Identification and Analysis of Multi-Station Atmospheric Electric Field Anomalies before the Yangbi Ms 6.4 Earthquake on 21 May 2021
Abstract
:1. Introduction
2. Observation Data
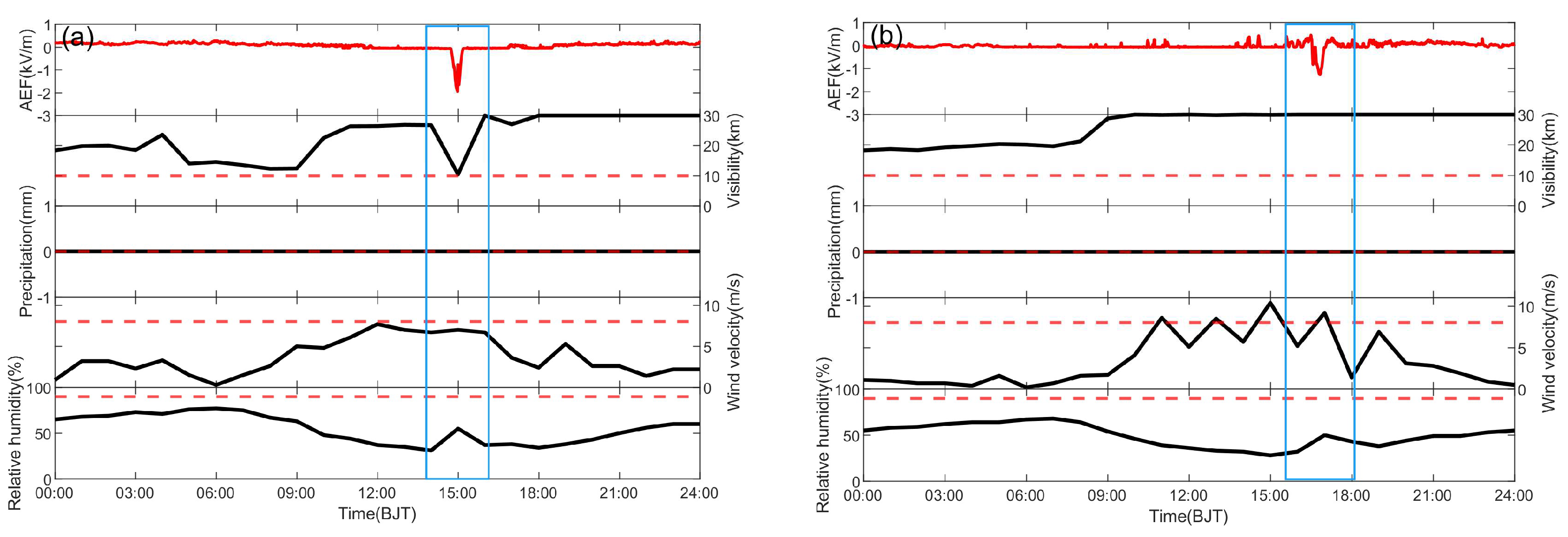
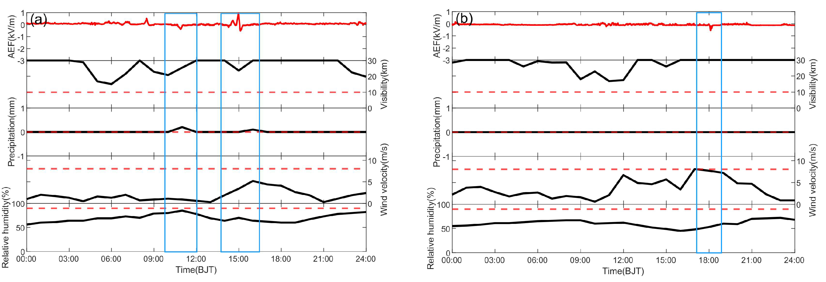
3. Morphology of the AEF under Different Meteorological Conditions
4. Analysis of Anomalous AEF
4.1. Time Series Analysis Results
4.2. Wavelet Analysis Results
5. Discussion
6. Conclusions
Author Contributions
Funding
Institutional Review Board Statement
Informed Consent Statement
Data Availability Statement
Acknowledgments
Conflicts of Interest
References
- Jordan, T.H.; Chen, Y.-T.; Gasparini, P.; Madariaga, R.; Main, I.; Marzocchi, W.; Papadopoulos, G.; Sobolev, G.; Yamaoka, K.; Zschau, J. Operational Earthquake Forecasting: State of Knowledge and Guidelines for Utilization. Ann. Geophys. 2011, 54, 315–391. [Google Scholar] [CrossRef]
- Field, E.H.; Arrowsmith, R.J.; Biasi, G.P.; Bird, P.; Dawson, T.E.; Felzer, K.R.; Jackson, D.D.; Johnson, K.M.; Jordan, T.H.; Madden, C.; et al. Uniform California Earthquake Rupture Forecast, Version 3 (UCERF3)—The Time-Independent Model. Bull. Seismol. Soc. Am. 2014, 104, 1122–1180. [Google Scholar] [CrossRef]
- Varotsos, P.A.; Sarlis, N.V.; Skordas, E.S. Self-organized criticality and earthquake predictability: A long-standing question in the light of natural time analysis. EPL 2020, 132, 29001. [Google Scholar] [CrossRef]
- Wu, L.; Qi, Y.; Mao, W.; Lu, J.; Ding, Y.; Peng, B.; Xie, B. Scrutinizing and rooting the multiple anomalies of Nepal earthquake sequencein 2015 with the deviation-time-space criterion and homologous lithosphere-coversphere-atmosphere-ionosphere coupling physics. Nat. Hazards Earth Syst. Sci. 2023, 23, 231–249. [Google Scholar] [CrossRef]
- Ding, J.; Shen, X.; Pan, W.; Zhang, J.; Yu, S.; Li, G.; Guan, H. Seismo-electromagnetism precursor research progress. Chin. J. Radio Sci. 2006, 21, 791–801. [Google Scholar]
- Pierce, E.T. Atmospheric electricity and earthquake prediction. Geophys. Res. Lett. 1976, 3, 185–188. [Google Scholar] [CrossRef]
- King, C.Y. Radon emanation on San-Andreas fault. Nature 1978, 271, 516–519. [Google Scholar] [CrossRef]
- Sarlis, N.V.; Varotsos, P.A.; Skordas, E.S.; Uyeda, S.; Zlotnicki, J.; Nagao, T.; Rybin, A.; Lazaridou-Varotsos, M.S.; Papadopoulou, K.A. Seismic electric signals in seismic prone areas. Earthq. Sci. 2018, 31, 44–51. [Google Scholar] [CrossRef]
- Leary, P.C. Ground deformation events preceding the Homestead Valley earthquakes. Bull. Seismol. Soc. Am. 1984, 74, 1799–1817. [Google Scholar] [CrossRef]
