Emissions from a Modern Euro 6d Diesel Plug-In Hybrid
Abstract
:1. Introduction
2. Methods
3. Results and Discussion
3.1. Emissions over Regulated Laboratory Cycles and On-Road Routes
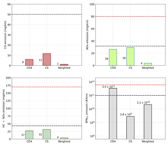
3.1.1. Regulated Pollutants
3.1.2. Unregulated Pollutants
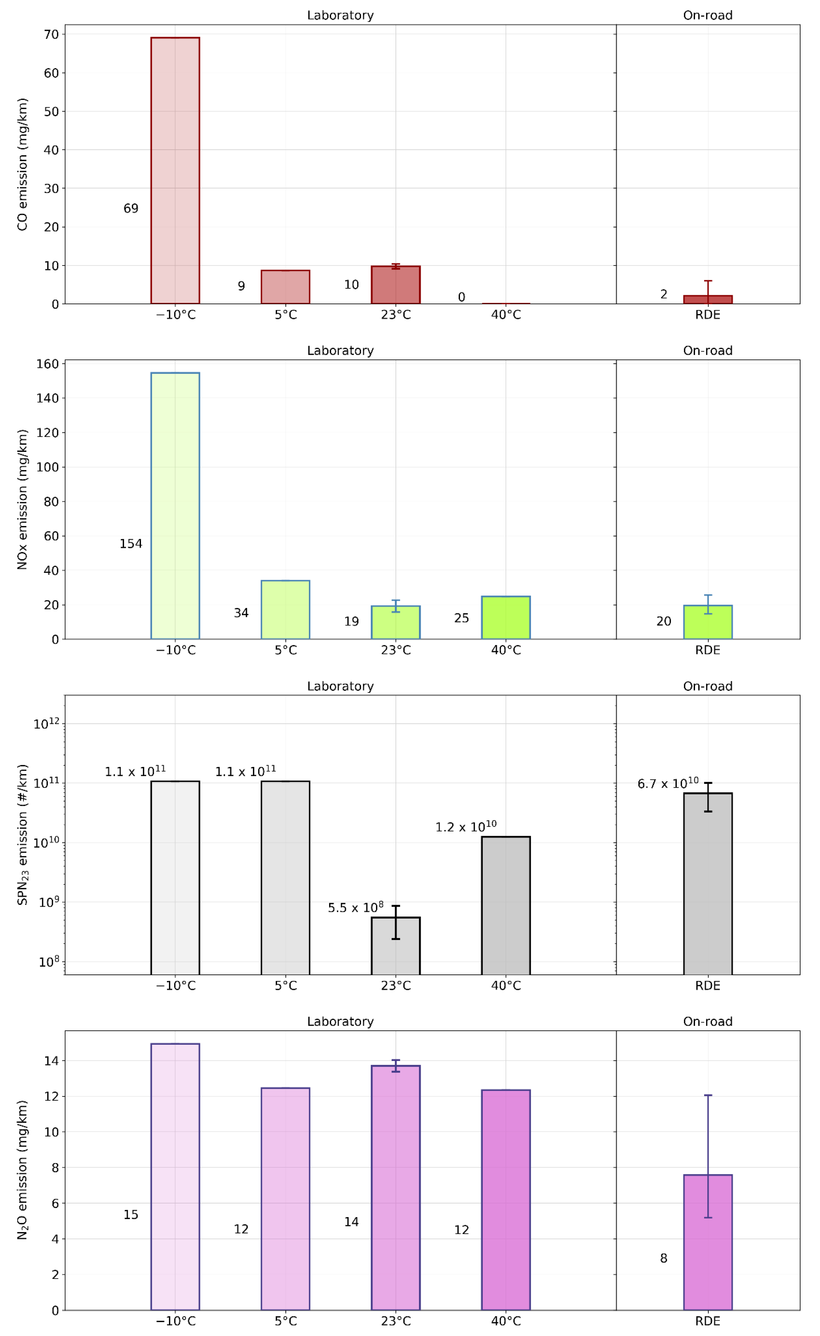
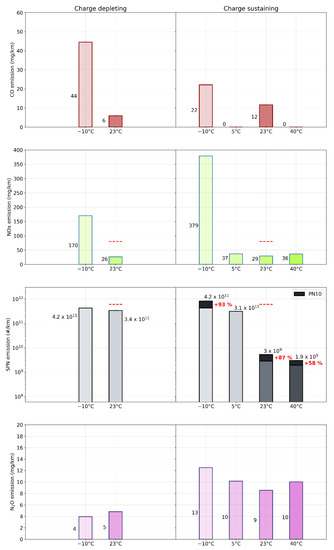
3.2. Effect of Ambient Temperature on Emissions
3.3. Emissions Performance during Highway Driving
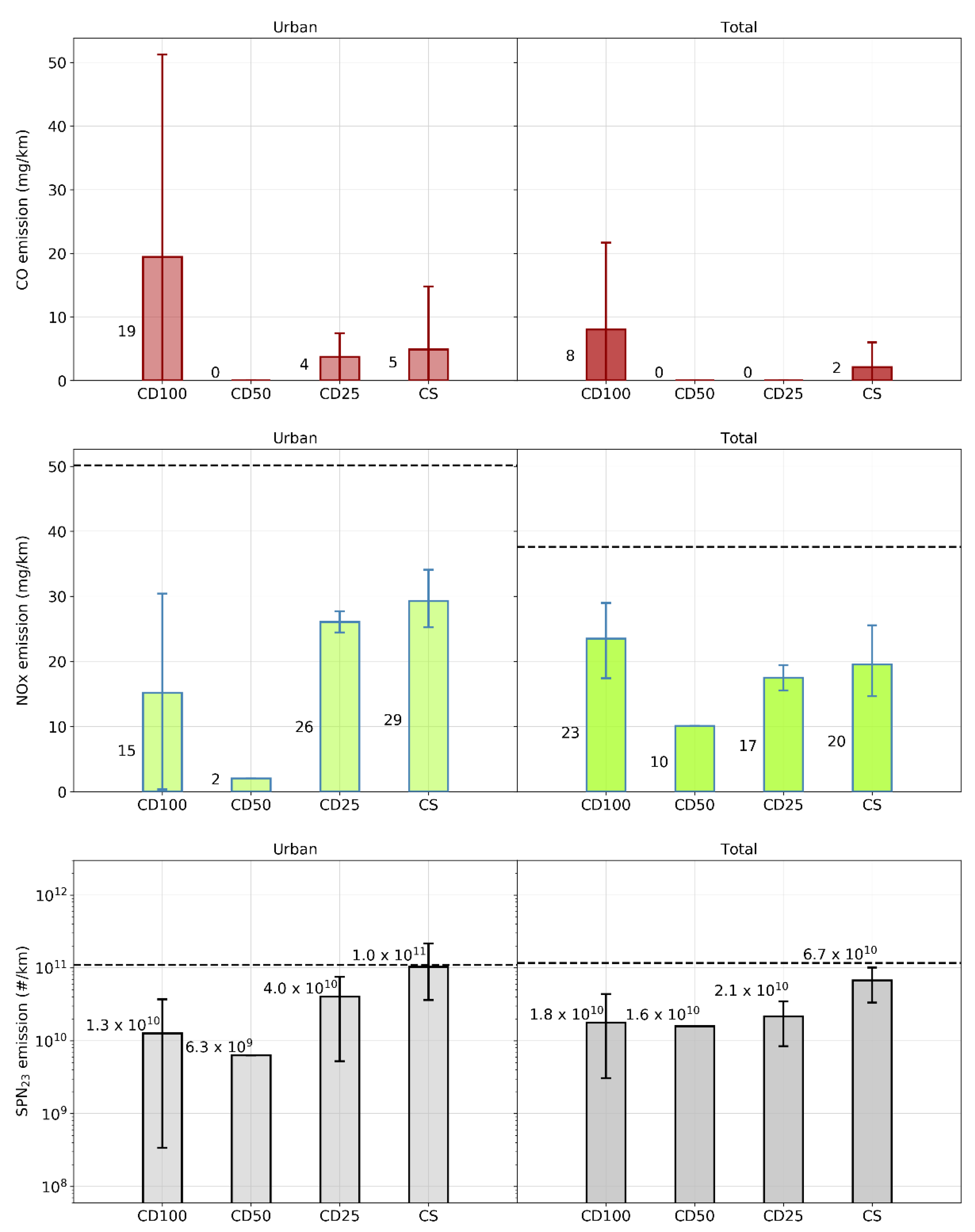
3.4. Emissions Performance during Urban Driving
3.5. Emissions Performance during Laboratory Simulated RDE Driving
3.6. Emissions of CO2 as a Function of the Mode of Operation
4. Conclusions
Supplementary Materials
Author Contributions
Funding
Conflicts of Interest
Disclaimer
References
- European Environmental Agency. The European Environment State and Outlook 2020; Knowledge for Transition to a Sustainable Europe; Publications Office of the European Union: Luxembourg, 2019; ISBN 978-92-9480-090-9. Available online: https://www.eea.europa.eu/publications/soer-2020/at_download/file (accessed on 13 January 2022). [CrossRef]
- Selleri, T.; Melas, A.D.; Joshi, A.; Manara, D.; Perujo, A.; Suarez-Bertoa, R. An Overview of Lean Exhaust deNOx Aftertreatment Technologies and NOx Emission Regulations in the European Union. Catalysts 2021, 11, 404. [Google Scholar] [CrossRef]
- European Environmental Agency. Decarbonising Road Transport—the Role of Vehicles, Fuels and Transport Demand; EEA Report No 02/2022; Publications Office of the European Union: Luxembourg, 2020; ISBN 978-92-9480-473-0. ISSN 1977-8449. Available online: https://www.eea.europa.eu/publications/transport-and-environment-report-2021 (accessed on 12 June 2022). [CrossRef]
- European Automobile Manufacturers’ Association (ACEA) Website. Available online: https://www.acea.auto/fuel-pc/fuel-types-of-new-cars-battery-electric-9-8-hybrid-20-7-and-petrol-39-5-market-share-in-q3-2021/ (accessed on 13 January 2022).
