Characterization of Terrain-Induced Turbulence by Large-Eddy Simulation for Air Safety Considerations in Airport Siting
Abstract
1. Introduction
2. Study Area-Leknes, Lofoten Islands
3. Materials and Methods
3.1. Simulation Setup
3.1.1. Simulation Model-PALM
3.1.2. Simulation Suite and Parameters
3.1.3. Topography Data
3.1.4. Domain and Boundary Conditions
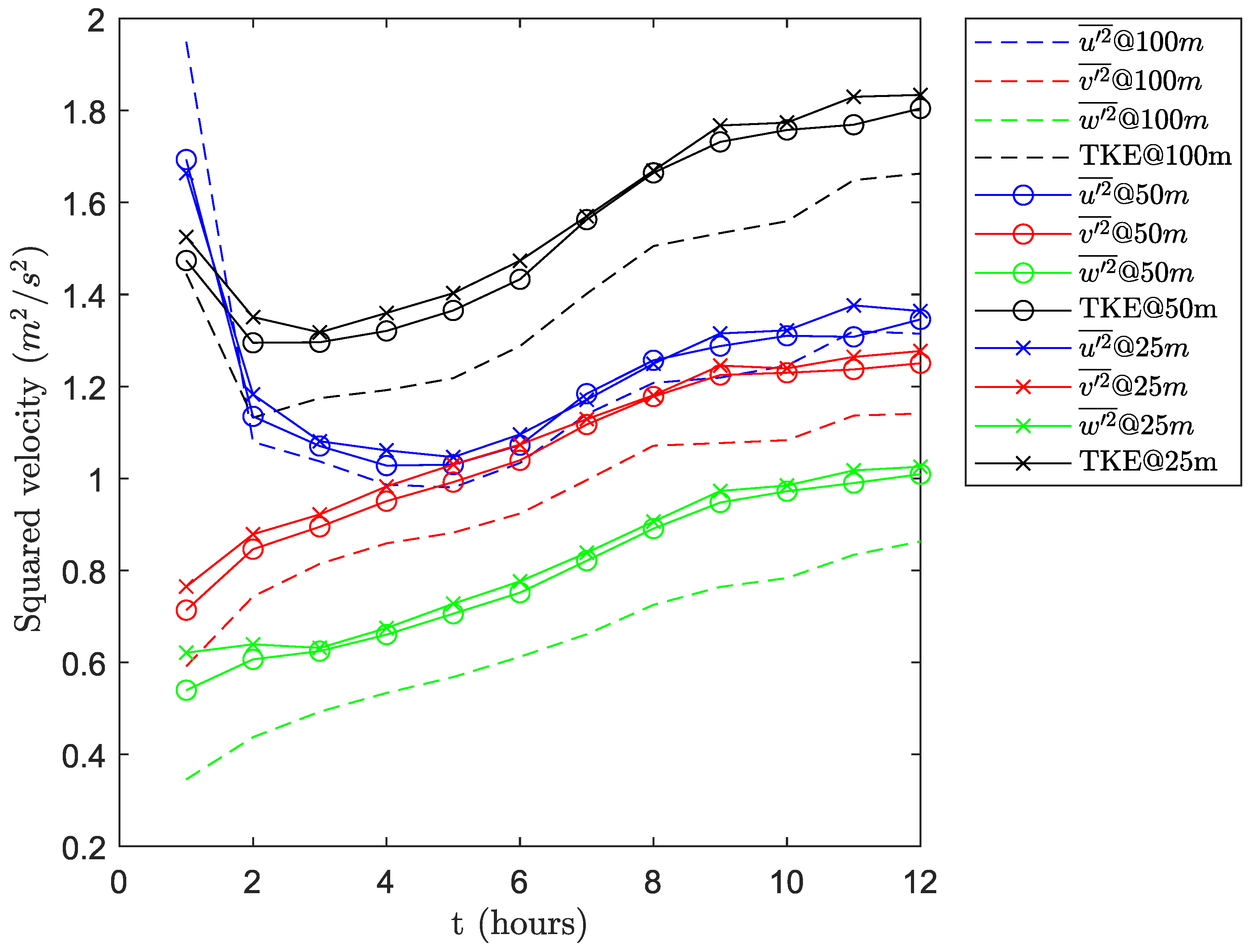
3.1.5. Sensitivity Analysis
3.2. Methodology
4. Results
4.1. Atmospheric Stratification
4.2. Turbulence Characteristics as Function of Wind Speed and Direction
4.2.1. Horizontal Cross-Sections
4.2.2. Vertical Cross Sections
4.3. Aviation Safety Risk Analysis on the Glide Slope
- Southwesterly group (S20, SSW20, SW20, WSW20): The overall resolved TKE condition of this group is moderate, with a high turbulence probability of 3.6%. For the direction of RWY03, main peaks are observed in the lee of Skottind. For RWY21, only one high-risk area is found in SSW20.
