Abstract
Aerobiological monitoring is a crucial tool for human and environmental health. Real-time bioaerosol samplers are major innovative techniques for aerobiological monitoring. In this study, we evaluate the use of a real-time bioaerosol sampler to monitor the exposure in an indoor occupational environment. We used a WIBS-NEO sampler, continuously operating during working and non-working days. The fluorescent particles were 16.5% of the total, identifiable as bioparticles. There was a significant difference between working and non-working days regarding bioparticles (+19% on average), especially in the morning (+91% on average), the part of the day mostly associated to worker presence. In working days, there is a difference between working and non-working-hours, reinforced by a strong correlation between the time of occupation of the room and the number of particles identified as pollen and fungal spores (R2 = 0.741, p < 0.01). The bacterial component does not seem to be influenced by the presence of workers; however, it follows the general distribution of bioparticles. Our results indicate the reliability of the real-time instrument for the monitoring of different biocomponents, and the role of workers in the distribution of some types of bioaerosol particles, like pollen and fungal spores, which can have several health impacts, such as allergies.
1. Introduction
In the last years, the science of aerobiology has assumed great importance for its application in the fields of ecological and human health [,,,,,]. From the so-called “aeroconiscope” in 1870 [] and the automatic system realized by Blackley [], pollen and fungal spores’ biomonitoring techniques have made great progress. The recent methodologies based on automatic, molecular, and omics principles [,,,,,] have achieved high levels of automatization and reliability, permitting more accurate and precise evaluation of sources of exposure and health effects.
Pollen grains are biological particles able to interact with chemical agents [,,,]. This characteristic may particularly increase the allergenicity of pollen in urban areas with respect to less urbanized or rural zones [,]. An increasingly accurate biochemical characterization of pollen can help to increase the understanding of the physiological mechanisms of allergies, also aimed at identifying new biomarkers of effects. In particular, metabolomics applied on biological matrices as serum and urine of individuals [,,,] is expected to be useful to identify different profiles of metabolites associated to different allergies toward different pollen types with different allergenicity.
Levels of airborne pollen are affected by climate change and other environmental variables [,,,]. Their identification permits us to realize the aerobiological bulletin that represent a valid tool mostly for sensitized individuals [,,]. Traditionally, the aerobiological monitoring of pollen has been performed in outdoor environments as climate, seasonality and health of general population. In addition, aerobiological monitoring conducted in indoor workplaces plays a key role, allowing a better evaluation of the relationships between the bioparticles and environmental parameters, such as air temperature (Tair), relative humidity (RH), wind speed (WS), and both the presence and actions of occupants. Moreover, it allows comparisons of the indoor aerosol between working days (WDs) and non-working days (NWDs), as well as between working hours (WHs) and non-working hours (NWHs) [,,,,].
Together with the pollen component, widely spread in bioaerosols, it is necessary to consider the microbial component, consisting of fungal spores, bacteria and viruses. For this reason, recent studies use the definition PBAPs (primary biological aerosol particles), which summarizes all the categories of airborne biological particles []. For example, fungal spores represent a significant component of organic matter within the air. Allergic sensitization to fungi is associated with several conditions including allergic fungal airway diseases. For fungal spores as for pollen, meteorological variables, predominantly temperature, precipitation and relative humidity, are the main factors associated with seasonality. In addition, exposure to bacterial bioaerosols can cause a wide range of complications such as inflammation and irritation of the upper and lower respiratory tract, and can be involved in allergic reactions, especially in susceptible individuals [,].
Starting from these assumptions, innovative real-time methodologies may contribute to expand the knowledge on types and concentration levels of several indoor biocontaminants [,,,,,,,,].
The new methodologies can help collect new data regarding bioaerosol, like the one granted by nuclear magnetic resonance (NMR) applied to metabolites extracted from a pollen mixture sampled from the air [], or the use of different types of light-based sensors to identify particles based on their light absorption and emission properties [,].
Real-time samplers grant an automatic collection of data, which can greatly lighten the workload for operators. This kind of samplers, with their online connections to computers, can also provide an early warning for excessive levels of dangerous bioaerosols in delicate environments such as hospitals, schools, but also workplaces []. Especially on workplaces, the fine temporal scale of data that real-time samplers grant can also be a powerful tool to understand how the worker’s activities influence (and are influenced) by bioaerosol levels, and how their exposure to dangerous agents works, to be applied to the safeguard of people on the workplace.
Several real-time bioaerosol samplers have been developed in recent times [] in the search of reliable automatic sensors, based on many different technologies. Some of them are nowadays regularly used to monitor human exposure to some bioaerosols, like the real-time pollen samplers widely spread in Japan [], but similar samplers are only being used for outdoor monitoring in Western countries.
The real-time sensors based on fluorescence spectroscopy make it possible to distinguish bioaerosol particles based optical absorption and emission of certain biomolecules, such as NAD(P)H, tryptophan and tyrosine []. A relevant characteristic of this real-time methodology is the ability to distinguish different bioparticles such as bacteria, fungal spores and pollen [] evaluating their concentration in the air with a fine temporal resolution. This characteristic makes this methodology very powerful in detecting the daily variations of different types of bioaerosols in the air in a monitored area.
Despite the importance of the applications of aerobiological studies regarding human health, especially in occupational settings, being self-evident, there is still limited research published in this field []. Working settings, which are often represented by indoor environments, can include a wide range of bioparticles with potential harmful consequences on human health, such as ocular damage, diseases of the respiratory tract, and cutaneous reactions [,].
The indoor air quality is a peculiar topic as underlined by the WHO global air quality guidelines published on September 2021 by the World Health Organization (WHO) including, among the priorities, the study of multipollutant exposures examining “additive, synergistic or antagonistic effects, including in the presence of pollens or other airborne allergens and improve the methodology in exposure assessment” []. In addition, the recommendations published by European Academy of Allergy and Clinical Immunology (EAACI) on July 2022 evidence that pollen monitoring “might be recommended as a reliable proxy of pollen exposure” [].
In order to perform a complete management of occupational allergy, different aspects as methodologies, evaluation of urbanization, vegetation index, outdoor/indoor and life/work exposures and individual sensitization should be considered in the context of an integrated approach. The methodologies based on real-time and real-life are fundamental tools to evaluate the allergen sources of exposure and the allergic response, respectively [,]. The sources derived by biological exposure should be considered part of the complex mechanisms of allergies and included in risk assessment and management [,,,,].
By focusing on methodologies for automatic evaluation of airborne pollen and spores, our study aims to: (1) monitor the exposure of workers to bioaerosol particles in an indoor environment using a real-time bioaerosol sampler and test its utility in workplaces; (2) evaluate the effects of the presence of workers on the concentration of bioaerosol in the indoor working environment.
The aim of this work is to monitor the variation of the bioparticulate values in a usual working condition, taking into consideration only the variable linked to the presence of the workers and their time spent in the room, using an innovative methodology.
2. Materials and Methods
2.1. Study Area
This study was realized in the Research Center of the Italian Workers’ Compensation Authority (INAIL) in Monte Porzio Catone, just south of Rome (coordinates: 41°49′20″ N; 12°42′25″ E). The center is a research complex made of multiple buildings, located in a rural area with low building coverage. The vegetation is mainly composed of cultivated plants, mainly plantations of olive trees (Olea europaea) and vineyards (Vitis vinifera). In the area there are also large populations of hazel (Corylus avellana) and chestnut woods (Castanea sativa), in addition to prairies, hedges, forests with oak trees, coniferous trees and gardens. The area also includes several sparse trees of Cupressaceae, Pinaceae and other Oleaceae (such as Ligustrum). There is also a remarkable presence of herbaceous, often synanthropic plants like Urticaceae, Plantaginaceae and especially Poaceae, in the surrounding prairies [].
The aerobiological monitoring was performed in an indoor environment, more specifically in a room of the research center. The room is an office with an area of 16 m2 and a total volume of 55 m3, located in the ground floor, with 2 windows on the southwestern wall that communicate with the outdoors, a door on the northeastern wall and an air conditioning system (Figure 1).