- Selleri, T.; Melas, A.D.; Franzetti, J.; Ferrarese, C.; Giechaskiel, B.; Suarez-Bertoa, R. On-Road and Laboratory Emissions from Three Gasoline Plug-In Hybrid Vehicles—Part 1: Regulated and Unregulated Gaseous Pollutants and Greenhouse Gases. Energies 2022, 15, 2401. [Google Scholar] [CrossRef]
- Suarez-Bertoa, R.; Valverde, V.; Pavlovic, J.; Clairotte, M.; Selleri, T.; Franco, V.; Kregar, Z.; Astorga, C. On-road emissions of Euro 6d-TEMP passenger cars on Alpine routes during the winter period. Environ. Sci. Atmos. 2021, 1, 125. [Google Scholar] [CrossRef]
- Suarez-Bertoa, R.; Pavlovic, J.; Trentadue, G.; Otura-Garcia, M.; Tansini, A.; Ciuffo, B.; Astorga, C. Effect of Low Ambient Temperature on Emissions and Electric Range of Plug-In Hybrid Electric Vehicles. ACS Omega 2019, 4, 3159–3168. [Google Scholar] [CrossRef] [PubMed]
- Pham, A.; Jeftic, M. Characterization of Gaseous Emissions from Blended Plug-In Hybrid Electric Vehicles during High-Power Cold-Starts. SAE Technical Paper 2018-01-0428. 2018. Available online: https://saemobilus.sae.org/content/2018-01-0428/ (accessed on 26 May 2022). [CrossRef]
- Feinauer, M.; Ehrenberger, S.; Epple, F.; Schripp, T.; Grein, T. Investigating Particulate and Nitrogen Oxides Emissions of a Plug-In Hybrid Electric Vehicle for a Real-World Driving Scenario. Appl. Sci. 2022, 12, 1404. [Google Scholar] [CrossRef]
- Franco, V.; Zacharopoulou, T.; Hammer, J.; Schmidt, H.; Mock, P.; Weiss, M.; Samaras, Z. Evaluation of exhaust emissions from three Diesel-hybrid cars and simulation of after-treatment systems for ultralow real-world NO X emissions. Environ. Sci. Technol. 2016, 50, 13151–13159. [Google Scholar] [CrossRef]
- Tribioli, L.; Bella, G. Reduction of particulate emissions in Diesel hybrid electric vehicles with a PMP-based control strategy. Energy Procedia 2018, 148, 994–1001. [Google Scholar] [CrossRef]
- Catania, A.E.; Spessa, E.; Paladini, V.; Vassallo, A. Fuel consumption and emissions of hybrid Diesel applications. MTZ Worldw. 2008, 69, 12–19. [Google Scholar] [CrossRef]
