Abstract
Outdoor and semi-outdoor thermal comfort on the university campus is essential for encouraging students’ outdoor activities and interactions and reducing energy consumption in occupied buildings. For this reason, the current study presents on-site measurements and questionnaire surveys on a university campus in Tehran, Iran. It aims to investigate the most applicable thermal indices in Tehran’s cold and hot seasons. Measurements were conducted over winter and summer days; in addition, the survey collected 384 responses. The results confirm that the Predicted Mean Vote (PMV) and Physiological Equivalent Temperature (PET) indices are better predictors of semi-outdoor thermal comfort in summer and winter than Universal Thermal Climate Index (UTCI) and New Standard Effective Temperature (SET*), respectively, highlighting the importance of considering accurate thermal indices in different seasons. Finally, all analyses were gathered in a predictive empirical model, knowledge of which may be helpful in the planning and design of outdoor and semi-outdoor environments in Tehran and similar climates.
1. Introduction
Qualitative criteria for designing semi-outdoor spaces, which refer to built environments where natural outdoor elements, such as daylight and fresh air, are purposely introduced [1], are critical because people spend a significant part of their time in outdoor spaces and need to be thermally comfortable in this situation. Considering thermal comfort conditions in outdoor areas can affect the usability of these spaces. For instance, in spaces like university campuses, this would be highlighted. Air temperature, radiant temperature, humidity, airflow, clothing, and metabolic rate are six essential variables that affect human thermal conditions. The various variables and their constant and uncontrollable changes in these spaces make modeling thermal comfort necessary. Recently, studies on thermal comfort in outdoor and semi-outdoor spaces are increasing because determining the factors affecting thermal comfort in such environments can reduce energy consumption in occupied buildings and change these spaces from abandoned spaces to usable areas. Recent literature shows that the assessment of thermal comfort of outdoor and semi-outdoor spaces has become a research trend [2,3,4,5,6,7,8,9,10,11]. Some surveys were performed on university campuses. Huang and colleagues provide evidence for planning and design strategies to improve the thermal environment of outdoor spaces and outdoor thermal comfort and adaptive behaviors in a university campus in China’s hot summer-cold winter climate region. The research results showed that shading might significantly affect the thermal sensation vote, defining that the higher rate of symptoms belonged to the colder-than-neutral side [12] in winter and summer. Still, it might not substantially affect the thermal comfort votes (TCV); Bedford first proposed that thermal comfort and thermal sensation are the same and classified them into five states subjectively [13], and thermal acceptance votes (TAV), defined as the widest acceptable temperature range [14], in winter but might significantly affect that in summer. Gender might not be associated with TSV and TCV, but it might affect TAV substantially. Furthermore, they mention that one critical adaptive behavior is the adjustment of clothing. Clothing changes are the opposite of temperature changes [6]. Ghaffarianhoseini and colleagues did on-site measurements and parametric simulations to evaluate outdoor thermal comfort conditions. They suggested using shading, green areas, and accelerated wind speed to achieve thermal comfort in mentioned spaces [15]. Both microclimate and personal variables affect thermal perception and thermal comfort. Fang and colleagues investigated thermal comfort models by focusing on individual factors like clothing and metabolic rate. This research emphasizes air temperature as the most significant factor that affects thermal sensation in outdoor spaces [16]. Yao and colleagues also found that adaptation influences thermal comfort because residents are more tolerant of cold seasons in Shanghai, China [17]. Liu and colleagues concluded that there were gender differences in thermal sensations in the same cold environment. Women were more sensitive to the cold than men at hand, thigh, lower leg, and foot, and different body parts showed different levels of thermal adaptation to cold environments [18]. Parsons and colleagues conducted a survey that showed few gender differences in thermal comfort responses for neutral and slightly warm conditions. However, women tended to be cooler than men in cool conditions. Changes in thermal comfort responses in neutral and slightly warm environments due to acclimation to heat are small and subjects adjusted their clothing to maintain comfort [19]. Surveys using indoor indices for thermal assessment conditions of outdoor and semi-outdoor spaces have shown that they cannot be trusted for outdoors, and results may be unreliable. That is why researchers focus on new, valid indices for mentioned spaces, such as SET* (New Standard Effective Temperature) [20], Universal Thermal Climate Index–UTCI [21], etc. Many researchers believe that thermal comfort is a dynamic process, and the adaptation approach has been borne through this opinion. The adaptive approach to comfort is “If there is a change in the environment that causes dissatisfaction, people show reactions that restore comfort to them.” Our ability to be comfortable is affected by many factors, such as personal characteristics, health, lifestyle, age, etc. [22,23,24,25].
