Abstract
Precipitations are one of the most important factors affecting water resources in the transboundary Polish–Saxon region. The main goal of the research was to examine the multiannual changes in precipitations in the April–September period in 1971–2018, depending on circulation conditions, based on Ojrzyńska’s classification. The analysis was carried out based on meteorological data from Polish and German meteorological stations. The results showed that most of precipitation totals and intensive precipitations were observed under SW-A and SW-C circulation, whereas the anticyclonic types of NE-A, NW-A and SW-A were mainly responsible for dry days occurrence. In terms of multiannual changes, most of the stations were characterized by insignificant trends for the considered indices. Some positive trends were observed for intensive precipitations in the lower hypsometric zones. In the mountains, a decreasing tendency dominated for both precipitation totals and intensive precipitations, especially for the northern types of circulation. Furthermore, a significant increase was reported throughout the region for most of the indices for the SW-A type, including precipitation totals, strong precipitations and dry days. Considering the observed trends, floods related to heavy rains can intensify in the lowlands, while a potential increase in the anticyclonic circulation can significantly limit water resources in the region.
1. Introduction
Precipitations are currently one of the most significant variables that are widely discussed in the context of progressing climate changes. A number of studies and reports indicated that the precipitation conditions in Europe are characterized by noticeable changes regarding their totals and frequency, as well as the intensity of extreme phenomena, such as heavy rainfall and droughts [,,,,]. This also concerns the central part of the continent where such events are relatively often noticed [,,,,,,]. In terms of the observed and projected annual precipitation totals, the intensity of changes in Central Europe is less distinctive than in the case of northern and southern regions of the continent and is mainly characterized by a slight increase [,,,]. However, significant differences can be often found between summer and winter precipitations. Some studies concerning these aspects showed that either observed or projected changes for both these seasons are related to the positive trends for the winter months and the negative ones for summer [,,,,,].
In Poland and Germany, including the Polish–Saxon border region (PSBR), the trends of annual precipitation totals were usually statistically insignificant [,,,,]. On the other hand, in some cases, an increasing tendency was observed or projected for the frequency of strong precipitations and droughts [,,,,,,,,,,]. The research on the problems of precipitation conditions was also carried out for the neighboring Czech Republic [,,,,,,,], evaluating trends for both annual and seasonal totals [,], emphasizing various trends of rainy days for the warm half-year [] and reporting an increase in either observed or projected frequency of intensive precipitations [,].
In the PSBR, the problem of precipitations and their influence on water resources is significant because of the presence of hydropower plants, agriculture lands, open-pit mines and the reclamation of post-mining areas. The transboundary character of this region additionally intensifies the importance of this aspect. This reflects in the development of such initiatives as trans-border international commissions focused on cooperation on border waters. The problems related to climate changes, including precipitations, were the subject of numerous international projects accomplished for this region, such as NEYMO, KLAPS, TRANSGEA, NEYMO-NW, RAINMAN, TEACHER-CE, and WIKT.
The analysis carried out for 1971–2010 showed that most of the PSBR was characterized by a positive trend of the annual precipitation totals. Depending on hypsometric zones, the totals in the discussed period could increase by 27–102 mm [,]. However, statistical significance was noticed for several stations only. Regarding precipitation totals in the warm half-year, the changes were not homogeneous. Positive trends dominated in the lower hypsometric zones, while a decreasing tendency was observed for the highest parts of the mountains. The characteristic issue was an increasing number of heavy precipitations. Research showed that the annual number of days with strong precipitations (exceeding 10 mm) in 1971–2010 rose by about 2–4 days, mainly in the warm half-year []. Simultaneously, the positive tendencies of air temperature and heat days [,,] contributed to the decrease in the values of climate water balance and agriculture indices [,,]. As a result, both extreme precipitations and water deficit can noticeably affect social–economic and environmental sectors in this region. The research on the impact of the weather factors on human life, economy and natural environment indicated that precipitations can strongly influence the sectors of transport, forestry, agriculture, transport or even public health and tourism []. This impact is significant especially for water management and energy production. A potential decrease in the frequency of precipitations can seriously limit water resources and hydropower generation in the discussed region []. Because of the mountainous character of the southern part of the region, this area is frequently affected by disastrous floods. The most catastrophic event occurred on the 7th of August 2010 in the region of Bogatynia, where more than 160 mm of rainfall was measured in a few hours. Consequently, several deaths and significant material losses were reported, including the destruction of the Niedów Dam on the Witka River [].
Precipitation conditions in Central Europe are strongly determined by the factor of atmospheric circulation [,,,,,,,,,,,]. Studies concerning this problem usually indicate the relationship between precipitations, large-scale circulation and the changes in precipitation totals in the multiannual period, depending on the circulation types; see [,,,,,,,,,,,,,,,]. They showed a correlation between the increase in intensive precipitations in the July–September period and the frequency of weather types []; emphasized the role of the selected types of cyclonic circulation in shaping intensive precipitations [,,]; and determined the anticyclonic circulation as one of the main factors contributing to drought occurrence []. The studies also evaluated the dependance of various forms of precipitations on circulation types [], presented the relationship between the circulation and precipitation types [], indicated a statistically significant correlation between the circulation and extreme precipitation occurrence [] and compared different classifications of circulation conditions in the context of precipitations evaluation [,].
As heavy precipitations and dry periods usually occur in the warm half-year, the main goal of the study was to evaluate precipitation conditions in the April–September period, based on 1971–2018 data series. The analysis considered multiannual changes of the precipitation indices related to their totals, frequency and heavy rainfall, also taking into account the factor of local atmospheric circulation. The previous studies carried out for Saxony indicated that the circulation factor is significant in terms of shaping precipitation conditions, especially in the morphologically varied areas []. Unlike most of the papers considering the large-scale evaluation, the classification of atmospheric circulation used in the paper was tailored exactly for the discussed region. The results of the research can improve knowledge on the precipitation conditions and their changes in the region, consequently contributing to the progress in decision-making processes in water management plans.
2. Materials and Methods
The analysis concerned the PSBR that covers the regions of Görlitz, Bautzen (Germany) and the districts of Zgorzelec, Lubań, Lwówek Śl. and Jelenia Góra (Poland) (Figure 1). Both Polish and German areas are separated from each other by the Lusatian Neisse River that forms a border between these regions. The northern part is mainly covered by lowlands, while the mountains and mountain foreland dominate in the south. The highest parts of the region are represented by the Sudety Mountains and the Zittau Mountains that form a border with the Czech Republic. Such a geographical variability consequently leads to a noticeable differentiation in climatological conditions.