Figure 1.
Representative model of the study room. S = sampler, T = table, C = closet, D = door, W = window, A = air conditioner, X = positions usually occupied by workers. The arrow in the bottom left indicates the north.
The experiment was planned classifying the working days (WDs) with the presence of at least one worker and non-working days (NWDs) with absence of workers. During WDs, number of workers and their time spent in the room were recorded. The sampling was realized from 8 December 2021 to 23 December 2021, for a total of 16 days, of which 8 were WDs, and 8 NWDs. A day was considered a WD if the room was occupied by at least one worker, excluding the cleaning of the room. Other potential variables were also recorded, as opening and closing doors and windows and the start of air conditioning system (data not shown).
2.2. Sampling Method and Particle Classification
The sampling was performed using a wideband integrated bioaerosol sensor—new electronics option (WIBS-NEO) by Droplet Measurements Technologies (2400 Trade Centre Avenue, Longmont, CO, USA). The WIBS-NEO actively sampled air by aspirating it through a pump, with a flow of 0.3 L/min. The aerosol particles were recognized through UV-LIF spectrometry. In particular, the air was conveyed in an optical chamber, containing:
- -
- A 635 nm diode laser used for particle sizing and shape detection;
- -
- A quadrant photomultiplier tube used to determine particle shape from forward scattered light;
- -
- A UV xenon lamp emitting light at a wavelength of 280 nm (Xe1);
- -
- A UV xenon lamp emitting light at a wavelength of 370 nm (Xe2);
- -
- A detector channel for particle fluorescence emission from 310–400 nm (FL1);
- -
- A detector channel for particle fluorescence emission from 420–650 nm, particle count and particle size (FL2).
Fluorescence signals of particles obtained by the instrument were classified in different channels, according to [].
- -
- The signal detected by the FL1 detector (310–400 nm) after the excitation at 280 nm was labeled as Channel A;
- -
- The signal detected by the FL2 detector (420–650 nm) after excitation at 280 nm was labeled as Channel B;
- -
- The signal detected by the FL2 detector after excitation at 370 nm was labeled as Channel C.
To associate the particles to the various channels, a threshold value was selected for each channel, based on background fluorescence values of the particles. The background values were selected running the WIBS-NEO in forced trigger mode for 1 min each day. While running in forced trigger mode, the instrument forcibly activates the xenon lamps, emitting light even if no particles are detected, recording several background values for each channel. Consequently, the values for each sampled particle in each channel were considered significant if equal to or higher than the average channel values obtained operating the sampler in forced trigger mode, plus three times the standard deviation [].
Following these criteria, any single particle was identified as belonging to a single channel (A, B, or C) if exceeded the threshold value only in one channel, while it was identified as belonging to more than one channel (AB, AC, BC, ABC) if it exceeded the threshold value in 2 or 3 channels at the same time.
2.3. Data Analysis
Statistical analyzes were performed using SigmaPlot version 11.0. Different statistical methods were performed in this paper:
The Student–Newman–Keuls is a method of multiple comparisons in which the group means are ranked from smallest to largest, and then the statistic that is used to test for a significant difference between a pair of means is computed on the basis of the number of steps between the two means in the rank order. In this case we utilized this statistical method for values the difference between different parts of day and the bioparticles detected in each condition by all fluorescent channels.
Student’s t-Test was performed to compare 2 groups; where the normality test failed, equivalent non-parametric analyzes were performed, such as the Mann–Whitney U test.
The Mann–Whitney U test is used to test whether two samples are likely to derive from the same population (i.e., that the two populations have the same shape). This test can be interpreted as a comparison of the medians between the two populations. The null hypothesis in the Mann–Whitney test is that the two samples are drawn from a single population, and therefore for this reason their probability distributions are equal. In this paper we used this test to verify that the presence of fluorescent particles was statistically different on WDs and NWDs, and between WHs and NWHs.
Multiple linear regression (MLR) is a statistical technique that uses several explanatory variables to predict the outcome of a response variable. The goal of multiple linear regression is a model of linear relationship between the explanatory (independent) variables and the response (dependent) variables. we used this test to verify the relationship between the minutes of occupation of the room and the presence of pollen and spores detected with real-time.
In addition to the channels, the data were organized in WDs and NWDs, and each day was subdivided in hourly sections.
Part of the statistics was performed on a daily basis, but to evaluate the differences in particles distribution in various parts of the day, every day of sampling was also partitioned in 4 parts of 6 h each:
- -
- Night: 0:00–5:59
- -
- Morning: 6:00–11:59
- -
- Afternoon: 12:00–17:59
- -
- Evening: 18:00–23:59
3. Results
3.1. Total and Daily Distribution of Particles
As shown in Table 1, in the 16 days of monitoring, a total of 11,698,648 particles were sampled, 1,937,790 of which were fluorescent, amounting 16.56% of the total number. The day with the lowest number of particles (Table 1) was 11 December 2021, an NWD, with 166,621 total particles, and 26,213 fluorescent particles. The day with the highest number of particles was 20 December 2021, with 1,003,323 total particles, and the day with the highest number of fluorescent particles (198,500) was 18 December 2021, an NWD. Moreover, WDs have a higher mean number of both total particles (799,906 vs. 662,425 per day) and fluorescent particles (131,807 vs. 110,417 per day).