Limited outdoor thermal comfort studies have been conducted in the context of Iran. For example, research by Amindeldar and colleagues in 2017 [26] done in one season does not pay attention to the difference in clothing type; they consider Ta and ignore MRT, although these factors affect thermal sensations. Hadianpour and colleagues [27] in 2018 compared the performances of three commonly used thermal indices of predicted mean vote (PMV), Physiological Equivalent Temperature (PET (°C)), and Universal Thermal Climate Index (UTCI (°C)), using the experimental field surveys and assessing the neutral temperature and neutral range for this climate. Finally, their research leads to designing a sustainable and appropriate urban space in this climate; they mentioned that priorities should be given to Iran’s winter and summer seasons. In Tehran, however, their study was carried out using the un-binned raw data. They did not analyze New Standard Effective Temperature (SET* (°C)), which is an essential index for mentioned spaces. They overlooked the personal factor differences that affect thermal sensation and thermal comfort. As noted above, thermal sensation studies in outdoor and semi-outdoor areas of Iran were not enough and had some limits. Nonetheless, there are some reasons for reconsidering thermal comfort indices in Tehran, Iran. First, due to the effect of the outdoor thermal environment on the indoors and its effect on energy consumption, there is still a need to improve the thermal comfort of outdoor environments. Second, few surveys address the outdoor and semi-outdoor thermal comfort issues in Iran. Third: previous studies did not take into account both microclimatic and personal variables, which is vital to reach more accurate results. Finally, there is a lack of research about gender and age differences in Iran, which shows the need to design spaces that consider diversity in gender and age groups in thermal comfort design. Accordingly, to fulfill the above-mentioned deficiencies, this study aims to investigate how microclimate and personal variables affect human thermal sensation and thermal comfort, using measurements that were made in Tehran, the capital city of Iran, on a university campus in summer and winter. The main goals of this study are to (1) present a better understanding of the thermal impact of microclimatic and personal variables on thermal perception in Tehran, (2) investigate the relationship between microclimate parameters and thermal sensation votes, (3) assess adaptation in a semi-outdoor space, and (4) find the most applicable thermal indices in Tehran.
2. Materials and Methods
2.1. Research Area
Research was conducted in Tehran, Iran (51°38′ E, 35°72′ N). Tehran is situated on a boundary between the Mediterranean (Csa) and cold desert climate (BWk) based on the Köppen–Geiger climate classification [28]. Tehran meteorological data from 1951 to 2005 shows that the monthly mean Ta is lowest in January (3.3 °C) and highest in July (30.6 °C). The minimum Ta is lowest in January (−0.4 °C), and the maximum Ta is highest in June (36.6 °C). The mean relative humidity (RH) is highest in January (64%) and lowest in June (25%).
2.2. Field Survey
The research method includes field measurement and a questionnaire survey. On-site measurements were conducted in cold and hot seasons (January 2020–March 2020 and July 2019–September 2019) (Figure 1).
Figure 1.
Field survey on the University campus in Tehran; the Delta OHM HD 32.1 data logger was used to record meteorological variables.
Interviews were carried out between 10:00 and 19:00 in summer and 10:00 to 17:00 in winter. The survey’s fundamental purpose is to assess semi-outdoor thermal comfort and find the most applicable thermal indices in Tehran. For this purpose, the Delta OHM HD 32.1 data logger was used on the university campus. The measurement height was 1.8 m; because we needed wind speed at the height of 10 m to calculate the UTCI index, the wind velocities at the required heights were estimated using the Equation (1) [29]) under a sunshade, where WSm is the measured wind speed, Hm is the measurement height, H1 is the desired height, and WS1 is the wind speed in the desired height.
WS1 = WSmeasured·(H1/Hmeasured)0.22
Visitors, students, and members (who passed by the site) of the university campus were asked to sit for 13 min to become adapted to the thermal environment. During each interview, the data logger recorded meteorological variables, including dry-bulb air temperature (°C), relative humidity (%), wind velocity (v, in ms−1), wet bulb temperature (Tw, °C), pressure (hPa), as well as globe temperature (Tg, °C), at 5 s intervals (the logging time). The personal information, such as age, gender, type of clothing, etc., and the thermal sensation are measured by the questionnaire during these 13 min. The questionnaire, shown in Figure 1, has general personal information (gender, age, weight, height, etc.) and six question boxes. After 13 min, the interviewers were asked about their thermal sensation votes (collected based on the ASHRAE 7-point scale [30,31]) and their preferences (based on the McIntyre 3-point scale), time spent outdoors, what they had done 30 min before the survey (When questionnaires evaluate the metabolic rate, the inaccuracy is 20%. This implies significant uncertainties in PMV values) and their clothing. Finally, we determined the relationship between the microclimatic parameters and their effect on thermal satisfaction. The information about sensor types, accuracies, and measurement ranges of the instruments used in the present study is specified in Table 1. A standard globe thermometer (with 0.15 m diameter, made of copper, and painted in matt black) was selected to measure globe temperature. The results were further analyzed using Microsoft Excel 2016 and IBM SPSS® 25 statistical package. Spearman’s correlation coefficient was used to measure the strength and direction of the association between the thermal preferences votes and thermal sensation votes, and the Beta coefficient, a test of the necessity of the independent variables in the model, was used to obtain the experimental model.
Table 1.
Information about sensor types, accuracies, and ranges used in field measurements.
Each interviewee’s clothing and activity values were extracted from the questionnaires (Figure 2), using ISO 8996 and ISO 9920 standards [32,33], and entered into the logger’s software.
Figure 2.
The questionnaire consists of six different parts, including personal information and their preferences during the survey.
