Evaluation of Water Vapor Product from TROPOMI and GOME-2 Satellites against Ground-Based GNSS Data over Europe
Abstract
1. Introduction
2. Data and Methods
2.1. GNSS Data
2.2. Satellite Products
2.2.1. GOME-2
- DOAS fitting: water vapor, and absorptions are taken into account. cross section uses line-by-line computations with HITRAN line parameter for fixed conditions (temperature and pressure). The broadband filtering is improved by the inclusion of three types of vegetation spectra as a correction for the Ring effect [31];
- Saturation effect correction: GOME-2 cannot spectrally resolve the water vapor absorption bands. Therefore, the water vapor slant column density (SCD) is not linear with vertical column density (VCD), and a correction must be applied. The correction is calculated by mathematical convolution of spectrum with the instrument slit function. This correction is more important for larger water vapor SCD, and in the tropics;
- Vertical column density calculation: The corrected SCD must be converted to VCD to make it geometry-independent. This is achieved by dividing SCD by a convenient air mass factor (AMF), which is derived from oxygen absorption. AMF is calculated by dividing SCD by the VCD for a standard atmosphere, since water vapor’s and oxygen’s AMF are assumed to be similar, which can lead to systematic errors [12–18% under a clear sky, but it can reach 50% under cloudy conditions, see [30]]; O AMF is expected to be larger than water vapor’s, since scale height of is larger than the one of . This is corrected using a look-up table with correction factors, which depends on solar zenith angle (SZA), line of sight angle, relative azimuth and surface albedo. The correction factors are calculated through radiative transfer calculations.
2.2.2. TROPOMI
2.3. Data Matching and Statistical Treatment
3. Results and Discussion
3.1. Statistical Parameters
3.2. Dependences
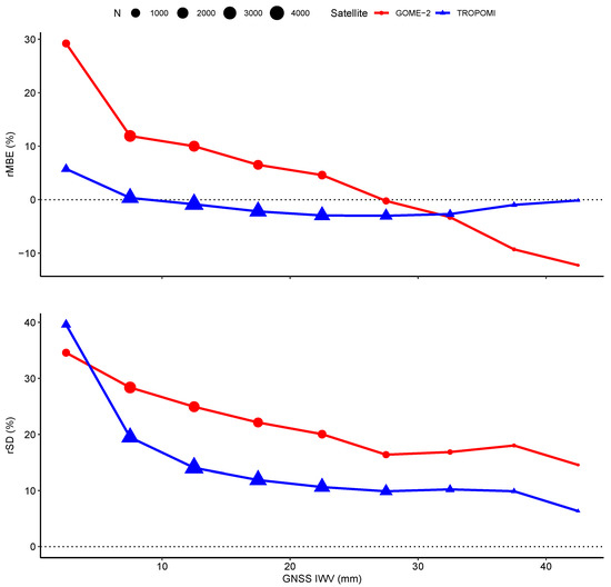
3.2.1. Dependence on IWV
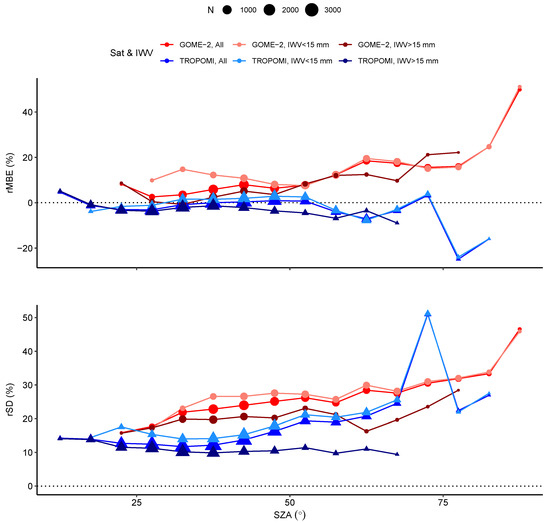
3.2.2. Dependence on SZA
3.2.3. Dependence on Cloud Fraction
4. Conclusions
Author Contributions
Funding
Data Availability Statement
Conflicts of Interest
Abbreviations
| AMF | Air Mass Factor |
| CF | Cloud Fraction |
| DOAS | Differential Optical Absorption Spectrography |
| ECMWF | European Centre for Medium-Range Weather Forecasts |
| ENVISAT | Environmental Satellite |
| ERA5 | ECMWF ReAnalisys-5 |
| EUMETSAT | European Organisation for the Exploitation of Meteorological Satellites |
| GNSS | Global Navigation Satellite Systems |
| GOME-2 | Global Ozone Monitoring Experiment-2 |
| IGS | International GNSS Service |
| IWV | Integrated Water Vapor |
| S5P | Sentinel-5 Precursor |
| SCD | Slant Column Density |
| SCIAMACHY | SCanning Imaging Absorption SpectroMeter for Atmospheric CHartographY |