- McCaffery, C.; Zhu, H.; Tang, T.; Li, C.; Karavalakis, G.; Cao, S.; Oshinuga, A.; Burnette, A.; Johnson, K.C.; Durbin, T.D. Real-world NOx emissions from heavy-duty Diesel, natural gas, and Diesel hybrid electric vehicles of different vocations on California roadways. Sci. Total Environ. 2021, 784, 147224. [Google Scholar] [CrossRef]
- Melas, A.D.; Selleri, T.; Franzetti, J.; Ferrarese, C.; Suarez-Bertoa, R.; Giechaskiel, B. On-Road and Laboratory Emissions from Three Gasoline Plug-In Hybrid Vehicles-Part 2: Solid Particle Number Emissions. Energies 2022, 15, 5266. [Google Scholar] [CrossRef]
- Commission Regulation (EU) 2017/1151 of 1 June 2017 Supplementing Regulation (EC) No 715/2007 of the European Parliament and of the Council on Type-Approval of Motor Vehicles with Respect to Emissions from Light Passenger and Commercial Vehicles (Euro 5 and Euro 6) and on Access to Vehicle Repair and Maintenance Information, Amending Directive 2007/46/EC of the European Parliament and of the Council, Commission Regulation (EC) No 692/2008 and Commission Regulation (EU) No 1230/2012 and Repealing Commission Regulation (EC) No 692/2008. Available online: http://data.europa.eu/eli/reg/2017/1151/2020-01-25 (accessed on 26 January 2022).
- Selleri, T.; Melas, A.; Bonnel, P.; Suarez-Bertoa, R. NH3 and CO Emissions from Fifteen Euro 6d and Euro 6d-TEMP Gasoline-Fuelled Vehicles. Catalysts 2022, 12, 245. [Google Scholar] [CrossRef]
- Lähde, T.; Giechaskiel, B.; Pavlovic, J.; Suarez-Bertoa, R.; Valverde, V.; Clairotte, M.; Martini, G. Solid particle number emissions of 56 light-duty Euro 5 and Euro 6 vehicles. J. Aerosol Sci. 2022, 159, 105873. [Google Scholar] [CrossRef]
- Suarez-Bertoa, R.; Gioria, R.; Selleri, T.; Lilova, V.; Melas, A.; Onishi, Y.; Franzetti, J.; Forloni, F.; Perujo, A. NH3 and N2O Real World Emissions Measurement from a CNG Heavy Duty Vehicle Using On-Board Measurement Systems. Appl. Sci. 2021, 11, 10055. [Google Scholar] [CrossRef]
- Bonnel, P.; Clairotte, M.; Cotogno, G.; Gruening, C.; Loos, R.; Manara, D.; Melas, A.; Selleri, T.; Tutuianu, M.; Morales, V.V.; et al. European Market Surveillance of Motor Vehicles-Results of the 2020–2021 European Commission Vehicle Emissions Testing Programme; EUR 31030 EN; Publications Office of the European Union: Luxembourg, 2022; ISBN 978-92-76-49645-8. [Google Scholar] [CrossRef]