Table 1.
Number of particles sampled in each day.
Considering the daily trend of particle number (Figure 2 and Figure 3), the total number of particles was relatively low in the first 4 days of sampling, with an average number of 339,287, less than half the overall mean of 731,165. A sudden increase can be seen starting from 12 December 2021, more marked in the total count and less in the fluorescent particles, with a gradual decrease in the last 3 days of sampling in both graphs. Focusing on the fluorescent particles (Figure 3), a sequence of 4 days that have an average number of 184,692 can be noticed, notably higher than the total average of fluorescent particles (121,111).

Figure 2.
Number particles (y-axis) for each day of sampling (x-axis).

Figure 3.
Number of fluorescent particles belonging to different channels (y-axis) for each day of sampling (x-axis).
The channels with the lowest number of particles are AB and AC, with a daily average of 994 and 797 respectively. Medium/low number of particles are also related to the A and ABC, with averages of 5612 and 4466. Larger amounts of particles belong to channels B, BC and especially C, with 28,089 and 29,070 and 52,082 average daily particles, respectively.
The same trends are also shown in the daily percentages of channels contribution (Figure 4), with most of the channels being relatively stable, the most variable being BC and ABC.

Figure 4.
Percentage distribution of fluorescent particles in different channels (y-axis) for each day of sampling (x-axis).
3.2. 6-h and 1-h Distributions of Particles
These analyses were based on the subdivision into four 6-h parts of the day: night, morning, afternoon and evening.
The WHs are usually concentrated in the morning and afternoon, while evening and night mostly coincide to NWHs.
The daily trend (Figure 5) shows that the WDs have usually a higher number of particles for both morning and afternoon in comparison to NWDs, with a mean value of 25,522 particles in the morning and 34,397 in the afternoon for WDs vs. 13,353 and 22,837 for NWDs. The average particle count for the evening is higher for NWDs though (55,020 vs. 46,459 of WDs). Considering the percentages of distribution in different channels (Figure 6), WDs tend to present a higher fraction of ABC particles. This trend can also be observed for a couple of NWDs (10–11 December 2021).

Figure 5.
Daily number of fluorescent particles (y-axis), divided into four 6-h ranges (x-axis). Working days (WDs) and non-working days (NWDs) are shown separately.

Figure 6.
Daily percentage of fluorescent particles belonging to different channels (y-axis), divided into four 6-h ranges (x-axis). Working days (WDs) and non-working days (NWDs) are shown separately.
In most days, both WDs and NWDs, the highest number of fluorescent particles was found in the Evening (Figure 5), but with a clear percentage decrease of some channels, namely ABC (Figure 6).
An analysis of variance was performed with pairwise multiple comparison procedures (Student–Newman–Keuls Method) among the 4 parts of the day (Table 2). This analysis showed a significant difference for most of the parts of the day into the different channels, with the exception of the morning vs. afternoon, that has non-significant difference for all the channels.

Table 2.
Results of the analysis of variance (Student–Newman–Keuls Method) between different parts of the days in the number of particles for different channels. The significance threshold is p = 0.05. A result of “No Test” occurs when no significant difference is found between the two rank sums that enclose that comparison.
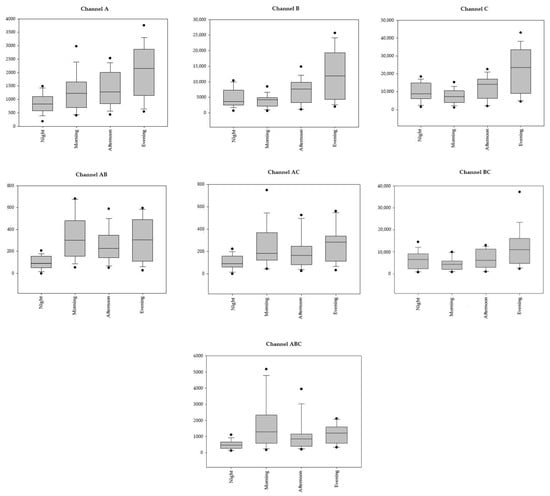
The lowest variability of values can be seen in the night for all channels (Figure 7), with most values not differing much from the mean. Afternoon is also fairly stable for most of the channels, while morning and evening have a high variability.

Figure 7.
Box plots resulting from the analysis of variance between different parts of the days (x-axis), considering each channel. On the y-axis the number of sampled particles for each section of the day is shown.
There is always a significant difference between working and non-working mornings when considering the median of all channels, except for AB (Table 3). Considering the 6-h partitions, there is a significant difference between WDs and NWDs when considering the morning, except in the case of the C channel. The difference between WDs and NWDs Afternoons is significant for only the ABC channel, while for evening and night there is never a significant difference.