| SZA | Solar Zenith Angle |
| TROPOMI | TROPOspheric Monitoring Instrument |
| VCD | Vertical Column Density |
| ZHD | Zenith Hydrostatic Delay |
| ZTD | Zenith Tropospheric Delay |
| ZWD | Zenith Wet Delay |
References
- Myhre, G.; Shindell, D.; Bréon, F.M.; Collins, W.; Fuglestvedt, J.; Huang, J.; Koch, D.; Lamarque, J.F.; Lee, D.; Mendoza, B.; et al. Anthropogenic and Natural Radiative Forcing. In Climate Change 2013: The Physical Science Basis. Contribution of Working Group I to the Fifth Assessment Report of the Intergovernmental Panel on Climate Change; IPCC ed.; Cambridge University Press: Cambridge, UK, 2013; pp. 659–740. [Google Scholar]
- Colman, R. A Comparison of Climate Feedbacks in General Circulation Models. Clim. Dyn. 2003, 20, 865–873. [Google Scholar] [CrossRef]
- Colman, R.A. Climate Radiative Feedbacks and Adjustments at the Earth’s Surface. J. Geophys. Res. Atmos. 2015, 120, 3173–3182. [Google Scholar] [CrossRef]
- Vaquero-Martínez, J.; Antón, M. Review on the Role of GNSS Meteorology in Monitoring Water Vapor for Atmospheric Physics. Remote Sens. 2021, 13, 2287. [Google Scholar] [CrossRef]
- Köpken, C. Validation of Integrated Water Vapor from Numerical Models Using Ground-Based GPS, SSM/I, and Water Vapor Radiometer Measurements. J. Appl. Meteorol. 2001, 40, 1105–1117. [Google Scholar] [CrossRef]
- Prasad, A.K.; Singh, R.P. Validation of MODIS Terra, AIRS, NCEP/DOE AMIP-II Reanalysis-2, and AERONET Sun Photometer Derived Integrated Precipitable Water Vapor Using Ground-Based GPS Receivers over India. J. Geophys. Res. 2009, 114, D05107. [Google Scholar] [CrossRef]
- Rama Varma Raja, M.K.; Gutman, S.I.; Yoe, J.G.; McMillin, L.M.; Zhao, J. The Validation of AIRS Retrievals of Integrated Precipitable Water Vapor Using Measurements from a Network of Ground-Based GPS Receivers over the Contiguous United States. J. Atmos. Ocean. Technol. 2008, 25, 416–428. [Google Scholar] [CrossRef]
- Román, R.; Antón, M.; Cachorro, V.; Loyola, D.; Ortiz de Galisteo, J.; de Frutos, A.; Romero-Campos, P. Comparison of Total Water Vapor Column from GOME-2 on MetOp-A against Ground-Based GPS Measurements at the Iberian Peninsula. Sci. Total Environ. 2015, 533, 317–328. [Google Scholar] [CrossRef]
- Vaquero-Martínez, J.; Antón, M.; Ortiz de Galisteo, J.P.; Cachorro, V.E.; Costa, M.J.; Román, R.; Bennouna, Y.S. Validation of MODIS Integrated Water Vapor Product against Reference GPS Data at the Iberian Peninsula. Int. J. Appl. Earth Obs. Geoinf. 2017, 63, 214–221. [Google Scholar] [CrossRef][Green Version]
- Vaquero-Martínez, J.; Antón, M.; Ortiz de Galisteo, J.P.; Cachorro, V.E.; Wang, H.; González Abad, G.; Román, R.; Costa, M.J. Validation of Integrated Water Vapor from OMI Satellite Instrument against Reference GPS Data at the Iberian Peninsula. Sci. Total Environ. 2017, 580, 857–864. [Google Scholar] [CrossRef]
