Effects of Chemical Reactions on the Oxidative Potential of Humic Acid, a Model Compound of Atmospheric Humic-like Substances
Abstract
:1. Introduction
2. Materials and Methods
2.1. Chemical Reagents
2.2. Sample Preparation
2.3. DTT Assay
2.4. Exposure of HA to Ozone
2.5. UV Irradiation of HA
2.6. FT-IR Analysis
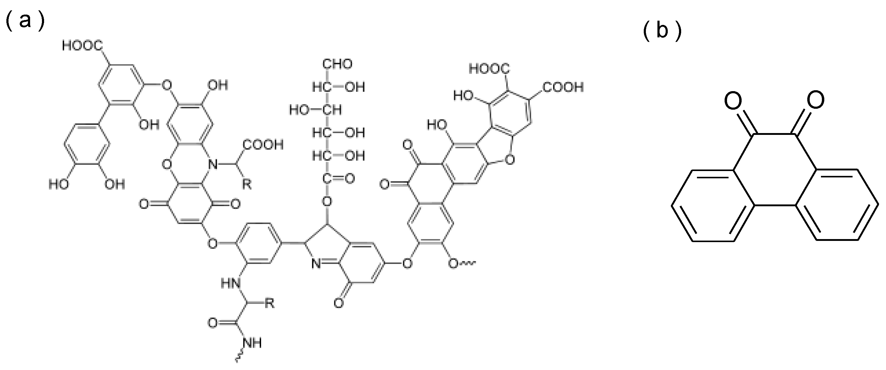
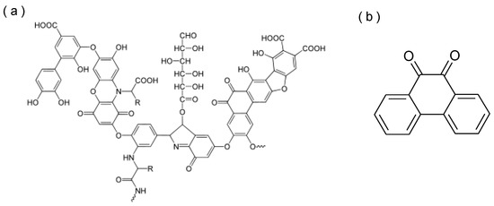
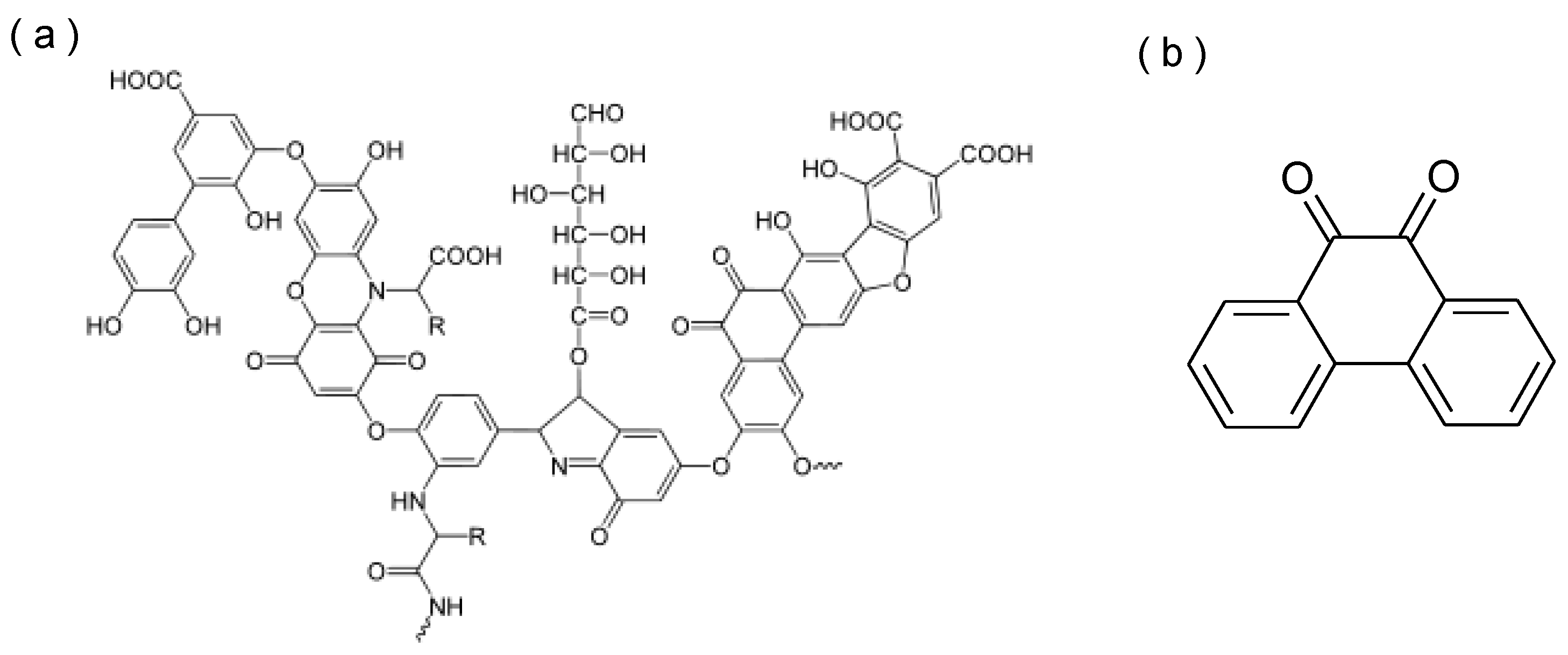
3. Results and Discussion
4. Conclusions
Supplementary Materials
Author Contributions
Funding
Institutional Review Board Statement
Informed Consent Statement
Data Availability Statement
Conflicts of Interest
References
- Pinkerton, K.E.; Zhou, Y.; Zhong, C.; Smith, K.R.; Teague, S.V.; Kennedy, I.M.; Men-ache, M.G. Mechanisms of Particulate Matter Toxicity in Neonatal and Young Adult Rat Lungs. Res. Rep. Health Eff. Inst. 2008, 135, 3–41. Available online: https://www.healtheffects.org/system/files/Pinkerton135.pdf (accessed on 19 January 2022).
- Araujo, J.A.; Nel, A.E. Particulate matter and atherosclerosis: Role of particle size, composition and oxidative stress. Part. Fibre Toxicol. 2009, 6, 24. [Google Scholar] [CrossRef] [PubMed] [Green Version]
- Jiang, H.; Ahmed, C.M.S.; Canchola, A.; Chen, J.Y.; Lin, Y.H. Use of Dithiothreitol Assay to Evaluate the Oxidative Potential of Atmospheric Aerosols. Atmosphere 2019, 10, 571. [Google Scholar] [CrossRef] [Green Version]
- Konemura, A.; Akutsu, Y.; Sakai, H.; Ito, T. Method for Analyzing the Contribution of Components of Diesel Exhaust Particles to Oxidative potential. JARI Res. J. 2013, JRJ20130104. Available online: https://jari.g.kuroco-img.app/v=1641539267/files/user/pdf/JRJ20130104_q.pdf (accessed on 19 January 2022). (In Japanese).
