You are currently viewing a new version of our website. To view the old version click .
Atmosphere
  • Article
  • Open Access

9 January 2023

A Comparative Study of Air Pollutant Concentrations before the COVID-19 Pandemic and in the New Normal in the Región de Murcia (Spain)

and
1
Department of Chemical and Environmental Engineering, Universidad Politécnica de Cartagena, Doctor Fleming s/n, 30202 Cartagena, Spain
2
Department of Applied Mathematics and Statistics, Universidad Politécnica de Cartagena, Doctor Fleming s/n, 30202 Cartagena, Spain
*
Author to whom correspondence should be addressed.
These authors contributed equally to this work.
This article belongs to the Special Issue Feature Papers in Air Quality

Abstract

The management of the COVID-19 pandemic, which required global lockdowns and mobility restrictions, positively impacted air quality (especially the concentrations of primary pollutants). With the progressive return to normal activity during the last few months of 2020 and 2021, air pollutant concentrations were expected to rise again. In this work, together with meteorological conditions and traffic intensity, the concentrations of NO, NO 2 , O 3 , PM 10 , and SO 2 measured at three different locations (urban, industrial, and rural) in southeast Spain, from January 2016 to December 2021, were analyzed. For the three locations, PM 10 concentrations did not change significantly in 2020 or 2021. SO 2 concentrations did not experience changes at the industrial site in 2020 or 2021, but SO 2 concentrations did slightly increase in five months of 2021 in the urban location (with a maximum monthly average concentration of 11 μ g·m 3 ). In 2020, NO and NO 2 concentrations were, in general, lower than those measured in previous years (2016–2019). Interestingly, at the urban site (San Basilio), the levels of NO and NO 2 were significantly lower in 2021 than in 2020 despite the higher traffic intensity in 2021. While the concentrations of NO and NO 2 decreased, in VOC-limited areas, O 3 concentrations increased. This was clearly observed at the industrial and the urban sites. Despite the increase, O 3 concentrations were still below the European O 3 target value for the protection of human health. An analysis of new registrations of EVs and HEVs in the latter years and their impact on the vehicle fleet of Murcia and, subsequently, on road emissions was carried out. Regardless of the steep increase in environmentally friendly vehicles in 2021, their share of the vehicle fleet is still negligible; thus, the lower concentrations of NO and NO 2 are likely due to more favorable weather conditions in 2021 than in 2020.

1. Introduction

It has been well documented how measures to stop the spread of COVID-19 have globally and locally impacted air quality [,,,]. These measures consisted of strict lockdowns that, in many cities, lasted for several months and resulted in a reduction in economical activity in almost every business sector. Due to these travel restrictions, teleworking and telecommuting experienced an explosion in 2020. With a dramatic decline in traffic intensity, many researchers have reported a general decrease in the concentrations of PM 2.5 , PM 10 , SO 2 , CO, NO, and NO 2 in ambient air and, in many locations, increased concentrations of tropospheric O 3 [,,,]. All of these studies highlight the need for implementing policies, such as low emission zones, to achieve better air quality, as transportation patterns are closely linked to air pollution.
From the middle of 2020, restrictions on travel were progressively removed in many cities, although some of them were still in place for many months of 2021. For instance, in Spain, the curfew was lifted on May 2021, and until this moment, non-essential travel between provinces was banned. In absence of restrictions, one may expect the population to go back to their former habits. However, the pandemic brought deep behavioral changes that some may never revert to their former behaviors. In fact, some authors have stated that the impact of the pandemic on economic and transport activities will still be visible at least three years after the crisis []. Together with the technological advances of cleaner vehicles such as hybrid and electric ones, teleworking, e-learning, and the perception of the high risk of infections with social proximity, which deeply affect the use of public transport, are some of the vectors that will determine the shifts in mobility patterns and subsequent changes in urban air quality.
The peak in teleworking occurred in March and April 2020 and showed a decline from May to October 2020 in the USA []. The same peak was observed in Japan [], albeit with fewer teleworkers. The number of teleworkers in Japan decreased and stabilized from June 2020 to September 2021. More recent trends in teleworking have not been found in the literature for other countries in the last two years, but it is obvious that, although teleworking is more popular than before 2020, currently, the percentage of the population working from home is lower than during the lockdown periods. Something similar, but more noticeable happened with e-learning. While most schools and universities shifted to online teaching at the pandemic’s outbreak, on-site teaching gradually returned during the 2020/2021 academic year and was back to normal in the 2021/2022 academic year.
The general aversion to social proximity also induced changes in mobility patterns. There has been an increase in active transport (walking and cycling) since the pandemic [], with the subsequent benefits for health and the environment; however, individual cars and motorcycles are also preferred over public transportation []. In this regard, a study conducted in Switzerland showed that, once mobility restrictions relaxed in May 2020, the public transport ridership was 80% lower than pre-COVID levels. The number of public transport passengers smoothly increased during June and July, but in August 2020 was still 20% lower []. A survey conducted in Budapest revealed that this behavioral change was not seen as permanent among commuters [].
In addition to the behavioral changes mentioned, hybrid and electric vehicles are becoming more and more popular. In the European Union (EU), from 2010 to 2020, there was a steady increase in the number of new electric vehicle (EV) registrations (battery electric cars (BEVs) and plug-in hybrid electric cars (PHEVs)), reaching 11% of new registrations in 2020. In 2021, there was a steep increase in electric car registrations, accounting for 18% of newly registered cars []. Globally, EVs accounted for 9% of the global car market in 2021, which is four-times their market share in 2019. China registered the highest sales, followed by the EU, which together accounted for 85% of global electric car sales []. Similarly, hybrid electric vehicles, which are not included in the above statistics, accounted for 12% of total sales of vehicles in 2020 and 19.6% of total sales in 2021 [].
With so many variables that affect mobility patterns and with alternative fuel vehicles on the rise, it is necessary to examine how air quality has evolved after the considerable changes that took place in 2020. To date, there are no published papers that include the analysis of validated data from the year 2021. In this work, we compared concentrations of PM 10 , NO, NO 2 , SO 2 , and O 3 in Región de Murcia (Spain) in three different periods: from 2016 to 2019, in 2020, and in 2021, with the aim of assessing if air pollutant concentrations are back to the levels observed before the pandemic. Meteorological conditions and the number of registrations of new vehicles grouped by type of motor and their share in the vehicle fleet were also considered in the analysis.