- Mogi, K.; Mochizuki, H.; Kurokawa, Y.J.T. Temperature changes in an artesian spring at Usami in the Izu Peninsula (Japan) and their relation to earthquakes. Tectonophysics 1989, 159, 95–108. [Google Scholar] [CrossRef]
- Biagi, P.F.; Ermini, A.; Cozzi, E.; Khatkevich, Y.M.; Gordeev, E.I.J.N.H. Hydrogeochemical Precursors in Kamchatka (Russia) Related to the Strongest Earthquakes in 1988–1997. Nat. Hazards 2000, 21, 263–276. [Google Scholar] [CrossRef]
- Fujiwara, H.; Kamogawa, M.; Ikeda, M.; Liu, J.Y.; Sakata, H.; Chen, Y.I.; Ofuruton, H.; Muramatsu, S.; Chuo, Y.J.; Ohtsuki, Y.H. Atmospheric anomalies observed during earthquake occurrences. Geophys. Res. Lett. 2004, 31, 159–180. [Google Scholar] [CrossRef]
- Varotsos, P.A.; Sarlis, N.V.; Skordas, E.S. Phenomena preceding major earthquakes interconnected through a physical model. Ann. Geophys. 2019, 37, 315–324. [Google Scholar] [CrossRef]
- Hayakawa, M.; Hobara, Y. Current status of seismo-electromagnetics for short-term earthquake prediction. Geomat. Nat. Hazards Risk 2010, 1, 115–155. [Google Scholar] [CrossRef]
- Uyeda, S.; Nagao, T.; Kamogawa, M. Short-term earthquake prediction: Current status of seismo-electromagnetics. Tectonophysics 2009, 470, 205–213. [Google Scholar] [CrossRef]
- Hayakawa, M.; Kasahara, Y.; Nakamura, T.; Muto, F.; Horie, T.; Maekawa, S.; Hobara, Y.; Rozhnoi, A.A.; Solovieva, M.; Molchanov, O.A. A statistical study on the correlation between lower ionospheric perturbations as seen by subionospheric VLF/LF propagation and earthquakes. J. Geophys. Res. Space Phys. 2010, 115, A09305. [Google Scholar] [CrossRef]
- Zhu, F.; Wu, Y.; Zhou, Y.; Lin, J. A statistical investigation of pre-earthquake ionospheric TEC anomalies. Geod. Geodyn. 2011, 2, 61–65. [Google Scholar] [CrossRef]
- Wu, J.; Zou, Z.; Chen, T.; Li, Y.; Lu, Y.; Ti, S.; Li, L. Diurnal variation of the fair-weather atmospheric electric field in Binchuan, China. J. Atmos. Sol.-Terr. Phys. 2023, 242, 105985. [Google Scholar] [CrossRef]
- Li, L.; Chen, T.; Su, J.; Li, W.; Ti, S.; Wu, H.; Luo, J.; Wang, S.; Li, R. Influence of Charged Clouds on the Distribution of Atmospheric Electric Field with Altitude. Chin. J. Space Sci. 2022, 42, 414–421. [Google Scholar]
- Jin, X.; Zhang, L.; Bu, J.; Qiu, G.; Ma, L.; Liu, C.; Li, Y. Discussion on anomaly of atmospheric electrostatic field in Wenchuan Ms8.0 earthquake. J. Electrost. 2020, 104, 103423. [Google Scholar] [CrossRef]
- Chang, Z.; Chang, H.; Zang, Y.; Dai, B. Recent active features of Weixi-Qiaohou fault and its relationship with the Honghe fault. J. Geomech. 2016, 22, 517–530. [Google Scholar]
- Sun, Q.; Zhang, W.; Guo, X.; Wang, L. Preliminary study of seismogenic structure and rupture process of the Yangbi Ms6.4 earthquake sequence from May 2021. Acta Geol. Sin. 2023, 97, 349–363. [Google Scholar] [CrossRef]
