Aerosol Property Analysis Based on Ground-Based Lidar in Sansha, China
Abstract
1. Introduction
2. Materials and Methods
2.1. Study Area and Time Period
2.2. Mie Lidar
2.3. Dataset
2.4. Fernald Algorithm
2.5. Planetary Boundary Layer Height Calculation
2.6. Random Forest Regression for Meteorological Factor Section
3. Results
3.1. Planetary Boundary Layer Height
3.2. Aerosol Extinction Coefficient
3.3. Aerosol Optical Depth
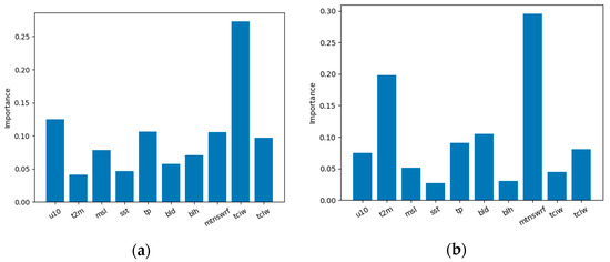
3.4. Aerosol Optical Depth and Meteorological Factors
4. Conclusions
Author Contributions
Funding
Institutional Review Board Statement
Informed Consent Statement
Data Availability Statement
Acknowledgments
Conflicts of Interest
References
- Groß, S.; Tesche, M.; Freudenthaler, V.; Toledano, C.; Wiegner, M.; Ansmann, A.; Althausen, D.; Seefeldner, M. Characterization of Saharan dust, marine aerosols and mixtures of biomass-burning aerosols and dust by means of multi-wavelength depolarization and Raman lidar measurements during SAMUM 2. Tellus B Chem. Phys. Meteorol. 2011, 63, 706–724. [Google Scholar] [CrossRef]
- Rosenfeld, D.; Dai, J.; Yu, X.; Yao, Z.; Xu, X.; Yang, X.; Du, C. Inverse relations between amounts of air pollution and orographic precipitation. Science 2007, 315, 1396–1398. [Google Scholar] [CrossRef] [PubMed]
- O’Dowd, C.D.; De Leeuw, G. Marine aerosol production: A review of the current knowledge. Philos. Trans. R. Soc. A Math. Phys. Eng. Sci. 2007, 365, 1753–1774. [Google Scholar] [CrossRef]
- Twomey, S. Pollution and the planetary albedo. Atmos. Environ. 1974, 8, 1251–1256. [Google Scholar] [CrossRef]
- Väkevä, M.; Hämeri, K.; Puhakka, T.; Nilsson, E.D.; Hohti, H.; Mäkelä, J.M. Effects of meteorological processes on aerosol particle size distribution in an urban background area. J. Geophys. Res. Atmos. 2000, 105, 9807–9821. [Google Scholar] [CrossRef]
- Hussein, T.; Karppinen, A.; Kukkonen, J.; Härkönen, J. Meteorological dependence of size-fractionated number concentrations of urban aerosol particles. Atmos. Environ. 2006, 40, 1427–1440. [Google Scholar] [CrossRef]
- Che, H.; Gui, K.; Xia, X.; Wang, Y.; Holben, B.N.; Goloub, P.; Cuevas-Agulló, E.; Wang, H.; Zheng, Y.; Zhao, H.; et al. Large contribution of meteorological factors to inter-decadal changes in regional aerosol optical depth. Atmos. Chem. Phys. 2019, 19, 10497–10523. [Google Scholar] [CrossRef]
- Liu, X.; Penner, J.E.; Das, B.; Bergmann, D.; Rodriguez, J.M.; Strahan, S.; Wang, M.; Feng, Y. Uncertainties in global aerosol simulations: Assessment using three meteorological data sets. J. Geophys. Res. Atmos. 2007, 112, D11212. [Google Scholar] [CrossRef]
- Zaman, N.A.F.K.; Kanniah, K.D.; Kaskaoutis, D.G. Estimating particulate matter using satellite based aerosol optical depth and meteorological variables in Malaysia. Atmos. Res. 2017, 193, 142–162. [Google Scholar] [CrossRef]
- Sathe, Y.; Kulkarni, S.; Gupta, P.; Kaginalkar, A.; Islam, S.; Gargava, P. Application of Moderate Resolution Imaging Spectroradiometer (MODIS) Aerosol Optical Depth (AOD) and Weather Research Forecasting (WRF) model meteorological data for assessment of fine particulate matter (PM2.5) over India. Atmos. Pollut. Res. 2019, 10, 418–434. [Google Scholar] [CrossRef]
- So, C.K.; Cheng, C.M.; Tsui, K.C. Weather and environmental monitoring using MODIS AOD data in Hong Kong, China. In Proceedings of the First International Symposium on Cloud-prone & Rainy Areas Remote Sensing, Hong Kong, China, 6–8 October 2005. [Google Scholar]
- Letcher, T.; Cotton, W.R. The effect of pollution aerosol on wintertime orographic precipitation in the Colorado Rockies using a simplified emissions scheme to predict CCN concentrations. J. Appl. Meteorol. Climatol. 2014, 53, 859–872. [Google Scholar] [CrossRef]