2. Materials and Methods

Región de Murcia is an area of 11,300 km 2 located in the southeast of Spain with a population of 1.5 million inhabitants. For the purpose of air quality management, it is divided into 6 zones. Three of these zones (Norte, Centro, and Litoral-Mar Menor) have an important ecological value, agricultural and livestock activities, and medium-scale industry (see Figure 1). There is a typical urban zone (Murcia City), one industrial zone (Valle de Escombreras), and a zone that is both urban and industrial (Cartagena). Each one of these zones has an air quality monitoring station (AQMS), with the exception of Murcia City and Valle de Escombreras, which have two of them.
Figure 1. Zones of Región de Murcia, Spain (https://sinqlair.carm.es/calidadaire/ (accessed on 26 November 2022 )). Yellow dots represent the air quality monitoring stations.
The hourly average concentrations of key air pollutants measured in the air quality network of Región de Murcia are public and can be downloaded from the local competent authority (https://sinqlair.carm.es/calidadaire/ (accessed on 26 November 2022)). Data were downloaded in Excel file format, with one file per location and one worksheet per year, resulting in a total amount of 420,480 records. All the instruments used to measure the air pollutants are reference or equivalent methods, and the data underwent validation, according to Directive 2008/50/EC of the EU []. For gaseous pollutants, the concentrations were standardized at a temperature of 293 K with an atmospheric pressure of 101.3 kPa. For particulate matter, the concentrations refer to ambient conditions at the date of measurement [].
In this study, we focused on three periods: (i) from January 2016 to December 2019, (ii) the year 2020, and (iii) the year 2021. By grouping them thusly, we can compare the ambient concentrations of pollutants in both 2020 and 2021 with the ambient concentrations before the pandemic to establish if the pollutant concentrations in 2021 still remained below pre-pandemic values.
The statistical analysis was carried out with the free software R []; in particular, the tidyverse packages [] were used for data exploration, transformation, and visualization. Dataset preparation and filtering were performed to present the data in a tidy data frame following the principles introduced by Wickham []. This preliminary stage of the analysis is crucial to facilitate the representation and the extraction of information from the data. Although the data from all the AQMS of the network were analyzed in this study, we focused in this paper on three stations, since they are representative of different environments, i.e., Caravaca, a rural station in the Norte zone; San Basilio, an urban station in the Murcia City zone, which is located next to a heavy traffic road (A-30); and Valle, an industrial station in the Valle de Escombreras zone.
The comparison of the pollutant concentrations was carried out with time series and box and whiskers plots of the daily averages, together with descriptive statistics summaries (including sample size, quartiles, mean, standard deviation, etc.) by considering different grouping variables (e.g., year and month). Additionally, a correlation analysis was used to identify and evaluate the relationship between NO and O 3 concentrations and between NO 2 and O 3 concentrations at each specific station. In order to detect exceedances of the O 3 target value for the protection of human health, maximum daily eight-hour running averages of O 3 were computed for each station. Meteorological conditions were also examined in case differences in air pollution in different years could be attributable to this factor. One-hour data on surface wind speed and direction, measured at a height of 6 m, together with temperature and relative humidity were continuously collected by most of the AQMSs of the network. San Basilio was not provided with a weather station, so the data from Alcantarilla, a close-by station less than 8 km away, were used instead.
Traffic intensity data were requested from the Ministerio de Transportes, Movilidad y Agenda Urbana of Spain to corroborate the decrease in traffic intensity during 2020 and the recovery of traffic intensity during 2021.
Lastly, new vehicle registration data in Spain from 2017 to 2021, grouped by type of motor, and data on the composition of the Murcia vehicle fleet were obtained from Dirección General de Tráfico, Ministerio del Interior, Spain.

3. Results

3.1. Meteorological Conditions during the Studied Periods

A preliminary study was carried out in order to check if there were significant differences in meteorological observations during the years of the study. For this, wind roses were obtained to compare speed and wind direction in the three selected locations (San Basilio, Caravaca, and Valle). In Figure 2, it can be seen how the predominant wind directions remained constant in Caravaca and San Basilio throughout the years. In Caravaca, during the studied period, the main wind directions were E, ENE, and SW with a prevalence of calm or light air most of the time. An exception is the year 2016, when significantly higher wind speeds were registered; see Figure 3. Monthly average wind speed was most of the time below 1.75 m·s 1 . In San Basilio, the dominant wind directions were WNW, NW, and W, and the monthly average wind speed was in general lower than 2 m·s 1 . Maximum and minimum daily wind speeds ranged during the studied period from 5.03 to 6.33 m·s 1 and from 0.83 to 1.25 m·s 1 , respectively. Last, the dominant wind direction in Valle was NE in 2016 to 2019, followed by SW and NNE. However, in 2020 and 2021, the main wind directions were NNE and N, followed by SW. Wind intensity was higher in Valle, as is typical of coastal locations, with monthly average values ranging from 2.75 to 2.94 m·s 1 . Maximum and minimum daily wind speed ranged during the studied period from 5.79 to 9.57 m·s 1 and from 2.67 to 2.79 m·s 1 , respectively.
Figure 2. One-hour surface wind speed and direction data represented in wind rose plots at the three stations (Caravaca, San Basilio, and Valle).
Figure 3. Box and whiskers plots of the daily relative humidity, temperature, and wind speed data at the three stations (Caravaca, San Basilio, and Valle). The bottom and top of the box represent the first and the third quartiles, respectively; the horizontal line in the box represents the median; dots are the outliers; whiskers the lowest and highest values, excluding the outliers.
Relative humidity (RH) is the meteorological parameter that shows higher daily and inter-annual variability. Caravaca is the driest location of the three studied ones, as is characteristic of inland areas. It shows lower values of RH in summer than in winter. Monthly average values ranged from 45 to 75% during the studied period. In general, there are no significant differences in these values in different years with the exception of December 2016, which was more humid than the rest of the years (Figure 3). In San Basilio, monthly RH values were slightly higher than in Caravaca, ranging from 54 to 77%. Significant differences in RH were found in March 2017, which was dryer than in the rest of the years, and September 2017 and 2018, which were more humid. Monthly average RH values in Valle were considerably higher than in the other two locations, and in general, they remained above 65%. Besides, they did not experience significant seasonal differences.
With regard to temperature fluctuations, Caravaca is the location with the highest daily and annual variability. Minimum daily average temperatures were registered in this station (−1 °C), whereas maximum ones took place in San Basilio (37 °C). Due to its location near the sea, Valle shows milder temperatures with little variability during the day and along the year. The minimum daily temperature registered in the period in Valle was 4.8 °C, and the maximum daily temperature was 30 °C.

3.2. Traffic Intensity in the Studied Period

In order to check the recovery of traffic intensity during 2021 to typical pre-pandemic values, data from several traffic stations located on the A-7 highway where it crosses Región de Murcia were analyzed. Daily average traffic intensity is shown in Figure 4 as a function of the month and the year, from 2016 to 2021. From 2016 to 2019, it can be seen how the traffic intensity of light-duty vehicles was similar along the years, fluctuating between 30,000 and 40,000 vehicles/day. July, August, and September were the months that registered higher traffic intensity due to the summer holiday season. However, in 2020, an atypical trend can be seen, with minimum values of traffic intensity in April, due to the lockdowns and mobility restrictions applied to contain the spread of COVID-19. Maximum values of traffic intensity in 2020 were also registered in July and August, but they did not reach 30,000 vehicles/day. In 2021, traffic intensity recovered up to values similar to those in the period 2016–2019. Moreover, from May 2021 until the end of the year, traffic intensity was higher than in the period 2016–2019, probably due to a rebound effect when COVID-19 restrictions to mobility were lifted. On the other hand, the traffic intensity of heavy-duty vehicles was more homogeneous over the years. Minimum traffic intensity was registered in August in all the years. A slight decrease in traffic intensity was registered from April 2020, but it was not as remarkable as the one experienced by light-duty vehicles. In 2021, the traffic intensity of heavy-duty vehicles increased again to reach pre-pandemic values.
Figure 4. Box and whiskers plots of the traffic intensity (daily by day of the week) of the A-7 route in Región de Murcia. The bottom and top of the box represent the first and the third quartiles, respectively; the horizontal line in the box represents the median; dots are the outliers; whiskers are the lowest and highest values, excluding the outliers. (Source: Ministerio de Transportes, Movilidad y Agenda Urbana, Spain).