- Fang, T.; Verma, V.; Bates, J.T.; Abrams, J.; Klein, M.; Strickland, M.J.; Sarnat, S.E.; Chang, H.H.; Mulholland, J.A.; Tolbert, P.E.; et al. Oxidative potential of ambient water-soluble PM2.5 in the southeastern United States: Contrasts in sources and health associations between ascorbic acid (AA) and dithiothreitol (DTT) assays. Atmos. Chem. Phys. 2016, 16, 3865–3879. [Google Scholar] [CrossRef] [Green Version]
- Charrier, J.G.; Anastasio, C. On dithiothreitol (DTT) as a measure of oxidative potential for ambient particles: Evidence for the importance of soluble transition metals. Atmos. Chem. Phys. 2012, 12, 9321–9333. [Google Scholar] [CrossRef] [Green Version]
- Bates, J.T.; Fang, T.; Verma, V.; Zeng, L.; Weber, R.J.; Tolbert, P.E.; Abrams, J.Y.; Sarnat, S.E.; Klein, M.; Mulholland, J.A.; et al. Review of Acellular Assays of Ambient Particulate Matter Oxidative Potential: Methods and Relationships with Composition, Sources, and Health Effects. Environ. Sci. Technol. 2019, 53, 4003–4019. [Google Scholar] [CrossRef]
- Motoyama, Y.; Bekki, K.; Chung, S.W.; Tang, N.; Kameda, T.; Toriba, A.; Taguchi, K.; Hayakawa, K. Oxidative Stress More Strongly Induced by ortho- Than para-quinoid Polycyclic Aromatic Hydrocarbons in A549 Cells. J. Health Sci. 2009, 55, 845–850. [Google Scholar] [CrossRef] [Green Version]
- McWhinney, R.D.; Badali, K.; Liggio, J.; Li, S.M.; Abbatt, J.P.D. Filterable Redox Cycling Activity: A Comparison between Diesel Exhaust Particles and Secondary Organic Aerosol Constituents. Environ. Sci. Technol. 2013, 47, 3362–3369. [Google Scholar] [CrossRef]
- Pant, P.; Baker, S.J.; Shukla, A.; Maikawa, C.; Pollitt, K.J.G.; Harrison, R.M. The PM10 fraction of road dust in the UK and India: Characterization, source profiles and oxidative potential. Sci. Total Environ. 2015, 530, 445–452. [Google Scholar] [CrossRef]
- Antinolo, M.; Willis, M.D.; Zhou, S.M.; Abbatt, J.P.D. Connecting the oxidation of soot to its redox cycling abilities. Nat. Commun. 2015, 6, 7. [Google Scholar] [CrossRef] [Green Version]
- Xiong, Q.S.; Yu, H.R.; Wang, R.R.; Wei, J.L.; Verma, V. Rethinking Dithiothreitol-Based Particulate Matter Oxidative Potential: Measuring Dithiothreitol Consumption versus Reactive Oxygen Species Generation. Environ. Sci. Technol. 2017, 51, 6507–6514. [Google Scholar] [CrossRef] [PubMed]
- Li, Y.; Zhu, T.; Zhao, J.C.; Xu, B.Y. Interactive Enhancements of Ascorbic Acid and Iron in Hydroxyl Radical Generation in Quinone Redox Cycling. Environ. Sci. Technol. 2012, 46, 10302–10309. [Google Scholar] [CrossRef] [PubMed]
- Charrier, J.G.; Anastasio, C. Rates of Hydroxyl Radical Production from Transition Metals and Quinones in a Surrogate Lung Fluid. Environ. Sci. Technol. 2015, 49, 9317–9325. [Google Scholar] [CrossRef] [Green Version]
- Yu, H.; Wei, J.; Cheng, Y.; Subedi, K.; Verma, V. Synergistic and Antagonistic Interactions among the Particulate Matter Components in Generating Reactive Oxygen Species Based on the Dithiothreitol Assay. Environ. Sci. Technol. 2018, 52, 2261–2270. [Google Scholar] [CrossRef] [PubMed]
- Gonzalez, D.H.; Cala, C.K.; Peng, Q.; Paulson, S.E. HULIS Enhancement of Hydroxyl Radical Formation from Fe(II): Kinetics of Fulvic Acid–Fe(II) Complexes in the Presence of Lung Antioxidants. Environ. Sci. Technol. 2017, 51, 7676–7685. [Google Scholar] [CrossRef]
- Dou, J.; Lin, P.; Kuang, B.-Y.; Yu, J.Z. Reactive Oxygen Species production mediated by Humic-like substances in Atmospheric Aerosols: Enhancement effects by pyridine, imidazole and their derivatives. Environ. Sci. Technol. 2015, 49, 6457–6465. [Google Scholar] [CrossRef] [PubMed] [Green Version]