Table 3.
Results of the analysis of variance between WDs and NWDs for each channel. Significant results are shown in bold. * Mann-Whitney Rank Sum Test; ** t-test.
Considering the interpretation of the particle type, particles belonging to C, BC and ABC and with a diameter above 10 µm were interpreted as possible pollen grains (whole or fragmented, integer or deformed), particles belonging to the A and AB channels and with a diameter between 2 µm and 10 µm were interpreted as possible fungal spores, while particles belonging to the A channel and a diameter less than 2 µm were interpreted as possible bacteria. This interpretation is based on the observations of Hernandez et al. [].
The daily trend (Figure 8) shows that the concentration of pollen-related and spore-related (that will be mostly referred just as “pollen” and “spores”/“fungal spores” in the following text) particles is clearly higher in WDs, and in particular during the morning and the afternoon, the hours in which the room is occupied by workers.

Figure 8.
Number of minutes of room occupation and number of pollen and fungal spore related particles (y-axis) for each day and each part of the day (x-axis). Working (WDs) and non-working days (NWDs) are shown separately.
This observation is confirmed by the statistics, showing a significant difference between WDs and NWDs regarding the number of spores and pollen (p < 0.001) and also a significant difference between WHs and NWHs (evening + night vs. morning + afternoon) within the WDs (p < 0.001) (Table 4).

Table 4.
WHs and NWHs (evening + night vs. morning + afternoon) inside WDs; WDs vs. NWDs. (Mann-Whitney Rank Sum Test).
A regression analysis (Figure 9) confirmed a significant relation between the number of working minutes, pollen + spores (p < 0.001) and spore concentration (p < 0.001). The number of minutes with respect to pollen were excluded because they are collinear, i.e., highly correlated, so the regression coefficients are unstable.

Figure 9.
Regression analysis (R2 = 0.741) between minutes of occupation of the room and, respectively, pollen + spores (p < 0.001), spores (p < 0.001) and pollen (highly collinear). Degrees of freedom = 31.
The number of bacteria-like particles (which will be mostly referred as “bacteria” in the following text) (Figure 10) does not vary much between WDs and NWDs, with the exception of the first three NWDs. Since the trend of bacteria does not seem to follow the occupation rate, we performed a regression analysis to evaluate the relation between the number of bacteria and the concentration of all the fluorescent particles. The results show a significant correlation (p < 0.001).

Figure 10.
Number of bacteria-related particles (y-axis) for each day and each part of the day (x-axis). Working (WDs) and non-working days (NWDs) are shown separately.
The 1-h distribution of particles (Figure 11) shows in finer detail the changes of particle levels in the air. Typically, the increment of pollen and fungal spores in the room during WDs starts between 7:00 and 9:00 in the morning, which is the time frame in which the workers entered the room in most of the considered days, and it fades after 12:00, in the hours we identified as afternoon. This is in line with the results obtained, considering the 6-h ranges. In NWDs the levels of pollen and fungal spores are always very low. Regarding bacteria, several peaks are present, but they do not differentiate between WDs and NWDs, and between WHs and NWHs.

