605. [Google Scholar] [CrossRef]
  85. Gispert, J.R.; Vargas, F.J.; Miarnau, F.J.; Alegre, S. Assessment of drought tolerance in almond varieties. In Proceedings of the V International Symposium on Pistachios and Almonds, Sanliurfa, Turkey, 6–10 October 2009; Volume 912, pp. 121–127. [Google Scholar]
  86. Balestrini, R.; Brunetti, C.; Cammareri, M.; Caretto, S.; Cavallaro, V.; Cominelli, E. Strategies to modulate specialized metabolism in mediterranean crops: From molecular aspects to field. Int. J. Mol. Sci. 2021, 22, 2887. [Google Scholar] [CrossRef]
  87. Álvarez-Maldini, C.; Acevedo, M.; Estay, D.; Aros, F.; Dumroese, R.K.; Sandoval, S.; Pinto, M. Examining physiological, water relations, and hydraulic vulnerability traits to determine anisohydric and isohydric behavior in almond (Prunus dulcis) cultivars: Implications for selecting agronomic cultivars under changing climate. Front. Plant Sci. 2022, 13, 974050. [Google Scholar] [CrossRef]
  88. Moutinho-Pereira, J.; Magalhães, N.; Gonçalves, B.; Bacelar, E.; Brito, M.; Correia, C. Gas exchange and water relations of three Vitis vinifera L. cultivars growing under Mediterranean climate. Photosynthetica 2007, 45, 202–207. [Google Scholar] [CrossRef]
  89. Houghton, E.; Bevandick, K.; Neilsen, D.; Hannam, K.; Nelson, L.M. Effects of postharvest deficit irrigation on sweet cherry (Prunus avium) in five Okanagan Valley, Canada, orchards: I. Tree water status, photosynthesis, and growth. Can. J. Plant Sci. 2022, 103, 73–92. [Google Scholar] [CrossRef]
  90. Hajlaoui, H.; Maatallah, S.; Guizani, M.; Boughattas, N.E.H.; Guesmi, A.; Ennajeh, M.; Lopez-Lauri, F. Effect of regulated deficit irrigation on agronomic parameters of three plum cultivars (Prunus salicina L.) under semi-arid climate conditions. Plants 2022, 11, 1545. [Google Scholar] [CrossRef] [PubMed]
  91. Puterka, G.J.; Glenn, D.M.M.; Sekutowski, D.G.; Unruh, T.R.; Jones, S.K. Progress toward liquid formulations of particle films for insect and disease control in pear. Environ. Entomol. 2000, 29, 329–339. [Google Scholar] [CrossRef]
  92. Marcotegui, A.; Sánchez-Ramos, I.; Pascual, S.; Fernández, C.E.; Cobos, G.; Armendáriz, I.; González-Núñez, M. Kaolin and potassium soap with thyme essential oil to control Monosteira unicostata and other phytophagous arthropods of almond trees in organic orchards. J. Pest Sci. 2015, 88, 753–765. [Google Scholar] [CrossRef]
  93. Gharaghani, A.; Javarzari, A.M.; Rezaei, A.; Nejati, R. Kaolin Spray Improves Growth, Physiological Functions, Yield, and Nut Quality of ‘Tardy Nonpareil’ Almond under Deficit Irrigation Regimens. Erwerbs-Obstbau 2023, 65, 989–1001. [Google Scholar] [CrossRef]
  94. Segura-Monroy, S.; Uribe-Vallejo, A.; Ramirez-Godoy, A.; Restrepo-Diaz, H. Effect of kaolin application on growth, water use efficiency, and leaf epidermis characteristics of Physallis peruviana seedlings under two irrigation regimes. J. Agric. Sci. Technol. 2015, 17, 1585–1596. [Google Scholar]
  95. Dinis, L.-T.; Ferreira, H.; Pinto, G.; Bernardo, S.; Correia, C.M.; Moutinho-Pereira, J. Kaolin-based, foliar reflective film protects photosystem II structure and function in grapevine leaves exposed to heat and high solar radiation. Photosynthetica 2016, 54, 47–55. [Google Scholar] [CrossRef]
  96. Brito, C.; Dinis, L.-T.; Luzio, A.; Silva, E.; Gonçalves, A.; Meijón, M.; Escandón, M.; Arrobas, M.; Rodrigues, M.A.; Moutinho-Pereira, J.; et al. Kaolin and salicylic acid alleviate summer stress in rainfed olive orchards by modulation of distinct physiological and biochemical responses. Sci. Hortic. 2019, 246, 201–211. [Google Scholar] [CrossRef]
  97. Boari, F.; Donadio, A.; Schiattone, M.I.; Cantore, V. Particle film technology: A supplemental tool to save water. Agric. Water Manag. 2015, 147, 154–162. [Google Scholar] [CrossRef]