2.3. Acquiring Additional Data about Indices Calculation
In this study, PMV was calculated using the device’s software (DeltaLog10) based on the measured logs (Ta, MRT, v, RH). For calculating UTCI, ‘UTCI calculator,’ which was taken from UTCI calculator, was [34] used, and finally ‘RayMan’ software [35] was used to calculate PET and SET*. For calculating PET and SET* in ‘RayMan’ software, environmental variables like; Ta, WS, RH, and MRT, individual variables such as clothing insulation value (Icl), metabolic rate (M), weight, height, and age, as well as geographic data longitude, altitude, and date and time of filling the questionnaires was required. To achieve the highest accuracy, all mentioned indices were calculated individually for each of the subjects.
3. Results
3.1. Micrometeorological Measurement
Three hundred eighty-four interviews, including 192 men (50%) and 192 women (50%) were used for research. The numbers of the subjects were 114 in the summer and 270 in the winter. The means, ranges, and standard deviations of measured physical and personal parameters are presented in Table 2. The mean air temperature in the hot summer and cold winter was 31.6 °C and 9.3 °C, respectively. The mean radiant temperature in cold and hot seasons was 8 °C and 34 °C, respectively. (Average radiant temperature was about equal to average air temperature because surveys were conducted in a shaded space). In the hot and cold seasons, the average wind speed and relative humidity were 1.7 m/s and 1.1 m/s, 43.1 and 14.3%, respectively (representing typical values in the mentioned climate). The mean clothing level for cold and hot seasons was 1.2 clo and 0.7 clo, respectively. The average clothing value of women is much more than male subjects because of country rules.
Table 2.
Means, standard deviation, and ranges of Ta, RH, v, MRT, Tg, P, Icl, and M in summer and winter.
3.2. Thermal Comfort during the Survey
3.2.1. Impact of Personal Variables on Thermal Sensation and Thermal Preferences
Thermal Sensation Votes and Gender Differences
The percentage distributions of TSV in summer and winter are shown in Figure 3. In the hot season, the highest TSV percentage was neutral (38.8%) followed by ‘slightly warm’ (33.3%), ‘warm’ (21.9%), and ‘hot’ (6.1%); in the cold season, the highest TSV percentage was cool (28.8%) followed by ‘neutral’ (17.4%), ‘slightly cool’ (25.9%), ‘cool’ (28.8%), ‘slightly warm’ (0.37%), and ‘cold’ (27.4%).
Figure 3.
Percentages of thermal sensation votes for all individuals during cold and hot seasons separately. The highest TSV percentage was neutral (38.8%) in the hot season and the highest TSV percentage was cool (28.8%) in the cold season.
The percentage distributions of TSV in summer and winter regarding men and women interviewees are shown in Figure 4. In the hot season, the highest TSV percentage was neutral (46.7%), and in the cold season, the highest TSV percentage was cold (40%) for male interviewees (Figure 4a). The highest TSV percentage in the hot season was slightly warm (44.2%), and in the cold season, the highest TSV percentage was slightly cool (30%) for women interviewees (Figure 4b). In winter, women prefer milder temperatures. In summer, women feel warmer because they wear more clothing.

Figure 4.
Percentages of thermal sensation votes for both men and women during cold and hot seasons separately. In the hot season, the highest TSV percentage was neutral (46.7%), and in the cold season, the highest TSV percentage was cold (40%) for male interviewees (a). The highest TSV percentage in the hot season was slightly warm (44.2%), and in the cold season, the highest TSV percentage was slightly cool (30%) for women interviewees (b).
The overall percentage of acceptable votes (TSV = ±1 defines thermal acceptability, and TSV ≤ –2 or TSV ≥ 2 defines unacceptable conditions) in the cold season was 43.2% (54.2% women and 32.3% men), and in the hot season was 72% (73% women and 70.9% men), which shows evidence of thermal adaptation.
Percentages of preferences votes in winter are shown in Figure 5. About ninety-four percent (96.9% and 95.3%) of men preferred more sun, more temperature, and lesser wind. 75.7%, 77.1%, and 85% of women preferred more sun, more temperature, and lesser wind, respectively. Seventy percent of men and 64.28% of women voters preferred humidity as it is. Percentages of preferences votes in winter are shown in Figure 5. 93.8%, 96.9%, and 95.3% of men preferred more sun, higher temperature, and less wind. 75.7%, 77.1%, and 85% of women preferred more sun, higher temperature, and less wind, respectively. Seventy percent of men and 64.2% of female voters preferred humidity as it is. Percentages of preferences votes in summer are shown in Figure 6. Seventy-five percent of men and 73% of women preferred cooler temperatures and more wind, respectively. About sixty percent and 59.6% of men preferred cooler temperatures and more wind, respectively. Fifty-eight percent of men and 57.6% of women voters preferred humidity as it is, and finally, 98.3% of men and 100% of women voters chose the sun as it is. Results show that women feel uncomfortable on hot days; they need more wind and lower temperatures to reach comfort.
Figure 5.
Percentages of preferences votes in winter.

Figure 6.
Percentages of preferences votes in summer.
Age Differences
Table 3 presents the demographic distribution of age and gender between the two groups (192 females and 192 males). The numbers and percentages of the interviewees were 114 (29.7%) in the summer and 270 (70.3%) in the winter. Among all the subjects, young people (<30) had a ratio of 67.7% (183) in the winter and 68.42% (78) in the summer. In the analyzed sample, according to the Chi-square test, there is no significant relationship between respondents’ age and gender (p = 0.24, (p > 0.05). Between different age ranges in both summer and winter, the 25–30 range had the highest neutral status. The most votes were related to the cold and cool in winter and slightly warm and warm in the summer (Figure 7).