- Vaquero-Martínez, J.; Antón, M.; Román, R.; Cachorro, V.E.; Wang, H.; González Abad, G.; Ritter, C. Water Vapor Satellite Products in the European Arctic: An Inter-Comparison against GNSS Data. Sci. Total Environ. 2020, 741, 140335. [Google Scholar] [CrossRef]
- Guerova, G.; Jones, J.; Douša, J.; Dick, G.; de Haan, S.; Pottiaux, E.; Bock, O.; Pacione, R.; Elgered, G.; Vedel, H.; et al. Review of the State of the Art and Future Prospects of the Ground-Based GNSS Meteorology in Europe. Atmos. Meas. Tech. 2016, 9, 5385–5406. [Google Scholar] [CrossRef]
- Antón, M.; Loyola, D.; Román, R.; Vömel, H. Validation of GOME-2/MetOp-A Total Water Vapour Column Using Reference Radiosonde Data from the GRUAN Network. Atmos. Meas. Tech. 2015, 8, 1135–1145. [Google Scholar] [CrossRef]
- Kalakoski, N.; Kujanpää, J.; Sofieva, V.; Tamminen, J.; Grossi, M.; Valks, P. Validation of GOME-2/Metop Total Column Water Vapour with Ground-Based and in Situ Measurements. Atmos. Meas. Tech. 2016, 9, 12. [Google Scholar] [CrossRef]
- Veefkind, J.; Aben, I.; McMullan, K.; Förster, H.; de Vries, J.; Otter, G.; Claas, J.; Eskes, H.; de Haan, J.; Kleipool, Q.; et al. TROPOMI on the ESA Sentinel-5 Precursor: A GMES Mission for Global Observations of the Atmospheric Composition for Climate, Air Quality and Ozone Layer Applications. Remote Sens. Environ. 2012, 120, 70–83. [Google Scholar] [CrossRef]
- Schneider, A.; Borsdorff, T.; aan de Brugh, J.; Aemisegger, F.; Feist, D.G.; Kivi, R.; Hase, F.; Schneider, M.; Landgraf, J. First Data Set of H2O/HDO Columns from the Tropospheric Monitoring Instrument (TROPOMI). Atmos. Meas. Tech. 2020, 13, 85–100. [Google Scholar] [CrossRef]
- Borger, C.; Beirle, S.; Dörner, S.; Sihler, H.; Wagner, T. Total Column Water Vapour Retrieval from S-5P/TROPOMI in the Visible Blue Spectral Range. Atmos. Meas. Tech. 2020, 13, 2751–2783. [Google Scholar] [CrossRef]
- Küchler, T.; Noël, S.; Bovensmann, H.; Burrows, J.P.; Wagner, T.; Borger, C.; Borsdorff, T.; Schneider, A. Total Water Vapour Columns Derived from Sentinel 5p Using the AMC-DOAS Method. Atmos. Meas. Tech. 2022, 15, 297–320. [Google Scholar] [CrossRef]
- Chan, K.L.; Valks, P.; Slijkhuis, S.; Köhler, C.; Loyola, D. Total Column Water Vapor Retrieval for Global Ozone Monitoring Experience-2 (GOME-2) Visible Blue Observations. Atmos. Meas. Tech. 2020, 13, 4169–4193. [Google Scholar] [CrossRef]
- Chan, K.L.; Xu, J.; Slijkhuis, S.; Valks, P.; Loyola, D. TROPOspheric Monitoring Instrument Observations of Total Column Water Vapour: Algorithm and Validation. Sci. Total Environ. 2022, 821, 153232. [Google Scholar] [CrossRef]
- Bevis, M.; Businger, S.; Herring, T.A.; Rocken, C.; Anthes, R.A.; Ware, R.H. GPS Meteorology: Remote Sensing of Atmospheric Water Vapor Using the Global Positioning System. J. Geophys. Res. 1992, 97, 15787. [Google Scholar] [CrossRef]