  98. Cantore, V.; Pace, B.; Albrizio, R. Kaolin-based particle film technology affects tomato physiology, yield and quality. Environ. Exp. Bot. 2009, 66, 279–288. [Google Scholar] [CrossRef]
  99. Glenn, D.M.; Prado, E.; Erez, A.; McFerson, J.; Puterka, G.J. A reflective, processed-kaolin particle film affects fruit temperature, radiation reflection, and solar injury in apple. J. Am. Soc. Hortic. Sci. 2002, 127, 188–193. [Google Scholar] [CrossRef]
Figure 1. Mean values of predawn leaf water potential (ΨPLWP) during two temporal dates in deficit irrigation and kaolin foliar application treatments during three-year monitoring: (A) 2019, (B) 2020, and (C) 2021. A three-way ANOVA analysis was performed to evaluate the effects of irrigation (I), kaolin (K), and cultivar (C) and their interactions. Vertical bars represent the standard error for each point. DOY, day of the year. Different letters indicate significant differences (p < 0.05). Asterisks represent significant levels p: ‘***’ p < 0.001, ‘*’ p < 0.05.
Figure 1. Mean values of predawn leaf water potential (ΨPLWP) during two temporal dates in deficit irrigation and kaolin foliar application treatments during three-year monitoring: (A) 2019, (B) 2020, and (C) 2021. A three-way ANOVA analysis was performed to evaluate the effects of irrigation (I), kaolin (K), and cultivar (C) and their interactions. Vertical bars represent the standard error for each point. DOY, day of the year. Different letters indicate significant differences (p < 0.05). Asterisks represent significant levels p: ‘***’ p < 0.001, ‘*’ p < 0.05.
Atmosphere 14 01593 g001
Figure 2. Gas exchange parameters, namely transpiration rate (A) (E, mmol m−2 s−1), stomatal conductance (B) (gs, mmol m−2 s−1), photosynthesis net (C) (PN, µmol m−2 s−1), and intrinsic water use efficiency (D) (iWUE, µmol mol−1), in DOY 213 and 241 in 2019 for treatments subjected to different irrigation regimes and kaolin foliar application. Values represent means ± SE (n = 8). A three-way ANOVA analysis was performed to evaluate the effects of irrigation (I), kaolin (K), and cultivar (C) and their interactions. Different lowercase letters represent significant differences between treatments (p ≤ 0.05). Asterisks represent significant levels p: ‘***’ p < 0.001, ‘**’ p < 0.01, ‘*’ p < 0.05.
Figure 2. Gas exchange parameters, namely transpiration rate (A) (E, mmol m−2 s−1), stomatal conductance (B) (gs, mmol m−2 s−1), photosynthesis net (C) (PN, µmol m−2 s−1), and intrinsic water use efficiency (D) (iWUE, µmol mol−1), in DOY 213 and 241 in 2019 for treatments subjected to different irrigation regimes and kaolin foliar application. Values represent means ± SE (n = 8). A three-way ANOVA analysis was performed to evaluate the effects of irrigation (I), kaolin (K), and cultivar (C) and their interactions. Different lowercase letters represent significant differences between treatments (p ≤ 0.05). Asterisks represent significant levels p: ‘***’ p < 0.001, ‘**’ p < 0.01, ‘*’ p < 0.05.
Atmosphere 14 01593 g002
Figure 3. Gas exchange parameters, namely transpiration rate (A) (E, mmol m−2 s−1), stomatal conductance (B) (gs, mmol m−2 s−1), photosynthesis net (C) (PN, µmol m−2 s−1), and intrinsic water use efficiency (D) (iWUE, µmol mol−1), in DOY 220 and 253 in 2020 for treatments subjected to different irrigation regimes and kaolin foliar application. Values represent means ± SE (n = 8). A three-way ANOVA analysis was performed to evaluate the effects of irrigation (I), kaolin (K), and cultivar (C) and their interactions. Different lowercase letters represent significant differences between treatments (p ≤ 0.05). Asterisks represent significant levels p: ‘***’ p < 0.001, ‘**’ p < 0.01, ‘*’ p < 0.05.