3.3. Air Quality in San Basilio (Urban)

In Figure 5, the yearly evolution of the concentrations of NO, NO 2 , PM 10 , and O 3 is shown. Both NO and NO 2 concentrations were lower in summer than in winter months for all the years studied, with higher variability of concentrations in the cold months. This is due to worse atmospheric conditions, which impede the dispersion of pollutants in winter when the atmospheric stability is higher. There were no significant differences between the concentrations of NO in 2020 and in previous years. In 2021, however, NO concentrations were lower than in previous years. The analysis of the traffic data showed that traffic intensity had gradually increased from 2020 to 2021. In fact, it was even higher than in the period of 2016–2019. However, this did not translate into higher concentrations of NO in 2021. Two possible explanations may be (i) the progressive renovation of the vehicle fleet in favor of hybrid and electric vehicles and (ii) more favorable meteorological conditions for the dispersion of pollutants in 2021. These two hypothesis will be addressed in Section 4.
Figure 5. Evolution of the daily concentrations of NO, NO 2 , O 3 , PM 10 , and SO 2 at the San Basilio station.
Something similar can be observed for NO 2 . The concentrations of this pollutant were significantly lower in 2020 than in previous years only from September to November, although the variability of the concentrations was clearly lower than in previous years (Figure 6). However, the concentrations of NO 2 in 2021 were significantly lower in almost every month than those in 2020. This is in agreement with the observed trend in the concentrations of NO.
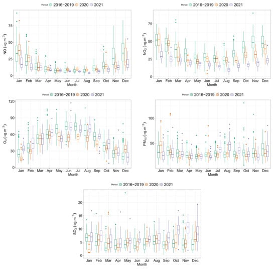
Figure 6. Box and whiskers plots of the daily concentrations of NO, NO 2 , O 3 , PM 10 , and SO 2 at the San Basilio station. The bottom and top of the box represent the first and the third quartiles, respectively; the horizontal line in the box represents the median; dots are the outliers; whiskers are the lowest and highest values, excluding the outliers.
No significant differences were found in the concentrations of SO 2 in 2020 and in previous years, except in January. On the contrary, in the last few months of 2021, the concentrations increased (the annual mean concentration in 2021 was 7.13 μ g·m 3 in comparison to 4.86 μ g·m 3 in 2020). Nevertheless, the concentrations of SO 2 were well below its hourly and daily limit values (350 and 125 μ g·m 3 , respectively) with the maximum daily concentration in the studied period being 23.7 μ g·m 3 in 2016; so, despite the latest rise, SO 2 is a pollutant that is under control.
PM 10 decreased in some months of 2020, while it increased in others with respect to previous years. Something similar happened in 2021, but in general, these changes were not significant, with the exception of the higher concentrations of PM 10 in August and September 2021. In any case, the average annual concentrations were similar, and they showed no trend in the period of 2016-2021 (30.4, 34.2, 30.3, 29.3, 28.9, and 31.4 μ g·m 3 , respectively).
Finally, there was a significant reduction in O 3 concentrations from May to September 2020 in comparison to 2016–2019; however, the concentrations recovered in 2021, except in May. This behavior highlights the dependency of O 3 build-up in San Basilio with the concentration of volatile organic compounds (VOCs), as a reduction in NO and NO 2 concentrations in 2021 did not translate into a reduction of O 3 . Log-concentrations of NO and NO 2 in this location correlated very poorly with O 3 log-concentrations during the studied periods. The Pearson correlation coefficients were negative, and they were higher in autumn and winter (ranging from r = 0.53 to r = 0.8 for NO 2 and from r = 0.46 to r = 0.87 for NO) than in warmer months; they were especially low in spring and summer 2020 and 2021 (ranging from r = 0.1 to r = 0.38 for NO 2 and from r = 0.25 to r = 0.42 for NO). These poor correlations support the fact that O 3 production in this zone is VOC-controlled.

3.4. Air Quality in Valle (Industrial)

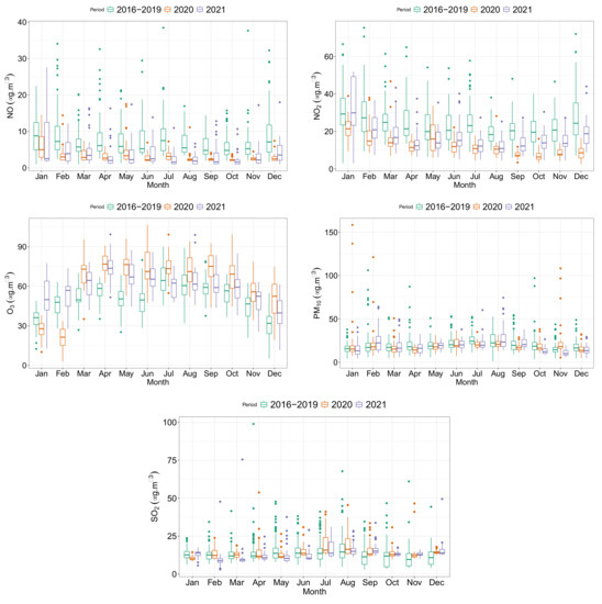
Monthly average concentrations of NO in 2020 at this station were significantly lower than in the previous period (2016–2019) with the exception of January (Figure 7), which illustrates how the pandemic may also have impacted this industrial location, having an oil refinery and three combined cycle power plants, among other industries. In fact, in 2020, electricity production in Spain was 3.1% lower than in 2019 [], with the subsequent reduction in emissions from this type of activity. The concentrations of NO in 2021 remained lower than in the period 2016–2019, and in many months, they were even lower than those in 2020; however, the differences found were not significant. It is worth mentioning that the concentrations of NO in Valle were considerably lower than those of NO in San Basilio (e.g., 3.6 μ g·m 3 annual NO average concentration in Valle in 2021 compared to 10.4 μ g·m 3 in San Basilio in the same year). The same applies for NO 2 . Significantly lower concentrations of NO 2 can also be observed in 2020 in comparison to previous years (Figure 8), but there was an increase in the concentrations of NO 2 in 2021. In fact, during 2021, the electricity demand was 2.6% higher than that in 2020 [], which may have translated into higher concentrations of NO 2 at this site. In any case, monthly average values of NO 2 in 2021 still remained below those in the period of 2016–2019, with the exception of January, with a similar average.
Figure 7. Evolution of the daily concentrations of NO, NO 2 , O 3 , PM 10 , and SO 2 at the Valle station.
Figure 8. Box and whiskers plots of the daily concentrations of NO, NO 2 , O 3 , PM 10 , and SO 2 at the Valle station. The bottom and top of the box represent the first and the third quartiles, respectively; the horizontal line in the box represents the median; dots are the outliers; whiskers are the lowest and highest values, excluding the outliers.
SO 2 concentrations in Valle did not seem to be affected by the pandemic, as the monthly average concentrations in 2020 were similar to those registered in previous years. The average concentrations of SO 2 in Valle were higher than those found in San Basilio, as this is a pollutant mainly emitted from power plants and industrial facilities, but its concentrations were still very far from exceeding any of its limit values.
PM 10 concentrations were quite homogeneous during the studied years at this location. Its concentrations were significantly lower than those found in San Basilio, and they did not experience any changes with seasons.
Regarding O 3 , the concentrations of this gas were higher than O 3 concentrations in San Basilio (e.g., 58.9 μ g·m 3 annual O 3 average concentration in Valle in 2021 compared to 50.7 μ g·m 3 in San Basilio in the same year). It is interesting to note that the concentrations of O 3 increased from March 2020, and they remained systematically higher than in the period 2016–2019 until the end of the year. This is the same behavior that was observed in other locations around the world, which led to the conclusion that ozone production is VOC-controlled, given the reduction in NO and NO 2 concentrations during 2020 at this location.