Figure 1.
Location of meteorological stations in the PSBR.
In the analysis, meteorological data from both Polish and German parts of the region and the neighboring areas were used. The records concerned the series related to daily precipitation totals for 1971–2018. They were derived from 10 Polish and 8 German stations, which were located in different geographical regions and represented various hypsometric zones (Table 1). For the purposes of this paper, four hypsometric classes were distinguished depending on altitude: lowlands (<150 m a.s.l.), uplands (151–300 m a.s.l.), mountain foreland (301–600 m a.s.l.) and mountains (>600 m a.s.l.). Similar zones were selected in the previous studies concerning the considered region [,,]. As a result, 12 stations represented the lowlands or the uplands, while four corresponded to the mountain foreland. The highest mountain zones were characterized by two stations located in the Giant Mountains and Isera Mountains–Śnieżka and Jakuszyce. Data homogeneity was tested using the standard normal homogeneity test (SNHT) []. The records were examined in terms of their reliability and plausibility. No measurements gaps were detected in the database. The testing also showed that neither of the stations was characterized by shifts in the course of the data series. Furthermore, the correlation coefficient was also calculated for the precipitations data series between the particular stations and the synoptic stations located in the adjacent regions—Dresden (227 m a.s.l.) and Wrocław (120 m a.s.l.). As a result, a strong relationship between the stations was observed. In all cases, the correlation was characterized by statistical significance, also including the stations located in the mountains (Jakuszyce, and Śnieżka).

Table 1.
Polish and German meteorological stations in the PSBR and its surroundings (with increasing altitude).
The evaluation of precipitation conditions and their changes in the multiannual period was carried out based on the characteristics of totals, frequency and heavy precipitations. Those included the following indices:
- Precipitation totals (RR);
- Frequency of dry days (R < 1);
- Frequency of intensive precipitations (RR10);
- 95th percentile of precipitation totals (R95p).
All the indices were calculated for the warm half-years of 1971–2018. The frequency of dry days was defined as the situations with daily totals lower than 1 mm, while the intensive precipitations corresponded to the days with the amount reaching or exceeding 10 mm. In the case of the percentile, its values were calculated as all-day percentiles for each warm half-year, based on one of the three methods presented by Schär et al. []. Trends of the selected indices were examined in terms of statistical significance at the level of 0.05, considering the linear regression analysis. The results were additionally verified using the Mann–Kendall test. A correlation between precipitation conditions and circulation types was calculated using Pearson’s correlation coefficient.
In terms of circulation conditions, the classification of the atmospheric circulation for the Sudety Mountains and their surroundings was used. This was developed by H. Ojrzyńska [,,] and partially based on the classification carried out by Bissolli and Dittmann []. This can be used for such regions as Southwest Poland, Southeast Germany, and East Czechia. Based on the classification, vorticity (A—anticyclonic, C—cyclonic) and the direction of advections can be assessed. The criteria for the classification are related to gridded meteorological data (2.5° × 2.5° spatial resolution, 24 h temporal resolution) from NCEP/NCAR (National Centers for Environmental Prediction/National Center for Atmospheric Research) re-analysis. Basing on the spline function, the data are interpolated to a spatial resolution of 5 km × 5 km. The type of circulation is determined for each day. For this purpose, a prevailing type is calculated by applying the mode function for all of the 5 km × 5 km grid cells [].
The criterion of direction concerns the advections from NE, northeast (1–90°); SE, southeast (91–180°); SW, southwest (181–270°); NW, northwest (271–360°); and XX, indeterminate direction. This was evaluated on the basis of wind direction from the 700 hPa isobaric level for a wind speed higher than 2 m/s. If it is lower or when no prevailing wind direction is observed, the XX circulation type is determined. The evaluation was carried out using the r.mapcalc module. Subsequently, the direction of advection was reclassed (r.reclass) to one of four directional sectors (N, E, S, W). Afterwards, the velocity was calculated, enabling the selection of the additional type of XX. The estimation of the advection direction was carried out based on the settings that at least 2/3 of the entire number of rasters are related to a given directional sector. Otherwise, the type of XX was determined [,].
The index of vorticity, similarly to the classification carried out by Bissolli and Dittmann [], was calculated based on the formula: ∇2ȹ, where ∇—nabla operator, ȹ—geopotential value. The nabla operator describes the concavity of convexity of the geopotential field. Positive or neutral values of the index classifies a given type as cyclonic circulation (C), while the negative ones are related to the anticyclonic types (A). The index of vorticity was calculated for the isobaric levels of 850 hPa. Comparing this to the classification developed by Bissolli and Dittmann [], which considers the 950 hPa level, the 850 hPa level was determined due to higher elevations noticed in the discussed region (the Sudety Mountains and their surroundings). The generation of the spatial distribution of the index for the 850 hPa level was developed using the r.mfilter GRASS module. The final classification of the vorticity of a given type was carried out based on the r.mapcalc raster layers calculator. The determination of a vorticity for the entire region was related to the most frequent type in a given area (modal value) [,].
In this paper, the analysis concerning circulation conditions were carried out based on the calendar of circulation types for 1971–2018, obtained directly from the author []. The precipitation indices and their multiannual changes were calculated for each of the circulation types.
3. Results
3.1. Precipitations and Circulation Conditions
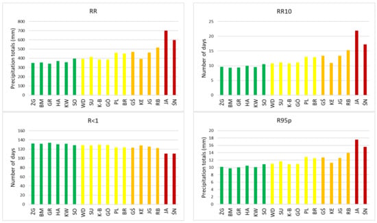
Precipitation conditions in the PSBR in the warm half-year of 1971–2018 were mainly determined by the factor of altitude (Figure 2). In the case of precipitation totals (RR) and intensive precipitations (RR10, R95p), the lowest values of the indices were usually observed at the stations located lower down. Precipitation totals in the lowlands, uplands and mountain foreland varied at 347–515 mm, while in the highest hypsometric zone, they reached 595 mm on Śnieżka and 698 mm in Jakuszyce. However, it should be emphasized that the amounts of precipitation on Śnieżka are usually underestimated because of the wind factor [,]. A similar situation was noticed for RR10 and R95p. In the Isera Mountains, represented by Jakuszyce, the values of these indices were significantly higher if compared to the highest parts of the Giant Mountains (Śnieżka). In the case of the stations located at the lower elevations, the mean rates of RR10 and R95p rose with the increasing altitude—from 9 to 15 days (RR10) and from 10 to 14 mm (R95p). On the other hand, the frequency of dry days (R < 1) was characterized by the opposite structure and varied from 122 to 133 days in the lower zones, to around 110 days in the mountains.