Figure 11.
Number of pollen grains, fungal spores and bacteria (y-axis) sampled hourly for each day (x-axis); grey lines represent the presence of workers in the room (minutes).
4. Discussion
The results of our study show the applicability of a real-time sampler for the monitoring of an indoor occupational environment.
Some papers monitored fluorescent particles in outdoor environments, linking their trend to atmospheric factors. Recently, one study conducted simultaneously in outdoor and indoor environments has highlighted a greater number of both total and fluorescent particles in indoor environments than outdoors [].
Based on our results, the number of total sampled aerosol particles (including non-fluorescent particles) can vary a lot from day to day, with a trend that does not seem to clearly differentiate WDs and NWDs as shown in Table 1. A similar but not identical trend can be seen in total fluorescent bioaerosol particles, whose total number mostly follows the general aerosol quantity, but with variations among fluorescence channels. This suggests that the total aerosol particle charge may not be influenced by the presence of workers in this particular study area, but could be determined by other factors.
The very low amount of AC particles confirms previous studies [,] in which AC was a very rare channel association found in fluorescent particles, even in outdoor environments. Similarly, low numbers are found for the AB channel, whose percentage of contribution can though increase in particles with a diameter between 2 µm and 10 µm, when they are isolated from the rest. This association of channel and diameters can be related to fungal spores []. The abundance of the C channel has also been observed in previous studies, due to its relation to some types of bioaerosol particles, mainly pollen []. Nevertheless, it is interesting to notice that there were basically no particles with a diameter above 10 µm that had a C fluorescence, and that the pollen-like particles sampled in this study were all fluorescent in BC and ABC. Thus, the C particles may have an origin different from pollen (Figure 3 and Figure 4).
The subdivision of WDs and NWDs into 6-h intervals allowed us to know how the presence of workers impacts the distribution of particles in the indoor working environment. In addition, it allows quantifying the exposure of workers to bioaerosol particles while doing their work (Figure 5 and Figure 6).
Our data highlight lower concentrations of fluorescent particles in NWDs than in WDs, as well as during the nights than during the mornings and afternoons. While the increase of fluorescent particles may not be huge looking at the raw numbers, the proportional increase of some channels, such as ABC, in the WHs, appears noteworthy. The analysis of variance shows several differences in the various intervals of the day regarding different channels, but there is no significant difference between morning and afternoon (Table 2), the sections of the days when workers are present. Thus, the presence of workers determines a particle distribution that is homogeneous within WHs, and clearly different from NWHs.
As to the interpretation of the nature of bioaerosol particles, the bacteria-like particles seem to follow the general aerosol distribution, which can be explained by the fact that bacteria usually do not travel in the air as free bodies, but tend to adhere to other particles.
In contrast, the distribution of pollen and spore-like particles is totally unrelated to bacteria, and clearly follows the presence of workers in the room. This is the parameter that seems to be mostly impacted by human activity, and that can impact human health. The fine temporal record granted by the real-time automatic sampler also allows us to represent more detailed trends of bioparticles, confirming the correspondence between their distribution and the presence of workers in the room (Figure 11).
The non-significant difference between morning and afternoon when all channels are considered seems to confirm that within WHs there is a consistent concentration of fluorescent particles that differentiates between WHs and NWHs, making the level of particles homogeneous when workers are present.
On the other hand, there is a significant difference between the mornings of WDs and NWDs for all channels. This is another strong evidence for the role of occupants in increasing the bioaerosol charge, and their exposure to the same particles.
A remarkable result is the clear correlation between the minutes of occupation of the room by workers and the concentration of fluorescent particles identified as pollen and spores (Figure 9). This strongly suggests an influence of the workers in causing the increment of the concentration of such particles in the room, an increment that could be caused by passive transport or by the activities of the occupants, such as opening doors and windows, or turning on the heating of the room. None of these factors is probably enough to explain the bioaerosol levels by itself though, at least in this peculiar study case, as for example the opening of windows was very limited and occurred when bioaerosol levels were already found to be increasing.
The hourly trend of pollen and fungal spores (Figure 11), grouped in minutes, underlined the role of occupants.
5. Conclusions
The innovative methodologies for aerobiological monitoring, including real-time analysis, represent valid tools to recognize several aspects of exposure to biocontaminants in occupational settings, including pollen.
The sampler was able to grant data that differentiates between WDs and NWDs regarding the concentrations of several bioaerosol particles of interest. The sampler can even differentiate between WHs and NWHs within WDs, which proves the capability of the instrument to discern the changes in bioaerosol levels caused by the presence of people in the room, in a defined time range.
The use of real-time sampling for bioaerosol monitoring in occupational settings has the potential to grant several advantages:
- A fine temporal resolution of data;
- Lower expense of time for the identification of the bioparticles;
- The unnecessary contribution of an expert in the morphological identification of the several particles types, like pollen or fungal spores;
- A better quantitative evaluation of sampled particles;
- The ability of a single instrument to sample many different bioparticles simultaneously, sparing the need of different sampling methods for each particle type.