- Saastamoinen, J. Atmospheric Correction for the Troposphere and Stratosphere in Radio Ranging Satellites. In Geophysical Monograph Series; Henriksen, S.W., Mancini, A., Chovitz, B.H., Eds.; American Geophysical Union: Washington, DC, USA, 1972; pp. 247–251. [Google Scholar] [CrossRef]
- Hersbach, H.; Bell, B.; Berrisford, P.; Hirahara, S.; Horányi, A.; Muñoz-Sabater, J.; Nicolas, J.; Peubey, C.; Radu, R.; Schepers, D.; et al. The ERA5 Global Reanalysis. Q. J. R. Meteorol. Soc. 2020, 146, 1999–2049. [Google Scholar] [CrossRef]
- Wang, X.; Zhang, K.; Wu, S.; Fan, S.; Cheng, Y. Water Vapor-Weighted Mean Temperature and Its Impact on the Determination of Precipitable Water Vapor and Its Linear Trend: Water Vapor-Weighted Mean Temperature. J. Geophys. Res. Atmos. 2016, 121, 833–852. [Google Scholar] [CrossRef]
- Callies, J.; Corpaccioli, E.; Eisinger, M.; Hahne, A.; Lefebvre, A. GOME-2-Metop’s Second-Generation Sensor for Operational Ozone Monitoring. ESA-Bull.-Eur. Space Agency 2000, 102, 28–36. [Google Scholar]
- Munro, R.; Lang, R.; Klaes, D.; Poli, G.; Retscher, C.; Lindstrot, R.; Huckle, R.; Lacan, A.; Grzegorski, M.; Holdak, A.; et al. The GOME-2 Instrument on the Metop Series of Satellites: Instrument Design, Calibration, and Level 1 Data Processing—An Overview. Atmos. Meas. Tech. 2016, 9, 1279–1301. [Google Scholar] [CrossRef]
- Platt, U.; Stutz, J. Differential Optical Absorption Spectroscopy: Principles and Applications; Physics of Earth and Space Environments; Springer: Berlin, Germany, 2008. [Google Scholar]
- Grossi, M.; Valks, P.; Loyola, D.; Aberle, B.; Slijkhuis, S.; Wagner, T.; Beirle, S.; Lang, R. Total Column Water Vapour Measurements from GOME-2 MetOp-A and MetOp-B. Atmos. Meas. Tech. 2015, 8, 1111–1133. [Google Scholar] [CrossRef]
- Wagner, T.; Beirle, S.; Grzegorski, M.; Platt, U. Global Trends (1996-2003) of Total Column Precipitable Water Observed by Global Ozone Monitoring Experiment (GOME) on ERS-2 and Their Relation to near-Surface Temperature. J. Geophys. Res. 2006, 111, D12102. [Google Scholar] [CrossRef]
- Wagner, T.; Heland, J.; Zöger, M.; Platt, U. A Fast H2O Total Column Density Product from GOME: Validation with in-Situ Aircraft Measurements. Atmos. Chem. Phys. Discuss. 2003, 3, 323–353. [Google Scholar] [CrossRef]
- Wagner, T.; Beirle, S.; Deutschmann, T. Three-Dimensional Simulation of the Ring Effect in Observations of Scattered Sun Light Using Monte Carlo Radiative Transfer Models. Atmos. Meas. Tech. 2009, 2, 113–124. [Google Scholar] [CrossRef]
- Loyola, D.G.; Xu, J.; Heue, K.P.; Zimmer, W. Applying FP_ILM to the Retrieval of Geometry-Dependent Effective Lambertian Equivalent Reflectivity (GE_LER) Daily Maps from UVN Satellite Measurements. Atmos. Meas. Tech. 2020, 13, 985–999. [Google Scholar] [CrossRef]