Table 3.
Descriptive analysis of age and gender. The sampling distribution was equal between two groups of men and women. Chi-square test showed that there is no significant relation between respondents’ age and gender (p = 0.24, (p > 0.05)).
Figure 7.
Percentages of thermal sensation votes according to different age groups.
3.2.2. A Comparison of Thermal Sensations with Thermal Preferences
A comparison of mean thermal sensation votes with an individual’s thermal preferences is shown in Figure 8. The Spearman’s correlation between TPV and TSV turned out to be negative (ρ = −0.3, N = 384, p < 0.0001). According to the results (Figure 8), their Spearman correlation coefficients were less than zero (i.e., there was a weak negative correlation between mean thermal sensation votes and thermal preferences in this study). As the graph shows, preferences were slightly warm in most cases than actual conditions. For MTSV lower or equal to neutral, MTPV were usually between 0.5 and 1, indicating a desire for higher air temperature.
Figure 8.
Mean thermal preferences compared with mean thermal sensation votes. For MTSV lower or equal to neutral, MTPV were usually between 0.5 and 1, indicating a desire for higher air temperature.
3.2.3. Evaluated Thermal Indices during Tehran’s Cold and Hot Season
Figure 9 shows the relationship between each index (PMV, PET, SET*, and UTCI) and actual mean votes (AMV), where the interviewees rate their thermal sensation. As the charts demonstrate, correlation coefficients for PMV, PET, SET*, and UTCI are 0.52, 0.56, 0.41, and 0.55 in winter, and 0.61, 0.60, 0.58, and 0.58 in summer, respectively. Therefore, for predicting thermal comfort in Tehran, the best choices are PET and UTCI during cold seasons and PMV and PET during hot seasons. Fanger’s consideration of clothing level [36] is similar to woman’s clothing in Iran as it considers clothing that covers the hands and body to wrists and allows some adjustment. This clothing level is different for a woman who lives in other countries. PET assumes a working metabolism of 80 W of light activity and clothing of 0.9 clo and focuses on the physiological heat balance model [37]. Considering personal factors, especially Icl, PET is valid for the two mentioned seasons. The Universal Thermal Climate Index (UTCI) provides an assessment of the outdoor thermal environment by considering all climatic factors and considering an adaptive clothing model, which allows UTCI to be applicable in thermal comfort studies across climates and seasons [21]. As Figure 9 demonstrates, UTCI, like PET, is valid in assessing thermal comfort conditions in the cold season of Tehran. It may be important to mention that people have the same Icl in Iran and other countries in the cold season because increasing clothing rate has no limits, and Icl in this season did not differ from other countries. In other words, thermal indices, including PMV, PET, and UTCI, do not take an individual’s thermal adaptation into account. As mentioned before, in cold and cool conditions, thermal adaptation can occur more easily because people can increase their clothing to reach comfort; however, adaptation to warm and hot conditions by decreasing clothing cannot occur in Iran because of cultural limitations.


Figure 9.
The correlation coefficients between PMV, PET, SET*, UTCI, and AMV show that the best choices for predicting thermal comfort are PET and UTCI during cold seasons and PMV and PET during hot seasons in Tehran.
3.3. Clothing Adaption and Thermal Comfort
Clothing insulation is the main factor influencing the thermal comfort of the human body because of the human body’s thermal adaptability [38]. The relation between mean clothing insulation in summer and winter for men and women was examined. In summer, the most frequent clothing values for women and men were (0.7–0.9) and (0.5–0.7), respectively (Figure 10). In hot seasons women were limited to reducing their clothing because of Islamic rules, but the men could reduce their clothing. In winter, the most frequent range for women and men was the same (1–1.3) (Figure 11) because both genders do not have a limit about increasing their clothing rate.
Figure 10.
In hot seasons, people adjust their thermal state by various behaviors, such as removing a layer of clothing.
Figure 11.
In cold seasons clothing range for women and men is the same because both genders do not have a limit about increasing their clothing rate.
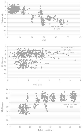
Figure 12 presents the relation between clothing rate and each sampled microclimate factor. The correlation coefficients for air temperature, mean radiant temperature, wind speed, and relative humidity were 0.7, 0.6, 0.04, and 0.5, respectively, indicating the strongest relationship between clothing rate and air temperature. Figure 12 suggests that the increase in the air or mean radiant temperature decreased the clothing rate, while wind velocity and relative humidity had an opposite effect.

Figure 12.
Influence of each independent environmental variable (TA, WS, MRT, and RH) on the mean value of clothing’s thermal insulation. This figure suggests that the increase in the air or mean radiant temperature decreased the clothing rate, while wind velocity and relative humidity had an opposite effect.