- Deng, Q.; Ran, Y.; Yang, X.; Min, W.; Chu, Q. Map of Active Tectonics in China (1:4,000,000); Seismological Press: Beijing, China, 2007. [Google Scholar]
- Deng, Q.D.; Zhang, P.Z.; Ran, Y.K.; Yang, X.P.; Min, W.; Chu, Q.Z. Basic characteristics of active tectonics of China. Sci. China Ser. D-Earth Sci. 2003, 46, 356–372. [Google Scholar] [CrossRef]
- Tapponnier, P.; Molnar, P. Active faulting and tectonics in China. J. Geophys. Res. 1977, 82, 2905. [Google Scholar] [CrossRef]
- Serrano, C.; Reis, A.H.; Rosa, R.; Lucio, P.S. Influences of cosmic radiation, artificial radioactivity and aerosol concentration upon the fair-weather atmospheric electric field in Lisbon (1955–1991). Atmos. Res. 2006, 81, 236–249. [Google Scholar] [CrossRef]
- Li, R.; Chen, T.; Luo, J.; Zhou, L.; He, Z.; Wang, C.; Sun, Y. Enhancement of High Energy Electron Fluxes and Variation of Atmospheric Electric Field in the Antarctic Region. Chin. J. Space Sci. 2016, 36, 40–48. [Google Scholar] [CrossRef]
- Frank-Kamenetsky, A.V.; Makarova, L.N.; Morozov, V.N.; Shirochkov, A.V.; Burns, G.B. On the connection between the atmospheric electric field measured at the surface and the ionospheric electric field in the Central Antarctica. J. Atmos. Sol.-Terr. Phys. 2010, 72, 419–424. [Google Scholar] [CrossRef]
- Chen, T.; Zhang, X.; Zhang, X.; Jin, X.; Wu, H.; Ti, S.; Li, R.; Li, L.; Wang, S. Imminent estimation of earthquake hazard by regional network monitoring the near surface vertical atmospheric electrostatic field. Chin. J. Geophys.-Chin. Ed. 2021, 64, 1145–1154. [Google Scholar]
- Harrison, R.G.; Nicoll, K.A. Fair weather criteria for atmospheric electricity measurements. J. Atmos. Sol.-Terr. Phys. 2018, 179, 239–250. [Google Scholar] [CrossRef]
- Smirnov, S. Association of the negative anomalies of the quasistatic electric field in atmosphere with Kamchatka seismicity. Nat. Hazards Earth Syst. Sci. 2008, 8, 745–749. [Google Scholar] [CrossRef]
- Marapulets, Y.; Rulenko, O. Joint Anomalies of High-Frequency Geoacoustic Emission and Atmospheric Electric Field by the Ground-Atmosphere Boundary in a Seismically Active Region (Kamchatka). Atmosphere 2019, 10, 267. [Google Scholar] [CrossRef]
- Rycroft, M.J.; Nicoll, K.A.; Aplin, K.L.; Harrison, R.G. Recent advances in global electric circuit coupling between the space environment and the troposphere. J. Atmos. Sol.-Terr. Phys. 2012, 90–91, 198–211. [Google Scholar] [CrossRef]
- Mach, D.M.; Blakeslee, R.J.; Bateman, M.G. Global electric circuit implications of combined aircraft storm electric current measurements and satellite-based diurnal lightning statistics. J. Geophys. Res.-Atmos. 2011, 116, D05201. [Google Scholar] [CrossRef]