Figure 3. Gas exchange parameters, namely transpiration rate (A) (E, mmol m−2 s−1), stomatal conductance (B) (gs, mmol m−2 s−1), photosynthesis net (C) (PN, µmol m−2 s−1), and intrinsic water use efficiency (D) (iWUE, µmol mol−1), in DOY 220 and 253 in 2020 for treatments subjected to different irrigation regimes and kaolin foliar application. Values represent means ± SE (n = 8). A three-way ANOVA analysis was performed to evaluate the effects of irrigation (I), kaolin (K), and cultivar (C) and their interactions. Different lowercase letters represent significant differences between treatments (p ≤ 0.05). Asterisks represent significant levels p: ‘***’ p < 0.001, ‘**’ p < 0.01, ‘*’ p < 0.05.
Atmosphere 14 01593 g003
Figure 4. (A) Fluorescence at 20 ms (O), (B) fluorescence at 2 ms (J), (C) fluorescence at 30 ms (I), and (D) maximum fluorescence (P) in DOY 213 and 241 in 2019 for treatments subjected to different irrigation regimes and kaolin foliar application. Values represent means ± SE (n = 8). A three-way ANOVA analysis was performed to evaluate the effects of irrigation (I), kaolin (K), and cultivar (C) and their interactions. Different lowercase letters represent significant differences between treatments (p ≤ 0.05). Asterisks represent significant levels p: ‘***’ p < 0.001, ‘**’ p < 0.01.
Figure 4. (A) Fluorescence at 20 ms (O), (B) fluorescence at 2 ms (J), (C) fluorescence at 30 ms (I), and (D) maximum fluorescence (P) in DOY 213 and 241 in 2019 for treatments subjected to different irrigation regimes and kaolin foliar application. Values represent means ± SE (n = 8). A three-way ANOVA analysis was performed to evaluate the effects of irrigation (I), kaolin (K), and cultivar (C) and their interactions. Different lowercase letters represent significant differences between treatments (p ≤ 0.05). Asterisks represent significant levels p: ‘***’ p < 0.001, ‘**’ p < 0.01.
Atmosphere 14 01593 g004
Figure 5. (A) Fluorescence at 20 ms (O), (B) fluorescence at 2 ms (J), (C) fluorescence at 30 ms (I), and (D) maximum fluorescence (P) in DOY 220 and 253 in 2020 for treatments subjected to different irrigation regimes and kaolin foliar application. Values represent means ± SE (n = 8). A three-way ANOVA analysis was performed to evaluate the effects of irrigation (I), kaolin (K), and cultivar (C) and their interactions. Different lowercase letters represent significant differences between treatments (p ≤ 0.05). Asterisks represent significant levels p: ‘***’ p < 0.001, ‘**’ p < 0.01, ‘*’ p < 0.05.
Figure 5. (A) Fluorescence at 20 ms (O), (B) fluorescence at 2 ms (J), (C) fluorescence at 30 ms (I), and (D) maximum fluorescence (P) in DOY 220 and 253 in 2020 for treatments subjected to different irrigation regimes and kaolin foliar application. Values represent means ± SE (n = 8). A three-way ANOVA analysis was performed to evaluate the effects of irrigation (I), kaolin (K), and cultivar (C) and their interactions. Different lowercase letters represent significant differences between treatments (p ≤ 0.05). Asterisks represent significant levels p: ‘***’ p < 0.001, ‘**’ p < 0.01, ‘*’ p < 0.05.
Atmosphere 14 01593 g005
Figure 6. Maximum potential quantum yield of PSII photochemistry (Fv/Fm) and variable fluorescence normalized to minimum fluorescence (Fv/F0) in DOY 213 and 241 in 2019 (A,C) and DOY 220 and 253 in 2020 (B,D) for treatments subjected to different irrigation regimes and kaolin foliar application. Values represent means ± SE (n = 8). A three-way ANOVA analysis was performed to evaluate the effects of irrigation (I), kaolin (K), and cultivar (C) and their interactions. Different lowercase letters represent significant differences between treatments (p ≤ 0.05). Asterisks represent significant levels p: ‘***’ p < 0.001, ‘**’ p < 0.01, ‘*’ p < 0.05.