- Verma, V.; Martinez, R.R.; Kotra, N.; King, L.; Liu, J.; Snell, T.W.; Weber, R.J. Contribution of Water-Soluble and Insoluble Components and Their Hydrophobic/Hydrophilic Subfractions to the Reactive Oxygen Species-Generating Potential of Fine Ambient Aerosols. Environ. Sci. Technol. 2012, 46, 11384–11392. [Google Scholar] [CrossRef]
- Lin, P.; Yu, J.Z. Generation of Reactive Oxygen Species Mediated by Humic-like Substances in Atmospheric Aerosols. Environ. Sci. Technol. 2011, 45, 10362–10368. [Google Scholar] [CrossRef]
- Grader, E.R.; Rudich, Y. Atmospheric HULIS: How humic-like are they? A comprehensive and critical review. Atmos. Chem. Phys. 2006, 6, 729–753. [Google Scholar] [CrossRef] [Green Version]
- Win, M.S.; Tian, Z.; Zhao, H.; Xiao, K.; Peng, J.; Shang, Y.; Wu, M.; Xiu, G.; Lu, S.; Yonemochi, S.; et al. Atmospheric HULIS and its ability to mediate the reactive oxygen species (ROS): A review. J. Environ. Sci. 2017, 71, 13–31. [Google Scholar] [CrossRef]
- Mayol-Bracero, O.L.; Guyon, P.; Graham, B.; Roberts, G.; Andreae, M.O.; Decesari, S.; Facchini, M.C.; Fuzzi, S.; Artaxo, P. Water-soluble organic compounds in biomass burning aerosols over Amazonia—2. Apportionment of the chemical composition and importance of the polyacidic fraction. J. Geophys. Res. Atmos. 2002, 107, LBA 59-1–LBA 59-15. [Google Scholar] [CrossRef]
- Gelencser, A.; Sallai, M.; Krivacsy, Z.; Kiss, G.; Meszaros, E. Voltammetric evidence for the presence of humic-like substances in fog water. Atmos. Res. 2000, 54, 157–165. [Google Scholar] [CrossRef]
- Laskin, A.; Laskin, J.; Nizkorodov, S.A. Chemistry of Atmospheric Brown Carbon. Chem. Rev. 2015, 115, 4335–4382. [Google Scholar] [CrossRef] [PubMed] [Green Version]
- Tuet, W.Y.; Chen, Y.; Fok, S.; Gao, D.; Weber, R.J.; Champion, J.A.; Ng, N.L. Chemical and cellular oxidant production induced by naphthalene secondary organic aerosols (SOA): Effect of redox-active metals and photochemical aging. Sci. Rep. 2017, 7, 15157. Available online: https://www.nature.com/articles/s41598-017-15071-8 (accessed on 14 April 2022). [CrossRef]
- Jiang, H.; Jang, M. Dynamic Oxidative Potential of Atmospheric Organic Aerosol under Ambient Sun-light. Environ. Sci. Technol. 2018, 52, 7496–7504. [Google Scholar] [CrossRef]
- Ma, Y.; Cheng, Y.; Qiu, X.; Cao, G.; Fang, Y.; Wang, J.; Zhu, T.; Yu, J.; Hu, D. Sources and oxidative potential of water-soluble humic-like substances (HULISWS) in fine particulate matter (PM2.5) in Beijing. Atmos. Chem. Phys. 2018, 18, 5607–5617. [Google Scholar] [CrossRef] [Green Version]
- Ye, C.; Chen, H.; Hoffmann, E.H.; Mettke, P.; Tilgner, A.; He, L.; Mutzel, A.; Brüggemann, M.; Poulain, L.; Schaefer, T.; et al. Particle-Phase Photoreactions of HULIS and TMIs Establish a Strong Source of H2O2 and Particulate Sulfate in the Winter North China Plain. Environ. Sci. Technol. 2021, 55, 7818–7830. [Google Scholar] [CrossRef]
- Wong, J.P.S.; Tsagkaraki, M.; Tsiodra, I.; Mihalopoulos, N.; Violaki, K.; Kanakidou, M.; Sciare, J.; Nenes, A.; Weber, R.J. Effects of Atmospheric Processing on the Oxidative Potential of Biomass Burning Organic Aerosols. Environ. Sci. Technol. 2019, 53, 6747–6756. [Google Scholar] [CrossRef]
- Malcolm, R.L.; MacCarthy, P. Limitations in the use of commercial humic acids in water and soil research. Environ. Sci. Technol. 1986, 20, 904–911. [Google Scholar] [CrossRef]