Figure 2.
Values of the selected precipitation indices in the warm half-year of 1971–2018 at the stations representing lowlands (green), uplands (yellow), mountain foreland (orange) and mountains (red) of the PSBR.
In terms of circulation conditions, according to the calendar of the circulation types [], the anticyclonic weather occurred on more than 70% of days in the warm half-year period. About 50 days (27%) in the April–September period were related to the SW-A type, while the circulation of NW-A and NE-A occurred on 38 and 31 days (17–21%) respectively. Regarding the cyclonic circulation, SW-C was the most frequent type (23 days), while the days with SE-C and NE-C occurred twice as low (11–12 days). The remaining types of circulation were characterized by a lower frequency (Figure 3).

Figure 3.
Frequency of circulation types in the warm half-year (April–September) in 1971–2018 in the PSBR, according to Ojrzyńska’s classification [].
3.2. Precipitations under Particular Circulation Conditions
In spite of a higher number of days with the anticyclonic types of weather in the warm half-year, significantly higher precipitation totals and their frequency were noticed under the cyclonic circulation. The fraction of precipitation totals measured under this circulation was equal to 54–56% of the entire amount noticed for the April–September period. The cyclonic types were also predominant in terms of RR10 and R95p. In each hypsometric zone, the frequency of RR10 was more than 2 days higher during the periods with cyclonic weather. In the case of R95p, the differences for the values calculated for cyclonic and anticyclonic circulation rose with the increasing altitude—from about 9 mm in the lowlands to 13 mm in the mountains. Regarding the number of dry days, they occurred about 4–5 times more often during the anticyclonic weather.
Considering particular types of circulation, SW-A and SW-C were responsible for about half of the precipitation totals in the warm half-year. Such a high ratio in the case of SW-A mainly resulted from a very high frequency of this circulation type, twice as high as SW-C. During the days with these types of circulation, definitely higher precipitation totals were observed for SW-C. The mean value of RR per one day on the days with SW-C, in the considered hypsometric zones, amounted to 3.3–5.3 mm, while for SW-A, it was equal to 1.9–3.1 mm. The ratio of RR per one day between SW-C and SW-A varied from 1.74 to 1.86 and did not show dependence on altitude. These two types were also predominant in terms of RR10. It should be emphasized that higher rates of RR and RR10 on the days with SW-A and SW-C were noticed for the stations located lower down. On the other hand, the higher hypsometric zones were characterized by noticeably higher rates of RR and RR10 observed during the northern circulation. The fraction of precipitation totals under all the northern types (both anticyclonic and cyclonic) varied from less than 30% in the lowlands to 39% in the mountains. The difference for RR10 was also significant and differed from 28% to more than 35%. Such a distribution of precipitation conditions during the northern circulation, depending on hypsometric zones, was mainly caused by the orographic factor, which contributes to the increase in the precipitation totals and their frequency in the higher parts of the Sudetes Mountains.
Regarding dry days (R < 1), the anticyclonic types of NE-A, NW-A and SW-A were mostly responsible for their occurrence. All the considered hypsometric zones were characterized by a similar fraction. In the case of SE-A, the lower rate of R < 1 mainly resulted from a significantly lower frequency of this circulation when compared to the types mentioned above. A very low number of dry days under the NW-C type (despite its high frequency) was connected with the intensification of precipitations, typical for this circulation, especially in the June–July period.
Comparing the selected hypsometric zones, the absolute number of R < 1 for each circulation type was higher at the stations located lower down and rose with the increasing altitude. A different situation was observed for the previously discussed indices of RR and RR10. In this case, the highest values for particular types of circulation were noticed in the mountains (Figure 4). The increase with the altitude was also reported for R95p. In the mountains and mountain foreland, the highest amounts were noticed for NE-C (Figure 5). This shows that the mountainous regions during NE-C circulation are vulnerable to the impact of strong precipitations. It should be emphasized that the magnitude of such precipitations can be intensified by the orographic effect. Such conditions are also connected with the direction of the main ridge of the Sudetes Mountains (stretched NW to SE), which is a favoring factor in the context of air masses advections from NE.

Figure 4.
Mean values (left) and a structure (right) of precipitation totals (RR), intensive precipitations (RR10) and dry days (R < 1) under various types of atmospheric circulation in the warm half-year of 1971–2018 in the PSBR.

Figure 5.
Mean values of the 95th percentile of precipitation totals (R95p) under various types of atmospheric circulation in the warm half-year of 1971–2018 in the PSBR.
In terms of the relationship between the frequency of selected types of atmospheric circulation in the warm half-year and the values of selected indices, the strongest correlation was found for the NE-A type (Table 2). In this case, a positive, statistically significant correlation was noticed throughout the region for R < 1, while a negative relationship was reported for RR, RR10 and R95p for some of the stations representing the lowlands, uplands and mountain foreland. In the uplands, most of the stations also indicated a statistically significant relationship between the frequency of dry days and the SE-A type. It should be emphasized that both NE-A and SE-A types are often accompanied by heat stress occurrence, which, along with the dry periods, can seriously limit water resources in this region. On the other hand, a strong correlation in the lower hypsometric zones was often observed between RR, RR10, R95p and the cyclonic types, such as SE-C, SW-C and XX-C. Furthermore, a high level of relationship was found for the uplands, mountain foreland and the mountains for NE-C circulation. This significantly resulted from the orographic effect and confirmed a high importance of this type of circulation in terms of strong precipitation occurrence in the higher hypsometric zones.

Table 2.
The number of stations with statistically significant correlation between the frequency of particular circulation types and RR, RR10, R < 1, R95p in the warm half-year of 1971–2018 in the PSBR (red: negative correlation, green: positive correlation).
3.3. Multiannual Changes in Precipitations Depending on Circulation Conditions
Multiannual changes in the frequency of the selected circulation types in 1971–2018 were usually statistically insignificant. The only exceptions were the types of SW-A and XX-C, which indicated a statistically significant positive and negative trend respectively. The rate of growth in the frequency of SW-A exceeded 3 days per decade, while the decrease in XX-C amounted to about 1 day per 28 years (Table 3).