Figure 6. Maximum potential quantum yield of PSII photochemistry (Fv/Fm) and variable fluorescence normalized to minimum fluorescence (Fv/F0) in DOY 213 and 241 in 2019 (A,C) and DOY 220 and 253 in 2020 (B,D) for treatments subjected to different irrigation regimes and kaolin foliar application. Values represent means ± SE (n = 8). A three-way ANOVA analysis was performed to evaluate the effects of irrigation (I), kaolin (K), and cultivar (C) and their interactions. Different lowercase letters represent significant differences between treatments (p ≤ 0.05). Asterisks represent significant levels p: ‘***’ p < 0.001, ‘**’ p < 0.01, ‘*’ p < 0.05.
Atmosphere 14 01593 g006
Table 1. Monthly average values of weather parameters registered during three years of experiment.
Table 1. Monthly average values of weather parameters registered during three years of experiment.
YearMonthT min (°C)T max (°C)T avg (°C)RHavgWind Speed (km/h)Radiation (MJ/m2)ET0 (mm)VPD (kPa)Precipitation (mm)
2019January0.99.74.880.94.82216.7123.350.2638.4
February3.315.18.567.44.76326.9545.720.5814.4
March5.217.810.958.95.39560.0187.540.7937.0
April6.617.111.369.84.41479.6282.240.6774.4
May9.924.517.050.75.37814.20154.181.354.2
June12.125.718.357.04.04679.31136.421.3627.2
July16.731.923.551.94.07792.37172.162.0526.6
August15.730.522.853.13.88708.41147.361.8130.0
September13.327.319.656.24.56559.10114.571.4614.8
October10.121.015.072.62.90329.5757.590.7776.0
November6.712.99.582.05.82139.8730.000.29115.0
December3.910.67.086.65.42133.9121.750.20218.6
Total676.4
2020January2.69.25.585.25.02139.2824.200.2171.0
February6.613.510.282.65.19272.2935.050.352.2
March5.616.710.868.75.03414.5750.360.6146.2
April8.418.212.677.12.75374.4137.180.5597.6
May12.226.118.760.43.29653.60140.181.3220.0
June12.627.319.854.93.85692.10148.791.503.2
July18.435.526.740.03.48795.16188.922.7710.6
August15.530.722.751.73.00654.68149.251.9834.0
September13.627.620.153.03.27495.51107.491.6028.4
October8.319.113.370.53.86316.0847.760.71125.8
November7.714.910.882.93.59159.9326.650.33132.8
December3.710.57.182.14.52132.6321.110.2471.2
Total643.0
2021January1.68.84.881.54.69169.1422.770.2336.8
February6.015.410.582.12.33219.4532.050.4195.0
March4.120.111.964.42.68535.7975.200.841.0
April8.322.114.764.82.47562.4293.250.9668.0
May9.224.416.657.73.15682.40124.231.2413.4
June13.029.520.956.52.74722.58142.721.7467.0
July14.730.422.450.33.45769.21157.441.903.2
August15.532.623.448.43.09697.63144.412.200.0
September13.625.518.867.31.99443.4280.331.1392.0
October8.319.515.369.51.15351.2246.320.7124.8
November3.211.27.877.42.34246.8422.560.2826.4
December6.112.68.483.44.06124.3320.790.23107.0
Total534.6
T min—minimum air temperature; T max—maximum air temperature; T avg—average air temperature; RHavg—average relative humidity; Radiation—accumulated solar radiation; ET0—reference evapotranspiration; VPD—air-vapor-pressure deficit.
Table 2. Treatments implemented in the three years of trials.
Table 2. Treatments implemented in the three years of trials.
TreatmentCultivarIrrigation RegimeKaolin
FICConstantíFINo
FIC + KConstantíFIYes
RDICConstantíRDINo
RDIC + KConstantíRDIYes
FIVVairoFINo
FIV + KVairoFIYes
RDIVVairoRDINo
RDIV + KVairoRDIYes
C—Constantí cultivar; V—Vairo cultivar; K—kaolin; FI—full irrigation treatment; RDI—regulated deficit irrigation treatment
Table 3. Dates of first and last irrigation, kaolin foliar application, reducing irrigation to 35% ETc, and total water applied for the two irrigation treatments.