- Kipton, H.; Powell, J.; Town, R.M. Solubility and fractionation of humic acid; effect of pH and ionic medium. Anal. Chim. Acta. 1992, 267, 47–54. [Google Scholar] [CrossRef]
- Shirshovaa, L.T.; Ghabbourb, E.A.; Daviesb, G. Spectroscopic characterization of humic acid fractions isolated from soil using different extraction procedures. Geoderma. 2006, 133, 204–216. [Google Scholar] [CrossRef]
- Okubo, R.; Kameda, T.; Tohno, S. Evaluation of oxidative potential of pyrenequinone isomers by the dithiothreitol (DTT) assay. Polycycl. Aromat. Compd. 2021, 1–8. [Google Scholar] [CrossRef]
- Fleming, Z.L.; Doherty, R.M.; Schneidemesser, E.v.; Malley, C.S.; Cooper, O.W.; Pinto, J.P.; Colette, A.; Xu, X.; Simpson, D.; Schultz, M.G.; et al. Tropospheric Ozone Assessment Report: Present-day ozone distribution and trends relevant to human health. Elem. Sci. Anth. 2018, 6, 12. [Google Scholar] [CrossRef] [Green Version]
- Kim, D.; Grassian, V.H. Attenuated Total Reflection-Fourier Transform Infrared and Atomic Force Microscopy-Infrared Spectroscopic Investigation of Suwannee River Fulvic Acid and Its Interactions with α-FeOOH. ACS Earth Space Chem. 2022, 6, 81–89. [Google Scholar] [CrossRef]
- Ghio, A.J.; Gonzalez, D.H.; Paulson, S.E.; Soukup, J.M.; Dailey, L.A.; Madden, M.C.; Mahler, B.; Elmore, S.A.; Schladweiler, M.C.; Kodavanti, U.P. Ozone Reacts With Carbon Black to Produce a Fulvic Acid-Like Substance and Increase an Inflammatory Effect. Toxicol. Pathol. 2020, 48, 887–898. [Google Scholar] [CrossRef]
- Rodríguez, F.J.; Schlenger, P.; García-Valverde, M. Monitoring changes in the structure and properties of humic substances following ozonation using UV–Vis, FTIR and H NMR techniques. Sci. Total Environ. 2016, 541, 623–637. [Google Scholar] [CrossRef]
- Ma, Y.S. Reaction Mechanisms for DBPS Reduction in Humic Acid Ozonation. Ozone Sci. Eng. 2004, 6, 153–164. [Google Scholar] [CrossRef]
- Wang, H.; Zhu, Y.; Hu, C.; Hu, X. Treatment of NOM fractions of reservoir sediments: Effect of UV and chlorination on formation of DBPs. Sep. Purif. Technol. 2015, 154, 228–235. [Google Scholar] [CrossRef]
- Vione, D.; Maurino, V.; Minero, C.; Pelizzetti, E.; Harrison, M.A.; Olariu, R.I.; Arsene, C. Photochemical reactions in the tropospheric aqueous phase and on particulate matter. Chem. Soc. Rev. 2006, 35, 441–453. [Google Scholar] [CrossRef]
- Haynes, J.P.; Miller, K.E.; Majestic, B.J. Investigation into Photoinduced Auto-Oxidation of Polycyclic Aromatic Hydrocarbons Resulting in Brown Carbon Production. Environ. Sci. Technol. 2019, 53, 682–691. [Google Scholar] [CrossRef]
- Keyte, I.J.; Harrisonz, R.M.; Lammel, G. Chemical reactivity and long-range transport potential of polycyclic aromatic hydrocarbons—A review. Chem. Soc. Rev. 2013, 42, 9333–9391. [Google Scholar] [CrossRef] [PubMed]
- Vecchio, R.D.; Schendorf, T.M.; Blough, N.V. Contribution of Quinones and Ketones/Aldehydes to the Optical Properties of Humic Substances (HS) and Chromophoric Dissolved Organic Matter (CDOM). Environ. Sci. Technol. 2017, 51, 13624–13632. [Google Scholar] [CrossRef] [PubMed]
- Hays, M.; Holder, A.; Gullett, B.; Geron, C.; Hemming, B. The Chemical Composition of Aerosols from Wildland Fire: Current State of the Science and Possible New Directions. In Proceedings of the International Smoke Symposium, Hyattsville, MD, USA, 21—24 October 2013; Available online: https://cfpub.epa.gov/si/si_public_file_download.cfm?p_download_id=522075&Lab=NRMRL (accessed on 3 January 2022).