Table 3.
Changes in the frequency (days per decade) of circulation types in the warm half year of 1971–2018, according to the calendar of circulation conditions for the Sudety Mountains and their surroundings [] (statistically significant trends marked in bold and red).
Taking into consideration the entire warm half-year period, changes in the selected precipitation indices in 1971–2018 were in most cases statistically insignificant (Table 4). The only trends with statistical significance at the level of 0.05 were noticed for Königswartha (for RR10 and R < 1) and Śnieżka (RR, R95p). The rates of increase of RR10 and R95p in Königswartha amounted to 1 day per decade and 1 mm per 17 years, respectively. In the case of Śnieżka, a noticeable decrease in precipitation totals was observed, reaching more than 52 mm per decade. Simultaneously, the values of R95p decreased with the rate of 1 mm per 8 years. Considering all the trends (including also those statistically insignificant), RR and RR10 were usually characterized by a positive tendency in the areas located lower down and the negative one for the higher hypsometric zones. A similar direction was observed for R95p—the most dynamic increase occurred in the lowlands, while in the mountain foreland and the mountains, the changes were usually minimal or characterized by a negative trend. In the case of R < 1, a positive tendency dominated throughout the region (except two stations) with the highest rate noticed in Jakuszyce (almost 2 days per decade). Such a distribution of the changes in precipitation conditions shows that the lower zones can be more vulnerable to the increase in intensive precipitations conditions, while the highest parts of the region, especially the summits, can experience a noticeable decrease in both precipitation totals and intensive precipitations.

Table 4.
Rate of changes (per decade) of the selected precipitation indices in the warm half-year of 1971–2018 in the PSBR (statistically significant trends marked in bold and red) and their mean values (italicized) for the lowlands (LO), uplands (UP), mountain foreland (MF) and mountains (MO).
Regarding the multiannual changes in precipitation depending on the atmospheric circulation, the most distinctive trends for RR and RR10 were reported for the SW-A circulation (Table 5 and Table 6). Because of the rising tendency of this type of circulation, a vast majority of the stations were characterized by positive trends for these indices. The rate of changes did not vary significantly between particular hypsometric zones; it amounted to about 9–15 mm per decade for RR and to 1 day per 15–24 years for RR10. Considering the remaining types of circulation, a noticeable decrease in RR and RR10 was observed for NW-C circulation, especially at the stations located at the higher elevations. The most dynamic changes occurred in the mountains, where they amounted to the rate of 8–10 mm per decade (RR) and 2 days per 31–32 years (RR10). The remaining types of the northern circulation, due to their negative trends in 1981–2018, were characterized by a decline for both indices. This concerns especially the stations located at the highest altitude where the orographic factor during the northern circulation affects precipitations the most. In the summits (Śnieżka), the decrease in both indices was the strongest. In the case of NE-C type, this amounted to 30 mm per decade (RR) and 1 day per 17 years (RR10). Considering the fact that the northern circulation plays an important role in shaping precipitation conditions in the mountains, the decrease in precipitation totals under this type of circulation can be deemed one of the most important factors responsible for the decline in precipitations in the entire warm half-year. Regarding the southern circulation, positive trends for RR and RR10 were usually observed for the stations located lower down, while in the mountains, a negative tendency was noticed in some cases, especially in the summit zone. However, it should be emphasized that none of the stations was characterized by statistically significant trends.

Table 5.
Changes in RR (mm per decade) for particular types of circulation in 1971–2018 in the PSBR (statistically significant trends marked in bold and red) and their mean values (italicized) for the lowlands (LO), uplands (UP), mountain foreland (MF) and mountains (MO).

Table 6.
Changes in RR10 (days per decade) for particular types of circulation in 1971–2018 in the PSBR (statistically significant trends marked in bold and red) and their mean values (italicized) for the lowlands (LO), uplands (UP), mountain foreland (MF) and mountains (MO).
Similar to the indices discussed above, the increasing number of days with SW-A also contributed to the changes in R < 1 (Table 7). In this case, a statistically significant, positive trend was noticed throughout the region with the growth, usually exceeding 2 days per decade. This shows that the frequently occurring SW-A type can have a major influence on the decline in the number of days with precipitations. Consequently, such a trend may cause significant problems for agriculture and water management, especially in the lower hypsometric zones. The direction of changes of R < 1 for the remaining types of circulation was comparable to the tendency observed for the frequency of these types. The negative trends were reported for most of the stations for the northern circulation, SW-C and both XX types. No statistical significance was usually noticed, except for SW-C and XX-C at some of the stations located lower down. In the case of SW-C, the intensity of changes in the frequency of dry days could reach as much as 1 day per decade.

Table 7.
Changes in R < 1 (days per decade) for particular types of circulation in 1971–2018 in the PSBR (statistically significant trends marked in bold and red) and their mean values (italicized) for the lowlands (LO), uplands (UP), mountain foreland (MF) and mountains (MO).
Changes in R95p in the April–September period usually did not show statistically significant trends in 1971–2018 in the discussed region (Table 8). The most noticeable tendency was mainly observed in the mountain area for some of the cyclonic circulation conditions. This concerns especially the decline in NE-C, NW-C and XX-C types and a significant increase under the SE-C circulation. Similar to RR and RR10, a positive tendency in the entire hypsometric profile was noticed for the SW-A type. Statistically significant trends, characterized by the rate of changes amounting to 1 mm per 11–14 years, were noticed only for two stations, representing the lower zones.

Table 8.
Changes in R95p (mm per decade) for particular types of circulation in 1971–2018 in the PSBR (statistically significant trends marked in bold and red) and their mean values (italicized) for the lowlands (LO), uplands (UP), mountain foreland (MF) and mountains (MO).
The analysis presented above indicated that trends and magnitudes of the changes in the selected precipitation indices were often noticeably determined by the changes in the frequency of a given type of circulation. Independently from the circulation occurrence, the changes could be also observed for the percentage of the frequency of RR10 and R < 1 under particular circulation types in the total number of days in the warm half-year. In the case of RR10, positive and statistically significant trends were often noticed for the SW-A and SW-C types at some of the stations located lower down, especially in the lowlands. The fraction of days with intensive precipitations (RR10) in all the days with SW-A type could increase by as much as 10% in 1971–2018. A little lower but still significant growth was also observed for the SW-C in both lowland and mountain foreland (Figure 6). Furthermore, a decline in the percentage of RR10 was reported for the northern circulation in the mountains, particularly for NW-A and NW-C types.

Figure 6.
Changes in the percentage of RR10 frequency under SW-A (top) and SW-C (down) types of circulation at the stations representing the lowlands (Königswartha, Graustein) and mountain foreland (Gryfów Śląski, Jelenia Góra) in 1971–2018.
Regarding R < 1, statistically insignificant trends were mostly noticed for the majority of the circulation types, except for the NW-A type. In this case, a noticeable increase in the R < 1 percentage was reported for this circulation. The statistically significant trends were noticed for the stations which represented all the hypsometric zones; however, the most dynamic changes were observed in the mountain foreland and mountains, where such a tendency was found for all the stations. The rate of increase at the stations located lower down usually exceeded 2% per decade, while in the mountains (Jakuszyce), the percentage of R < 1 rose by almost 4% per decade (Figure 7).