3.5. Air Quality in Caravaca (Rural)

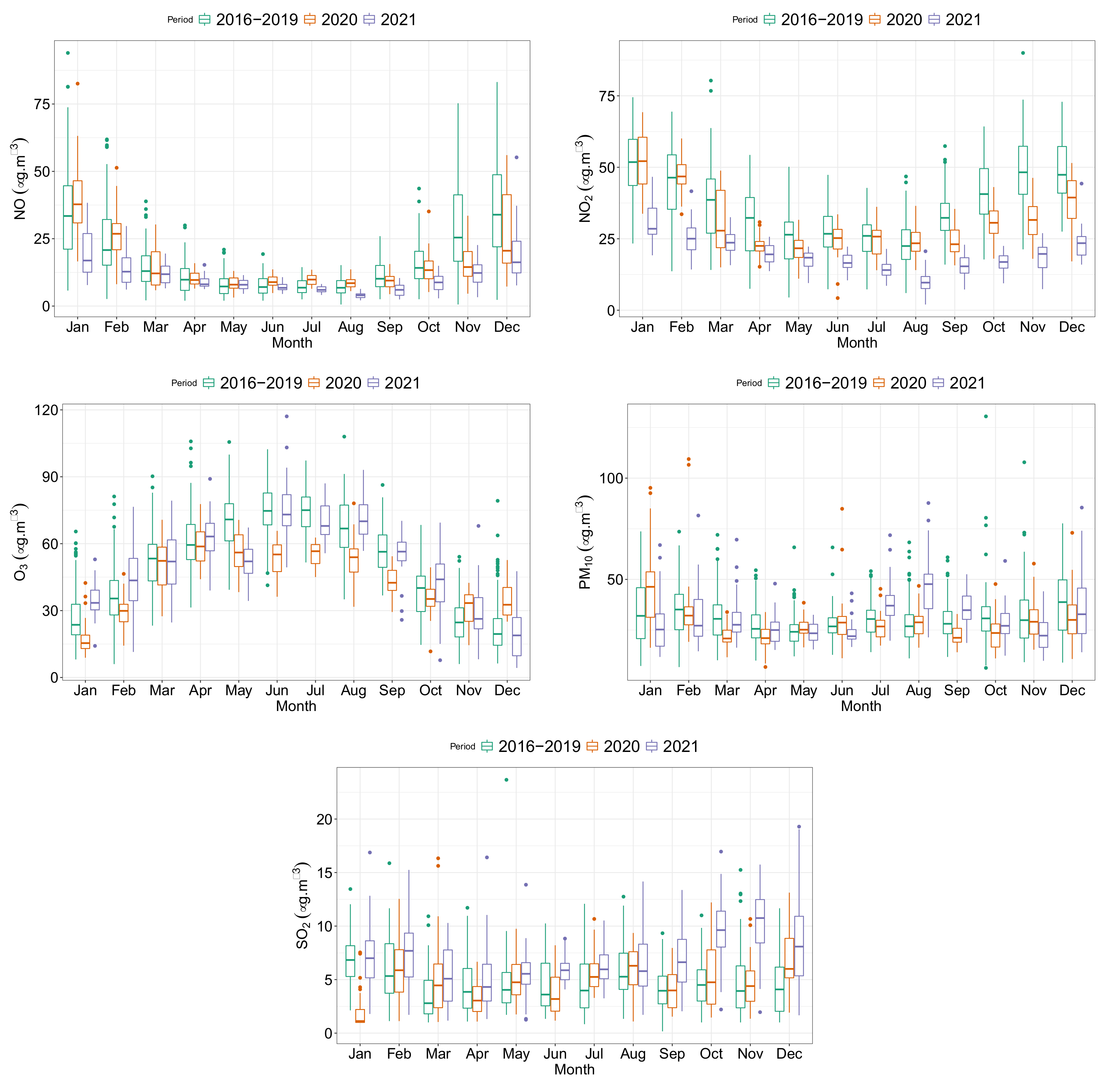
In Caravaca, the concentrations of NO and NO 2 were quite low (maximum daily average NO and NO 2 concentrations of 7.83 and 19.04 μ g·m 3 in 2016, respectively) compared to the other two locations of this study (Figure 9). No significant differences were observed in NO 2 concentrations in the period of 2016–2019 and 2020. From February to May 2021, however, the concentrations of NO 2 were slightly lower than those in 2020, rising again in June to reach the levels of previous years. With regard to NO, the concentrations of this gas were minimal from March 2020 until March 2021 when the concentrations started to rise (Figure 10), but they still remained very low (maximum daily average concentration of 5.04 μ g·m 3 ). The variability of the concentrations in the period of 2016–2019 was high due to the significantly higher concentrations registered in 2016.
Figure 9. Evolution of the daily concentrations of NO, NO 2 , O 3 , and PM 10 at the Caravaca station.
Figure 10. Box and whiskers plots of the daily concentrations of NO, NO 2 , O 3 , and PM 10 at the Caravaca station. The bottom and top of the box represent the first and the third quartiles, respectively; the horizontal line in the box represents the median; dots are the outliers; whiskers are the lowest and highest values, excluding the outliers.
No significant changes in PM 10 concentrations were registered in the three studied periods, except for November 2020, when the concentrations were higher than in previous and later years. The fact that PM 10 concentrations have not experienced significant changes at any of the stations during the six-year period of this study may indicate that the more serious problems related to particles do not have an anthropogenic origin, but are mainly originated by episodes of Saharan dust intrusions.
Regarding O 3 , the annual average concentrations at this station were higher than those registered in San Basilio and Valle. The lowest concentrations of O 3 in Caravaca occurred in the warmer months of 2020 (May to August). It is interesting to note that the typical annual trend of O 3 concentrations was lost in 2020 and 2021 (Figure 9). In 2020, after a period of two weeks in August without data, measurements increased until the end of the year. In 2021, the highest concentrations were measured in January, and they steadily decreased along the year.
In Table 1, a summary of the number of exceedances of the O 3 target value for the protection of human health from 2016 to 2021 is presented. Interestingly, the number of days per calendar year that exceeded the target value of 120 μ g·m 3 in Caravaca decreased from 2016 to 2021. Thus, in the last two three-year periods, there was compliance with the target value. San Basilio is the station that registered the highest number of days with exceedances in 2021. This is noteworthy because the previous year did not have any exceedances. Again, this was due to the VOC-limited regime at this site and the decrease in NO and NO 2 concentrations in 2021. Still, the target value for the protection of human health was met at this location in all three-year studied periods. In Valle, there was an increase in the number of days with a maximum daily eight-hour average higher than 120 μ g·m 3 in 2020, due to the reduction of NO and NO 2 concentrations, but the target value for the protection of human health was not exceeded.
Table 1. Number of days per calendar year and number of days averaged over three years with a maximum daily eight-hour running average higher than the ozone threshold of 120 μ g·m 3 .