- Gao, M.; Sherman, P.; Song, S.; Yu, Y.; Wu, Z.; Mcelroy, M.B. Seasonal prediction of Indian wintertime aerosol pollution using the ocean memory effect. Sci. Adv. 2019, 5, eaav4157. [Google Scholar] [CrossRef]
- Acosta Navarro, J.C.; Varma, V.; Riipinen, I.; Selan, Ø.; Kirkevåg, A.; Struthers, H.; Iversen, T.; Hansson, H.-C.; Ekman, A.M.L. Amplification of Arctic warming by past air pollution reductions in Europe. Nat. Geosci. 2016, 9, 277–281. [Google Scholar] [CrossRef]
- Westervelt, D.M.; Mascioli, N.R.; Fiore, A.M.; Conley, A.J.; Lamarque, J.-F.; Shindell, D.T.; Faluvegi, G.; Previdi, M.; Correa, G.; Horowitz, L.W. Local and remote mean and extreme temperature response to regional aerosol emissions reductions. Atmos. Chem. Phys. 2020, 20, 3009–3027. [Google Scholar] [CrossRef]
- Mahowald, N.M.; Scanza, R.; Brahney, J.; Goodale, C.L.; Hess, G.P.; Moore, J.K.; Neff, J. Aerosol deposition impacts on land and ocean carbon cycles. Curr. Clim. Chang. Rep. 2017, 3, 16–31. [Google Scholar] [CrossRef]
- Bauer, S.E.; Tsigaridis, K.; Miller, R. Significant atmospheric aerosol pollution caused by world food cultivation. Geophys. Res. Lett. 2016, 43, 5394–5400. [Google Scholar] [CrossRef]
- Kaufman, Y.J.; Tanré, D.; Boucher, O. A satellite view of aerosols in the climate system. Nature 2002, 419, 215–223. [Google Scholar] [CrossRef]
- Zhang, L.; Zheng, X.S. Spatial-temporal Variation of Aerosol Optical Properties in Coastal Region, China Based on CALIPSO Data. J. Earth Sci. Env. 2021, 43, 1033–1049. [Google Scholar]
- Su, Y.; Han, Y.; Luo, H.; Zhang, Y.; Shao, S.; Xie, X. Physical-Optical Properties of Marine Aerosols over the South China Sea: Shipboard Measurements and MERRA-2 Reanalysis. Remote Sens. 2022, 14, 2453. [Google Scholar] [CrossRef]
- Novakov, T.; Hegg, D.A.; Hobbs, P.V. Airborne measurements of carbonaceous aerosols on the East Coast of the United States. J. Geophys. Res. Atmos. 1997, 102, 30023–30030. [Google Scholar] [CrossRef]
- Haarig, M.; Ansmann, A.; Gasteiger, J.; Kandler, K.; Althausen, D.; Baars, H.; Radenz, M.; Farrell, D.A. Dry versus wet marine particle optical properties: RH dependence of depolarization ratio, backscatter, and extinction from multiwavelength lidar measurements during SALTRACE. Atmos. Chem. Phys. 2017, 17, 14199–14217. [Google Scholar] [CrossRef]
- Groß, S.; Esselborn, M.; Weinzierl, B.; Wirth, M.; Fix, A.; Petzold, A. Aerosol classification by airborne high spectral resolution lidar observations. Atmos. Chem. Phys. 2013, 13, 2487–2505. [Google Scholar] [CrossRef]
- Sharma, S.K.; Lienert, B.R.; Porter, J.N. Scanning lidar measurements of marine aerosol fields at a coastal site in Hawaii. Lidar Remote Sens. Ind. Environ. Monit. SPIE 2001, 4153, 159–166. [Google Scholar]
- Omar, A.H.; Winker, D.M.; Kittaka, C.; Vaughan, M.A.; Liu, Z.; Hu, Y.; Trepte, C.R.; Rogers, R.R.; Lee, K.-P.A.; Kuehn, R.E.; et al. The CALIPSO automated aerosol classification and lidar ratio selection algorithm. J. Atmos. Ocean. Technol. 2009, 26, 1994–2014. [Google Scholar] [CrossRef]
- Ma, X.; Zhang, H.; Han, G.; Mao, F.; Xu, H.; Shi, T.; Hu, H.; Sun, T.; Gong, W. A Regional Spatiotemporal Downscaling Method for CO2 Columns. IEEE Trans. Geosci. Remote Sens. 2021, 59, 8084–8093. [Google Scholar] [CrossRef]
- Vlemmix, T.; Piters, A.J.M.; Stammes, P.; Wang, P.; Levelt, P.F. Retrieval of tropospheric NO2 using the MAX-DOAS method combined with relative intensity measurements for aerosol correction. Atmos. Meas. Tech. 2010, 3, 1287–1305. [Google Scholar] [CrossRef]