- Northwesterly group (W20, WNW20, NW20, NNW20): This group reports considerably more turbulence hot spots than the others, with a high turbulence probability of 14.1%. According to the profiles, there are two common hot spots along the RWY03 slope, and another two along the RWY21 slope. If we assume an aircraft is approaching along the RWY03 slope, it will first encounter intensive turbulence at approximately 750 m altitudes. This hot spot is located at the lee of the mountains on Flakstadøya. The mountains there run north to south, maximizing the blockage effect on northwesterly winds, and, as a result, generating high turbulence levels. The aircraft will cross high turbulence again at about 400 m in altitude. As discussed in Section 4.2, this hot spot is related to the mountains to the south of LKN.
- Northeasterly group (N20, NNE20, NE20, ENE20): The high turbulence risk of this group is, 3.6%, again, moderate. Unlike the other groups, whose extreme values distribute relatively evenly, most of the extremes in this group are found in the major peak of ENE20. This peak stands out at about 20 km distance from RWY21, located above two lakes (Urvatnet and Steirapollen), situated between the mountains Helfjellet and Haveren. As discussed in Section 4.2.1, the wind field here turns northeasterly, maximizing the interference with Haveren. As a result, high turbulence levels are induced in the downwind region. The mechanism and wind setting of NE20 is quite similar, but the statistics yield results with huge contrast. By investigating the turbulence distribution for the whole domain, one can observe that the total amount of resolved TKE between NE20 and ENE20 is rather similar. However, due to the slight shift in wind direction, the turbulence hot spot induced by Haveren, moves slightly southeastwards to the lake Alstadpollen, making it undetectable in the cross-section along the LKN runway.
- Southeasterly group (E20, ESE20, SE20, SSE20): This group is least overall least exposed to turbulence risks among the four groups, with a high turbulence probability of 2.1%. There are no shared peak locations among the group members, instead, various extreme values (with relatively low magnitude) spread in the region 10–20 km away from RWY21, i.e., the northeastern part of the main valley on the Vestvågøya island. The potential reason this group experiences the least turbulence risk is the fact that the topography on the southeastern side of Vestvågøya is lower and gentler than its northwestern counterpart, but spread more continuously. Therefore, as the easterly winds in this group interfere with the mountains, turbulent eddies are induced in a larger area but with overall lower TKE intensity.
5. Conclusions and Outlook
Author Contributions
Funding
Institutional Review Board Statement
Informed Consent Statement
Data Availability Statement
Acknowledgments
Conflicts of Interest
Appendix A. Figures of Full-Set Simulation Results








References
- Sharman, R.; Lane, T. (Eds.) Aviation Turbulence; Springer International Publishing: Cham, Switzerland, 2016. [Google Scholar] [CrossRef]
- Gultepe, I.; Sharman, R.; Williams, P.D.; Zhou, B.; Ellrod, G.; Minnis, P.; Trier, S.; Griffin, S.; Yum, S.S.; Gharabaghi, B.; et al. A Review of High Impact Weather for Aviation Meteorology. Pure Appl. Geophys. 2019, 176, 1869–1921. [Google Scholar] [CrossRef]
- WMO. Aviation|Hazards|Turbulence and Wind Shear. Available online: https://community.wmo.int/activity-areas/aviation/hazards/turbulence (accessed on 1 March 2022).