Figure 7.
Changes in the percentage of R < 1 frequency under NW-A circulation at the stations representing the lowlands (Halbendorf), uplands (Görlitz), mountain foreland (Rębiszów) and mountains (Jakuszyce) in 1971–2018.
4. Discussion
The results on precipitation conditions in the warm half-year in the PSBR generally confirmed the previous outcomes carried out for various regions located in Central Europe. The multiannual changes in the selected indices were mainly statistically insignificant for both the entire warm half-year period and for most of the types of the atmospheric circulation. In the April–September period, the positive tendency was usually noticed in the lower hypsometric zones with a low number of stations characterized by a statistically significant trend for the indices concerning intensive precipitations. Similar results were carried out for the lowland part of Poland, where stable conditions (summer precipitations) or slightly increasing, usually statistically insignificant, trends (annual precipitations) were reported [,,,,]. The positive trend for the annual totals was also found for Saxony [] and the entirety of Germany, for the multiannual period 1881–2019 []. In the Czech Republic, no statistically significant trends were observed for either annual or seasonal totals [,]. In the mountain area of the PSBR, the trends of precipitation totals and intensive precipitations were in most cases negative, especially in the summits where they were confirmed by a statistical significance. This decrease in precipitation totals in the warm half-year on Śnieżka reached almost 53 mm per decade, while the rate of 71 mm per decade was indicated for the annual totals in 1951–2015 []. The negative tendency, including the warm-half period, was also observed for the lower mountain zones in the Slovak Carpathians [].
Intensive precipitations, defined using RR10 and R95p indices, showed the decreasing trend in the summits, which was comparable to the tendency assessed for the warm half-year in the region of Saxony [,]. Such a trend was also found for Eastern Germany for RR10 and R95p indices in 1951–2006 [] and for the frequency of days with the daily precipitations exceeding 20 mm in 1961–2010 []. On the other hand, the lowlands were characterized by a positive, statistically significant tendency for some stations. Such differences between the mountains and the lower hypsometric zones found confirmation in the previous study carried out for Poland, which indicated a rising tendency in daily maximum precipitations in the warm half-year for most of the lowland part and a decrease for some stations representing the mountains []. The increase in intensive precipitation conditions, defined as the maximum annual precipitation totals, was also observed for the Upper Vistula basin, where the rate of changes reached as much as 3–10 mm per decade []. The positive tendency for the frequency of intensive precipitations also dominated in the Czech Republic in 1962–2012 [].
In the case of dry days, in spite of a positive tendency in almost the entire region, the changes in their frequency were statistically insignificant, which was in accordance to the results obtained for most of Poland in the warm half-year [] and in the spring–summer seasons []. The research carried out for the northern regions of Germany and Poland did not show a homogenous direction of the changes in the annual frequency of R < 1 []. In the Czech Republic, a decline in the number of days with precipitations in 1961–2019 was observed, especially in the April–June period [].
The analysis of the relationship between precipitation conditions and the atmospheric circulation showed that statistically significant correlation was noticed between precipitation indices and the frequency of SW-C and SE-C types. In the regions located at higher altitudes, a strong correlation was noticed for NE-C as a result of the orographic effect. This was also confirmed by a high value of R95p in the mountains and mountain foreland for this type. A similar situation was observed for the entire Sudetes Mountains [,] and in the Carpathian region, where such a circulation type was responsible for the highest daily totals [,,]. An important role in the development of extreme precipitation development was also indicated for the mountainous regions of Saxony []. The dominance of the cyclonic circulation was also found in the Czech Republic, where the cyclonic types (according to ČHMI classification) were responsible for at least 90% of precipitation totals in particular seasons []. Simultaneously, a negative relationship was found for NE-A in the PSBR. This type is characterized by a relatively high intensity of heat stress conditions [], which along with the low precipitation totals, can contribute to drought occurrence. It should also be emphasized that the correlation between the atmospheric circulation and hydrometeorological conditions in the warm half-year in this part of Europe seems to be lower than for the winter months [].
Most of the precipitation totals and intensive precipitations events were noticed for SW-A and SW-C types. In the case of RR10, the SW-C circulation was predominant, similar to the results carried out for short-term intensive precipitations in Lublin (East Poland) in the May–September period []. The importance of the SW circulation in terms of daily precipitation totals and heavy precipitations was also found in the analysis carried out for Kraków [] and Saxony []. Regarding dry days, they were usually reported during the NE-A, NE-A and SW-A circulation. About 80–84% of all of the anticyclonic days were characterized by dry conditions. Such a major advantage in favor of the anticyclonic circulation, in terms of the influence on the number of dry days, was also found for the summer season in Kraków, where precipitations (defined basing on the threshold of 0.1 mm) occurred on 29% of days with such a type of circulation []. A similar situation was observed in the Czech Republic, where the probability of precipitation occurrence (≥1 mm) under the anticyclonic weather in 1961–2020 was equal to 6–7% [].