Table 3. Dates of first and last irrigation, kaolin foliar application, reducing irrigation to 35% ETc, and total water applied for the two irrigation treatments.
Growing SeasonIrrigation DatesKaolin Application—Reducing IrrigationWater Applied
(m3 ha−1)
Pann (mm)Peff (mm)ET0 (mm)
First
Irrigation
Last
Irrigation
FIRDI
20193 June26 August8 July2189.91287.8676.4265.8952.1
202023 June3 September20 July2142.21254.1643.0318869.9
20217 June6 September14 July2458.31433.6534.6240863.9
FI—full irrigation treatment; RDI—regulated deficit irrigation treatment; Pann—annual precipitation; Peff—effective precipitation; ET0—reference evapotranspiration
Table 4. Leaf area (LA), leaf mass per area (LMA), density of the leaf tissue (D), relative water content (RWC), succulence (S), water content at saturation (WCS), and water saturation deficit (WSD) of all treatment almonds (n = 10) in 2020 and 2021.
Table 4. Leaf area (LA), leaf mass per area (LMA), density of the leaf tissue (D), relative water content (RWC), succulence (S), water content at saturation (WCS), and water saturation deficit (WSD) of all treatment almonds (n = 10) in 2020 and 2021.
YearDOY TreatmentFactorial Analysis
FICFIC + KRDICRDIC + KFIVFIV + KRDIVRDIV + KIKCI × KI × CK × CI × K × C
2020220LA (cm2)21.49 ± 3.7519.93 ± 4.1119.40 ± 3.2619.70 ± 6.7719.93 ± 3.1520.30 ± 1.9320.82 ± 3.0320.52 ± 5.100.71860.72750.75800.72380.31090.69440.4545
LMA (g/m2)104.40 ± 13.02110.36 ± 6.34113.05 ± 13.94106.16 ± 21.52117.06 ± 11.93118.24 ± 11.88122.88 ± 6.50122.75 ± 36.210.30880.99330.00160.32970.68540.89080.4263
D (g/kg)430.87 ± 25.68 ab437.30 ± 13.52 ab440.93 ± 49.15 ab453.55 ± 20.76 b412.62 ± 11.29 a414.71 ± 33.01 a427.47 ± 18.51 ab415.64 ± 12.44 a0.05030.66180.00000.71650.62130.17820.3458
RWC (%)86.24 ± 1.66 ab88.77 ± 2.38 cd85.36 ± 1.27 a86.36 ± 1.85 abc88.35 ± 1.96 bcd90.05 ± 2.76 d87.35 ± 1.43 abc88.12 ± 1.45 bcd0.00010.00020.00000.11920.81850.49710.7017
S (mg H2O cm−2)13.72 ± 0.69 a14.19 ± 0.65 b14.35 ± 1.60 b12.78 ± 2.43 a16.66 ± 1.58 c16.70 ± 1.53 c16.48 ± 1.14 c17.18 ± 4.47 c0.77560.83770.00000.41830.53290.28800.1191
WSD (%)13.76 ± 1.66 bcd11.23 ± 2.38 ab14.64 ± 1.27 d13.64 ± 1.85 bcd11.65 ± 1.96 abc9.95 ± 2.76 a12.65 ± 1.43 bcd11.88 ± 1.45 abc0.00010.00020.00000.11920.81850.49710.7017
WCS (g H2O g−1 DM)0.21 ± 0.02 b0.16 ± 0.03 a0.22 ± 0.04 b0.19 ± 0.03 ab0.21 ± 0.02 b0.16 ± 0.04 a0.19 ± 0.02 ab0.19 ± 0.02 ab0.00450.00000.04120.06370.94850.09580.7469
253LA (cm2)21.06 ± 3.42 b19.97 ± 2.55 ab17.13 ± 2.51 a19.47 ± 3.49 ab24.74 ± 3.56 c23.15 ± 2.83 bc22.91 ± 2.28 bc22.42 ± 2.95 bc0.00220.53300.00000.03450.29310.28390.2168
LMA (g/m2)120.86 ± 9.96 a122.87 ± 11.30 ab136.13 ± 10.51 b125.07 ± 7.10 ab131.02 ± 7.52 ab130.79 ± 14.22 ab129.23 ± 11.69 ab129.00 ± 11.91 ab0.11710.28220.08870.14000.01860.33050.1400
