Self-Organized Criticality of Precipitation in the Rainy Season in East China
Abstract
:1. Introduction
2. Data and Method
2.1. Data
2.2. Method
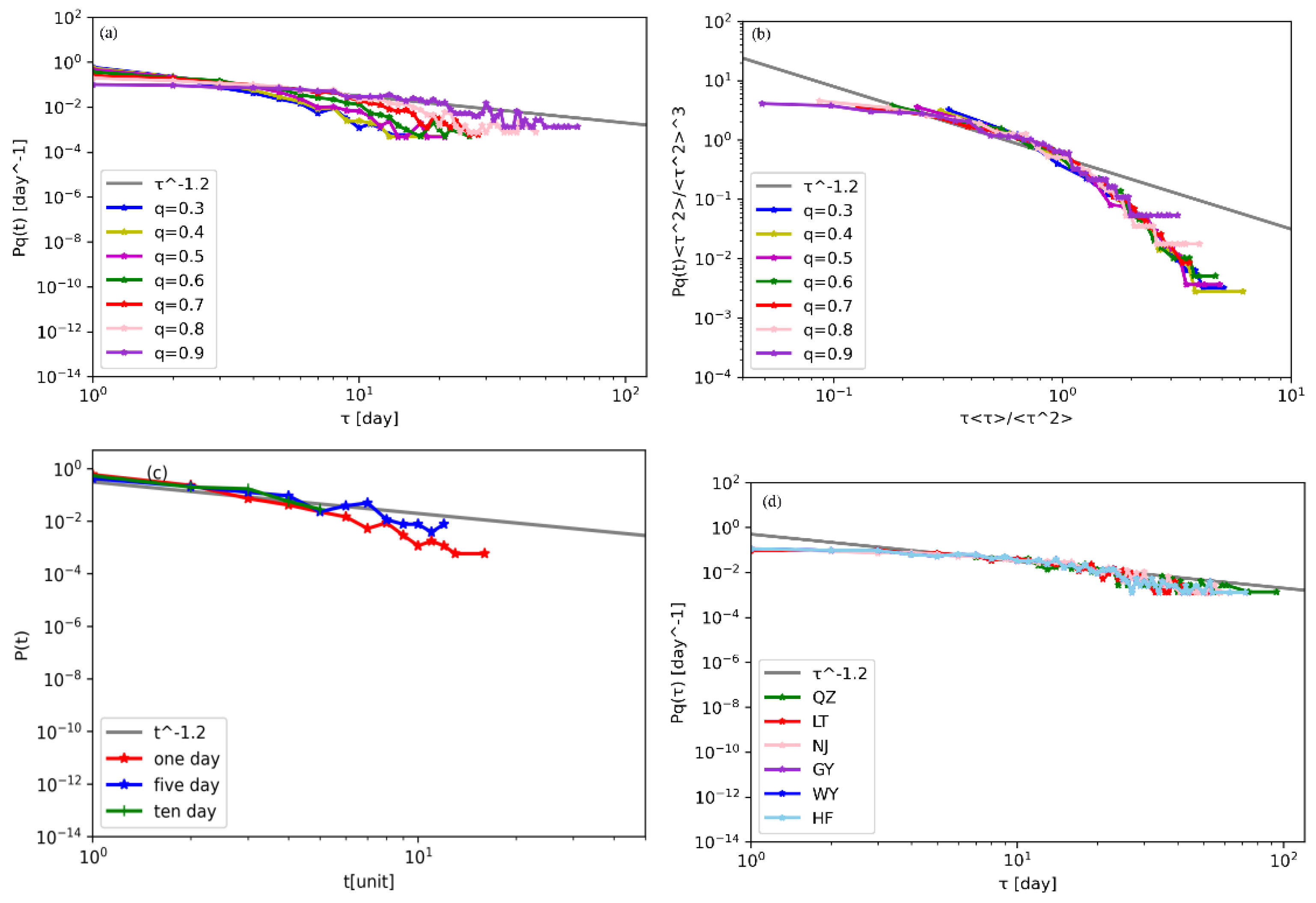
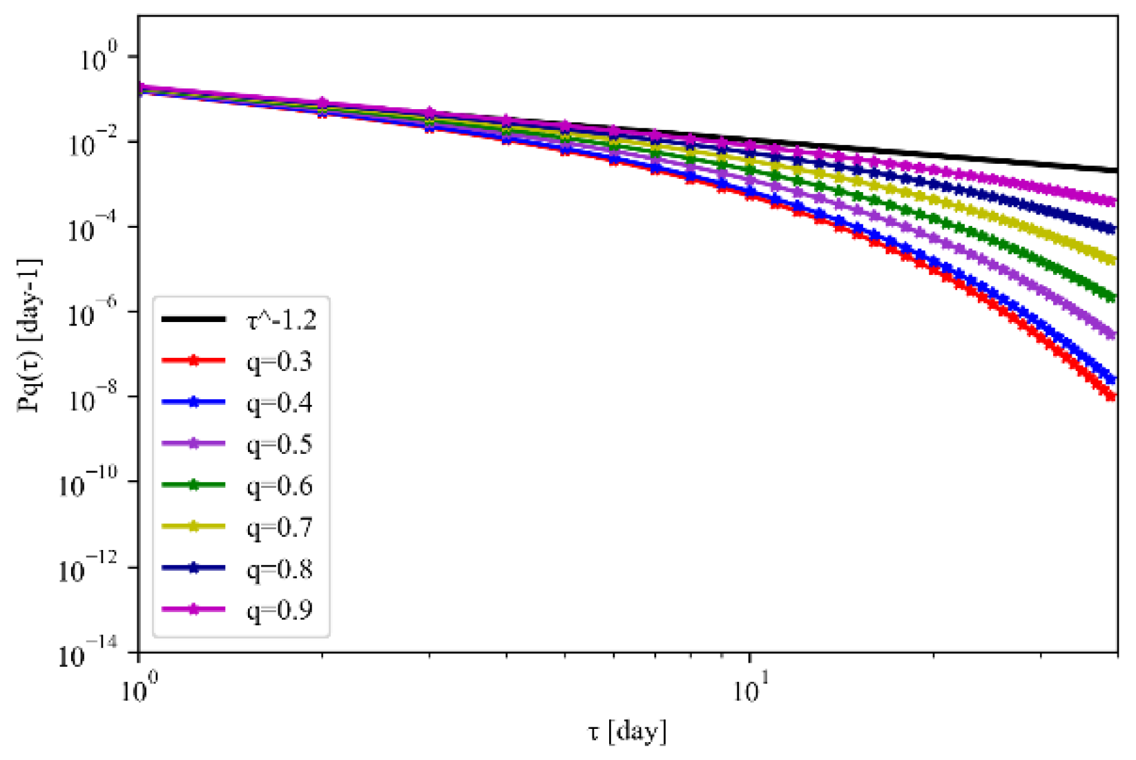
3. Self-Organized Critical Characteristics of Precipitation Events
4. Practical Application of Self-Organized Critical Precipitation Events
4.1. Variables and
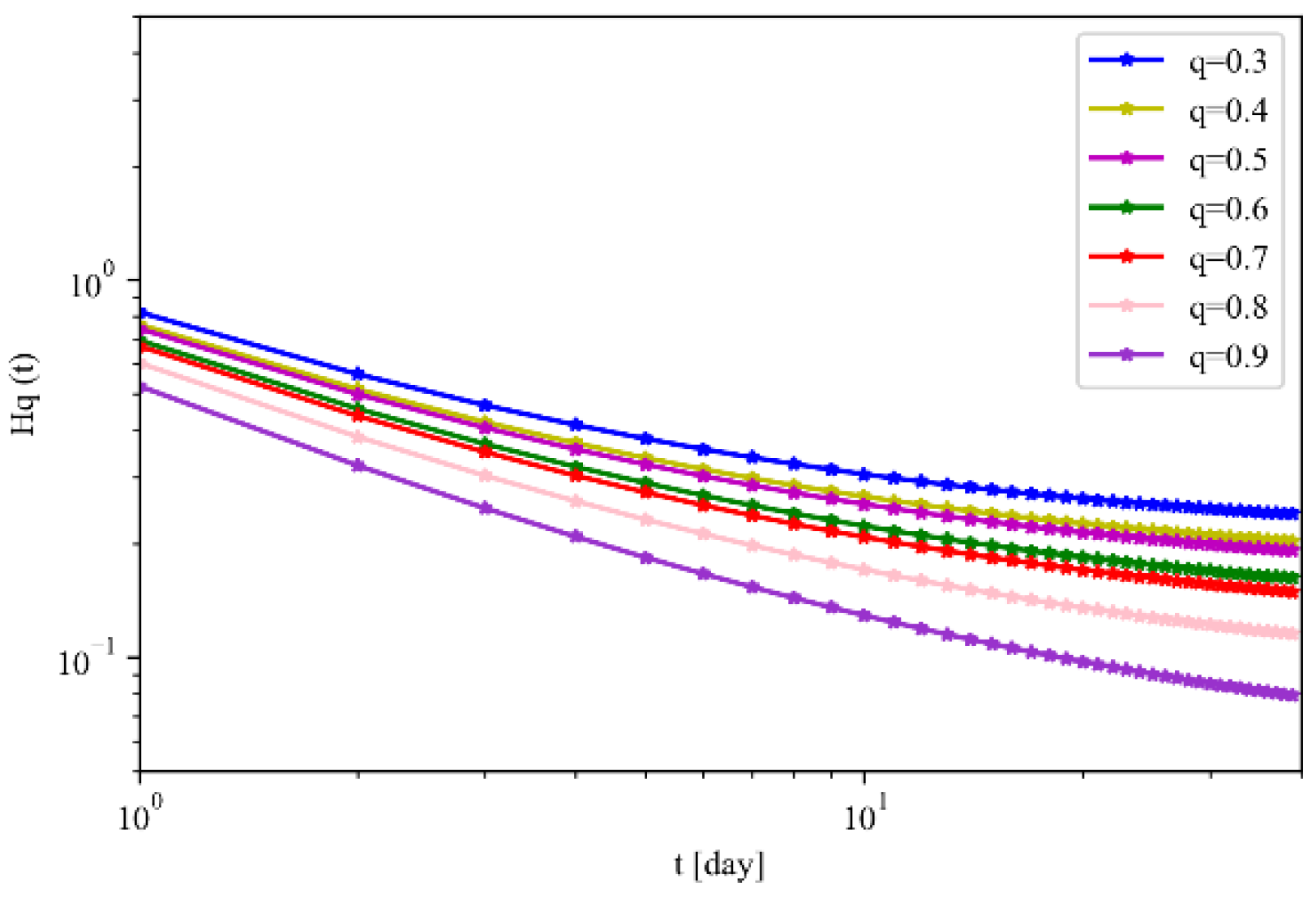
4.2. Warning Information for Precipitation Events Based on the Hazard Function
5. Conclusions and Discussion
Author Contributions
Funding
Institutional Review Board Statement
Informed Consent Statement
Data Availability Statement
Conflicts of Interest
References
- Wang, L.-C.; Wu, J.-T.; Lee, T.-Q.; Lee, P.-F.; Chen, S.-H. Climate changes inferred from integrated multi-site pollen data in northern Taiwan. J. Southeast Asian Earth Sci. 2011, 40, 1164–1170. [Google Scholar] [CrossRef]
- Pryor, S.C.; Howe, J.A.; Kunkel, K.E. How spatially coherent and statistically robust are temporal changes in extreme precipitation in the contiguous USA? Int. J. Climatol. 2009, 29, 31–45. [Google Scholar] [CrossRef]
- Trenberth, K.E. Atmospheric Moisture Residence Times and Cycling: Implications for Rainfall Rates and Climate Change. Clim. Chang. 1998, 39, 667–694. [Google Scholar] [CrossRef]
- Bao, M.; Huang, R.H. Characteristics of the Interdecadal Variations of Heavy Rain over China in the Last 40 Years Chinese. J. Atmos. Sci. 2006, 30, 1057–1067. (In Chinese) [Google Scholar]
- Contractor, S.; Donat, M.G.; Alexander, L.V. Changes in Observed Daily Precipitation over Global Land Areas since. J. Clim. 2021, 34, 3–19. [Google Scholar] [CrossRef]
- Zhao, J.H.; Feng, G.L.; Yang, J.; Zhi, R.; Wang, Q.G. Analysis of the distribution of the large-scale drought/flood of summer in China under different types of the western Pacific subtropical high. Acta. Meteor. Sinica. 2012, 70, 1021–1031. (In Chinese) [Google Scholar]