- Giechaskiel, B.; Melas, A.; Lähde, T. Detailed Characterization of Solid and Volatile Particle Emissions of Two Euro 6 Diesel Vehicles. Appl. Sci. 2022, 12, 3321. [Google Scholar] [CrossRef]
- Valverde, V.; Giechaskiel, B. Assessment of Gaseous and Particulate Emissions of a Euro 6d-Temp Diesel Vehicle Driven >1300 km Including Six Diesel Particulate Filter Regenerations. Atmosphere 2020, 11, 645. [Google Scholar] [CrossRef]
- Selleri, T.; Gioria, R.; Melas, A.D.; Giechaskiel, B.; Forloni, F.; Mendoza Villafuerte, P.; Demuynck, J.; Bosteels, D.; Wilkes, T.; Simons, O.; et al. Measuring Emissions from a Demonstrator Heavy-Duty Diesel Vehicle under Real-World Conditions—Moving Forward to Euro VII. Catalysts 2022, 12, 184. [Google Scholar] [CrossRef]
- Kamasamudram, K.; Henry, C.; Currier, N.; Yezerets, A. N2O Formation and Mitigation in Diesel Aftertreatment Systems. SAE Int. J. Engines 2012, 5, 688–698. Available online: https://www.jstor.org/stable/26278393 (accessed on 2 March 2022). [CrossRef]
- Clairotte, M.; Suarez-Bertoa, R.; Zardini, A.A.; Giechaskiel, B.; Pavlovic, J.; Valverde, V.; Ciuffo, B.; Astorga, C. Exhaust emission factors of greenhouse gases (GHGs) from European road vehicles. Environ. Sci. Eur. 2020, 32, 1–20. [Google Scholar] [CrossRef]
- Weber, C.; Sundvor, I.; Figenbaum, E. Comparison of Regulated Emission Factors of Euro 6 LDV in Nordic Temperatures and Cold Start Conditions: Diesel- and Gasoline Direct-Injection. Atmos. Environ. 2019, 206, 208–217. [Google Scholar] [CrossRef]
- Liu, Y.; Ge, Y.; Tan, J.; Wang, H.; Ding, Y. Research on Ammonia Emissions Characteristics from Light-Duty Gasoline Vehicles. J. Environ. Sci. 2021, 106, 182–193. [Google Scholar] [CrossRef]
- Giechaskiel, B. Particle Number Emissions of a Diesel Vehicle during and between Regeneration Events. Catalysts 2020, 10, 587. [Google Scholar] [CrossRef]