3.4. The Empirical TSV Model for Tehran
According to the assessment of the p-value, significant variables in winter are air temperature, mean radiant temperature, wind speed, and interviewee’s age. In summer, air temperature, mean radiant temperature, wind speed, and relative humidity are significant variables. The beta method, a test of the necessity of the independent variables in the model, was used to obtain the experimental model. The empirical model for Tehran in the cold and hot seasons (Equation (2) for winter and Equation (3) for summer) indicated that the thermal sensation increased with the increase in the air or mean radiant temperature. Wind velocity and relative humidity (in summer) had an opposite effect. Seasonal TSV models for Tehran (Equations (2) and (3)) indicated that air temperature and mean radiant temperature had a stronger impact on thermal sensation in both summer and winter; relative humidity is essential in winter and summer, respectively.
TSV = 0.7 × Ta + 0.3 × MRT − 1 × v (R2 = 0.99)
TSV = 0.4 × Ta + 0.5 × MRT − 1.1 × v − 0.04 × RH (R2 = 0.90)
4. Discussion
A comparison of our results with previous studies showed that Iranian clothing is much more than other countries. In this study, the mean clothing level is 1.2 and 0.7 during the cold and hot seasons, respectively. In 2015 a study based on ASHRAE Research Project RP-1504 was conducted by Havenith and colleagues [38]. Their survey focuses on gathering a laboratory database of non-western countries, including Pakistan, India, Indonesia, Kuwait, Nigeria, and China. Male’s and female’s clothing rates were 0.64 and 0.63, respectively [21]. Al-Ajami and colleagues surveyed investigated thermal insulation values (Icl) of the Arabian subjects in 2008, which revealed that summer and winter clothing levels for both males and females were 0.59 and 0.6, respectively [39]. Contrary to the literature, in hot seasons, women were limited to reducing their clothing because of Islamic rules, but men could reduce their clothing. In winter, the most frequent clothing range for women and men was the same because both genders can increase their clothing without limit. In winter, women prefer milder temperatures, which shows that women in this survey were more adaptable than men under challenging situations (like winter). It should be noted that in summer, females’ clothing is 0.7–0.9 clo and males’ clothing is 0.5–0.7 clo, which has a significant impact on females’ thermal sensation. Concerning gender, men usually wore less clothing than women in the same thermal conditions. However, because of cultural and social limits, men often wore suits at universities in Iran, which means their clothing rate is much more than in other countries. It is necessary to design spaces that consider diversity in gender in thermal comfort design in Iran. In most countries, women do not have to cover many parts of their bodies. For example, according to Liu’s research, women’s local skin temperatures on the hand, thigh, lower leg, and foot were more sensitive to the thermal environment than those of other body parts. In general, women were more sensitive to the cold than men in these areas [18]. However, in Iran, due to social norms, the whole body of females is covered (using a hijab).
A series of surveys focus on finding suitable thermal comfort indices for assessing human thermal sensation and comfort. According to previous studies, PMV [2,40,41,42,43], PET [42,44,45], UTCI [4,25,42,46,47,48,49,50] and SET* [49,51,52] are better predictors of the thermal comfort of people in outdoor environments. Previous studies in Tehran revealed that PET in winter [26], PET, and UTCI for the whole year work better to predict people’s thermal conditions [27]. Haghshenas and colleagues 2021 studied modified scales of thermal indices and their analysis showed that modified scales of UTCI and PET correlated better with thermal sensation vote than the original scales [53]. Finally, the current study revealed that in Tehran, PMV and PET indices are better predictors of semi-outdoor thermal comfort in summer and winter than UTCI and SET*, respectively. Due to the crisis of energy consumption, providing thermal comfort outdoors (especially in public, educational spaces, etc.) is very important. For designing a better outdoor environment regarding thermal comfort, the indicators should be accurate, which is the goal of this survey. In other words, this paper presents an experimental model to predict the thermal comfort conditions in semi-outdoor environments. The results can be helpful in Tehran and similar climate conditions.
5. Conclusions
The present study investigated the relationship between microclimatic and personal variables on subject thermal perception to understand thermal conditions better and find the most applicable thermal indices in an outdoor space in hot and cold seasons in Tehran, Iran. For this purpose, the data was collected using both on-site measurements and questionnaire surveys on a university campus. The first finding from the study is that in summer and winter, 38.8% and 28.8% of subjects voted for neutral and cool thermal sensation, respectively, which shows thermal adaptation. The second finding from the survey is that in winter, women prefer milder temperatures, which shows their adaptation to challenging situations. However, in summer, because of social norms, women’s clothing is much more than male, which leads to their thermal dissatisfaction. Finally, analysis depicts that PMV and PET are better predictors of outdoor thermal sensation in summer and winter in this climate. It has to be said that some thermal indices have a specific definition, such as UTCI and PET. Depending on the calculation procedure, results show variability. It seems that the application should rely on the definition of the Indices. For example, this is stated explicitly in Staiger and his colleague’s survey [42]. In the hot season, Tehran’s experimental model shows that air temperature and mean radiant temperature are related to the thermal sensation votes with a positive coefficient, and wind speed and relative humidity with a negative coefficient, while in the cold season, air temperature and mean radiant temperature have a positive coefficient and wind speed has a negative coefficient. This predictive model, which includes both meteorological and personal variables, highlights the importance of considering suitable indices in outdoor thermal comfort studies in different seasons.
Due to the lack of knowledge on the clothing insulation rates in Iran, it seems necessary for future studies to investigate this issue and provide a comprehensive assessment of outdoor thermal comfort. Future research could also test the validity of results by researching in other climates and using a vast number of cases.