The most significant changes for the considered indices were noticed for the SW-A type. They mainly were the consequence of the positive tendency of SW-A circulation occurrence, which was also indicated for the previous periods for Saxony []. The positive tendency for the frequency of anticyclonic circulation was also observed in the Czech Republic []. Nevertheless, statistically significant trends for SW-A in the PSBR were also noticed for some stations for the percentage of days with RR10 in the total number of days. The positive tendency of R < 1 seems to be the most crucial aspect in this case, as the decreasing number of rainy days and a rising tendency of heat stress conditions can increase the risk of droughts. The rising tendency of this phenomenon was already noticed for the growing season in Saxony and the Polish part of the region [,,]. In addition, climate projections indicate that the PSBR can experience serious limitations in water resources in the following decades of the century [,]. On the other hand, a noticeable decline in precipitation totals and intensive precipitations for the northern circulation, especially in the mountains, may suggest that this zone can be less vulnerable to extreme precipitation events in the future if such a trend continues. However, it should be emphasized that the results of the relationship between the atmospheric circulation and precipitations can differ depending on the adopted circulation classification [,].
5. Conclusions
The presented results indicated that the considered region is characterized by a significant variability in terms of precipitation conditions, depending on the atmospheric circulation. Based on the outcomes discussed above, the following conclusions can be formulated:
- Precipitations in the region can significantly vary in a relatively small area. This concerns both current precipitation conditions and their multiannual changes depending on the circulation types.
- Considering the fact that most of the observed trends were statistically insignificant, it is hard to precisely predict the direction of further changes of precipitations in the region.
- The significant increase in the magnitude and frequency of intensive precipitations for some stations in the lowlands, even for the anticyclonic circulation, indicates that these regions can be additionally affected by heavy precipitations in the future. This may result in the intensification of urban flood occurrence, due to the fact that most of urban areas in the region are located at the lower elevations.
- The negative trends for the precipitation totals and strong precipitations for the northern circulation, especially in the higher hypsometric zones, can indicate that these areas (where the orographic effect plays an important role) can become less exposed to the heavy rainfall episodes. The decline in precipitation totals can potentially disturb the ecological balance in the biologically sensitive region of the Karkonoski National Park in the summits of the Giant Mountains.
- The positive tendency of the SW-A type contributes to the rising number of dry days. Considering also the rising tendency of heat stress conditions, such trends can consequently intensify drought occurrence, cause problems with hydropower generation and affect groundwater resources in the PSBR.
- Taking into account the relatively high dependence of the precipitation conditions on the selected types of atmospheric circulation, further and more detailed research in this field is recommended. This also concerns the studies related to the impact of precipitation and circulation conditions on flood problems, especially flash flood occurrence, which has become one of the most important problems over the last years. Such research can be also linked to the estimation of drought conditions, including detailed analysis on meteorological and hydrological drought, their impact on social–economic and environmental sectors, and the dependence on circulation issues.
Funding
This research received no external funding.
Institutional Review Board Statement
Not applicable.
Informed Consent Statement
Not applicable.
Data Availability Statement
Not applicable.
Conflicts of Interest
The author declares no conflict of interest.
References
- IPCC. AR5 Synthesis Report: Climate Change 2014. Contribution of Working Groups I, II and III to the Fifth Assessment Report of the Intergovernmental Panel on Climate Change; IPCC: Geneva, Switzerland, 2014; p. 151. Available online: https://archive.ipcc.ch/report/ar5/syr/ (accessed on 6 December 2021).
- Rajczak, J.; Schär, C. Projections of Future Precipitation Extremes Over Europe: A Multimodel Assessment of Climate Simulations. J. Geophys. Res. Atmos. 2017, 122, 10773–10800. [Google Scholar] [CrossRef]
- Hänsel, S. Changes in the Characteristics of Dry and Wet Periods in Europe (1851–2015). Atmosphere 2020, 11, 1080. [Google Scholar] [CrossRef]
- Ruo, R.; Li, L.; Xu, C.-Y.; Chen, J.; Guo, S. Extreme Precipitation Changes in Europe from the Last Millennium to the End of the Twenty-First Century. J. Clim. 2020, 34, 567–588. [Google Scholar] [CrossRef]
- Meier, R.; Schwaab, J.; Seneviratne, S.I.; Sprenger, M.; Lewis, E.; Davin, E.L. Empirical estimate of forestation-induced precipitation changes in Europe. Nat. Geosci. 2021, 14, 473–478. [Google Scholar] [CrossRef]
- Pal, J.S.; Giorgi, F.; Bi, X. Consistency of recent European summer precipitation trends and extremes with future regional climate projections. Geophys. Res. Lett. 2004, 31, L13202. [Google Scholar] [CrossRef]
- Halmova, D.; Pekarova, P.; Olbrimek, J.; Miklanek, P.; Pekar, J. Precipitation Regime and Temporal Changes in the Central Danubian Lowland Region. Adv. Meteorol. 2015, 2015, 715830. [Google Scholar] [CrossRef]
- Hoy, A.; Feske, N.; Štepánek, P.; Skalák, P.; Schmitt, A.; Schneider, P. Climatic Changes and Their Relation to Weather Types in a Transboundary Mountainous Region in Central Europe. Sustainability 2018, 10, 2049. [Google Scholar] [CrossRef]
- Hofstätter, M.; Lexer, A.; Homann, M.; Blöschl, G. Large-scale heavy precipitation over central Europe and the role of atmospheric cyclone track types. Int. J. Climatol. 2018, 38, 497–517. [Google Scholar] [CrossRef]
- Ionita, M.; Nagavciuc, V.; Kumar, R.; Rakovec, O. On the curious case of the recent decade, mid-spring precipitation deficit in central Europe. NPJ Clim. Atmos. Sci. 2020, 3, 49. [Google Scholar] [CrossRef]
- Zeder, J.; Fischer, E.M. Observed extreme precipitation trends and scaling in Central Europe. Weather Clim. Extrem. 2020, 29, 100266. [Google Scholar] [CrossRef]