- Valverde, V.; Mora, B.A.; Clairotte, M.; Pavlovic, J.; Suarez-Bertoa, R.; Giechaskiel, B.; Astorga-LLorens, C.; Fontaras, G. Emission Factors Derived from 13 Euro 6b Light-Duty Vehicles Based on Laboratory and On-Road Measurements. Atmosphere 2019, 10, 243. [Google Scholar] [CrossRef] [Green Version]
- Kontses, A.; Triantafyllopoulos, G.; Ntziachristos, L.; Samaras, Z. Particle number (PN) emissions from gasoline, Diesel, LPG, CNG and hybrid-electric light-duty vehicles under real-world driving conditions. Atmos. Environ. 2020, 222, 117126. [Google Scholar] [CrossRef]
- IPCC. Climate Change 2014: Synthesis Report; Contribution of Working Groups I, II and III to the Fifth Assessment Report of the Intergovernmental Panel on Climate Change; Core Writing Team, Pachauri, R.K., Meyer, L.A., Eds.; Cambridge University: Cambridge, UK, 2014. [Google Scholar]









Publisher’s Note: MDPI stays neutral with regard to jurisdictional claims in published maps and institutional affiliations. |
© 2022 by the authors. Licensee MDPI, Basel, Switzerland. This article is an open access article distributed under the terms and conditions of the Creative Commons Attribution (CC BY) license (https://creativecommons.org/licenses/by/4.0/).
Share and Cite
Selleri, T.; Melas, A.; Ferrarese, C.; Franzetti, J.; Giechaskiel, B.; Suarez-Bertoa, R. Emissions from a Modern Euro 6d Diesel Plug-In Hybrid. Atmosphere 2022, 13, 1175. https://doi.org/10.3390/atmos13081175
Selleri T, Melas A, Ferrarese C, Franzetti J, Giechaskiel B, Suarez-Bertoa R. Emissions from a Modern Euro 6d Diesel Plug-In Hybrid. Atmosphere. 2022; 13(8):1175. https://doi.org/10.3390/atmos13081175
Chicago/Turabian StyleSelleri, Tommaso, Anastasios Melas, Christian Ferrarese, Jacopo Franzetti, Barouch Giechaskiel, and Ricardo Suarez-Bertoa. 2022. "Emissions from a Modern Euro 6d Diesel Plug-In Hybrid" Atmosphere 13, no. 8: 1175. https://doi.org/10.3390/atmos13081175
APA StyleSelleri, T., Melas, A., Ferrarese, C., Franzetti, J., Giechaskiel, B., & Suarez-Bertoa, R. (2022). Emissions from a Modern Euro 6d Diesel Plug-In Hybrid. Atmosphere, 13(8), 1175. https://doi.org/10.3390/atmos13081175