- Blakeslee, R.J.; Mach, D.M.; Bateman, M.G.; Bailey, J.C. Seasonal variations in the lightning diurnal cycle global electric circuit. Atmos. Res. 2014, 135, 228–243. [Google Scholar] [CrossRef]
- Zhang, H.; Zhang, Y.; Yang, S.; Zhao, G.; Li, F.; Li, Q. Characteristics of Atmospheric Electric Field in Taiyuan and Its Relationship with Atmospheric Pollutants. Enuivon. Sci. Technol. 2013, 36, 66–69. [Google Scholar]
- Li, J.; Chen, X.; Cheng, Y.; Li, R.; Dong, F. A Preliminary Study on the Relationship between Atmospheric Electric Field and Atmospheric Pollutants in Beijing. Plateau Meteorol. 2021, 40, 209–218. [Google Scholar]
- Nicoll, K.A.; Readle, A.; Al Kamali, A.; Harrison, R.G. Surface atmospheric electric field variability at a desert site. J. Atmos. Sol.-Terr. Phys. 2022, 241, 105977. [Google Scholar] [CrossRef]
- Burns, G.B.; Frank-Kamenetsky, A.V.; Troshichev, O.A.; Bering, E.A.; Reddell, B.D. Interannual consistency of bi-monthly differences in diurnal variations of the ground-level, vertical electric field. J. Geophys. Res.-Atmos. 2005, 110, D10106. [Google Scholar] [CrossRef]
- Silva, H.G.; Oliveira, M.M.; Serrano, C.; Bezzeghoud, M.; Reis, A.H.; Rosa, R.N.; Biagi, P.F. Influence of seismic activity on the atmospheric electric field in Lisbon (Portugal) from 1955 to 1991. Ann. Geophys. 2012, 55, 193–197. [Google Scholar] [CrossRef]
- Bleier, T.; Dunson, C.; Maniscalco, M.; Bryant, N.; Bambery, R.; Freund, F. Investigation of ULF magnetic pulsations, air conductivity changes, and infra red signatures associated with the 30 October Alum Rock M5.4 earthquake. Nat. Hazards Earth Syst. Sci. 2009, 9, 585–603. [Google Scholar] [CrossRef]
- An, Z.; Du, X.; Tan, D.; Fan, Y.; Liu, J.; Cui, T. Study on the geo-electric field variation of Sichuan Lushan M(s)7. 0 and Wenchuan M(s)8. 0 earthquake. Chin. J. Geophys.-Chin. Ed. 2013, 56, 3868–3876. [Google Scholar] [CrossRef]
- Warden, S.; Bleier, T.; Kappler, K. Long term air ion monitoring in search of pre-earthquake signals. J. Atmos. Sol.-Terr. Phys. 2019, 186, 47–60. [Google Scholar] [CrossRef]
- Dobrovolsky, I.P.; Zubkov, S.I.; Miachkin, V.I.J.P.; Geophysics, A. Estimation of the size of earthquake preparation zones. Pure Appl. Geophys. 1979, 117, 1025–1044. [Google Scholar] [CrossRef]
- Ikeya, M.; Takaki, S. Electromagnetic fault for earthquake lightning. Jpn. J. Appl. Phys. Part 2-Lett. 1996, 35, L355–L357. [Google Scholar] [CrossRef]
- Yoshida, S.; Uyeshima, M.; Nakatani, M. Electric potential changes associated with slip failure of granite: Preseismic and coseismic signals. J. Geophys. Res.-Solid Earth 1997, 102, 14883–14897. [Google Scholar] [CrossRef]