- He, B.-R.; Zhai, P.-M. Changes in persistent and non-persistent extreme precipitation in China from 1961 to 2016. Adv. Clim. Chang. Res. 2018, 9, 177–184. [Google Scholar] [CrossRef]
- He, J.H.; Wu, Z.W.; Jiang, Z.H. “Climate effect”of the northeast cold vortex and its influences on Meiyu. Chin. Sci. Bull. 2006, 51, 2803–2809. (In Chinese) [Google Scholar] [CrossRef]
- Shi, N.; Huang, X.X.; Yang, Y. Temporal and spatial characteristics of the trend of global precipitation annual precipitation field from 1948 to 2000. Chin. J. Atmos. Sci. 2003, 27, 971–982. (In Chinese) [Google Scholar]
- Zhang, Q.Y.; Lv, J.M.; Yang, L.M. The interdecadal variation of precipitation pattern over China during summer and its relationship with the atmospheric internal dynamic processes and extra-forcing factors. Chin. J. Atmos. Sci. 2007, 31, 1290–1300. (in Chinese). [Google Scholar]
- Song, Y.; Achberger, C.; Linderholm, H. Rain-season trends in precipitation and their effect in different climate regions of China during 1961–2008. Environ. Res. Lett. 2011, 6, 1481–1484. [Google Scholar] [CrossRef] [Green Version]
- Jin, W.X.; Sun, C.H.; Zuo, J.Q.; Li, W.J. Spatiotemporal Characteristics of Summer Precipitation with Different Durations in Central East China. Clim. Environ. Res. 2015, 20, 465–467. (In Chinese) [Google Scholar]
- Duan, L.; Zheng, J.; Li, W.; Liu, T.; Luo, Y. Multivariate properties of extreme precipitation events in the Pearl River basin, China: Magnitude, frequency, timing, and related causes. Hydrol. Process. 2017, 31, 3662–3671. [Google Scholar] [CrossRef]
- Rho, H.; Kim, J.H. Modelling the entire range of daily precipitation using phase-type distributions. Adv. Water Resour. 2018, 123, 210–224. [Google Scholar] [CrossRef]
- Arneodo, A.; Bacry, E.; Graves, P.V.; Muzy, J.F. Characterizing Long-Range Correlations in DNA Sequences from Wavelet Analysis. Phys. Rev. Lett. 1995, 74, 3293–3296. [Google Scholar] [CrossRef] [Green Version]