- Stull, R.B. An Introduction to Boundary Layer Meteorology; Springer: Dordrecht, The Netherlands, 1988. [Google Scholar] [CrossRef]
- Sharman, R.D.; Trier, S.B.; Lane, T.P.; Doyle, J.D. Sources and dynamics of turbulence in the upper troposphere and lower stratosphere: A review. Geophys. Res. Lett. 2012, 39. [Google Scholar] [CrossRef]
- Trier, S.B.; Sharman, R.D.; Lane, T.P. Influences of Moist Convection on a Cold-Season Outbreak of Clear-Air Turbulence (CAT). Mon. Weather Rev. 2012, 140, 2477–2496. [Google Scholar] [CrossRef]
- Kim, J.H.; Chun, H.Y. Statistics and Possible Sources of Aviation Turbulence over South Korea. J. Appl. Meteorol. Climatol. 2011, 50, 311–324. [Google Scholar] [CrossRef]
- Doyle, J.D.; Jiang, Q.; Smith, R.B.; Grubišić, V. Three-dimensional characteristics of stratospheric mountain waves during T-REX. Mon. Weather Rev. 2011, 139, 3–23. [Google Scholar] [CrossRef]
- Lane, T.P.; Sharman, R.D.; Trier, S.B.; Fovell, R.G.; Williams, J.K. Recent Advances in the Understanding of Near-Cloud Turbulence. Bull. Am. Meteorol. Soc. 2012, 93, 499–515. [Google Scholar] [CrossRef]
- Hon, K.K.; Chan, P.W. Alerting of hectometric turbulence features at Hong Kong International Airport using a short-range LIDAR. Meteorol. Appl. 2020, 27, 1–10. [Google Scholar] [CrossRef]
- Smagorinsky, J. General circulation experiments with the primitive equations: I. The basic experiment. Mon. Weather Rev. 1963, 91, 99–164. [Google Scholar] [CrossRef]
- van Heerwaarden, C.C.; Mellado, J.P. Growth and Decay of a Convective Boundary Layer over a Surface with a Constant Temperature. J. Atmos. Sci. 2016, 73, 2165–2177. [Google Scholar] [CrossRef]
- Rai, R.K.; Berg, L.K.; Pekour, M.; Shaw, W.J.; Kosovic, B.; Mirocha, J.D.; Ennis, B.L. Spatiotemporal Variability of Turbulence Kinetic Energy Budgets in the Convective Boundary Layer over Both Simple and Complex Terrain. J. Appl. Meteorol. Climatol. 2017, 56, 3285–3302. [Google Scholar] [CrossRef]
- Huang, J.; Bou-Zeid, E. Turbulence and Vertical Fluxes in the Stable Atmospheric Boundary Layer. Part I: A Large-Eddy Simulation Study. J. Atmos. Sci. 2013, 70, 1513–1527. [Google Scholar] [CrossRef]
- Sullivan, P.P.; Weil, J.C.; Patton, E.G.; Jonker, H.J.J.; Mironov, D.V. Turbulent Winds and Temperature Fronts in Large-Eddy Simulations of the Stable Atmospheric Boundary Layer. J. Atmos. Sci. 2016, 73, 1815–1840. [Google Scholar] [CrossRef]
- van der Linden, S.J.A.; Edwards, J.M.; van Heerwaarden, C.C.; Vignon, E.; Genthon, C.; Petenko, I.; Baas, P.; Jonker, H.J.J.; van de Wiel, B.J.H. Large-Eddy Simulations of the Steady Wintertime Antarctic Boundary Layer. Bound. Layer Meteorol. 2019, 173, 165–192. [Google Scholar] [CrossRef]
- Bechmann, A.; Sørensen, N.N.; Berg, J.; Mann, J.; Réthoré, P.E. The Bolund Experiment, Part II: Blind Comparison of Microscale Flow Models. Bound. Layer Meteorol. 2011, 141, 245–271. [Google Scholar] [CrossRef]
- Liu, Z.; Cao, S.; Liu, H.; Ishihara, T. Large-Eddy Simulations of the Flow Over an Isolated Three-Dimensional Hill. Bound. Layer Meteorol. 2019, 170, 415–441. [Google Scholar] [CrossRef]
- Vollmer, L.; Steinfeld, G.; Heinemann, D.; Kühn, M. Estimating the wake deflection downstream of a wind turbine in different atmospheric stabilities: An LES study. Wind Energy Sci. 2016, 1, 129–141. [Google Scholar] [CrossRef]