- Okubo, K.; Takayama, M.; Takeuchi, N. Electrostatic field variation in the atmosphere induced by earth potential difference variation during seismic wave propagation. IEEE Trans. Electromagn. Compat. 2007, 49, 163–169. [Google Scholar] [CrossRef]
- Schultz, C.J.; Petersen, W.A.; Carey, L.D. Lightning and Severe Weather: A Comparison between Total and Cloud-to-Ground Lightning Trends. Weather Forecast. 2011, 26, 744–755. [Google Scholar] [CrossRef]
- Huang, Q. Rethinking earthquake-related DC-ULF electromagnetic phenomena: Towards a physics-based approach. Nat. Hazards Earth Syst. Sci. 2011, 11, 2941–2949. [Google Scholar] [CrossRef]
- Saroso, S.; Hattori, K.; Ishikawa, H.; Ida, Y.; Shirogane, R.; Hayakawa, M.; Yumoto, K.; Shiokawa, K.; Nishihashi, M. ULF geomagnetic anomalous changes possibly associated with 2004-2005 Sumatra earthquakes. Phys. Chem. Earth 2009, 34, 343–349. [Google Scholar] [CrossRef]
- St-Laurent, F.; Derr, J.S.; Freund, F.T. Earthquake lights and the stress-activation of positive hole charge carriers in rocks. Phys. Chem. Earth 2006, 31, 305–312. [Google Scholar] [CrossRef]
- Freund, F.T.; Takeuchi, A.; Lau, B.W.S. Electric currents streaming out of stressed igneous rocks—A step towards understanding pre-earthquake low frequency EM emissions. Phys. Chem. Earth 2006, 31, 389–396. [Google Scholar] [CrossRef]
- Rulenko, O.P.; Marapulets, Y.V.; Kuz’min, Y.D.; Solodchuk, A.A. Joint Perturbation in Geoacoustic Emission, Radon, Thoron, and Atmospheric Electric Field Based on Observations in Kamchatka. Izv.-Phys. Solid Earth 2019, 55, 766–776. [Google Scholar] [CrossRef]
- Shuleikin, V.N. Quantitative Study of Relationships of Hydrogen, Methane, Radon, and the Atmospheric Electric Field. Izv. Atmos. Ocean. Phys. 2018, 54, 794–804. [Google Scholar] [CrossRef]
- Xu, T.; Zhang, H.; Hu, Y.; Wu, J. Electric field penetration into the ionosphere in the presence of anomalous radon emanation. Adv. Space Res. 2015, 55, 2883–2888. [Google Scholar] [CrossRef]
- Surkov, V.V. Pre-seismic variations of atmospheric radon activity as a possible reason for abnormal atmospheric effects. Ann. Geophys. 2015, 58, A0554. [Google Scholar] [CrossRef]
- Ahmad, N.; Gurmani, S.F.; Qureshi, R.M.; Iqbal, T. Preliminary results of fair-weather atmospheric electric field in the proximity of Main Boundary Thrust, Northern Pakistan. Adv. Space Res. 2019, 63, 927–936. [Google Scholar] [CrossRef]
- Hayakawa, M. Electromagnetic phenomena associated with earthquakes: A frontier in terrestrial electromagnetic noise environment. Recent Res. Dev. Geophys. 2004, 6, 81–112. [Google Scholar]