- Fisher, R.A.; Tippett, L.H.C. Limiting forms of the frequency distribution of the largest or smallest member of a sample. Math. Proc. Camb. Philos. Soc. 1928, 24, 180–190. [Google Scholar] [CrossRef]
- He, W.P.; Feng, G.L.; Wu, Q.; Wan, S.Q.; Chou, J.F. A new method for abrupt change detection in dynamic structures. Nonlinear Process. Geophys. 2008, 15, 601–606. [Google Scholar] [CrossRef]
- Gong, Z.Q.; Feng, G.L.; Wan, S.Q.; Li, J.P. Analysis of features of climate change of Huabei area and the global climate change based on heuristic segmentation algorithm. Acta Phys. Sin. 2006, 55, 477–484. [Google Scholar] [CrossRef]
- Feng, G.-L.; Gong, Z.-Q.; Zhi, R.; Zhang, D.-Q. Analysis of precipitation characteristics of South and North China based on the power-law tail exponents. Chin. Phys. B. 2008, 17, 2745–2752. [Google Scholar]
- Feng, G.L.; Gong, Z.Q.; Dong, W.J. Li, J.P. Research on Climate Mutation Detection Based on Heuristic Segmentation Algorithm. Acta Phys. Sin. 2005, 54, 5494–5499. [Google Scholar] [CrossRef]
- Wang, Q.G.; Zhi, R.; Zhang, Z.P. The Preliminary Analysis of the Procedures of Extracting Predicable Components in Numerical Model of Lorenz System. Acta Phys. Sin. 2008, 57, 5343–5350. [Google Scholar]
- Yano, J.I.; Fraedrich, K.; Blender, R. Tropical Convective Variability as 1/f Noise. J. Clim. 2001, 14, 3608–3616. [Google Scholar] [CrossRef]
- Peters, O.; Neelin, J.D. Critical phenomena in atmospheric precipitation. Nat. Phys. 2006, 2, 393–396. [Google Scholar] [CrossRef] [Green Version]
- Shi, K.; Di, B.; Liu, C.; Huang, Z.; Zhang, B. Wenchuan aftershocks as an example of self-organized criticality. J. Southeast Asian Earth Sci. 2012, 50, 61–65. [Google Scholar] [CrossRef]
- Gang, W.; Min, L.; Fang-Li, Q.; Yi-Jun, H. Self-organized Criticality Model for Ocean Internal Waves. Commun. Theor. Phys. 2009, 51, 490–494. [Google Scholar] [CrossRef]