4. Discussion

Weather conditions, together with emissions, are two of the most important factors that determine the concentrations of pollutants in air [,,,]. In fact, it is common that, in a scenario with more or less constant emissions, exceedances of critical levels occur due to highly stable atmospheric conditions, which inhibit the dispersion of pollutants. Situations of high atmospheric stability can occur during several consecutive days, originating the accumulation of pollutants and the subsequent detrimental effects for human health. When studying the causes for high pollution episodes in an area, meteorological conditions in the day or days of the episode are studied in depth, and they are usually the underlying cause for the exceedances (e.g., [,,]).
In the present study, differences in the concentrations of target pollutants in different years were studied. Meteorological conditions have to be taken into consideration, as they may be the cause of the observed differences. However, with the available information and the time frame of this study, this needs to be performed on a global basis. For this purpose, hourly data of meteorological parameters were analyzed and compared for each year, month by month. From this analysis, we can state that temperature, RH, and wind speed and direction followed similar patterns during the studied years in each location, with some minor differences (e.g., in the dominant directions of wind in Valle (from NE in 2016 to 2019 to NNE and N in 2020 and 2021) and in the wind speed in Caravaca in 2016). The prevailing wind directions in Valle (NE and NNE) favor the transport of the industrial complex’s emissions to the sea, although some of these emissions could return with the sea breeze through the southwest coast []. In San Basilio and Caravaca, the prevailing wind direction is not as evident. In the first location, although winds from WNW are common, the transport of emissions from this direction to the southeast coast is not likely due to the mountain chain located at the south of Murcia City (blue area next to Murcia Ciudad in Figure 1), and the preferred wind pathway seems to be through the valleys of Segura and Guadalentín (i.e., through the long and narrow area, called Centro, in Figure 1). In Caravaca, easterly component winds may bring aged air masses to this station from Murcia and Alicante (a medium-sized city in the bordering province) [].
Monthly median temperatures did not experience significant differences over the years. RH experienced the highest daily variability and so did the monthly averages. There were some months significantly more humid or dryer than others (e.g., October and December 2016 in Valle or March 2018 in San Basilio).
The mentioned differences and others related to the type of atmospheric stability have an important role in determining the ambient concentrations of target species. In fact, although it seems there were no significant differences in temperature, wind speed and direction, and RH patterns in the studied periods, other meteorological parameters not included in this study, such as rainfall or solar radiation, may be responsible for some of the differences observed in air pollutant concentrations in 2021 with respect to previous years. Moreover, we did not have access to atmospheric stability conditions, which ultimately determine if air pollutants will disperse or, on the contrary, accumulate.
In an attempt to minimize the contribution of meteorological parameters to the differences observed when comparing concentrations in different years, the analysis of the concentrations was carried out for 2020 and 2021 with respect to the entire period from 2016 to 2019. Comparing daily measurements by month in a five-year period helps reduce the uncertainty of the weather’s contribution to the concentrations of the pollutants in the air. Similar approaches to this have been extensively used to study the impact of global lockdowns on air quality [,,,,,,]. However, even with this approach, meteorological conditions cannot be excluded as responsible for the observed differences.
An alternative hypothesis that could explain the observed differences, especially the lower concentrations of NO and NO 2 in San Basilio in 2021, despite the increase in traffic intensity, is the gradual renovation of the vehicle fleet in favor of more sustainable choices. In order to test this hypothesis, data on new vehicle registrations in Spain grouped by type of motor and on the composition of the vehicle fleet of Región de Murcia were gathered.
Whereas in 2017, the percentage of electric cars (including hybrids) in the new registrations was lower than 8%, in 2021, it was 37.3%, with hybrid electric vehicles as the category with the highest number of registrations (Figure 11). The trend was quite clear for diesel cars as well, as their registrations were steadily decreasing every year. Petrol cars showed a different trend, but with the new European deal to ban combustion engines, it is expected that their sales will drop as well. The increase of electric vehicles, however, is mainly due to an increase in hybrid electric vehicles, as battery electric vehicles and plug-in hybrid vehicles are still minority options. This trend is expected to change in the future, since all vehicles using combustion engines, including hybrid ones, will be banned for sale from 2035 in Europe [].
Figure 11. Total vehicle registrations (left) and electric vehicle registrations (right) according to the category during the period of 2017–2021 in Spain. The percentages of registrations of each type of vehicle were obtained for each year. Source: Dirección General de Tráfico, Spain.
When the weight of greener vehicles (EV, HEV, natural gas, and LPG) is computed in the vehicle fleet of Región de Murcia, their share turns out to be negligible (<0.5%) (“Other” category in Figure 12). The percentage of these vehicles is slowly increasing year after year, as well as the percentage of petrol and diesel ones and the total number of vehicles. Thus, it seems it will take a few years to start noticing the positive effects of electric cars and the new European deal on the air we breathe.
Figure 12. Total number of vehicles according to the category during the period of 2017–2021 in circulation in the Region of Murcia. The percentages of each type of vehicle were obtained for each year. Source: Dirección General de Tráfico, Spain.
At the industrial station in this study (Valle), there was also a noticeable decrease in NO and NO 2 concentrations in 2020. In 2021, NO was still quite low, but there was an increase in NO 2 , although its concentrations were still lower than in the period of 2016–2019. These changes reflect how the pandemic impacted this industrial site during 2020 and how the economic recovery experienced during 2021 translated into higher pollutant concentrations in the air. In any case, NO and NO 2 concentrations at this industrial site were below the concentrations measured in San Basilio (urban). In Caravaca (rural), NO and NO 2 concentrations were very low. NO 2 did not show significant differences in 2020 with respect to previous years, but NO did decrease from March 2020 to February 2021, when it reached minimum monthly average concentrations of 3 μ g·m 3 .
Other primary pollutants measured, i.e., PM 10 and SO 2 , did not experience significant changes over the studied period (with the exception of SO 2 in San Basilio, which was not measured). This brings to light emission sources of these pollutants different from road traffic in Valle and Caravaca (in the latter one only for PM 10 ).
The issue of lower concentrations of NO and NO 2 is the higher concentrations of O 3 in those locations with O 3 production regimes governed by VOCs. This seems to be the case of San Basilio and Valle and many other locations reported in the literature [,,,,,]. In fact, the number of days when the 120 μ g·m 3 threshold was exceeded was higher in the years with lower NO and NO 2 concentrations. Urban sites, like San Basilio, usually present VOC-limited regimes, where local precursor emissions are more important than regional and global contributions in terms of O 3 build-up. In San Basilio, emissions are dominated by nitrogen oxides (emitted by combustion vehicles), which act both as a precursor (NO 2 ) and a sink (NO) for O 3 . VOC sources in cities are mainly linked to vehicle emissions [,]. This is especially true for San Basilio with no forested areas in the surroundings that can act both as VOC sources and O 3 sinks []. In the case of Valle, an industrial site located in a valley that meets the sea and that is surrounded by mountains, nitrogen oxides’ emissions come primarily from the industrial activity of the complex. VOCs’ main contributions are emitted from the petrol refinery and multiple fuel tanks. The vegetation of the surrounding area, low shrubs from different species typical of semiarid climates, also contribute to VOC concentrations, especially in summer, when the temperature is higher []. Biogenic VOC emissions in the area are expected to follow a similar seasonal trend along the years, so no changes in their emission rates are expected from year to year. The petrol refinery continued working during the lockdown periods, so no significant changes in anthropogenic VOC emissions were expected in the area. In these conditions, the reduction in NO and NO 2 concentrations was translated into higher O 3 concentrations, which supports a VOC-limited regime in this location.
Rural locations like Caravaca usually present high concentrations of O 3 despite their low concentrations of NO and NO 2 . Concentrations of O 3 measured in this location manly come from photochemical reactions that air masses with NO x emitted in other locations experience. Thus, in this location, the regional and global contributions are more important than the local one []. In fact, O 3 concentration daily peaks in Caravaca are delayed by two hours from San Basilio [], which reveals a regional transport of O 3 into Caravaca.
Due to the important contribution of long-range transport, the regime of O 3 production in Caravaca is not as clear as in the other two locations, and it appears to transition from warmer to colder months. Due to the low concentrations of NO and NO 2 , a NO x -limited regime is expected, as is usually the case in clean rural areas. However, the lower concentrations of NO in Caravaca from March 2020 to December 2020 translated into lower concentrations of O 3 only from April to August (average monthly concentrations ranging from 45 to 67 μ g·m 3 ), but from September 2020, there was a steep increase in O 3 concentrations until the end of the year, reaching average monthly concentrations of 87 μ g·m 3 even though there were no changes in the average monthly concentrations of NO and NO 2 . This indicates that Caravaca may present a NO x -limited regime during the warmer months that transitions to a VOC-limited regime in autumn and winter. Seasonal transitions of O 3 production regimes have been previously reported in the literature [,] and are due to changes in UV radiation, humidity, and isoprene emissions.
To check if the trends in the observed concentration changes are consistent, the comparison carried out in this study should be completed with more data from the years following 2021. Future studies would overcome the limitations of the present one, if specific data on road emissions in the locations of the study are considered. An in-depth examination of situations of high atmospheric stability in the years of the study would definitively inform about the extent of the influence of climatic factors.
Lastly, we provide a final remark on personal exposure to air pollutants. Whereas we must aim at improving outdoor air quality, indoor air quality (IAQ) must not be neglected, as we usually spend more time indoors than outdoors. In fact, people spend on average 90% of their time indoors, where concentrations of some pollutants are 2- to 5-times higher than their outdoor concentrations [,]. Indoor combustion sources, cleaning products, paints, insecticides, and building materials are the most-common sources of indoor pollutants. Indoor environmental quality (IEQ) is a broader term that encompasses IAQ, visual comfort, thermal conditions, and acoustics, and it aims at rating the well-being of the occupants of a building []. Although more attention has lately been paid to IAQ and IEQ, there is a lack of legislation in the EU on this matter. The American Society of Heating, Refrigerating and Air-Conditioning Engineers (ASHRAE) has published several standards that give guidance on ventilation and acceptable indoor air quality (Standards 62.1 [] and 62.2 []) or on high-performance green buildings (Standard 189.1 []). There are also European standards that aim at assessing indoor environmental quality, such as EN 16516 [] on the release of dangerous substances from construction products or EN 16000-19 [] on the sampling strategy for molds. In any case, population should be aware of the risks of indoor air pollution and ventilate their places regularly, avoid smoking indoors, and, ideally, use air purifiers, among other practices.