- Pulinets, S.; Ouzounov, D. Lithosphere-Atmosphere-Ionosphere Coupling (LAIC) model—An unified concept for earthquake precursors validation. J. Asian Earth Sci. 2011, 41, 371–382. [Google Scholar] [CrossRef]
- Zhang, X.; Shen, X. The development in seismo-ionospheric coupling mechanism. Prog. Earthq. Sci. 2022, 52, 193–202, (In Chinese with English Abstract). [Google Scholar] [CrossRef]
- Korsunova, L.P.; Khegai, V.V.; Mikhailov, Y.M.; Smirnov, S.E. Regularities in the Manifestation of Earthquake Precursors in the Ionosphere and Near-Surface Atmospheric Electric Fields in Kamchatka. Geomagn. Aeron. 2013, 53, 227–233. [Google Scholar] [CrossRef]
- Zhang, X.; Chen, C.-H. Lithosphere-Atmosphere-Ionosphere Coupling Processes for Pre-, Co-, and Post-Earthquakes. Atmosphere 2023, 14, 4. [Google Scholar] [CrossRef]
- Li, J.; Zhang, X.; Yang, Z. Analysis of Chemical Composition Characteristics of Hot Spring Water in Dali Area Before and After the Yangbi M6.4 Earthquake. South China J. Seismol. 2022, 42, 36–47, (In Chinese with English Abstract). [Google Scholar]
- Inan, S.; Balderer, W.P.; Leuenberger-West, F.; Yakan, H.; Ozvan, A.; Freund, F.T. Springwater chemical anomalies prior to the Mw = 7.2 Van Earthquake (Turkey). Geochem. J. 2012, 46, E11–E16. [Google Scholar] [CrossRef]
- Liu, J.L.; Song, Z.J.; Cao, S.Y.; Zhai, Y.F.; Wang, A.J.; Gao, L.; Xiu, Q.Y.; Cao, D.H. The dynamic setting and processes of tectonic and magmatic evolution of the oblique collision zone between Indian and Eurasian plates: Exemplified by the tectonic evolution of the Three River region, eastern Tibet. Acta Petrol. Sin. 2006, 22, 775–786. [Google Scholar]
- Ma, Y.; Yan, R.; Hu, X. The anomaly characteristics of water temperature in the Eryuan well before the 2021 Yangbi MS6.4 earthquake in Yunnan, China. Acta Seismol. Sin. 2021, 43, 674–677, (In Chinese with English Abstract). [Google Scholar] [CrossRef]
- Fu, H.; Liu, Z.; Hu, X. Tracking analysis of seismic anomalies of the 2021 Yangbi, Yunnan Ms6.4 earthquake. J. Seismol. Res. 2021, 44, 301–308, (In Chinese with English Abstract). [Google Scholar]
- Xin, J.; Zhang, C. Geoelectric field changes before the Yangbi Ms6.4 and Maduo Ms7.4 earthquakes. China Earthq. Eng. J. 2021, 43, 818–825. [Google Scholar] [CrossRef]
- Hou, Z.; An, Z.; Fan, Y.; Fu, A.; Tan, D.; Wei, L. Retrospective analysis of geoelectric field anomalies before the Yangbi Ms6.4 earthquake in Yunnan Province. China Earthq. Eng. J. 2021, 43, 807–817. [Google Scholar] [CrossRef]
- Du, X.; Zhang, X. Ionospheric Disturbances Possibly Associated with Yangbi Ms6.4 and Maduo Ms7.4 Earthquakes in China from China Seismo Electromagnetic Satellite. Atmosphere 2022, 13, 438. [Google Scholar] [CrossRef]