D (g/kg)477.39 ± 18.99 bc502.98 ± 17.44 d496.22 ± 10.28 cd498.84 ± 7.01 d454.46 ± 14.72 a458.40 ± 15.57 ab457.17 ± 18.26 ab460.28 ± 21.53 ab0.14650.00870.00000.07360.44460.11140.0958
RWC (%)78.43 ± 4.74 ab77.40 ± 5.27 a78.71 ± 2.08 ab77.11 ± 2.04 a81.91 ± 2.10 bc83.43 ± 4.10 c82.42 ± 3.07 bc78.26 ± 2.48 ab0.10060.06610.00000.02960.10260.99460.0734
S (mg H2O cm−2)13.26 ± 1.40 ab12.13 ± 0.93 a13.82 ± 1.05 bc12.56 ± 0.57 ab15.73 ± 0.83 d15.44 ± 1.50 d15.30 ± 0.63 d15.11 ± 0.49 d0.78120.00140.00000.97100.04670.03040.7945
WSD (%)21.57 ± 4.74 bc22.60 ± 5.27 c21.29 ± 2.08 bc22.89 ± 2.04 c18.09 ± 2.10 ab16.57 ± 4.10 a17.58 ± 3.07 ab21.74 ± 2.48 bc0.10060.06610.00000.02960.10260.99460.0734
WCS (g H2O g−1 DM)0.30 ± 0.07 bc0.29 ± 0.08 abc0.27 ± 0.03 abc0.30 ± 0.03 bc0.27 ± 0.03 abc0.24 ± 0.07 a0.25 ± 0.04 ab0.33 ± 0.03 c0.15350.14240.03600.00160.02200.45510.1220
2021224LA (cm2)20.10 ± 7.1518.87 ± 5.9920.41 ± 5.7519.70 ± 3.8823.15 ± 3.1223.53 ± 3.3521.03 ± 3.0719.05 ± 4.130.20520.41070.07640.66670.07400.93900.5007
LMA (g/m2)108.12 ± 6.97 b104.56 ± 9.02 b79.95 ± 9.88 a78.76 ± 6.50 a120.07 ± 11.63 b119.18 ± 5.52 b121.57 ± 12.25 b118.06 ± 14.18 b0.00010.46970.00000.98380.00000.97790.6924
D (g/kg)435.79 ± 12.51 abc435.66 ± 20.47 abc449.24 ± 10.48 bc458.90 ± 18.20 c413.98 ± 16.99 a425.20 ± 6.15 ab421.99 ± 21.70 ab409.60 ± 37.14 a0.64130.10770.00000.44150.55090.01560.0658
RWC (%)79.45 ± 2.13 cd80.42 ± 3.03 cd76.23 ± 2.26 ab74.32 ± 2.87 a82.39 ± 3.04 d81.82 ± 1.33 cd79.15 ± 1.39 bc80.65 ± 1.37 cd0.00000.99690.00000.69420.01910.36240.0182
S (mg H2O cm−2)14.00 ± 0.84 bc13.54 ± 1.04 b9.82 ± 3.66 a9.28 ± 0.66 a16.97 ± 1.15 d16.11 ± 0.67 cd16.61 ± 1.03 d17.01 ± 1.59 d0.00000.31850.00000.42070.00000.71400.3591
WSD (%)20.55 ± 2.13 ab19.58 ± 3.03 ab23.77 ± 2.26 cd25.68 ± 2.87 d17.61 ± 3.04 a18.18 ± 1.33 ab20.85 ± 1.39 bc19.35 ± 1.37 ab0.00000.99690.00000.69420.01910.36240.0182
WCS (g H2O g−1 DM)0.33 ± 0.03 ab0.32 ± 0.05 a0.38 ± 0.04 bc0.41 ± 0.05 c0.30 ± 0.04 a0.30 ± 0.03 a0.36 ± 0.02 abc0.35 ± 0.07 abc0.00000.90200.00290.36370.44630.67570.1784
242LA (cm2)19.48 ± 6.21 bcd15.74 ± 1.79 ab14.07 ± 2.07 a14.98 ± 3.16 ab22.15 ± 3.56 d21.12 ± 3.12 d19.76 ± 2.13 cd19.59 ± 1.91 cd0.00100.17550.00000.06550.44930.58300.2035
LMA (g/m2)121.86 ± 8.42 ab127.28 ± 16.71 abc116.98 ± 10.33 a110.86 ± 13.68 a127.21 ± 12.57 abc126.15 ± 12.44 abc137.77 ± 8.41 bc138.93 ± 11.09 c0.85010.95530.00000.38720.00010.93970.2039
D (g/kg)482.51 ± 15.90 b500.27 ± 21.63 b487.36 ± 8.08 b489.34 ± 21.62 b440.94 ± 16.61 a443.07 ± 7.26 a457.23 ± 12.15 a453.20 ± 17.32 a0.15770.21470.00000.12790.02550.13310.5022
RWC (%)82.17 ± 1.54 abc80.05 ± 1.20 a80.99 ± 2.67 ab81.52 ± 7.41 ab86.34 ± 2.30 cd87.32 ± 3.35 d84.84 ± 1.58 bcd85.56 ± 2.50 bcd0.32930.97020.00000.43250.24520.27900.3398