- Martínez-Tossas, L.A.; Churchfield, M.J.; Yilmaz, A.E.; Sarlak, H.; Johnson, P.L.; Sørensen, J.N.; Meyers, J.; Meneveau, C. Comparison of four large-eddy simulation research codes and effects of model coefficient and inflow turbulence in actuator-line-based wind turbine modeling. J. Renew. Sustain. Energy 2018, 10, 033301. [Google Scholar] [CrossRef]
- Abkar, M.; Porté-Agel, F. Influence of atmospheric stability on wind-turbine wakes: A large-eddy simulation study. Phys. Fluids 2015, 27, 035104. [Google Scholar] [CrossRef]
- Taylor, A.C.; Beare, R.J.; Thomson, D.J. Simulating Dispersion in the Evening-Transition Boundary Layer. Bound. Layer Meteorol. 2014, 153, 389–407. [Google Scholar] [CrossRef][Green Version]
- Resler, J.; Eben, K.; Geletič, J.; Krč, P.; Rosecký, M.; Sühring, M.; Belda, M.; Fuka, V.; Halenka, T.; Huszár, P.; et al. Validation of the PALM model system 6.0 in a real urban environment: A case study in Dejvice, Prague, the Czech Republic. Geosci. Model Dev. 2021, 14, 4797–4842. [Google Scholar] [CrossRef]
- Knigge, C.; Raasch, S. Large-Eddy Simulation on the Influence of Buildings on Aircraft during Take Off and Landing. Available online: https://www.researchgate.net/publication/268648516_Large-eddy_simulation_on_the_influence_of_buildings_on_aircraft_during_take_off_and_landing (accessed on 18 April 2022).
- Bergot, T.; Escobar, J.; Masson, V. Effect of small-scale surface heterogeneities and buildings on radiation fog: Large-eddy simulation study at Paris-Charles de Gaulle airport. Q. J. R. Meteorol. Soc. 2015, 141, 285–298. [Google Scholar] [CrossRef]
- Chan, P.W.; Lai, K.K.; Li, Q.S. High-resolution (40 m) simulation of a severe case of low-level windshear at the Hong Kong International Airport—Comparison with observations and skills in windshear alerting. Meteorol. Appl. 2021, 28, 1–25. [Google Scholar] [CrossRef]
- Liu, X.; Abà, A.; Capone, P.; Manfriani, L.; Fu, Y. Atmospheric Disturbance Modelling for a Piloted Flight Simulation Study of Airplane Safety Envelope over Complex Terrain. Aerospace 2022, 9, 103. [Google Scholar] [CrossRef]
- WMO. Aircraft Meteorological Data Relay (AMDAR) Reference Manual; Technical Report 958; World Meteorological Organization (WMO): Geneva, Switzerland, 2003. [Google Scholar]
- Sharman, R. Nature of Aviation Turbulence. In Aviation Turbulence: Processes, Detection, Prediction; Springer International Publishing: Cham, Switzerland, 2016; pp. 3–30. [Google Scholar] [CrossRef]
- Rasheed, A.; Mushtaq, A. Numerical analysis of flight conditions at the Alta airport, Norway. Aviation 2014, 18, 109–119. [Google Scholar] [CrossRef]
- Midtbø, K.H.; Bremnes, J.B.; Homleid, M.; Ødegaard, V. Verification of Wind Forecasts for the Airports; Technical Report 2; Norwegian meteorological Institute: Oslo, Norway, 2008. [Google Scholar]
- Rasheed, A.; Sørli, K. CFD analysis of terrain induced turbulence at Kristiansand airport, Kjevik. Aviation 2013, 17. [Google Scholar] [CrossRef]
- Øystein Ingebrigtsen. På Disse fire Stedene vil Avinor Måle Vind og Turbulens: -Vi Skal Sette ut Lasermålere i et Halvt år. Available online: https://www.lofotposten.no/flyplass/samferdsel/leknes/pa-disse-fire-stedene-vil-avinor-male-vind-og-turbulens-vi-skal-sette-ut-lasermalere-i-et-halvt-ar/s/5-29-379163 (accessed on 14 May 2018).