- Dong, L.; Zhang, X.; Du, X. Analysis of Ionospheric Perturbations Possibly Related to Yangbi Ms6.4 and Maduo Ms7.4 Earthquakes on 21 May 2021 in China Using GPS TEC and GIM TEC Data. Atmosphere 2022, 13, 1725. [Google Scholar] [CrossRef]
- Omori, Y.; Yasuoka, Y.; Nagahama, H.; Kawada, Y.; Ishikawa, T.; Tokonami, S.; Shinogi, M. Anomalous radon emanation linked to preseismic electromagnetic phenomena. Nat. Hazards Earth Syst. Sci. 2007, 7, 629–635. [Google Scholar] [CrossRef]













| Station | Epicentral Distance (km) | Abnormal Time (BJT) | Abnormal Amplitude (kV/m) |
|---|---|---|---|
| Dali | 26.74 | 11 April 2021 10:31:11 | −0.918 |
| Dali | 26.74 | 11 April 2021 15:28:30 | −1.045 |
| Dali | 26.74 | 11 April 2021 16:53:45 | −2.48 |
| Midu | 56.61 | 17 April 2021 03:40:54 | −0.598 |
| Midu | 56.61 | 2 May 2021 14:56:35 | −2.003 |
| Nanjian | 88.06 | 2 May 2021 16:47:43 | −1.54 |
| Dali | 26.74 | 5 May 2021 11:46:45 | −3.862 |
| Dali | 26.74 | 5 May 2021 16:26:01 | −1.403 |
| Midu | 56.61 | 5 May 2021 14:11:06 | −5.148 |
| Yangbi | 6.53 | 5 May 2021 16:04:09 | −1.982 |
Disclaimer/Publisher’s Note: The statements, opinions and data contained in all publications are solely those of the individual author(s) and contributor(s) and not of MDPI and/or the editor(s). MDPI and/or the editor(s) disclaim responsibility for any injury to people or property resulting from any ideas, methods, instructions or products referred to in the content. |
© 2023 by the authors. Licensee MDPI, Basel, Switzerland. This article is an open access article distributed under the terms and conditions of the Creative Commons Attribution (CC BY) license (https://creativecommons.org/licenses/by/4.0/).
Share and Cite
Nie, L.; Zhang, X. Identification and Analysis of Multi-Station Atmospheric Electric Field Anomalies before the Yangbi Ms 6.4 Earthquake on 21 May 2021. Atmosphere 2023, 14, 1579. https://doi.org/10.3390/atmos14101579
Nie L, Zhang X. Identification and Analysis of Multi-Station Atmospheric Electric Field Anomalies before the Yangbi Ms 6.4 Earthquake on 21 May 2021. Atmosphere. 2023; 14(10):1579. https://doi.org/10.3390/atmos14101579
Chicago/Turabian StyleNie, Lei, and Xuemin Zhang. 2023. "Identification and Analysis of Multi-Station Atmospheric Electric Field Anomalies before the Yangbi Ms 6.4 Earthquake on 21 May 2021" Atmosphere 14, no. 10: 1579. https://doi.org/10.3390/atmos14101579
APA StyleNie, L., & Zhang, X. (2023). Identification and Analysis of Multi-Station Atmospheric Electric Field Anomalies before the Yangbi Ms 6.4 Earthquake on 21 May 2021. Atmosphere, 14(10), 1579. https://doi.org/10.3390/atmos14101579