- Vaquero-Martínez, J.; Antón, M.; Ortiz de Galisteo, J.P.; Cachorro, V.E.; Álvarez-Zapatero, P.; Román, R.; Loyola, D.; Costa, M.J.; Wang, H.; Abad, G.G.; et al. Inter-Comparison of Integrated Water Vapor from Satellite Instruments Using Reference GPS Data at the Iberian Peninsula. Remote Sens. Environ. 2018, 204, 729–740. [Google Scholar] [CrossRef]
- Garane, K.; Chan, K.L.; Koukouli, M.E.; Loyola, D.; Balis, D. TROPOMI/S5P Total Column Water Vapor Validation against AERONET Ground-Based Measurements. Atmos. Meas. Tech. Discuss. 2022, 1–22. [Google Scholar] [CrossRef]
- Wang, J.; Zhang, L.; Dai, A.; Van Hove, T.; Van Baelen, J. A Near-Global, 2-Hourly Data Set of Atmospheric Precipitable Water from Ground-Based GPS Measurements. J. Geophys. Res. 2007, 112, D11107. [Google Scholar] [CrossRef]
- Schneider, M.; Romero, P.M.; Hase, F.; Blumenstock, T.; Cuevas, E.; Ramos, R. Continuous Quality Assessment of Atmospheric Water Vapour Measurement Techniques: FTIR, Cimel, MFRSR, GPS, and Vaisala RS92. Atmos. Meas. Tech. 2010, 3, 323–338. [Google Scholar] [CrossRef]
- Kokhanovsky, A.; Rozanov, V. The Uncertainties of Satellite DOAS Total Ozone Retrieval for a Cloudy Sky. Atmos. Res. 2008, 87, 27–36. [Google Scholar] [CrossRef]
- Antón, M.; Loyola, D. Influence of Cloud Properties on Satellite Total Ozone Observations. J. Geophys. Res. 2011, 116, D03208. [Google Scholar] [CrossRef]






Publisher’s Note: MDPI stays neutral with regard to jurisdictional claims in published maps and institutional affiliations. |
© 2022 by the authors. Licensee MDPI, Basel, Switzerland. This article is an open access article distributed under the terms and conditions of the Creative Commons Attribution (CC BY) license (https://creativecommons.org/licenses/by/4.0/).
Share and Cite
Vaquero-Martinez, J.; Anton, M.; Chan, K.L.; Loyola, D. Evaluation of Water Vapor Product from TROPOMI and GOME-2 Satellites against Ground-Based GNSS Data over Europe. Atmosphere 2022, 13, 1079. https://doi.org/10.3390/atmos13071079
Vaquero-Martinez J, Anton M, Chan KL, Loyola D. Evaluation of Water Vapor Product from TROPOMI and GOME-2 Satellites against Ground-Based GNSS Data over Europe. Atmosphere. 2022; 13(7):1079. https://doi.org/10.3390/atmos13071079
Chicago/Turabian StyleVaquero-Martinez, Javier, Manuel Anton, Ka Lok Chan, and Diego Loyola. 2022. "Evaluation of Water Vapor Product from TROPOMI and GOME-2 Satellites against Ground-Based GNSS Data over Europe" Atmosphere 13, no. 7: 1079. https://doi.org/10.3390/atmos13071079
APA StyleVaquero-Martinez, J., Anton, M., Chan, K. L., & Loyola, D. (2022). Evaluation of Water Vapor Product from TROPOMI and GOME-2 Satellites against Ground-Based GNSS Data over Europe. Atmosphere, 13(7), 1079. https://doi.org/10.3390/atmos13071079