- Moravec, V.; Markonis, Y.; Rakovec, O.; Svoboda, M.; Trnka, M.; Kumar, R.; Hanel, M. Europe under multi-year droughts: How severe was the 2014–2018 drought period? Environ. Res. Lett. 2021, 16, 034062. [Google Scholar] [CrossRef]
- Kundzewicz, Z.W.; Jania, J.A. Extreme Hydro-meteorological Events and their Impacts. From the Global down to the Regional Scale. Geogr. Pol. 2007, 75, 9–24. [Google Scholar]
- European Commission. Regions 2020: The Climate Change Challenge for European Regions. European Commission, Directorate-General Regional Policy, Policy Development, Conception, forward Studies, Impact Assessment, 2009, Brussels, Belgium. Available online: https://climate-adapt.eea.europa.eu/metadata/publications/regions-2020-the-climate-challenge-for-european-regions (accessed on 6 December 2021).
- Franke, J.; Goldberg, V.; Freydank, E.; Eichelmann, U. Statistical analysis of regional climate trends in Saxony, Germany. Clim. Res. 2004, 27, 145–150. [Google Scholar] [CrossRef]
- Dankers, R.; Hiederer, R. Extreme Temperatures and Precipitation in Europe: Analysis of a High-Resolution Climate Change Scenario; JRC Scientific and Technical Reports; European Comission, Institute for Environment and Sustainability: Luxembourg, 2008; p. 82. [Google Scholar]
- Hansel, S.; Matschullat, J. Precipitation variability and changes in Saxony between 1901 and 2012. In Environmental Changes and Adaptation Strategies, Proceedings of the International Scientific Conference, Skalica, Slovakia, 9–11 September 2013; Šiška, B., Nejedlík, P., Hájková, L., Kožnarová, V., Eds.; Research Gate: Berlin, Germany, 2013. [Google Scholar]
- Anders, I.; Stagl, J.; Auer, I.; Pavlik, D. Climate Change in Central and Eastern Europe. In Managing Protected Areas in Central and Eastern Europe Under Climate Change; Advances in Global Change Research; Rannov, S., Neubert, M., Eds.; Springer: Dordrecht, The Netherlands, 2014; Volume 58, pp. 17–30. [Google Scholar] [CrossRef]
- Nilsen, I.B.; Fleig, A.K.; Tallaksen, M.; Hisdal, H. Recent trends in monthly temperature and precipitation patterns in Europe. In Hydrology in a Changing World: Environmental and Human Dimensions, Proceedings of FRIEND-Water, Montpellier, France, 7–10 October 2014; Ben Ammar, S., Taupin, J.D., Zouari, K., Eds.; IAHS Publication: Wallingford, UK, 2014; pp. 132–137. [Google Scholar]
- Jaagus, J.; Aasa, A.; Aniskevich, S.; Boincean, B.; Bojariu, R.; Briede, A.; Danilovich, I.; Castro, F.D.; Dumitrescu, A.; Labuda, M.; et al. Long-term changes in drought indices in eastern and central Europe. Int. J. Climatol. 2022, 42, 225–249. [Google Scholar] [CrossRef]
- Zebisch, M.; Grothmann, T.; Schröter, D.; Hasse, C.; Fritsch, U.; Cramer, W. Climate Change in Germany—Vulnerability and Adaptation of climate sensitive Sectors. Umweltbundesamt 2005, 2005, 44–56. [Google Scholar]
- Marosz, M.; Wójcik, R.; Biernacik, D.; Jakusik, E.; Pilarski, M.; Owczarek, M.; Miętus, M. Zmienność klimatu Polski od połowy XX wieku. Rezultaty projektu Klimat (Poland’s climate variability 1951–2008. KLIMAT project’s results). Pr. I Studia Geogr. 2011, 47, 51–66. [Google Scholar]
- DWD. Nationaler Klimareport. Klima—Gestern, Heute und in der Zukunft. Deutcher Wetterdienst. 2020. Available online: https://www.dwd.de/DE/leistungen/nationalerklimareport/download_report_auflage-4.html (accessed on 7 December 2021).
- Ziernicka-Wojtaszek, A.; Kopcińska, J. Variation in Atmospheric Precipitation in Poland in the Years 2001–2018. Atmosphere 2020, 11, 794. [Google Scholar] [CrossRef]
- Łupikasza, E.; Małarzewski, Ł. Precipitation Change. In Climate Change in Poland; Falarz, M., Ed.; Springer: Cham, Switzerland, 2021; pp. 349–373. [Google Scholar] [CrossRef]
- Hänsel, S.; Matschullat, J. Monthly trends of daily heavy precipitation indicators from lowland to mountainous regions in Saxony, Germany. In Proceedings of the Sustainable Development and Bioclimate, The High Tatras—Stará Lesná Congress Centre of the SAS Academia, Stará Lesna, Slovakia, 5–8 October 2009; Geophysical Institute of the SAS: Bratislava, Slovakia, 2009. [Google Scholar]
- Łupikasza, E.; Hänsel, S.; Matschullat, J. Regional and seasonal variability of extreme precipitation trends in southern Poland and central-eastern Germany 1951–2006. Int. J. Climatol. 2011, 31, 2249–2271. [Google Scholar] [CrossRef]
- Schwarzak, S.; Hänsel, S.; Matschullat, J. Projected changes in extreme precipitation characteristics for Central Eastern Germany (21st century, model-based analysis). Int. J. Climatol. 2015, 35, 2724–2734. [Google Scholar] [CrossRef]
- Somorowska, U. Changes in Drought Conditions in Poland over the Past 60 Years Evaluated by the Standardized Precipitation-Evapotranspiration Index. Acta Geophys. 2016, 64, 2530–2549. [Google Scholar] [CrossRef]
- Szwed, M. Variability of precipitation in Poland under climate change. Theor. Appl. Climatol. 2019, 135, 1003–1015. [Google Scholar] [CrossRef]
- Hänsel, S.; Ustrnul, Z.; Łupikasza, E.; Skalak, P. Assessing seasonal drought variations and trends over Central Europe. Adv. Water Resour. 2019, 127, 53–75. [Google Scholar] [CrossRef]
- Umweltbundesamt. Monitoringbericht Zur Deutschen Anpassungsstrategiean Den Klimawandel (Monitoring Report on the German Adaptation Strategy to Climate Change); Bericht der Interministeriellen Arbeitsgruppe Anpassungsstrategie der Bundesregierung; Umweltbundesamt: Dessau, Germany, 2019; p. 276. [Google Scholar]
- Pińskwar, I.; Choryński, A.; Graczyk, D.; Kundzewicz, Z.W. Observed changes in extreme precipitation in Poland: 1991–2015 versus 1961–1990. Theor. Appl. Climatol. 2019, 135, 773–787. [Google Scholar] [CrossRef]
- Deumlich, D.; Gericke, A. Frequency Trend Analysis of Heavy Rainfall Days for Germany. Water 2020, 12, 1950. [Google Scholar] [CrossRef]
- Pińskwar, I.; Choryński, A. Projections of Precipitation Changes in Poland. In Climate Change in Poland; Falarz, M., Ed.; Springer: Cham, Switzerland, 2021; pp. 529–544. [Google Scholar] [CrossRef]
- Brázdil, R.; Zahradníček, P.; Pišoft, P.; Štěpánek, P.; Bělínová, M.; Dobrovolný, P. Temperature and precipitation fluctuations in the Czech Republic during the period of instrumental measurements. Theor. Appl. Climatol. 2012, 110, 17–34. [Google Scholar] [CrossRef]
- Sipek, V. The influence of large-scale climatic patterns on precipitation, temperature, and discharge in Czech river basins. J. Hydrol. Hydromech. 2013, 61, 278–285. [Google Scholar] [CrossRef][Green Version]