5. Conclusions

In this paper, three air quality monitoring stations located in three different environments (urban, industrial, and rural) were selected for analyzing the concentrations of NO, NO 2 , O 3 , PM 10 , and SO 2 during the period from January 2016 to December 2021, with the aim of assessing the air quality in the new normal after the COVID-19 pandemic. Temperature, wind speed and direction, and RH were also analyzed in the studied period, and although, globally, they did not show important variations, meteorological factors were likely to be responsible for the changes in concentrations observed, especially at the urban station, regarding decreases in NO and NO 2 .
The analysis of the traffic intensity in 2021 revealed that the behavioral changes motivated by the COVID-19 pandemic seemed to have reverted to pre-COVID habits, as traffic intensity was back to the pre-2020 levels. Although the registration of more sustainable vehicles is on the rise and it surpassed petrol and diesel vehicles sales in 2021, their share of the vehicle fleet of Región de Murcia is still negligible (<0.5%). It will take a few years before an improvement in air quality is observed due to greener vehicles. In this regard, policies such as the new EU deal to ban combustion engines and others that encourage EVs over the former ones will help accelerate this change. Special attention should also be given to indoor air pollution. Competent authorities should inform about IAQ risks and provide good practices to reduce exposure to indoor air pollutants.

Author Contributions

Conceptualization, M.D.-M. and M.C.B.; methodology, M.C.B.; software, M.C.B.; validation, M.D.-M. and M.C.B.; formal analysis, M.C.B.; resources, M.D.-M.; data curation, M.C.B.; writing—original draft preparation, M.D.-M.; writing—review and editing, M.D.-M. and M.C.B. All authors have read and agreed to the published version of the manuscript.

Funding

This research received no external funding.

Institutional Review Board Statement

Not applicable.

Data Availability Statement

The datasets generated and/or analyzed during this study are available from the corresponding author upon reasonable request.

Conflicts of Interest

The authors declare no conflict of interest.

Abbreviations

The following abbreviations are used in this manuscript:
AQMS Air quality monitoring station
BEVBattery electric vehicle
EREVExtended-range electric vehicle
EUEuropean Union
EVElectric vehicle
HEVHybrid electric vehicle
IAQIndoor air quality
IEQIndoor environmental quality
LPGLiquefied petroleum gas
RHRelative humidity
PMParticulate matter
PHEVPlug-in hybrid electric vehicle
VOCVolatile organic compound