- Lin, P.; Hu, M.; Wu, Z.; Niu, Y.; Zhu, T. Marine aerosol size distributions in the springtime over China adjacent seas. Atmos. Environ. 2007, 41, 6784–6796. [Google Scholar] [CrossRef]
- Fu, H.; Zheng, M.; Yan, C.; Li, X.; Gao, H.; Yao, X.; Guo, Z.; Zhang, Y. Sources and characteristics of fine particles over the Yellow Sea and Bohai Sea using online single particle aerosol mass spectrometer. J. Environ. Sci. 2015, 29, 62–70. [Google Scholar] [CrossRef]
- Sun, Q.; Tang, D.L.; Levy, G.; Shi, P. Variability of aerosol optical thickness in the tropical Indian Ocean and South China Sea during spring intermonsoon season. Int. J. Remote Sens. 2018, 39, 4531–4549. [Google Scholar] [CrossRef]
- Onasch, T.B.; Siefert, R.L.; Brooks, S.D.; Prenni, A.J.; Murray, B.; Wilson, M.A.; Tolbert, M.A. Infrared spectroscopic study of the deliquescence and efflorescence of ammonium sulfate aerosol as a function of temperature. J. Geophys. Res. Atmos. 1999, 104, 21317–21326. [Google Scholar] [CrossRef]
- Liu, B.; Ma, X.; Ma, Y.; Li, H.; Jin, S.; Fan, R.; Gong, W. The relationship between atmospheric boundary layer and temperature inversion layer and their aerosol capture capabilities. Atmos. Res. 2022, 271, 106121. [Google Scholar] [CrossRef]
- Shi, T.; Han, G.; Ma, X.; Gong, W.; Chen, W.; Liu, J.; Zhang, X.; Pei, Z.; Gou, H.; Bu, L. Quantifying CO2 uptakes over oceans using LIDAR: A tentative experiment in Bohai bay. Geophys. Res. Lett. 2021, 48, e2020GL091160. [Google Scholar] [CrossRef]
- Stamnes, S.; Hostetler, C.; Ferrare, R.; Burton, S.; Liu, X.; Hair, J.; Hu, Y.; Wasilewski, A.; Martin, W.; van Diedenhoven, B.; et al. Simultaneous polarimeter retrievals of microphysical aerosol and ocean color parameters from the “MAPP” algorithm with comparison to high-spectral-resolution lidar aerosol and ocean products. Appl. Opt. 2018, 57, 2394–2413. [Google Scholar] [CrossRef]
- Alarcon, M.C. A Mie Lidar System for Atmospheric Monitoring: Design Considerations. Trans. Nat. Acad. Sci. Technol. 1993, 15, 93–106. [Google Scholar]
- Hersbach, H.; Bell, B.; Berrisford, P.; Biavati, G.; Horányi, A.; Muñoz-Sabater, J.; Nicolas, J.; Peubey, C.; Radu, R.; Schepers, D.; et al. ERA5 hourly data on single levels from 1979 to present. Copernic. Clim. Chang. Serv. (C3S) Clim. Data Store (CDS). Available online: https://doi.org/10.24381/cds.bd0915c6 (accessed on 1 May 2022). [CrossRef]
- Fernald, F.G.; Herman, B.M.; Reagan, J.A. Determination of aerosol height distributions by lidar. J. Appl. Meteorol. Climatol. 1972, 11, 482–489. [Google Scholar] [CrossRef]
- Steyn, D.G.; Baldi, M.; Hoff, R.M. The detection of mixed layer depth and entrainment zone thickness from lidar backscatter profiles. J. Atmos. Ocean. Technol. 1999, 16, 953–959. [Google Scholar] [CrossRef]
- Dong, Y.; Shi, W.; Du, B.; Hu, X.; Zhang, L. Asymmetric weighted logistic metric learning for hyperspectral target detection. IEEE Trans. Cybern. 2021. [Google Scholar] [CrossRef]
- Ho, T.K. Random decision forests. Proc. 3rd Int. Conf. Doc. Anal. Recognit. IEEE 1995, 1, 278–282. [Google Scholar]
- Li, Y.; Wang, B.; Lee, S.Y.; Zhang, Z.; Wang, Y.; Dong, W. Micro-Pulse Lidar Cruising Measurements in Northern South China Sea. Remote Sens. 2020, 12, 1695. [Google Scholar] [CrossRef]
- Tie, X.; Brasseur, G.P.; Zhao, C.S.; Granier, C.; Massie, S.; Qin, Y.; Wang, P.; Wang, G.; Yang, P.; Richter, A. Chemical characterization of air pollution in Eastern China and the Eastern United States. Atmos. Environ. 2006, 40, 2607–2625. [Google Scholar] [CrossRef]
- He, Q.; Zhang, M.; Huang, B. Spatio-temporal variation and impact factors analysis of satellite-based aerosol optical depth over China from 2002 to 2015. Atmos. Environ. 2016, 129, 79–90. [Google Scholar] [CrossRef]