S (mg H2O cm−2)13.06 ± 0.61 b12.65 ± 0.98 ab12.29 ± 0.89 ab11.53 ± 1.05 a16.08 ± 0.84 c15.84 ± 1.35 c16.34 ± 0.65 c16.74 ± 0.80 c0.37730.22440.00000.74170.00040.11210.2318
WSD (%)17.83 ± 1.54 bcd19.95 ± 1.20 d19.01 ± 2.67 d18.48 ± 7.41 d13.66 ± 2.30 b12.68 ± 3.35 a15.16 ± 1.58 bc14.44 ± 2.50 abc0.32930.97020.00000.43250.24520.27900.3398
WCS (g H2O g−1 DM)0.23 ± 0.03 b0.25 ± 0.02 b0.25 ± 0.04 b0.24 ± 0.10 b0.20 ± 0.03 a0.19 ± 0.05 a0.21 ± 0.02 a0.20 ± 0.03 a0.42620.73260.00020.73260.60060.37550.5694
In each row different lower case letters mean significant statistical differences at 5% significance level (p-value < 0.05), where ‘‘a” and ‘‘d” correspond to the lowest and highest values, according to Tukey’s multiple range test.
Table 5. Cumulative values for kernel yield and average values for percent kernel and water use efficiency (WUE) for the irrigation and kaolin foliar application treatments during the three-year monitoring period. Different letters have different significance levels according to a Tukey test (p < 0.05).
Table 5. Cumulative values for kernel yield and average values for percent kernel and water use efficiency (WUE) for the irrigation and kaolin foliar application treatments during the three-year monitoring period. Different letters have different significance levels according to a Tukey test (p < 0.05).
YearTreatmentKernel Yield (kg ha−1)Percent Kernel (%)WUE (kg m−3)
ANOVA Test
Irrigation (I)0.00000.27190.0002
Kaolin (K)0.27480.80630.4339
Cultivar (C)0.26870.00000.2553
I × K0.48940.20400.7220
I × C0.00000.41910.0001
K × C0.53460.01630.6437
I × K × C0.56280.52040.5936
Tukey Multiple Range Test
2019FIC469.03 ± 59.47 ab25.51 ± 1.33 a0.10 ± 0.01 a
FIC + K410.83 ± 63.75 a25.46 ± 1.77 a0.08 ± 0.01 a
RDIC458.70 ± 61.79 ab26.32 ± 1.60 b0.12 ± 0.02 b
RDIC + K484.81 ± 56.75 ab26.40 ± 1.35 b0.12 ± 0.01 b
FIV611.04 ± 95.38 d28.44 ± 2.80 c0.13 ± 0.02 bc
FIV + K602.04 ±76.96 d28.48 ± 1.97 c0.12 ± 0.02 b
RDIV556.57 ± 52.06 cd28.24 ± 2.04 c0.14 ± 0.01 c
RDIV + K539.28 ± 80.93 cd28.36 ± 1.49 c0.14 ± 0.02 c
p-value0.00000.00000.0000
2020FIC460.62 ± 48.83 b23.39 ± 2.70 a0.09 ± 0.01 b
FIC + K462.23 ± 63.87 b23.63 ± 2.28 a0.09 ± 0.01 b
RDIC406.82 ± 41.01 b22.75 ± 3.22 a0.09 ± 0.01 b
RDIC + K475.38 ± 61.86 b23.14 ± 2.57 a0.11 ± 0.01 c
FIV452.65 ± 69.95 b26.19 ± 1.90 bc0.09 ± 0.01 b
FIV + K429.76 ± 77.05 b25.76 ± 3.30 b0.08 ± 0.01 ab
RDIV318.35 ± 61.53 a27.17 ± 3.15 c0.07 ± 0.01 a
RDIV + K301.02 ± 52.24 a26.58 ± 2.72 bc0.07 ± 0.01 a
p-value0.00000.00000.0000
2021FIC646.51 ± 92.76 c24.05 ± 1.72 a0.13 ± 0.02 a
FIC + K636.47 ± 62.57 c23.94 ± 3.34 a0.13 ± 0.01 a
RDIC667.38 ± 86.11 c23.17 ± 2.17 a0.17 ± 0.02 b
RDIC + K603.26 ± 75.42 c24.00 ± 1.98 a0.16 ± 0.02 b