- Fraedrich, K.; Larnder, C. Scaling regimes of composite rainfall time series. Tellus A 1993, 45, 10. [Google Scholar] [CrossRef]
- Bak, P.; Tang, C.; Wiesenfeld, K. Self-organized criticality: An explanation of the 1/f noise. Phys. Rev. Lett. 1987, 59, 381–384. [Google Scholar] [CrossRef]
- Zanette, D.H. Multiplicative processes and city sizes. In The Dynamics of Complex Urban Systems. An Interdisciplinary Approach; Springer: Berlin, Germany, 2007. [Google Scholar]
- Sepkoski, J.J., Jr. Ten years in the library: New data confirm paleontological patterns. Paleobiology. 1993, 19, 43–51. [Google Scholar] [CrossRef] [Green Version]
- Johansen, A. Spatio-temporal self-organization in a model of disease spreading. Phys. D Nonlinear Phenom. 1994, 78, 186–193. [Google Scholar] [CrossRef]
- Hovius, N.; Stark, C.P.; Allen, P.A. Sediment flux from a mountain belt derived by landslide mapping. Geology 1997, 25, 231–234. [Google Scholar] [CrossRef] [Green Version]
- Geller, R.J.; Jackson, D.D.; Kagan, Y.Y.; Mulargia, F. Earthquakes cannot be predicted. Science 1997, 275, 1616. [Google Scholar] [CrossRef] [Green Version]
- Bak, P.; Tang, C.; Wiesenfeld, K. Self-organized criticality. Phys. Rev. A 1988, 38, 364–374. [Google Scholar] [CrossRef]
- Aschwanden, M.J. A statistical fractal-diffusive avalanche model of a slowly-driven self-organized criticality system. Astron Astrophys. 2012, 539, A2. [Google Scholar] [CrossRef]
- Aschwanden, M.J. A macroscopic description of a generalized self-organized criticality system: Astrophysical applications. Astrophys J. 2014, 782, 54–73, arXiv: 1310.4191. [Google Scholar] [CrossRef] [Green Version]
- Dhar, D. The Abelian Sandpile and Related Models. Physica A 1999, 263, 4–25. [Google Scholar] [CrossRef] [Green Version]
- Deluca, A.; Moloney, N.R.; Corral, A. Data-driven prediction of thresholded time series of rainfall and self-organized criticality models. Phys. Rev. E 2015, 91, 052808. [Google Scholar] [CrossRef] [Green Version]
