A Machine Learning Approach for Air-Quality Forecast by Integrating GNSS Radio Occultation Observation and Weather Modeling
Abstract
1. Introduction
1.1. Background and Motivation
1.2. Related Work
1.3. Our Contribution
2. Methodology
2.1. Overall Workflow
2.2. AQI
2.3. Data Collection
2.3.1. Data from Monitoring Station
2.3.2. Data from WRF
2.3.3. Data from GNSS-RO
2.4. Neural Network Models
2.4.1. LSTM
| Algorithm 1: LSTM architecture |
1 initialization; 2 x = LSTM(input_size, hidden_size = 32, num_layers = 4)(input); 3 output = full_connect(hidden_size = 32, output_size)(x); 4 return output; |
2.4.2. CNN
| Algorithm 2: CNN architecture |
1 initialization; 2 x = conv(input_size, hidden_size, kernel_size = 1)(input); 3 x = conv(hidden_size, 1, kernel_size = 1)(x); 4 x = full_connect(input_size, 32)(x); 5 x = full_connect(32, 10)(x); 6 output = linear(10, output_size)(x); 7 return output; |
2.4.3. DNN
| Algorithm 3: DNN architecture |
1 initialization 2 x = full_connect(input_size, hidden_size_1)(input) 3 x = full_connect(hidden_size_1, hidden_size_2)(x) 4 output = full_connect(hidden_size_2, output_size)(x) 5 return output; |
2.5. Process of Train and Validation
3. Study Area
4. Results and Discussions
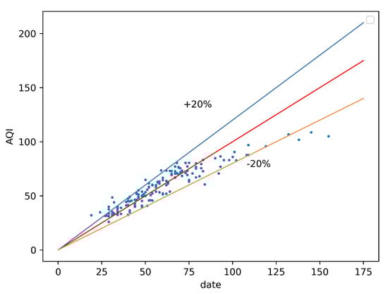
4.1. Effect of Different Neural Network Models on AQI Prediction
4.2. Impact of the Ratio of the Training Set and Test Set on AQI Prediction
4.3. Impact of Meteorological Parameters on AQI Prediction
4.4. Effect of Hyperparameters on AQI Prediction
4.5. Prediction Time of Different Prediction Models
5. Limitations and Expected Impacts
6. Conclusions
Author Contributions
Funding
Conflicts of Interest
References
- Brunekreef, B.; Holgate, S.T. Air pollution and health. Lancet 2002, 360, 1233–1242. [Google Scholar] [CrossRef] [PubMed]
- Kampa, M.; Castanas, E. Human health effects of air pollution. Environ. Pollut. 2008, 151, 362–367. [Google Scholar] [CrossRef] [PubMed]
- Brunekreef, B. Health effects of air pollution observed in cohort studies in Europe. J. Expo. Sci. Environ. Epidemiol. 2007, 17, S61–S65. [Google Scholar] [CrossRef] [PubMed]
- Chen, W.; Wang, F.; Xiao, G.; Wu, K.; Zhang, S. Air Quality of Beijing and Impacts of the New Ambient Air Quality Standard. Atmosphere 2015, 6, 1243–1258. [Google Scholar] [CrossRef]
- Zhu, S.; Lian, X.; Liu, H.; Hu, J.; Wang, Y.; Che, J. Daily air quality index forecasting with hybrid models: A case in China. Environ. Pollut. 2017, 231, 1232–1244. [Google Scholar] [CrossRef] [PubMed]
- Jiang, C.; Wang, H.; Zhao, T.; Li, T.; Che, H. Modeling study of PM2.5 pollutant transport across cities in China’s Jing–Jin–Ji region during a severe haze episode in December 2013. Atmos. Chem. Phys. 2015, 15, 5803–5814. [Google Scholar] [CrossRef]
- Solbakken, K.; Birkelund, Y.; Samuelsen, E.M. Evaluation of surface wind using WRF in complex terrain: Atmospheric input data and grid spacing. Environ. Model. Softw. 2021, 145, 105182. [Google Scholar] [CrossRef]
- Liu, Y. Relationships of wind speed and precipitable water vapor with regional PM2.5 based on WRF-Chem model. Nat. Resour. Model. 2021, 34, e12306. [Google Scholar] [CrossRef]
- Zhang, Y.; Bocquet, M.; Mallet, V.; Seigneur, C.; Baklanov, A. Real-time air quality forecasting, part I: History, techniques, and current status. Atmos. Environ. 2012, 60, 632–655. [Google Scholar] [CrossRef]
- Hutchison, K.D.; Smith, S.; Faruqui, S.J. Correlating MODIS aerosol optical thickness data with ground-based PM2.5 observations across Texas for use in a real-time air quality prediction system. Atmos. Environ. 2005, 39, 7190–7203. [Google Scholar] [CrossRef]