The use of this kind of sampler also has some limitations, mainly concerning the ability to identify with certainty various particle types, and in the difficulty to carry out a fine taxonomical identification, at least at the current state of advancement. This factor may be significant because, for example, different pollen or spore species may have different impacts on human health. An accurate taxonomical identification can be realized using other, more traditional techniques, that require much longer work times.
As a study to verify the capabilities of the sampler, it has some limitations, for example, the sampling has been accomplished for a limited number of days, and in the winter season. Further monitoring in more extended time periods and in other months could give more generalizability to this kind of research. A more in-depth evaluation of environmental variables and of the working conditions of occupants would also be useful. The analysis of several factors that directly determine bioaerosol concentrations as a consequence of workers’ actions is under consideration for a future study. In addition, a comparison with outdoor air would grant a more complete evaluation of bioaerosol dynamics, as in other studies []. As for other possibilities, finer investigations to evaluate the separate contribution of different sources (e.g., passive transport by workers, air currents, and the effect of specific actions) to the overall bioaerosol concentration may provide a more detailed picture. In large rooms, the use of multiple real-time samplers, placed in different parts of the room, might permit an evaluation of the differences in aerosol distribution.
In the light of these considerations, both traditional and real-time methodologies can help in aerobiological monitoring. When used in synergy [], they may provide a complete set of data to evaluate possible co-factors to exposure.
Future perspectives may include further works of comparison of traditional, real-time, and other innovative techniques, a line of work that has already been started, with interesting preliminary results []. Other lines of research may focus on occupational settings, since those environments can be controlled very precisely, especially in indoor settings. It is also important to underline the usefulness of further research considering different sections of the day, focusing on WHs.
New development perspectives should aim to identify new biomarkers of exposure and new effects using other innovative methodologies, such as metabolomics, addressed to utilize a more complete management of biological occupational risk, in the frame of strategies aimed to perform multifactorial, multidisciplinary and integrated approaches for the management of biocontaminants’ exposure in life and work environments.
Author Contributions
Conceptualization, A.L., A.G. and M.C.D.; methodology: A.L., A.G. and M.C.D.; software, A.L. and A.G.; validation: A.L., F.D.R., A.G., D.M. and M.C.D.; formal analysis: A.L. and A.G.; investigation: A.L., A.G. and M.C.D.; data curation: A.L., A.G. and M.C.D.; writing—original draft preparation: A.L., A.G. and M.C.D.; writing—review and editing: A.L., A.G., D.M. and M.C.D.; visualization, A.L., A.G., F.D.R., D.M. and M.C.D.; supervision, A.L., A.G., D.M. and M.C.D.; project administration, D.M. and M.C.D. All authors have read and agreed to the published version of the manuscript.
Funding
This research received no external funding.
Institutional Review Board Statement
Not applicable.
Informed Consent Statement
Not applicable.
Data Availability Statement
Data supporting reported results can be provided on request.
Conflicts of Interest
The authors declare no conflict of interest.
References
- Pearce, D.A.; Alekhina, I.A.; Terauds, A.; Wilmotte, A.; Quesada, A.; Edwards, A.; Dommergue, A.; Sattler, B.; Adams, B.J.; Magalhães, C.; et al. Aerobiology over antarctica—A new initiative for atmospheric ecology. Front. Microbiol. 2016, 7, 16. [Google Scholar] [CrossRef] [PubMed]
- Alsante, A.N.; Thornton, D.C.O.; Brooks, S.D. Ocean aerobiology. Front. Microbiol. 2021, 12, 764178. [Google Scholar] [CrossRef] [PubMed]
- Devadas, R.; Huete, A.R.; Vicendese, D.; Erbas, B.; Beggs, P.J.; Medek, D.; Haberle, S.G.; Newnham, R.M.; Johnston, F.H.; Jaggard, A.K.; et al. Dynamic ecological observations from satellites inform aerobiology of allergenic grass pollen. Sci. Total Environ. 2018, 633, 441–451. [Google Scholar] [CrossRef] [PubMed]
- Glick, S.; Gehrig, R.; Eeftens, M. Multi-decade changes in pollen season onset, duration, and intensity: A concern for public health? Sci. Total Environ. 2021, 781, 146382. [Google Scholar] [CrossRef] [PubMed]
- Haddrell, A.E.; Thomas, R.J. Aerobiology: Experimental considerations, observations, and future tools. Appl. Environ. Microbiol. 2017, 83, e00809-17. [Google Scholar] [CrossRef]
- Singh, A.B.; Mathur, C. An aerobiological perspective in allergy and asthma. Asia Pac. Allergy 2012, 2, 210–222. [Google Scholar] [CrossRef]
- Maddox, R.L. On an Apparatus for collecting atmospheric particles. Mon. Microsc. J. 1870, 3, 286–290. [Google Scholar] [CrossRef]
- Blackley, C. Experimental Researches on the Cause and Nature of Catarrhus Aestivus (Hay Fever, Hay Asthma); Balliere Tindall & Cox: London, UK, 1873. [Google Scholar]
- Oteros, J.; Sofiev, M.; Smith, M.; Clot, B.; Damialis, A.; Prank, M.; Werchan, M.; Wachter, R.; Weber, A.; Kutzora, S.; et al. Building an automatic pollen monitoring network (ePIN): Selection of optimal sites by clustering pollen stations. Sci. Total Environ. 2019, 688, 1263–1274. [Google Scholar] [CrossRef]
- Oteros, J.; Weber, A.; Kutzora, S.; Rojo, J.; Heinze, S.; Herr, C.; Gebauer, R.; Schmidt-Weber, C.B.; Buters, J.T.M. An operational robotic pollen monitoring network based on automatic image recognition. Environ. Res. 2020, 191, 110031. [Google Scholar] [CrossRef]
- Schaefer, J.; Milling, M.; Schuller, B.W.; Bauer, B.; Brunner, J.O.; Traidl-Hoffmann, C.; Damialis, A. Towards automatic airborne pollen monitoring: From commercial devices to operational by mitigating class-imbalance in a deep learning approach. Sci. Total Environ. 2021, 796, 148932. [Google Scholar] [CrossRef]
- Núñez, A.; Amo de Paz, G.; Rastrojo, A.; García, A.M.; Alcamí, A.; Gutiérrez-Bustillo, A.M.; Moreno, D.A. Monitoring of airborne biological particles in outdoor atmosphere. Part 2: Metagenomics applied to urban environments. Int. Microbiol. Off. J. Span. Soc. Microbiol. 2016, 19, 69–80. [Google Scholar] [CrossRef]