- Website. Technical Documentation of PALM-Governing Equations. Available online: https://palm.muk.uni-hannover.de/trac/wiki/doc/tec/gov (accessed on 29 August 2019).
- Wicker, L.J.; Skamarock, W.C. Time-Splitting Methods for Elastic Models Using Forward Time Schemes. Mon. Weather Rev. 2002, 130, 2088–2097. [Google Scholar] [CrossRef]
- Williamson, J. Low-storage Runge-Kutta schemes. J. Comput. Phys. 1980, 35, 48–56. [Google Scholar] [CrossRef]
- Deardorff, J.W. Cloud Top Entrainment Instability. J. Atmos. Sci. 1980, 37, 131–147. [Google Scholar] [CrossRef]
- Moeng, C.H.; Wyngaard, J.C. Spectral Analysis of Large-Eddy Simulations of the Convective Boundary Layer. J. Atmos. Sci. 1988, 45, 3573–3587. [Google Scholar] [CrossRef]
- Saiki, E.M.; Moeng, C.H.; Sullivan, P.P. Large-eddy simulation of the stably stratified planetary boundary layer. Bound. Layer Meteorol. 2000, 95, 1–30. [Google Scholar] [CrossRef]
- Maronga, B.; Gryschka, M.; Heinze, R.; Hoffmann, F.; Kanani-Sühring, F.; Keck, M.; Ketelsen, K.; Letzel, M.O.; Sühring, M.; Raasch, S. The Parallelized Large-Eddy Simulation Model (PALM) version 4.0 for atmospheric and oceanic flows: Model formulation, recent developments, and future perspectives. Geosci. Model Dev. 2015, 8, 2515–2551. [Google Scholar] [CrossRef]
- Maronga, B.; Banzhaf, S.; Burmeister, C.; Esch, T.; Forkel, R.; Fröhlich, D.; Fuka, V.; Gehrke, K.F.; Geletič, J.; Giersch, S.; et al. Overview of the PALM model system 6.0. Geosci. Model Dev. 2020, 13, 1335–1372. [Google Scholar] [CrossRef]
- Kartverket-API og Data. Available online: https://www.kartverket.no/api-og-data (accessed on 10 January 2022).
- Geonorge-Kartkalalogen. Available online: https://www.geonorge.no/ (accessed on 10 January 2022).
- Kim, H.G.; Patel, V. Test of turbulence models for wind flow over terrain with separation and recirculation. Bound. Layer Meteorol. 2000, 94, 5–21. [Google Scholar] [CrossRef]
- Agee, E.; Gluhovsky, A. LES Model Sensitivities to Domains, Grids, and Large-Eddy Timescales. J. Atmos. Sci. 1999, 56, 599–604. [Google Scholar] [CrossRef]
- Wyngaard, J. Lectures on the planetary boundary layer. In Mesoscale Meteorology—Theories, Observations and Models; Springer: Berlin, Germany, 1983; pp. 603–650. [Google Scholar]
- Lewis, M.S.; Robinson, P.A.; Hinton, D.A.; Bowles, R.L. The Relationship of an Integral Wind Shear Hazard to Aircraft Performance Limitations; NASA Technical Memorandum 109080; National Aeronautics and Space Administration, Langley Research Center, National Technical Information Service: Hampton, VA, USA, 1994.