- Solomatine, D.; See, L.; Abrahart, R. Data-Driven Modelling: Concepts, Approaches and Experiences. In Practical Hydroinformatics: Computational Intelligence and Technological Developments in Water Applications; Abrahart, R.J., See, L.M., Solomatine, D.P., Eds.; Water Science and Technology Library; Springer: Berlin/Heidelberg, Germany, 2008; pp. 17–30. [Google Scholar] [CrossRef]
- Provost, F.; Fawcett, T. Data Science and its Relationship to Big Data and Data-Driven Decision Making. Big Data 2013, 1, 51–59. [Google Scholar] [CrossRef] [PubMed]
- Buizza, C.; Quilodrán Casas, C.; Nadler, P.; Mack, J.; Marrone, S.; Titus, Z.; Le Cornec, C.; Heylen, E.; Dur, T.; Baca Ruiz, L.; et al. Data Learning: Integrating Data Assimilation and Machine Learning. J. Comput. Sci. 2022, 58, 101525. [Google Scholar] [CrossRef]
- Chan, K.M.; Wood, R. The seasonal cycle of planetary boundary layer depth determined using COSMIC radio occultation data. J. Geophys. Res. Atmos. 2013, 118, 12,422–12,434. [Google Scholar] [CrossRef]
- Guo, P.; Kuo, Y.H.; Sokolovskiy, S.V.; Lenschow, D.H. Estimating Atmospheric Boundary Layer Depth Using COSMIC Radio Occultation Data. J. Atmos. Sci. 2011, 68, 1703–1713. [Google Scholar] [CrossRef]
- Zakharov, V.I.; Kunitsyn, V.E. Possibilities of radio occultation sounding using the GPS/GLONASS system for regional monitoring of the atmosphere. Mosc. Univ. Phys. Bull. 2007, 62, 260–265. [Google Scholar] [CrossRef]
- Wickert, J.; Reigber, C.; Beyerle, G.; König, R.; Marquardt, C.; Schmidt, T.; Grunwaldt, L.; Galas, R.; Meehan, T.K.; Melbourne, W.G.; et al. Atmosphere sounding by GPS radio occultation: First results from CHAMP. Geophys. Res. Lett. 2001, 28, 3263–3266. [Google Scholar] [CrossRef]
- Steiner, A.K.; Kirchengast, G.; Ladreiter, H.P. Inversion, error analysis, and validation of GPS/MET occultation data. Ann. Geophys. 1998, 17, 122–138. [Google Scholar] [CrossRef]
- Bonafoni, S.; Biondi, R. The usefulness of the Global Navigation Satellite Systems (GNSS) in the analysis of precipitation events. Atmos. Res. 2016, 167, 15–23. [Google Scholar] [CrossRef]
- Díaz-Fernández, J.; Bolgiani, P.; Santos-Muñoz, D.; Sastre, M.; Valero, F.; Sebastián-Martín, L.I.; Fernández-González, S.; López, L.; Martín, M.L. On the characterization of mountain waves and the development of a warning method for aviation safety using WRF forecast. Atmos. Res. 2021, 258, 105620. [Google Scholar] [CrossRef]
- Cheng, W.L.; Chen, Y.S.; Zhang, J.; Lyons, T.J.; Pai, J.L.; Chang, S.H. Comparison of the Revised Air Quality Index with the PSI and AQI indices. Sci. Total Environ. 2007, 382, 191–198. [Google Scholar] [CrossRef]
- Cao, B.; Wang, X.; Ning, G.; Yuan, L.; Jiang, M.; Zhang, X.; Wang, S. Factors influencing the boundary layer height and their relationship with air quality in the Sichuan Basin, China. Sci. Total Environ. 2020, 727, 138584. [Google Scholar] [CrossRef] [PubMed]
- Njuki, S.M.; Mannaerts, C.M.; Su, Z. Influence of Planetary Boundary Layer (PBL) Parameterizations in the Weather Research and Forecasting (WRF) Model on the Retrieval of Surface Meteorological Variables over the Kenyan Highlands. Atmosphere 2022, 13, 169. [Google Scholar] [CrossRef]
- Dominick, D.; Latif, M.T.; Juahir, H.; Aris, A.; Zain, S. An assessment of influence of meteorological factors on PM10 and NO2 at selected stations in Malaysia. Sustain. Environ. Res. 2012, 22, 305–315. [Google Scholar]
- Revlett, G.H. Ozone Forecasting Using Empirical Modeling. J. Air Pollut. Control. Assoc. 1978, 28, 338–343. [Google Scholar] [CrossRef]