- Deluca, A.; Puig, P.; Corral, A. Testing universality in critical exponents: The case of rainfall. Phys. Rev. E 2016, 93, 042301. [Google Scholar] [CrossRef] [Green Version]
- Bonsal, B.R.; Zhang, X.; Vincent, L.A.; Hogg, W.D. Characteristics of Daily and Extreme Temperatures over Canada. J. Clim. 2001, 14, 1959–1976. [Google Scholar] [CrossRef]
- Zhang, H.; Fraedrich, K.; Blender, R.; Zhu, X. Precipitation Extremes in CMIP5 Simulations on Different Time Scales. J. Hydrometeorol. 2013, 14, 923–928. [Google Scholar] [CrossRef] [Green Version]
- Peters, O.; Hertlein, C.; Christensen, K. A complex view of rainfall. Phys. Rev. Lett. 2002, 88, 18–701. [Google Scholar]
- Peters, O.; Deluca, A.; Corral, J.; Neelin, D.; Holloway, C.E. Universality of rain event size distributions. J. Stat. Mech. 2010, 2010, P11030. [Google Scholar] [CrossRef]
- Deluca, A.; Corral, A. Fitting and goodness-of-fit test of non-truncated and truncated power-law distributions. Acta Geophys. 2013, 61, 1351–1394. [Google Scholar] [CrossRef] [Green Version]
- Zhi, R.; Lian, Y.; Feng, G.L. Based on the power law tail index to study the influence of different scale systems on precipitation. Acta Phys. Sin. 2007, 56, 1000–3290. [Google Scholar]
- Gong, Z.; Feng, G.; Dogar, M.M.; Huang, G. The possible physical mechanism for the EAP–SR co-action. Clim. Dyn. 2017, 51, 1499–1516. [Google Scholar] [CrossRef] [Green Version]
- Zhao, J.H.; Wang, Q.G.; Zhi, R. A study of the extreme temperature group-occurring events in China. Acta. Meteor. Sinica 2012, 70, 302–310. [Google Scholar]
- Gong, Z.; Feng, G.; Ren, F.; Li, J. A regional extreme low temperature event and its main atmospheric contributing factors. Theor. Appl. Climato 2014, 117, 195–206. [Google Scholar] [CrossRef]
- Liu, G.; Lian, Y.; Yan, P.C. The Objective Recognition and Classification of Northeast Cold Vortex and the Northern Hemisphere Atmospheric Circulation Characters in May to August. Sci. Geogr. Sin. 2015, 35, 9. [Google Scholar]