- Xu, L.; Pierroz, G.; Wipf, H.M.L.; Gao, C.; Taylor, J.W.; Lemaux, P.G.; Coleman-Derr, D. Holo-omics for deciphering plant-microbiome interactions. Microbiome 2021, 9, 69. [Google Scholar] [CrossRef]
- Darnhofer, B.; Tomin, T.; Liesinger, L.; Schittmayer, M.; Tomazic, P.V.; Birner-Gruenberger, R. Comparative proteomics of common allergenic tree pollens of birch, alder, and hazel. Allergy 2021, 76, 1743–1753. [Google Scholar] [CrossRef] [PubMed]
- Sénéchal, H.; Visez, N.; Charpin, D.; Shahali, Y.; Peltre, G.; Biolley, J.P.; Lhuissier, F.; Couderc, R.; Yamada, O.; Malrat-Domenge, A.; et al. A review of the effects of major atmospheric pollutants on pollen grains, pollen content, and allergenicity. Sci. World J. 2015, 2015, 940243. [Google Scholar] [CrossRef]
- Sedghy, F.; Varasteh, A.R.; Saukian, M.; Moghadam, M. Interaction between air pollutants and pollen grains: The role on the rising trend in allergy. Rep. Biochem. Mol. Biol. 2018, 6, 219–224. [Google Scholar] [PubMed]
- Plaza, M.P.; Alcázar, P.; Oteros, J.; Galán, C. Atmospheric pollutants and their association with olive and grass aeroallergen concentrations in Córdoba (Spain). Environ. Sci. Pollut. Res. 2020, 27, 45447–45459. [Google Scholar] [CrossRef] [PubMed]
- Ortega-Rosas, C.I.; Meza-Figueroa, D.; Vidal-Solano, J.R.; González-Grijalva, B.; Schiavo, B. Association of airborne particulate matter with pollen, fungal spores, and allergic symptoms in an arid urbanized area. Environ. Geochem. Health 2021, 43, 1761–1782. [Google Scholar] [CrossRef]
- Lipiec, A.; Puc, M.; Kruczek, A. Exposure to pollen allergens in allergic rhinitis expressed by diurnal variation of airborne tree pollen in urban and rural area. Otolaryngol. Pol. 2019, 74, 1–6. [Google Scholar] [CrossRef]
- Galveias, A.; Ribeiro, H.; Guimarães, F.; Costa, M.J.; Rodrigues, P.; Costa, A.R.; Abreu, I.; Antunes, C.M. Differential Quercus spp. pollen-particulate matter interaction is dependent on geographical areas. Sci. Total Environ. 2022, 832, 154892. [Google Scholar] [CrossRef]
- Barber, D.; Villaseñor, A.; Escribese, M.M. Metabolomics strategies to discover new biomarkers associated to severe allergic phenotypes. Asia Pac. Allergy 2019, 9, e37. [Google Scholar] [CrossRef]
- Sim, S.; Choi, Y.; Park, H.S. Potential metabolic biomarkers in adult asthmatics. Metabolites 2021, 11, 430. [Google Scholar] [CrossRef]
- Gruzieva, O.; Jeong, A.; He, S.; Yu, Z.; de Bont, J.; Pinho, M.G.M.; Eze, I.C.; Kress, S.; Wheelock, C.E.; Peters, A.; et al. Air pollution, metabolites and respiratory health across the life-course. Eur. Respir Rev. 2022, 31, 220038. [Google Scholar] [CrossRef]
- Yuan, Y.; Wang, C.; Wang, G.; Guo, X.; Jiang, S.; Zuo, X.; Wang, X.; Hsu, A.C.; Qi, M.; Wang, F. Airway microbiome and serum metabolomics analysis identify differential candidate biomarkers in allergic rhinitis. Front. Immunol. 2022, 12, 771136. [Google Scholar] [CrossRef] [PubMed]
- Gehrig, R.; Clot, B. 50 years of pollen monitoring in Basel (Switzerland) demonstrate the influence of climate change on airborne pollen. Front. Allergy 2021, 2, 677159. [Google Scholar] [CrossRef] [PubMed]
- Adams-Groom, B.; Selby, K.; Derrett, S.; Frisk, C.A.; Pashley, C.H.; Satchwell, J.; King, D.; McKenzie, G.; Neilson, R. Pollen season trends as markers of climate change impact: Betula, Quercus and Poaceae. Sci. Total Environ. 2022, 831, 154882. [Google Scholar] [CrossRef]
- Schramm, P.J.; Brown, C.L.; Saha, S.; Conlon, K.C.; Manangan, A.P.; Bell, J.E.; Hess, J.J. A systematic review of the effects of temperature and precipitation on pollen concentrations and season timing, and implications for human health. Int. J. Biometeorol. 2021, 65, 1615–1628. [Google Scholar] [CrossRef] [PubMed]
- Frisk, C.A.; Apangu, G.P.; Petch, G.M.; Adams-Groom, B.; Skjøth, C.A. Atmospheric transport reveals grass pollen dispersion distances. Sci. Total Environ. 2022, 814, 152806. [Google Scholar] [CrossRef]
- Katotomichelakis, M.; Nikolaidis, C.; Makris, M.; Zhang, N.; Aggelides, X.; Constantinidis, T.C.; Bachert, C.; Danielides, V. The clinical significance of the pollen calendar of the Western Thrace/northeast Greece region in allergic rhinitis. Int. Forum. Allergy Rhinol. 2015, 5, 1156–1163. [Google Scholar] [CrossRef]
- Singh, N.; Singh, U.; Singh, D.; Daya, M.; Singh, V. Correlation of pollen counts and number of hospital visits of asthmatic and allergic rhinitis patients. Lung India 2017, 34, 127–131. [Google Scholar] [CrossRef]
- Cariñanos, P.; Alcázar, P.; Galán, C.; Navarro, R.; Domínguez, E. Aerobiology as a tool to help in episodes of occupational allergy in work places. J. Investig. Allergol. Clin. Immunol. 2004, 14, 300–308. [Google Scholar]
- Raulf, M.; Buters, J.; Chapman, M.; Cecchi, L.; de Blay, F.; Doekes, G.; Eduard, W.; Heederik, D.; Jeebhay, M.F.; Kespohl, S.; et al. European Academy of Allergy and Clinical Immunology. Monitoring of occupational and environmental aeroallergens—EAACI Position Paper. Concerted action of the EAACI IG Occupational Allergy and Aerobiology & Air Pollution. Allergy 2014, 69, 1280–1299. [Google Scholar] [CrossRef] [PubMed]
- D’Ovidio, M.C.; Di Renzi, S.; Capone, P.; Pelliccioni, A. Pollen and fungal spores evaluation in relation to occupants and microclimate in indoor workplaces. Sustainability 2021, 13, 3154. [Google Scholar] [CrossRef]
- Lancia, A.; Capone, P.; Vonesch, N.; Pelliccioni, A.; Grandi, C.; Magri, D.; D’Ovidio, M.C. Research progress on aerobiology in the last 30 years: A focus on methodology and occupational health. Sustainability 2021, 13, 4337. [Google Scholar] [CrossRef]
- Pelliccioni, A.; Ciardini, V.; Lancia, A.; Di Renzi, S.; Brighetti, M.A.; Travaglini, A.; Capone, P.; D’Ovidio, M.C. Intercomparison of indoor and outdoor pollen concentrations in rural and suburban research workplaces. Sustainability 2021, 13, 8776. [Google Scholar] [CrossRef]
- Huffman, J.A.; Perring, A.E.; Savage, N.J.; Clot, B.; Crouzy, B.; Tummon, F.; Shoshanim, O.; Damit, B.; Schneider, J.; Sivaprakasam, V.; et al. Real-time sensing of bioaerosols: Review and current perspectives. Aerosol. Sci. Tech. 2020, 54, 465–495. [Google Scholar] [CrossRef]
- Bünger, J.; Schappler-Scheele, B.; Hilgers, R.; Hallier, E. A 5-year follow-up study on respiratory disorders and lung function in workers exposed to organic dust from composting plants. Int. Arch. Occup. Environ. Health 2007, 80, 306–312. [Google Scholar] [CrossRef]