- Farchi, A.; Laloyaux, P.; Bonavita, M.; Bocquet, M. Using machine learning to correct model error in data assimilation and forecast applications. Q. J. R. Meteorol. Soc. 2021, 147, 3067–3084. [Google Scholar] [CrossRef]
- Du, S.; Wang, R.; Wei, C.; Wang, Y.; Zhou, Y.; Wang, J.; Song, H. The Connectivity Evaluation Among Wells in Reservoir Utilizing Machine Learning Methods. IEEE Access 2020, 8, 47209–47219. [Google Scholar] [CrossRef]
- Abarbanel, H.D.I.; Rozdeba, P.J.; Shirman, S. Machine Learning: Deepest Learning as Statistical Data Assimilation Problems. Neural Comput. 2018, 30, 2025–2055. [Google Scholar] [CrossRef]
- Jose, D.M.; Vincent, A.M.; Dwarakish, G.S. Improving multiple model ensemble predictions of daily precipitation and temperature through machine learning techniques. Sci. Rep. 2022, 12, 4678. [Google Scholar] [CrossRef] [PubMed]
- Samal, K.; Babu, K.; Das, S. Spatio-temporal Prediction of Air Quality using Distance Based Interpolation and Deep Learning Techniques. EAI Endorsed Trans. Smart Cities 2021, 5, e4. [Google Scholar] [CrossRef]
- Sigamani, S.; Venkatesan, R. Air quality index prediction with influence of meteorological parameters using machine learning model for IoT application. Arab. J. Geosci. 2022, 15, 340. [Google Scholar] [CrossRef]
- Wang, J.; Li, J.; Wang, X.; Wang, J.; Huang, M. Air quality prediction using CT-LSTM. Neural Comput. Appl. 2021, 33, 4779–4792. [Google Scholar] [CrossRef]
- Bai, W.; Deng, N.; Sun, Y.; Du, Q.; Xia, J.; Wang, X.; Meng, X.; Zhao, D.; Liu, C.; Tan, G.; et al. Applications of GNSS-RO to Numerical Weather Prediction and Tropical Cyclone Forecast. Atmosphere 2020, 11, 1204. [Google Scholar] [CrossRef]
- Chen, S.Y.; Shih, C.P.; Huang, C.Y.; Teng, W.H. An Impact Study of GNSS RO Data on the Prediction of Typhoon Nepartak (2016) Using a Multiresolution Global Model with 3D-Hybrid Data Assimilation. Weather. Forecast. 2021, 36, 957–977. [Google Scholar] [CrossRef]
- Ruston, B.; Healy, S. Forecast Impact of FORMOSAT-7/COSMIC-2 GNSS Radio Occultation Measurements. Atmos. Sci. Lett. 2021, 22, e1019. [Google Scholar] [CrossRef]
- Dee, D.P.; Uppala, S.M.; Simmons, A.J.; Berrisford, P.; Poli, P.; Kobayashi, S.; Andrae, U.; Balmaseda, M.A.; Balsamo, G.; Bauer, P.; et al. The ERA-Interim reanalysis: Configuration and performance of the data assimilation system. Q. J. R. Meteorol. Soc. 2011, 137, 553–597. [Google Scholar] [CrossRef]
- Berrisford, P.; Kållberg, P.; Kobayashi, S.; Dee, D.; Uppala, S.; Simmons, A.J.; Poli, P.; Sato, H. Atmospheric conservation properties in ERA-Interim. Q. J. R. Meteorol. Soc. 2011, 137, 1381–1399. [Google Scholar] [CrossRef]
- Chu, X.; Bai, W.; Sun, Y.; Li, W.; Liu, C.; Song, H. A Machine Learning-Based Method for Wind Fields Forecasting Utilizing GNSS Radio Occultation Data. IEEE Access 2022, 10, 30258–30273. [Google Scholar] [CrossRef]
- Liu, Y.; Xue, J. Assimilation of global navigation satellite radio occultation observations in GRAPES: Operational implementation. J. Meteorol. Res. 2014, 28, 1061–1074. [Google Scholar] [CrossRef]
- Johny, C.J.; Sarkar, S.K.; Punyasesudu, D. Atmospheric phenomena deduced from radiosonde and GPS occultation measurements for various application related studies. J. Earth Syst. Sci. 2009, 118, 49–59. [Google Scholar] [CrossRef][Green Version]
- Zaini, N.; Ean, L.W.; Ahmed, A.N.; Malek, M.A. A systematic literature review of deep learning neural network for time series air quality forecasting. Environ. Sci. Pollut. Res. 2022, 29, 4958–4990. [Google Scholar] [CrossRef]