- Zhang, W.; He, Q.; Wang, H.; Cao, K.; He, S. Factor analysis for aerosol optical depth and its prediction from the perspective of land-use change. Ecol. Indic. 2018, 93, 458–469. [Google Scholar] [CrossRef]
- Zábori, J.; Matisāns, M.; Krejci, R.; Nilsson, E.D.; Ström, J. Artificial primary marine aerosol production: A laboratory study with varying water temperature, salinity, and Succinic acid concentration. Atmos. Chem. Phys. 2012, 12, 10709–10724. [Google Scholar] [CrossRef]
- Gillett, N.P.; Fyfe, J.C.; Parker, D.E. Attribution of observed sea level pressure trends to greenhouse gas, aerosol, and ozone changes. Geophys. Res. Lett. 2013, 40, 2302–2306. [Google Scholar] [CrossRef]
- Kiliyanpilakkil, V.P.; Meskhidze, N. Deriving the effect of wind speed on clean marine aerosol optical properties using the A-Train satellites. Atmos. Chem. Phys. 2011, 11, 11401–11413. [Google Scholar] [CrossRef]
- Huang, Y.; Dickinson, R.E.; Chameides, W.L. Impact of aerosol indirect effect on surface temperature over East Asia. Proc. Natl. Acad. Sci. USA 2006, 103, 4371–4376. [Google Scholar] [CrossRef]
- Levy, G.; Vignudelli, S.; Gower, J. Enabling earth observations in support of global, coastal, ocean, and climate change research and monitoring. Int. J. Remote Sens. 2018, 39, 4287–4292. [Google Scholar] [CrossRef]
- Mishchenko, M.I.; Geogdzhayev, I.V. Satellite remote sensing reveals regional tropospheric aerosol trends. Opt. Express 2007, 15, 7423–7438. [Google Scholar] [CrossRef]
- Huang, H.; Thomas, G.E.; Grainger, R.G. Relationship between wind speed and aerosol optical depth over remote ocean. Atmos. Chem. Phys. 2010, 10, 5943–5950. [Google Scholar] [CrossRef]
- Lewis, E.R.; Schwartz, S.E. Measurements and models of quantities required to evaluate sea salt aerosol production fluxes. Sea Salt Aerosol Prod. Mech. Methods Meas. Models 2004, 152, 119–297. [Google Scholar]
- Knippertz, P.; Todd, M.C. Mineral dust aerosols over the Sahara: Meteorological controls on emission and transport and implications for modeling. Rev. Geophys. 2012, 50. [Google Scholar] [CrossRef]













| wavelength | 532 nm |
| power | 30 μJ |
| repetition frequency | 2.5 KHz |
| channel | 532 P, 532 S |
| detector | Photomultiplier tube |
| receiving telescope aperture | 150 mm |
| power consumption | smaller than 300 W(AC 200 V) |
| working mode | all-weather, full-automatic |
Publisher’s Note: MDPI stays neutral with regard to jurisdictional claims in published maps and institutional affiliations. |
© 2022 by the authors. Licensee MDPI, Basel, Switzerland. This article is an open access article distributed under the terms and conditions of the Creative Commons Attribution (CC BY) license (https://creativecommons.org/licenses/by/4.0/).
Share and Cite
Kong, D.; He, H.; Zhao, J.; Ma, J.; Gong, W. Aerosol Property Analysis Based on Ground-Based Lidar in Sansha, China. Atmosphere 2022, 13, 1511. https://doi.org/10.3390/atmos13091511
Kong D, He H, Zhao J, Ma J, Gong W. Aerosol Property Analysis Based on Ground-Based Lidar in Sansha, China. Atmosphere. 2022; 13(9):1511. https://doi.org/10.3390/atmos13091511
Chicago/Turabian StyleKong, Deyi, Hu He, Jingang Zhao, Jianzhe Ma, and Wei Gong. 2022. "Aerosol Property Analysis Based on Ground-Based Lidar in Sansha, China" Atmosphere 13, no. 9: 1511. https://doi.org/10.3390/atmos13091511
APA StyleKong, D., He, H., Zhao, J., Ma, J., & Gong, W. (2022). Aerosol Property Analysis Based on Ground-Based Lidar in Sansha, China. Atmosphere, 13(9), 1511. https://doi.org/10.3390/atmos13091511