Author Contributions
Conceptualization, S.Z. and A.M.; methodology, S.Z. and A.M.; software, S.Z. and A.M.; validation, A.M. and L.N.; formal analysis, S.Z., A.M. and L.N.; investigation, S.Z.; resources, S.Z. and A.M.; data curation, S.Z.; writing—original draft preparation, S.Z., A.M., and L.N.; writing—review and editing, S.Z., A.M. and L.N.; visualization, S.Z.; supervision, A.M. and L.N.; project administration, A.M. and M.M. All authors have read and agreed to the published version of the manuscript.
Funding
This research received no external funding.
Institutional Review Board Statement
Not applicable.
Informed Consent Statement
Informed consent was obtained from all subjects involved in the study.
Data Availability Statement
Not applicable.
Conflicts of Interest
The authors declare no conflict of interest.
Abbreviations
Icl Clothing insulation value (clo), M Metabolic rate (W/m2), MRT Mean radiant temperature (°C), P Atmospheric pressure (hPa), PET Physiological equivalent temperature (°C), PMV Predicted mean vote, RH Relative humidity (%), SET* New Standard Effective Temperature (°C), Ta Air temperature (°C), Tg Globe temperature (°C), TSV Thermal sensation vote, MTSV Mean thermal sensation vote, AMV Actual mean vote, UTCI Universal thermal climate index (°C), v wind velocity (m/s), TAV Thermal Acceptance Vote, TPV Thermal preference vote, TCV Thermal comfort vote.
References
- Nakano, J.; Tanabe, S.-I. Thermal Adaptation and Comfort Zones in Urban Semi-Outdoor Environments. Front. Built Environ. 2020, 6, 34. [Google Scholar] [CrossRef]
- Ruiz, M.A.; Correa, E.N. Adaptive model for outdoor thermal comfort assessment in an Oasis city of arid climate. Build. Environ. 2015, 85, 40–51. [Google Scholar] [CrossRef]
- Cohen, P.; Potchter, O.; Matzarakis, A. Human thermal perception of Coastal Mediterranean outdoor urban environments. Appl. Geogr. 2013, 37, 1–10. [Google Scholar] [CrossRef]
- Fang, Z.; Feng, X.; Liu, J.; Lin, Z.; Mak, C.M.; Niu, J.; Tse, K.-T.; Xu, X. Investigation into the differences among several outdoor thermal comfort indices against field survey in subtropics. Sustain. Cities Soc. 2019, 44, 676–690. [Google Scholar] [CrossRef]
- Potchter, O.; Cohen, P.; Lin, T.-P.; Matzarakis, A. Outdoor human thermal perception in various climates: A comprehensive review of approaches, methods and quantification. Sci. Total Environ. 2018, 631–632, 390–406. [Google Scholar] [CrossRef]
- Huang, Z.; Cheng, B.; Gou, Z.; Zhang, F. Outdoor thermal comfort and adaptive behaviors in a university campus in China’s hot summer-cold winter climate region. Build. Environ. 2019, 165, 106414. [Google Scholar] [CrossRef]
- de Dear, R.; Xiong, J.; Kim, J.; Cao, B. A review of adaptive thermal comfort research since 1998. Energy Build. 2020, 214, 109893. [Google Scholar] [CrossRef]
- Kumar, P.; Sharma, A. Study on importance, procedure, and scope of outdoor thermal comfor—A review. Sustain. Cities Soc. 2020, 61, 102297. [Google Scholar] [CrossRef]
- He, X.; An, L.; Hong, B.; Huang, B.; Cui, X. Cross-cultural differences in thermal comfort in campus open spaces: A longitudinal field survey in China’s cold region. Build. Environ. 2020, 172, 106739. [Google Scholar] [CrossRef]
- Lai, D.; Lian, Z.; Liu, W.; Guo, C.; Liu, W.; Liu, K.; Chen, Q. A comprehensive review of thermal comfort studies in urban open spaces. Sci. Total Environ. 2020, 742, 140092. [Google Scholar] [CrossRef]
- Zhang, L.; Wei, D.; Hou, Y.; Du, J.; Liu, Z.A.; Zhang, G.; Shi, L. Outdoor Thermal Comfort of Urban Park—A Case Study. Sustainability 2020, 12, 1961. [Google Scholar] [CrossRef] [Green Version]
- Sikram, T.; Ichinose, M.; Sasaki, R. Assessment of Thermal Comfort and Building-Related Symptoms in Air-Conditioned Offices in Tropical Regions: A Case Study in Singapore and Thailand. Front. Built Environ. 2020, 6, 567787. [Google Scholar] [CrossRef]
- Bedford, T.; Council, M.R. The Warmth Factor in Comfort at Work: A Physiological Study of Heating and Ventilation; H. M. Stationery Office: London, UK, 1936. [Google Scholar]
- Jing, S.; Lei, Y.; Wang, H.; Song, C.; Yan, X. Thermal comfort and energy-saving potential in university classrooms during the heating season. Energy Build. 2019, 202, 109390. [Google Scholar] [CrossRef]