References

  1. Pan, S.; Jung, J.; Li, Z.; Hou, X.; Roy, A.; Choi, Y.; Gao, H.O. Air Quality Implications of COVID-19 in California. Sustainability 2020, 12, 7067. [Google Scholar] [CrossRef]
  2. Ming, W.; Zhou, Z.; Ai, H.; Bi, H.; Zhong, Y. COVID-19 and Air Quality: Evidence from China. Emerg. Mark. Financ. Trade 2020, 56, 2422–2442. [Google Scholar] [CrossRef]
  3. Sharma, S.; Zhang, M.; Anshika; Gao, J.; Zhang, H.; Kota, S.H. Effect of Restricted Emissions during COVID-19 on Air Quality in India. Sci. Total Environ. 2020, 728, 138878. [Google Scholar] [CrossRef] [PubMed]
  4. Baldasano, J.M. COVID-19 Lockdown Effects on Air Quality by NO2 in the Cities of Barcelona and Madrid (Spain). Sci. Total Environ. 2020, 741, 140353. [Google Scholar] [CrossRef] [PubMed]
  5. Xu, K.; Cui, K.; Young, L.H.; Wang, Y.F.; Hsieh, Y.K.; Wan, S.; Zhang, J. Air Quality Index, Indicatory Air Pollutants and Impact of COVID-19 Event on the Air Quality near Central China. Aerosol Air Qual. Res. 2020, 20, 1204–1221. [Google Scholar] [CrossRef]
  6. Torkmahalleh, M.A.; Akhmetvaliyeva, Z.; Omran, A.D.; Omran, F.F.D.; Kazemitabar, M.; Naseri, M.; Naseri, M.; Sharifi, H.; Malekipirbazari, M.; Adotey, E.K.; et al. Global Air Quality and COVID-19 Pandemic: Do we Breathe Cleaner Air? Aerosol Air Qual. Res. 2021, 21, 200567. [Google Scholar] [CrossRef]
  7. Nakada, L.Y.K.; Urban, R.C. COVID-19 Pandemic: Impacts on the Air Quality during the Partial Lockdown in São Paulo State, Brazil. Sci. Total Environ. 2020, 730, 139087. [Google Scholar] [CrossRef]
  8. Collivignarelli, M.C.; Abbà, A.; Bertanza, G.; Pedrazzani, R.; Ricciardi, P.; Carnevale Miino, M. Lockdown for CoViD-2019 in Milan: What are the Effects on Air Quality? Sci. Total Environ. 2020, 732, 139280. [Google Scholar] [CrossRef]
  9. Christidis, P.; Christodoulou, A.; Navajas-Cawood, E.; Ciuffo, B. The Post-Pandemic Recovery of Transport Activity: Emerging Mobility Patterns and Repercussions on Future Evolution. Sustainability 2021, 13, 6359. [Google Scholar] [CrossRef]
  10. Gaffney, A.W. Trends and Disparities in Teleworking During the COVID-19 Pandemic in the USA: May 2020–February 2021. J. Gen. Intern. Med. 2021, 36, 3647–3649. [Google Scholar] [CrossRef]
  11. Okubo, T. Telework in the Spread of COVID-19. Inf. Econ. Policy 2022, 60, 100987. [Google Scholar] [CrossRef]
  12. Echaniz, E.; Rodríguez, A.; Cordera, R.; Benavente, J.; Alonso, B.; Sañudo, R. Behavioural Changes in Transport and Future Repercussions of the COVID-19 Outbreak in Spain. Transp. Policy 2021, 111, 38–52. [Google Scholar] [CrossRef]
  13. Molloy, J.; Schatzmann, T.; Schoeman, B.; Tchervenkov, C.; Hintermann, B.; Axhausen, K.W. Observed Impacts of the Covid-19 First Wave on Travel Behaviour in Switzerland based on a Large GPS Panel. Transp. Policy 2021, 104, 43–51. [Google Scholar] [CrossRef]
  14. Dingil, A.E.; Esztergár-Kiss, D. The Influence of the Covid-19 Pandemic on Mobility Patterns: The First Wave’s Results. Transp. Lett. 2021, 13, 434–446. [Google Scholar] [CrossRef]
  15. European Environment Agency. New Registrations of Electric Vehicles in Europe. Available online: https://www.eea.europa.eu/ims/new-registrations-of-electric-vehicles (accessed on 20 October 2022).
  16. IEA. Global EV Outlook 2022. 2022. Available online: https://www.iea.org/reports/global-ev-outlook-2022 (accessed on 20 October 2022).
  17. European Automobile Manufacturers’ Association. Fuel Types of New Cars: 2020 and 2021. Available online: https://www.acea.auto/fuel-pc/fuel-types-of-new-cars-battery-electric-9-1-hybrid-19-6-and-petrol-40-0-market-share-full-year-2021/ (accessed on 20 October 2022).
  18. European Union. Directive 2008/50/EC of the European Parliament and of the Council of 21 May 2008 on Ambient Air Quality and Cleaner Air for Europe. 2008. Available online: https://eur-lex.europa.eu/legal-content/EN/TXT/PDF/?uri=CELEX:32008L0050&from=en (accessed on 30 November 2022).
  19. R Core Team. R: A Language and Environment for Statistical Computing; R Foundation for Statistical Computing: Vienna, Austria, 2022. [Google Scholar]
  20. Wickham, H.; Averick, M.; Bryan, J.; Chang, W.; McGowan, L.D.; François, R.; Grolemund, G.; Hayes, A.; Henry, L.; Hester, J.; et al. Welcome to the tidyverse. J. Open Source Softw. 2019, 4, 1686. [Google Scholar] [CrossRef]
  21. Wickham, H. Tidy Data. J. Stat. Softw. 2014, 59, 1–23. [Google Scholar] [CrossRef]
  22. Red Eléctrica Española. El Sistema Eléctrico Español: 2020. 2021. Available online: https://www.ree.es/es//publicaciones/informe-anual-sistema/informe-del-sistema-electrico-espanol-2020 (accessed on 20 October 2022).
  23. Red Eléctrica Española. El Sistema Eléctrico Español: 2021. 2022. Available online: https://www.sistemaelectrico-ree.es/sites/default/files/2022-08/InformeSistemaElectrico_2021.pdf (accessed on 1 January 2023).
  24. Elminir, H.K. Dependence of Urban Air Pollutants on Meteorology. Sci. Total Environ. 2005, 350, 225–237. [Google Scholar] [CrossRef]
  25. Millán, M.; Salvador, R.; Mantilla, E.; Artnano, B. Meteorology and Photochemical Air Pollution in Southern Europe: Experimental Results from EC Research Projects. Atmos. Environ. 1996, 30, 1909–1924. [Google Scholar] [CrossRef]
  26. Li, L.; Qian, J.; Ou, C.Q.; Zhou, Y.X.; Guo, C.; Guo, Y. Spatial and Temporal Analysis of Air Pollution Index and its Timescale-dependent relationship with Meteorological Factors in Guangzhou, China, 2001–2011. Environ. Pollut. 2014, 190, 75–81. [Google Scholar] [CrossRef]
  27. Zhang, H.; Wang, Y.; Hu, J.; Ying, Q.; Hu, X.M. Relationships between Meteorological Parameters and Criteria Air Pollutants in three Megacities in China. Environ. Res. 2015, 140, 242–254. [Google Scholar] [CrossRef]
  28. Pay, M.T.; Gangoiti, G.; Guevara, M.; Napelenok, S.; Querol, X.; Jorba, O.; Pérez García-Pando, C. Ozone Source Apportionment during Peak Summer Events over Southwestern Europe. Atmos. Chem. Phys. 2019, 19, 5467–5494. [Google Scholar] [CrossRef] [PubMed]