- Sánchez, N.M.; Klerk, A.D. Autoxidation of aromatics. Appl. Petrochem. Res. 2018, 8, 55–78. [Google Scholar] [CrossRef] [Green Version]
- Chen, Q.; Ikemori, F.; Higo, H.; Asakawa, D.; Mochida, M. Chemical Structural Characteristics of HULIS and Other Fractionated Organic Matter in Urban Aerosols: Results from Mass Spectral and FT-IR Analysis. Environ. Sci. Technol. 2016, 50, 1721–1730. [Google Scholar] [CrossRef]
- Fan, X.; Wei, S.; Zhu, M.; Song, J.; Peng, P. Comprehensive characterization of humic-like substances in smoke PM2.5 emitted from the combustion of biomass materials and fossil fuels. Atmos. Chem. Phys. 2016, 16, 13321–13340. [Google Scholar] [CrossRef] [Green Version]
- Phillips, S.M.; Smith, G.D. Further Evidence for Charge Transfer Complexes in Brown Carbon Aerosols from Excitation–Emission Matrix Fluorescence Spectroscopy. J. Phys. Chem. A 2015, 119, 4545–4551. [Google Scholar] [CrossRef]
- Xu, J.; Gao, K. Photosynthetic contribution of UV-A to carbon fixation by macroalgae. Phycologia 2016, 55, 318–322. [Google Scholar] [CrossRef]
- Safety of Ultraviolet Radiation. Available online: https://www.marktec.co.jp/en/lecture/tabid/482/Default.aspx (accessed on 14 April 2022).





Publisher’s Note: MDPI stays neutral with regard to jurisdictional claims in published maps and institutional affiliations. |
© 2022 by the authors. Licensee MDPI, Basel, Switzerland. This article is an open access article distributed under the terms and conditions of the Creative Commons Attribution (CC BY) license (https://creativecommons.org/licenses/by/4.0/).
Share and Cite
Koike, Y.; Kameda, T. Effects of Chemical Reactions on the Oxidative Potential of Humic Acid, a Model Compound of Atmospheric Humic-like Substances. Atmosphere 2022, 13, 976. https://doi.org/10.3390/atmos13060976
Koike Y, Kameda T. Effects of Chemical Reactions on the Oxidative Potential of Humic Acid, a Model Compound of Atmospheric Humic-like Substances. Atmosphere. 2022; 13(6):976. https://doi.org/10.3390/atmos13060976
Chicago/Turabian StyleKoike, Yohei, and Takayuki Kameda. 2022. "Effects of Chemical Reactions on the Oxidative Potential of Humic Acid, a Model Compound of Atmospheric Humic-like Substances" Atmosphere 13, no. 6: 976. https://doi.org/10.3390/atmos13060976
APA StyleKoike, Y., & Kameda, T. (2022). Effects of Chemical Reactions on the Oxidative Potential of Humic Acid, a Model Compound of Atmospheric Humic-like Substances. Atmosphere, 13(6), 976. https://doi.org/10.3390/atmos13060976