- Essam, Y.; Ahmed, A.N.; Ramli, R.; Chau, K.W.; Idris Ibrahim, M.S.; Sherif, M.; Sefelnasr, A.; El-Shafie, A. Investigating photovoltaic solar power output forecasting using machine learning algorithms. Eng. Appl. Comput. Fluid Mech. 2022, 16, 2002–2034. [Google Scholar] [CrossRef]
- Song, H.; Du, S.; Wang, R.; Wang, J.; Wang, Y.; Wei, C.; Liu, Q. Potential for Vertical Heterogeneity Prediction in Reservoir Basing on Machine Learning Methods. Geofluids 2020, 2020, 3713525. [Google Scholar] [CrossRef]
- Yu, Y.; Si, X.; Hu, C.; Zhang, J. A Review of Recurrent Neural Networks: LSTM Cells and Network Architectures. Neural Comput. 2019, 31, 1235–1270. [Google Scholar] [CrossRef] [PubMed]
- Dong, Y.; Wang, J.; Xiao, L.; Fu, T. Short-term wind speed time series forecasting based on a hybrid method with multiple objective optimization for non-convex target. Energy 2021, 215, 119180. [Google Scholar] [CrossRef]
- Suk, H.I. Chapter 1—An Introduction to Neural Networks and Deep Learning. In Deep Learning for Medical Image Analysis; Zhou, S.K., Greenspan, H., Shen, D., Eds.; Academic Press: Cambridge, MA, USA, 2017; pp. 3–24. [Google Scholar] [CrossRef]
- Liu, T.; Gong, S.; He, J.; Yu, M.; Wang, Q.; Li, H.; Liu, W.; Zhang, J.; Li, L.; Wang, X.; et al. Attributions of meteorological and emission factors to the 2015 winter severe haze pollution episodes in China’s Jing-Jin-Ji area. Atmos. Chem. Phys. 2017, 17, 2971–2980. [Google Scholar] [CrossRef]











| rRMSE | MAE | |
|---|---|---|
| Baseline | 2.6680% | 8.952 |
| + wind field | 2.5009% | 8.865 |
| + boundary layer height | 2.5137% | 8.769 |
| + wind field and boundary layer height | 2.3948% | 8.553 |
| LSTM | CNN | DNN | WRF | |
|---|---|---|---|---|
| Train Time | 1 min 42 s | 1 min 2 s | 31 s | 0 s |
| Predict Time | 0.46 s | 0.47 s | 0.48 s | 15 min 32 s |
| Relative Pred Time | 0.049% | 0.050% | 100% | 0.052% |
Disclaimer/Publisher’s Note: The statements, opinions and data contained in all publications are solely those of the individual author(s) and contributor(s) and not of MDPI and/or the editor(s). MDPI and/or the editor(s) disclaim responsibility for any injury to people or property resulting from any ideas, methods, instructions or products referred to in the content. |
© 2022 by the authors. Licensee MDPI, Basel, Switzerland. This article is an open access article distributed under the terms and conditions of the Creative Commons Attribution (CC BY) license (https://creativecommons.org/licenses/by/4.0/).
Share and Cite
Li, W.; Kang, S.; Sun, Y.; Bai, W.; Wang, Y.; Song, H. A Machine Learning Approach for Air-Quality Forecast by Integrating GNSS Radio Occultation Observation and Weather Modeling. Atmosphere 2023, 14, 58. https://doi.org/10.3390/atmos14010058
Li W, Kang S, Sun Y, Bai W, Wang Y, Song H. A Machine Learning Approach for Air-Quality Forecast by Integrating GNSS Radio Occultation Observation and Weather Modeling. Atmosphere. 2023; 14(1):58. https://doi.org/10.3390/atmos14010058
Chicago/Turabian StyleLi, Wei, Shengyu Kang, Yueqiang Sun, Weihua Bai, Yuhe Wang, and Hongqing Song. 2023. "A Machine Learning Approach for Air-Quality Forecast by Integrating GNSS Radio Occultation Observation and Weather Modeling" Atmosphere 14, no. 1: 58. https://doi.org/10.3390/atmos14010058
APA StyleLi, W., Kang, S., Sun, Y., Bai, W., Wang, Y., & Song, H. (2023). A Machine Learning Approach for Air-Quality Forecast by Integrating GNSS Radio Occultation Observation and Weather Modeling. Atmosphere, 14(1), 58. https://doi.org/10.3390/atmos14010058