- Eidsvik, K.J.; Holstad, A.; Lie, I.; Utnes, T. A prediction system for local wind variations in mountainous terrain. Bound. Layer Meteorol. 2004, 112, 557–586. [Google Scholar] [CrossRef]
- Clark, T.L.; Keller, T.; Coen, J.; Neilley, P.; Hsu, H.M.; Hall, W.D. Terrain-induced turbulence over Lantau Island: 7 June 1994 tropical storm Russ case study. J. Atmos. Sci. 1997, 54, 1795–1814. [Google Scholar] [CrossRef]
- Ribbens, W. Aircraft Instruments, XVI. Istrument Landing System (ILS). In Encyclopedia of Physical Science and Technology, 3rd ed.; Meyers, R.A., Ed.; Academic Press: New York, NY, USA, 2003; pp. 337–364. [Google Scholar] [CrossRef]
- Wurps, H.; Steinfeld, G.; Heinz, S. Grid-resolution requirements for large-eddy simulations of the atmospheric boundary layer. Bound. Layer Meteorol. 2020, 175, 179–201. [Google Scholar] [CrossRef]
- Belcher, S.E.; Wood, N. Form and wave drag due to stably stratified turbulent flow over low ridges. Q. J. R. Meteorol. Soc. 1996, 122, 863–902. [Google Scholar] [CrossRef]
- Hunt, J.C.R.; Leibovich, S.; Richards, K.J. Turbulent shear flows over low hills. Q. J. R. Meteorol. Soc. 1988, 114, 1435–1470. [Google Scholar] [CrossRef]
- Chan, P.W. LIDAR-Based Turbulence Intensity for Aviation Applications. In Aviation Turbulence; Springer International Publishing: Cham, Switzerland, 2016; pp. 193–209. [Google Scholar] [CrossRef]
- Potekaev, A.; Shamanaeva, L.; Kulagina, V. Spatiotemporal Dynamics of the Kinetic Energy in the Atmospheric Boundary Layer from Minisodar Measurements. Atmosphere 2021, 12, 421. [Google Scholar] [CrossRef]









| Name | Value |
|---|---|
| Grid resolution (dx, dy, dz) | 50 m |
| Grid points | |
| Simulated time | 12 h |
| Number of timesteps | 25,341 |
| CPU cores | 400 |
| RAM allocated | 32,768 MB |
| Initial surface sensible heat flux | |
| Zonal boundary condition | cyclic |
| Meridional boundary condition | cyclic |
| Vertical boundary condition | no-slip |
| Grid Resolution | Avg. Simulation Time | Avg. Memory Usage | Avg. Disk Write |
|---|---|---|---|
| 25 m | 20:21:56 | 493 GB | 59 GB |
| 50 m | 01:15:36 | 141 GB | 7 GB |
| 100 m | 00:17:22 | 111 GB | 0.05 GB |
Publisher’s Note: MDPI stays neutral with regard to jurisdictional claims in published maps and institutional affiliations. |
© 2022 by the authors. Licensee MDPI, Basel, Switzerland. This article is an open access article distributed under the terms and conditions of the Creative Commons Attribution (CC BY) license (https://creativecommons.org/licenses/by/4.0/).
Share and Cite
Wang, S.; De Roo, F.; Thobois, L.; Reuder, J. Characterization of Terrain-Induced Turbulence by Large-Eddy Simulation for Air Safety Considerations in Airport Siting. Atmosphere 2022, 13, 952. https://doi.org/10.3390/atmos13060952
Wang S, De Roo F, Thobois L, Reuder J. Characterization of Terrain-Induced Turbulence by Large-Eddy Simulation for Air Safety Considerations in Airport Siting. Atmosphere. 2022; 13(6):952. https://doi.org/10.3390/atmos13060952
Chicago/Turabian StyleWang, Sai, Frederik De Roo, Ludovic Thobois, and Joachim Reuder. 2022. "Characterization of Terrain-Induced Turbulence by Large-Eddy Simulation for Air Safety Considerations in Airport Siting" Atmosphere 13, no. 6: 952. https://doi.org/10.3390/atmos13060952
APA StyleWang, S., De Roo, F., Thobois, L., & Reuder, J. (2022). Characterization of Terrain-Induced Turbulence by Large-Eddy Simulation for Air Safety Considerations in Airport Siting. Atmosphere, 13(6), 952. https://doi.org/10.3390/atmos13060952