  29. Kukkonen, J.; Pohjola, M.; S Sokhi, R.; Luhana, L.; Kitwiroon, N.; Fragkou, L.; Rantamäki, M.; Berge, E.; Ødegaard, V.; Håvard Slørdal, L.; et al. Analysis and Evaluation of Selected Local-scale PM10 Air Pollution Episodes in four European Cities: Helsinki, London, Milan and Oslo. Atmos. Environ. 2005, 39, 2759–2773. [Google Scholar] [CrossRef]
  30. Juda-Rezler, K.; Reizer, M.; Oudinet, J.P. Determination and Analysis of PM10 Source Apportionment during Episodes of Air Pollution in Central Eastern European Urban Areas: The Case of Wintertime 2006. Atmos. Environ. 2011, 45, 6557–6566. [Google Scholar] [CrossRef]
  31. Diéguez, J.J.; Calatayud, V. Análisis de los Niveles de Ozono Troposférico en la Región de Murcia. 2019. Available online: https://sinqlair.carm.es/calidadaire/documentos/documentacion/InformeOzonoMurcia.pdf (accessed on 16 December 2022).
  32. Naeem, W.; Kim, J.; Lee, Y.G. Spatiotemporal Variations in the Air Pollutant NO2 in Some Regions of Pakistan, India, China, and Korea, before and after COVID-19, based on Ozone Monitoring Instrument Data. Atmosphere 2022, 13, 986. [Google Scholar] [CrossRef]
  33. Dantas, G.; Siciliano, B.; França, B.B.; da Silva, C.M.; Arbilla, G. The Impact of COVID-19 Partial Lockdown on the Air Quality of the City of Rio de Janeiro, Brazil. Sci. Total Environ. 2020, 729, 139085. [Google Scholar] [CrossRef] [PubMed]
  34. Gama, C.; Relvas, H.; Lopes, M.; Monteiro, A. The Impact of COVID-19 on Air Quality Levels in Portugal: A Way to Assess Traffic Contribution. Environ. Res. 2021, 193, 110515. [Google Scholar] [CrossRef]
  35. Benchrif, A.; Wheida, A.; Tahri, M.; Shubbar, R.M.; Biswas, B. Air Quality during three Covid-19 Lockdown Phases: AQI, PM2.5 and NO2 Assessment in Cities with more than 1 Million Inhabitants. Sustain. Cities Soc. 2021, 74, 103170. [Google Scholar] [CrossRef]
  36. Jacob, D.; Stowe, S.; Babarinde, I.; Sharma, A.; Christopher, A.; Vilcassim, M.J.R. The Impact of COVID-19 Related Changes on Air Quality in Birmingham, Alabama, United States. Int. J. Environ. Res. Public Health 2022, 19, 3168. [Google Scholar] [CrossRef]
  37. Habibi, H.; Awal, R.; Fares, A.; Ghahremannejad, M. COVID-19 and the Improvement of the Global Air Quality: The Bright Side of a Pandemic. Atmosphere 2020, 11, 1279. [Google Scholar] [CrossRef]
  38. European Parliament. EU Ban on the Sale of New Petrol and Diesel Cars from 2035 Explained. 2022. Available online: https://www.europarl.europa.eu/news/en/headlines/economy/20221019STO44572/eu-ban-on-sale-of-new-petrol-and-diesel-cars-from-2035-explained (accessed on 16 December 2022).
  39. Zhang, H.; Wang, X.; Shen, X.; Li, X.; Wu, B.; Chen, W.; Yao, Z. Analysis of Air pollution Characteristics, Transport Pathways and Potential Source Areas Identification in Beijing before, during and after the COVID-19 Outbreak. Front. Environ. Sci. 2022, 10, 982566. [Google Scholar] [CrossRef]
  40. Le, T.; Wang, Y.; Liu, L.; Yang, J.; Yung, Y.L.; Li, G.; Seinfeld, J.H. Unexpected Air Pollution with Marked Emission Reductions during the COVID-19 Outbreak in China. Science 2020, 369, 702–706. [Google Scholar] [CrossRef]
  41. Mohamed, M.F.; Kang, D.; Aneja, V.P. Volatile Organic Compounds in some Urban Locations in United States. Chemosphere 2002, 47, 863–882. [Google Scholar] [CrossRef]
  42. Lee, S.; Chiu, M.; Ho, K.; Zou, S.; Wang, X. Volatile Organic Compounds (VOCs) in Urban Atmosphere of Hong Kong. Chemosphere 2002, 48, 375–382. [Google Scholar] [CrossRef]
  43. Kašpar, V.; Zapletal, M.; Samec, P.; Komárek, J.; Bílek, J.; Juráň, S. Unmanned Aerial Systems for Modelling Air Pollution Removal by Urban Greenery. Urban For. Urban Green. 2022, 78, 127757. [Google Scholar] [CrossRef]
  44. Owen, S.M.; Boissard, C.; Hewitt, C. Volatile Organic Compounds (VOCs) Emitted from 40 Mediterranean Plant Species:: VOC Speciation and Extrapolation to Habitat Scale. Atmos. Environ. 2001, 35, 5393–5409. [Google Scholar] [CrossRef]
  45. Lu, H.; Lyu, X.; Cheng, H.; Ling, Z.; Guo, H. Overview on the Spatial–Temporal Characteristics of the Ozone Formation Regime in China. Environ. Sci. Process. Impacts 2019, 21, 916–929. [Google Scholar] [CrossRef]
  46. Jacob, D.J.; Horowitz, L.W.; Munger, J.W.; Heikes, B.G.; Dickerson, R.R.; Artz, R.S.; Keene, W.C. Seasonal Transition from NOx- to Hydrocarbon-Limited Conditions for Ozone Production over the Eastern United States in September. J. Geophys. Res. Atmos. 1995, 100, 9315–9324. [Google Scholar] [CrossRef]
  47. Environmental Protection Agency. Indoor Air Quality. 2021. Available online: https://www.epa.gov/report-environment/indoor-air-quality (accessed on 1 January 2023).
  48. Sarbu, I.; Sebarchievici, C. Aspects of indoor environmental quality assessment in buildings. Energy Build. 2013, 60, 410–419. [Google Scholar] [CrossRef]
  49. Mujan, I.; Anđelković, A.S.; Munćan, V.; Kljajić, M.; Ružić, D. Influence of indoor environmental quality on human health and productivity—A review. J. Clean. Prod. 2019, 217, 646–657. [Google Scholar] [CrossRef]
  50. ANSI/ASHRAE Standard 62.1-2022; Ventilation and Acceptable Indoor Air Quality. ASHRAE: Atlanta, GA, USA, 2022.
  51. ANSI/ASHRAE Standard 62.2-2022; Ventilation and Acceptable Indoor Air Quality in Residential Buildings. ASHRAE: Atlanta, GA, USA, 2022.
  52. ANSI/ASHRAE Standard 189.1-2020; Standard for the Design of High-Performance Green Buildings. ASHRAE: Atlanta, GA, USA, 2020.
  53. EN 16516:2017+A1:2020; Construction Products: Assessment of Release of Dangerous Substances—Determination of Emissions of into Indoor Air. CEN: Brussels, Belgium, 2020.
  54. EN ISO 16000-19; Indoor Air—Part 19: Sampling Strategy for Molds (ISO 16000-19:2012). CEN: Brussels, Belgium, 2014.
Disclaimer/Publisher’s Note: The statements, opinions and data contained in all publications are solely those of the individual author(s) and contributor(s) and not of MDPI and/or the editor(s). MDPI and/or the editor(s) disclaim responsibility for any injury to people or property resulting from any ideas, methods, instructions or products referred to in the content.

Article Metrics

Citations

Article Access Statistics

Multiple requests from the same IP address are counted as one view.