- Niazi, S.; Hassanvand, M.S.; Mahvi, A.H.; Nabizadeh, R.; Alimohammadi, M.; Nabavi, S.; Faridi, S.; Dehghani, A.; Hoseini, M.; Moradi-Joo, M.; et al. Assessment of bioaerosol contamination (bacteria and fungi) in the largest urban wastewater treatment plant in the Middle East. Environ. Sci. Pollut. Res. Int. 2015, 22, 16014–16021. [Google Scholar] [CrossRef]
- Zimmerman, B.; Tafintseva, V.; Bağcıoğlu, M.; Høegh Berdahl, M.; Kohler, A. Analysis of allergenic pollen by FTIR microspectroscopy. Anal. Chem. 2016, 88, 803–811. [Google Scholar] [CrossRef]
- Klimczak, L.J.; von Eschenbach, C.E.; Thompson, P.M.; Buters, J.T.M.; Mueller, G.A. Mixture analyses of air-sampled pollen extracts can accurately differentiate pollen taxa. Atmos. Environ. 2020, 243, 117746. [Google Scholar] [CrossRef]
- Daunys, G.; Šukienė, L.; Vaitkevičius, L.; Valiulis, G.; Sofiev, M.; Šaulienė, I. Clustering approach for the analysis of the fluorescent bioaerosol collected by an automatic detector. PLoS ONE 2021, 16, e0247284. [Google Scholar] [CrossRef]
- Tummon, F.; Arboledas, L.A.; Bonini, M.; Guinot, B.; Hicke, M.; Jacob, C.; Kendrovski, V.; McCairns, W.; Petermann, E.; Peuch, V.H.; et al. The need for Pan-European automatic pollen and fungal spore monitoring: A stakeholder workshop position paper. Clin. Transl. Allergy 2021, 11, e12015. [Google Scholar] [CrossRef]
- Plaza, M.P.; Kolek, F.; Leier-Wirtz, V.; Brunner, J.O.; Traidl-Hoffmann, C.; Damialis, A. Detecting airborne pollen using an automatic.; real-time monitoring system: Evidence from two sites. Int. J. Environ. Res. Public Health 2022, 19, 2471. [Google Scholar] [CrossRef] [PubMed]
- Jiang, C.; Wang, W.; Du, L.; Huang, G.; McConaghy, C.; Fineman, S.; Liu, Y. Field evaluation of an automated pollen sensor. Int. J. Environ. Res. Public Health 2022, 19, 6444. [Google Scholar] [CrossRef] [PubMed]
- Worldwide Map of Pollen Monitoring Stations. Available online: https://oteros.shinyapps.io/pollen_map/ (accessed on 29 August 2022).
- Pöhlker, C.; Huffman, J.A.; Pöschl, U. Autofluorescence of atmospheric bioaerosols—Fluorescent biomolecules and potential interferences. Atmos. Meas. Tech. 2012, 5, 37–71. [Google Scholar] [CrossRef]
- Hernandez, M.; Perring, A.E.; McCabe, K.; Kok, G.; Granger, G.; Baumgardner, D. Chamber catalogues of optical and fluorescent signatures distinguish bioaerosol classes. Atmos. Meas. Tech. 2016, 9, 3283–3292. [Google Scholar] [CrossRef]
- World Health Organization. WHO Global Air Quality Guidelines. Particulate Matter (PM2.5 and PM10), Ozone, Nitrogen Dioxide, Sulfur Dioxide and Carbon Monoxide; World Health Organization: Geneva, Switzerland, 2021; Available online: https://apps.who.int/iris/handle/10665/345329 (accessed on 8 November 2022).
- Annesi-Maesano, I.; Cecchi, L.; Agache, I.; Akdis, C. EAACI Guidelines on Environmental Science for Allergy and Asthma–Recommendations for Pollen-Induced Asthma and Rhinitis. WG Atmospheric. Available online: https://www.eaaci.org/images/Recommendations_EtDts_final.pdf (accessed on 8 November 2022).
- Diem, L.; Neuherz, B.; Rohrhofer, J.; Koidl, L.; Asero, R.; Brockow, K.; Diaz Perales, A.; Faber, M.; Gebhardt, J.; Torres, M.J.; et al. Real-life evaluation of molecular multiplex IgE test methods in the diagnosis of pollen associated food allergy. Allergy 2022, 77, 3028–3040. [Google Scholar] [CrossRef]
- Raulf, M. Allergen component analysis as a tool in the diagnosis and management of occupational allergy. Mol. Immunol. 2018, 100, 21–27. [Google Scholar] [CrossRef]
- Radzikowska, U.; Baerenfaller, K.; Cornejo-Garcia, J.A.; Karaaslan, C.; Barletta, E.; Sarac, B.E.; Zhakparov, D.; Villaseñor, A.; Eguiluz-Gracia, I.; Mayorga, C.; et al. Omics technologies in allergy and asthma research: An EAACI position paper. Allergy 2022, 17, 2888–2908. [Google Scholar] [CrossRef]
- Pointner, L.; Bethanis, A.; Thaler, M.; Traidl-Hoffmann, C.; Gilles, S.; Ferreira, F.; Aglas, L. Initiating pollen sensitization—Complex source, complex mechanisms. Clin. Transl. Allergy 2020, 10, 36. [Google Scholar] [CrossRef]
- D’Ovidio, M.C.; Capone, P.; Lancia, A.; Melis, P.; Tranfo, G.; Grandi, C.; Annesi-Maesano, I. The need of integrated tools for the study of occupational exposure to allergens. Acta Sci. Med. Sci. 2022, 6, 108–118. [Google Scholar]
- Ravindra, K.; Goyal, A.; Mor, S. Pollen allergy: Developing multi-sectorial strategies for its prevention and control in lower and middle-income countries. Int. J. Hyg. Environ. Health 2022, 242, 113951. [Google Scholar] [CrossRef] [PubMed]
- Geoportale cartografico - Città metropolitana di Roma Capitale. Available online: http://websit.cittametropolitanaroma.it/DescriviMappa.aspx?i=7 (accessed on 12 January 2021).
- Perring, A.; Schwarz, E.; Baumgardner, J.P.; Hernandez, D.; Spracklen, M.T.; Heald, D.V.; Gao, R.S.; Kok, G.; Mcmeeking, G.; Fahey, J.; et al. Airborne observations of regional variation in fluorescent aerosol across the United States. J. Geophys. Res. Atmos. 2015, 120, 1153–1170. [Google Scholar] [CrossRef]
- Li, J.; Wan, M.P.; Schiavon, S.S.; Tham, K.W.; Zuraimi, S.; Xiong, J.; Fang, M.; Gall, E. Size-resolved dynamics of indoor and outdoor fluorescent biological aerosol particles in a bedroom: A one-month case study in Singapore. Indoor Air 2020, 30, 942–954. [Google Scholar] [CrossRef] [PubMed]
- Addor, Y.S.; Baumgardner, D.; Hughes, D.; Newman, N.; Jandarov, R.; Reponen, T. Assessing residential indoor and outdoor bioaerosol characteristics using the ultraviolet light-induced fluorescence-based wideband integrated bioaerosol sensor. Environ. Sci. Process. Impacts 2022, 24, 1790–1804. [Google Scholar] [CrossRef]
- Wingert, L.; Debia, M.; Hallé, S.; Marchand, G. Occupational microbial risk among embalmers. Atmosphere 2022, 13, 1281. [Google Scholar] [CrossRef]
- Tummon, F.; Adamov, S.; Clot, B.; Crouzy, B.; Gysel-Beer, M.; Kawashima, S.; O’Connor, D. A first evaluation of multiple automatic pollen monitors run in parallel. Aerobiologia 2021, 1–16. [Google Scholar] [CrossRef]
Disclaimer/Publisher’s Note: The statements, opinions and data contained in all publications are solely those of the individual author(s) and contributor(s) and not of MDPI and/or the editor(s). MDPI and/or the editor(s) disclaim responsibility for any injury to people or property resulting from any ideas, methods, instructions or products referred to in the content. |
© 2023 by the authors. Licensee MDPI, Basel, Switzerland. This article is an open access article distributed under the terms and conditions of the Creative Commons Attribution (CC BY) license (https://creativecommons.org/licenses/by/4.0/).