- Ghaffarianhoseini, A.; Berardi, U.; Ghaffarianhoseini, A.; Al-Obaidi, K. Analyzing the thermal comfort conditions of outdoor spaces in a university campus in Kuala Lumpur, Malaysia. Sci. Total Environ. 2019, 666, 1327–1345. [Google Scholar] [CrossRef] [PubMed] [Green Version]
- Fang, Z.; Zheng, Z.; Feng, X.; Shi, D.; Lin, Z.; Gao, Y. Investigation of outdoor thermal comfort prediction models in South China: A case study in Guangzhou. Build. Environ. 2021, 188, 107424. [Google Scholar] [CrossRef]
- Yao, J.; Yang, F.; Zhuang, Z.; Shao, Y.; Yuan, P.F. The effect of personal and microclimatic variables on outdoor thermal comfort: A field study in a cold season in Lujiazui CBD, Shanghai. Sustain. Cities Soc. 2018, 39, 181–188. [Google Scholar] [CrossRef]
- Liu, H.; Wu, Y.; Lei, D.; Li, B. Gender differences in physiological and psychological responses to the thermal environment with varying clothing ensembles. Build. Environ. 2018, 141, 45–54. [Google Scholar] [CrossRef]
- Parsons, K.C. The effects of gender, acclimation state, the opportunity to adjust clothing and physical disability on requirements for thermal comfort. Energy Build. 2002, 34, 593–599. [Google Scholar] [CrossRef]
- Spagnolo, J.; de Dear, R. A field study of thermal comfort in outdoor and semi-outdoor environments in subtropical Sydney Australia. Build. Environ. 2003, 38, 721–738. [Google Scholar] [CrossRef] [Green Version]
- Blazejczyk, K.; Epstein, Y.; Jendritzky, G.; Staiger, H.; Tinz, B. Comparison of UTCI to selected thermal indices. Int. J. Biometeorol. 2012, 56, 515–535. [Google Scholar] [CrossRef] [Green Version]
- Humphreys, M.A. Field studies of thermal comfort compared and applied. Adv. Build. Energy 2012, 1, 55–88. [Google Scholar] [CrossRef]
- Ruiz, A.; Correa, E. Suitability of different comfort indices for the prediction of thermal conditions in tree-covered outdoor spaces in arid cities. Theor. Appl. Climatol. 2014, 122, 69–83. [Google Scholar] [CrossRef]
- Lin, T.-P.; Tsai, K.-T.; Liao, C.-C.; Huang, Y.-C. Effects of thermal comfort and adaptation on park attendance regarding different shading levels and activity types. Build. Environ. 2013, 59, 599–611. [Google Scholar] [CrossRef]
- Krüger, E.; Drach, P.; Bröde, P. Outdoor comfort study in Rio de Janeiro: Site-related context effects on reported thermal sensation. Int. J. Biometeorol. 2016, 61, 463–475. [Google Scholar] [CrossRef]
- Amindeldar, S.; Heidari, S.; Khalili, M. The effect of personal and microclimatic variables on outdoor thermal comfort: A field study in Tehran in cold season. Sustain. Cities Soc. 2017, 32, 153–159. [Google Scholar] [CrossRef]
- Hadianpour, M.; Mahdavinejad, M.; Bemanian, M.; Nasrollahi, F. Seasonal differences of subjective thermal sensation and neutral temperature in an outdoor shaded space in Tehran, Iran. Sustain. Cities Soc. 2018, 39, 751–764. [Google Scholar] [CrossRef]
- Peel, M.; Finlayson, B.; McMahon, T. Updated World Map of the Koppen-Geiger Climate Classification. Hydrol. Earth Syst. Sci. Discuss. 2007, 4, 1633–1644. [Google Scholar] [CrossRef] [Green Version]
- American Society of Heating, Refrigerating and Air-Conditioning Engineers. 2013 ASHRAE Handbook: Fundamentals; ASHRAE: Atlanta, GA, USA, 2013; Available online: https://www.worldcat.org/title/2013-ashrae-handbook-fundamentals/oclc/882088522 (accessed on 25 May 2022).
- ASHRAE. Standard 55 (Thermal Environmental Conditions for Human Occupancy). 2013. Available online: http://ierga.com/hr/wp-content/uploads/sites/2/2017/10/ASHRAE-55-2013.pdf (accessed on 25 May 2022).
- ASHRAE. Thermal Environmental Conditions for Human Occupancy. 2017. Available online: https://hogiaphat.vn/upload/docs/ASHRAE55-version2017.pdf (accessed on 25 May 2022).
- 9920 II; Ergonomics of the Thermal Environment—Estimation of the Thermal Insulation and Evaporative Resistance of a Clothing Ensemble. International Organization for Standardization, 2007. Available online: https://www.iso.org/standard/39257.html (accessed on 25 May 2022).
- 8996 II; Ergonomics of the Thermal Environment—Determination of Metabolic Rate. International Organization for Standardization, 2021. Available online: https://www.iso.org/standard/74443.html (accessed on 25 May 2022).
- Available online: www.utci.org (accessed on 7 July 2020).