FIV636.10 ± 106.91 c27.80 ± 2.22 c0.13 ± 0.02 a
FIV + K598.11 ± 87.47 bc27.39 ± 1.82 c0.12 ± 0.02 a
RDIV497.19 ± 89.60 ab25.99 ± 2.42 b0.13 ± 0.02 a
RDIV + K470.55 ± 98.22 a26.05 ± 2.50 b0.12 ± 0.03 a
p-value0.00000.00000.0000
Cumulative—AverageFIC1576.16 ± 126.31 cd24.31 ± 1.22 a0.11 ± 0.01 a
FIC + K1509.53 ± 59.43 bc24.34 ± 1.45 a0.10 ± 0.00 a
RDIC1532.90 ± 109.94 c24.08 ± 1.38 a0.13 ± 0.01 b
RDIC + K1563.45 ± 128.62 cd24.51 ± 1.31 a0.13 ± 0.01 b
FIV1699.79 ± 193.14 d27.48 ± 1.47 b0.11 ± 0.01 a
FIV + K1629.91 ± 141.74 cd27.21 ± 1.48 b0.11 ± 0.01 a
RDIV1372.11 ± 131.89 a27.13 ± 1.53 b0.11 ± 0.01 a
RDIV + K1310.85 ± 118.01 a27.00 ± 1.30 b0.11 ± 0.01 a
p-value0.00000.00000.0000
Cumulative values for kernel yield; average values for percent kernel (%) and WUE (kg m−3). In each column different lower case letters mean significant statistical differences at 5% significance level (p-value < 0.05), where ‘‘a” and ‘‘d” correspond to the lowest and highest values, according to Tukey’s multiple range test.
Disclaimer/Publisher’s Note: The statements, opinions and data contained in all publications are solely those of the individual author(s) and contributor(s) and not of MDPI and/or the editor(s). MDPI and/or the editor(s) disclaim responsibility for any injury to people or property resulting from any ideas, methods, instructions or products referred to in the content.

Share and Cite

MDPI and ACS Style

Barreales, D.; Capitão, S.; Bento, A.A.; Casquero, P.A.; Ribeiro, A.C. Adapting Almond Production to Climate Change through Deficit Irrigation and Foliar Kaolin Application in a Mediterranean Climate. Atmosphere 2023, 14, 1593. https://doi.org/10.3390/atmos14101593

AMA Style

Barreales D, Capitão S, Bento AA, Casquero PA, Ribeiro AC. Adapting Almond Production to Climate Change through Deficit Irrigation and Foliar Kaolin Application in a Mediterranean Climate. Atmosphere. 2023; 14(10):1593. https://doi.org/10.3390/atmos14101593

Chicago/Turabian Style

Barreales, David, Susana Capitão, Albino António Bento, Pedro A. Casquero, and António Castro Ribeiro. 2023. "Adapting Almond Production to Climate Change through Deficit Irrigation and Foliar Kaolin Application in a Mediterranean Climate" Atmosphere 14, no. 10: 1593. https://doi.org/10.3390/atmos14101593

APA Style

Barreales, D., Capitão, S., Bento, A. A., Casquero, P. A., & Ribeiro, A. C. (2023). Adapting Almond Production to Climate Change through Deficit Irrigation and Foliar Kaolin Application in a Mediterranean Climate. Atmosphere, 14(10), 1593. https://doi.org/10.3390/atmos14101593

Note that from the first issue of 2016, this journal uses article numbers instead of page numbers. See further details here.

Article Metrics

Back to TopTop