- Hoffmann, H.; Payton, D. Optimization by Self-Organized Criticality. Sci. Rep. 2018, 8, 2358. [Google Scholar] [CrossRef]
- Saeedi, A.; Jannesari, M.; Gharibzadeh, S.; Bakouie, F. Coexistence of Stochastic Oscillations and Self-Organized Criticality in a Neuronal Network: Sandpile Model Application. Neural Comput. 2018, 30, 1132–1149. [Google Scholar] [CrossRef]
- Peng, X.-D.; Qu, H.-P.; Xu, J.-Q.; Han, Z.-J. Self-Organized Criticality Theory Model of Thermal Sandpile. Chin. Phys. Lett. 2015, 32, 094501. [Google Scholar] [CrossRef]
- Kalbfleisch, J.D.; Prentice, R.L. The Statistical Analysis of Failure Time Data, 2nd ed.; Wiley: Hoboken, NJ, USA, 2002. [Google Scholar]









Publisher’s Note: MDPI stays neutral with regard to jurisdictional claims in published maps and institutional affiliations. |
© 2022 by the authors. Licensee MDPI, Basel, Switzerland. This article is an open access article distributed under the terms and conditions of the Creative Commons Attribution (CC BY) license (https://creativecommons.org/licenses/by/4.0/).
Share and Cite
Qian, Z.; Xiao, Y.; Wang, L.; Zhou, Q. Self-Organized Criticality of Precipitation in the Rainy Season in East China. Atmosphere 2022, 13, 1038. https://doi.org/10.3390/atmos13071038
Qian Z, Xiao Y, Wang L, Zhou Q. Self-Organized Criticality of Precipitation in the Rainy Season in East China. Atmosphere. 2022; 13(7):1038. https://doi.org/10.3390/atmos13071038
Chicago/Turabian StyleQian, Zhonghua, Yuxin Xiao, Luyao Wang, and Qianjin Zhou. 2022. "Self-Organized Criticality of Precipitation in the Rainy Season in East China" Atmosphere 13, no. 7: 1038. https://doi.org/10.3390/atmos13071038
APA StyleQian, Z., Xiao, Y., Wang, L., & Zhou, Q. (2022). Self-Organized Criticality of Precipitation in the Rainy Season in East China. Atmosphere, 13(7), 1038. https://doi.org/10.3390/atmos13071038