- Matzarakis, A.; Rutz, F.; Mayer, H. Modelling radiation fluxes in simple and complex environments—Application of the RayMan model. Int. J. Biometeorol. 2007, 51, 323–334. [Google Scholar] [CrossRef]
- Shaw, E.W. Thermal Comfort: Analysis and applications in environmental engineering, by P. O. Fanger. 244 pp. DANISH TECHNICAL PRESS. Copenhagen, Denmark, 1970. Danish Kr. 76, 50. R. Soc. Health J. 1972, 92, 164. [Google Scholar] [CrossRef]
- Fanger, P.O. The Energy Balance in Humans (Original Title—Die Energiebilanz des Menschen); Universitat Munchen, Meteorologisches Institut: Munich, Germany, 1984. [Google Scholar]
- Havenith, G.; Kuklane, K.; Fan, J.; Hodder, S.; Ouzzahra, Y.; Lundgren Kownacki, K.; Au, Y.; Loveday, D. A database of static clothing thermal insulation and vapor permeability values of non-Western ensembles for use in ASHRAE Standard 55, ISO 7730, and ISO 9920. ASHRAE Trans. 2015, 121, 197–215. [Google Scholar]
- Al-ajmi, F.F.; Loveday, D.L.; Bedwell, K.H.; Havenith, G. Thermal insulation and clothing area factors of typical Arabian Gulf clothing ensembles for males and females: Measurements using thermal manikins. Appl. Ergon. 2008, 39, 407–414. [Google Scholar] [CrossRef] [PubMed] [Green Version]
- Cheng, Y.; Niu, J.; Gao, N. Thermal comfort models: A review and numerical investigation. Build. Environ. 2012, 47, 13–22. [Google Scholar] [CrossRef]
- Lai, D.; Guo, D.; Hou, Y.; Lin, C.; Chen, Q. Studies of Outdoor Thermal Comfort in Northern China. Build. Environ. 2014, 77, 110–118. [Google Scholar] [CrossRef]
- Staiger, H.; Laschewski, G.; Matzarakis, A. Selection of Appropriate Thermal Indices for Applications in Human Biometeorological Studies. Atmosphere 2019, 10, 18. [Google Scholar] [CrossRef] [Green Version]
- Pantavou, K.; Theoharatos, G.; Santamouris, M.; Asimakopoulos, D. Outdoor thermal sensation of pedestrians in a Mediterranean climate and a comparison with UTCI. Build. Environ. 2013, 66, 82–95. [Google Scholar] [CrossRef]
- Zhu, N.; Chong, D. Evaluation and improvement of human heat tolerance in built environments: A review. Sustain. Cities Soc. 2019, 51, 101797. [Google Scholar] [CrossRef]
- Binarti, F.; Koerniawan, M.D.; Triyadi, S.; Utami, S.S.; Matzarakis, A. A review of outdoor thermal comfort indices and neutral ranges for hot-humid regions. Urban Clim. 2020, 31, 100531. [Google Scholar] [CrossRef]
- Huang, J.; Zhou, C.; Zhuo, Y.; Xu, L.; Jiang, Y. Outdoor thermal environments and activities in open space: An experiment study in humid subtropical climates. Build. Environ. 2016, 103, 238–249. [Google Scholar] [CrossRef] [Green Version]
- Cheung, P.K.; Jim, C.Y. Comparing the cooling effects of a tree and a concrete shelter using PET and UTCI. Build. Environ. 2018, 130, 49–61. [Google Scholar] [CrossRef]
- Golasi, I.; Salata, F.; Vollaro, E.; Coppi, M. Complying with the demand of standardization in outdoor thermal comfort: A first approach to the Global Outdoor Comfort Index (GOCI). Build. Environ. 2018, 130, 104–119. [Google Scholar] [CrossRef]
- Jin, H.; Liu, S.; Kang, J. Thermal comfort range and influence factor of urban pedestrian streets in severe cold regions. Energy Build. 2019, 198, 197–206. [Google Scholar] [CrossRef]
- de Arêa Leão Borges, V.C.; Callejas, I.J.A.; Durante, L.C. Thermal sensation in outdoor urban spaces: A study in a Tropical Savannah climate, Brazil. Int. J. Biometeorol. 2020, 64, 533–545. [Google Scholar] [CrossRef]
- Ulpiani, G.; Di Giuseppe, E.; Di Perna, C.; D’Orazio, M.; Zinzi, M. Thermal comfort improvement in urban spaces with water spray systems: Field measurements and survey. Build. Environ. 2019, 156, 46–61. [Google Scholar] [CrossRef]
- Sen, J.; Nag, P.K. Effectiveness of human-thermal indices: Spatio–temporal trend of human warmth in tropical India. Urban Clim. 2019, 27, 351–371. [Google Scholar] [CrossRef]
- Haghshenas, M.; Hadianpour, M.; Matzarakis, A.; Mahdavinejad, M.; Ansari, M. Improving the suitability of selected thermal indices for predicting outdoor thermal sensation in Tehran. Sustain. Cities Soc. 2021, 74, 103205. [Google Scholar] [CrossRef]
Publisher’s Note: MDPI stays neutral with regard to jurisdictional claims in published maps and institutional affiliations. |
© 2022 by the authors. Licensee MDPI, Basel, Switzerland. This article is an open access article distributed under the terms and conditions of the Creative Commons Attribution (CC BY) license (https://creativecommons.org/licenses/by/4.0/).
