- Rulfová, Z.; Beranová, R.; Kyselý, J. Climate change scenarios of convective and large-scale precipitation in the Czech Republic based on EURO-CORDEX data. Int. J. Climatol. 2016, 37, 2451–2465. [Google Scholar] [CrossRef]
- Beranová, R.; Kyselý, J. Trends of precipitation characteristics in the Czech Republic over 1961–2012, their spatial patterns and links to temperature and the North Atlantic Oscillation. Int. J. Climatol. 2018, 132, 515–527. [Google Scholar] [CrossRef]
- Brázdil, R.; Zahradníček, P.; Dobrovolný, P.; Štěpánek, P.; Trnka, M. Observed changes in precipitation during recent warming: The Czech Republic, 1961–2019. Int. J. Climatol. 2021, 41, 3881–3902. [Google Scholar] [CrossRef]
- Brázdil, R.; Zahradnícek, P.; Dobrovolný, P.; Rehor, J.; Trnka, M.; Lhotka, O.; Štepánek, P. Circulation and Climate Variability in the Czech Republic between 1961 and 2020: A Comparison of Changes for Two “Normal” Periods. Atmosphere 2022, 13, 137. [Google Scholar] [CrossRef]
- Řehoř, J.; Brázdil, R.; Lhotka, O.; Trnka, M.; Balek, J.; Štepánek, P.; Zahradníček, P. Precipitation in the Czech Republic in Light of Subjective and Objective Classifications of Circulation Types. Atmosphere 2021, 12, 1536. [Google Scholar] [CrossRef]
- Rulfová, Z.; Beranová, R.; Plavcová, E. Compound Temperature and Precipitation Events in the Czech Republic: Differences of Stratiform versus Convective Precipitation in Station and Reanalysis Data. Atmosphere 2021, 12, 87. [Google Scholar] [CrossRef]
- Lünich, K.; Pluntke, T.; Prasser, M. (Eds.) Lausitzer Neiße—Charakteristik und Klima der Region (Lusatian Neisse—Characteristics and Climate of the Region); Sächsisches Landesamt für Umwelt, Landwirtschaft und Geologie: Dresden, Germany, 2014; p. 75.
- Pluntke, T.; Schwarzak, S.; Kuhn, K.; Lünich, K.; Adynkiewicz-Piragas, M.; Otop, I.; Miszuk, B. Climate analysis as a basis for a sustainable water management at the Lusatian Neisse. Meteorol. Hydrol. Water Manag. 2016, 4, 3–11. [Google Scholar] [CrossRef]
- Mehler, S.; Völlings, A.; Flügel, I.; Szymanowski, M.; Błaś, M.; Sobik, M.; Migała, K.; Werner, M.; Kryza, M.; Miszuk, B.; et al. Das Klima im Polnisch-Sächsischen Grenzraum (Climate of the Polish-Saxon Border Area); Sächsisches Landesamt für Umwelt, Landwirtschaft und Geologie: Dresden, Germany, 2014; p. 80.
- Miszuk, B.; Otop, I.; Strońska, M.; Schwarzak, S.; Surke, M. Tourism-climate conditions and their future development in the Polish-Saxon border area. Meteorol. Z. 2016, 25, 421–434. [Google Scholar] [CrossRef]
- Miszuk, B. Multi-Annual Changes in Heat Stress Occurrence and Its Circulation Conditions in the Polish–Saxon Border Region. Atmosphere 2021, 12, 163. [Google Scholar] [CrossRef]
- Miszuk, B.; Adynkiewicz-Piragas, M.; Kolanek, A.; Lejcuś, I.; Zdralewicz, I.; Strońska, M. Climate changes and their impact on selected sectors of the Polish-Saxon border region under RCP8.5 scenario conditions. Meteorol. Z. 2022, 31, 53–68. [Google Scholar] [CrossRef]
- Adynkiewicz-Piragas, M.; Miszuk, B. Risk analysis related to impact of climate change on water resources and hydropower production in the Lusatian Neisse River basin. Sustainability 2020, 12, 5060. [Google Scholar] [CrossRef]
- Kostecki, S.; Banasiak, R. The Catastrophe of the Niedów Dam—The Causes of the Dam’s Breach, Its Development, and Consequences. Water 2020, 13, 3254. [Google Scholar] [CrossRef]
- Degirmendžic, J.; Kożuchowski, K.; Żmudzka, E. Changes of air temperature and precipitation in Poland in the period 1951–2000 and their relationship to atmospheric circulation. Int. J. Climatol. 2004, 24, 291–310. [Google Scholar] [CrossRef]
- Van Ulden, A.P.; van Oldenborgh, G.J. Large-scale atmospheric circulation biases and changes in global climate model simulations and their importance for climate change in Central Europe. Atmos. Chem. Phys. 2006, 6, 863–881. [Google Scholar] [CrossRef]
- Łupikasza, E. Relationships between occurrence of high precipitation and atmospheric circulation in Poland using different classifications of circulation types. Phys. Chem. Earth 2010, 35, 448–455. [Google Scholar] [CrossRef]
- Twardosz, R.; Łupikasza, E.; Niedźwiedź, T. The influence of atmospheric circulation on the type of precipitation. Theor. Appl. Climatol. 2011, 104, 233–250. [Google Scholar] [CrossRef]
- Twardosz, R.; Niedźwiedź, T.; Łupikasza, E. Temporal Variability in the Form and Type of Precipitation Kraków in Relation to Circulation Patterns; Jagiellonian University: Kraków, Poland, 2011; p. 177. [Google Scholar]
- Młyński, D.; Cebulska, M.; Wałęga, A. Trends, Variability, and Seasonality of Maximum Annual Daily Precipitation in the Upper Vistula Basin, Poland. Atmosphere 2018, 9, 313. [Google Scholar] [CrossRef]
- Trigo, R.M.; Osborn, T.J.; Corte-Real, J. The North Atlantic Oscillation influence on Europe: Climate impacts and associated physical mechanisms. Clim. Res. 2002, 20, 9–17. [Google Scholar] [CrossRef]
- Werner, P.C.; Garstengarbe, F.-W.; Wechsung, F. Großwetterlagen and precipitation trends in the Elbe river catchment. Meteorol. Z. 2008, 17, 61–66. [Google Scholar] [CrossRef]
- Niedźwiedź, T.; Twardosz, R.; Walanus, A. Long-term variability of precipitation series in east central Europe in relation to circulation patterns. Theor. Appl. Climatol. 2009, 98, 337–350. [Google Scholar] [CrossRef]
- Hoy, A.; Schucknecht, A.; Sepp, M.; Matschullat, J. Large-scale synoptic types and their impact on European precipitation. Theor. Appl. Climatol. 2014, 116, 19–35. [Google Scholar] [CrossRef]
- Nowosad, M.; Stach, A. Relation between extensive extreme precipitation in Poland and atmospheric circulation. Quaest. Geogr. 2014, 33, 115–129. [Google Scholar] [CrossRef]
- Bartoszek, K.; Skiba, D. Circulation types classification for hourly precipitation events in Lublin (East Poland). Open Geosci. 2016, 8, 214–230. [Google Scholar] [CrossRef]
- Cleary, D.M.; Wynn, J.G.; Ionita, M.; Forray, F.L.; Onac, B.P. Evidence of long-term NAO influence on East-Central Europe winter precipitation from aa guano-derived δ15 N record. Sci. Rep. 2017, 7, 14095. [Google Scholar] [CrossRef]
- Brieber, A.; Hoy, A. Statistical analysis of very high-resolution precipitation data and relation to atmospheric circulation in Central Germany. Adv. Sci. Res. 2019, 16, 69–73. [Google Scholar] [CrossRef]
- Wibig, J.; Piotrowski, P. Impact of the air temperature and atmospheric circulation on extreme precipitation in Poland. Int. J. Climatol. 2018, 38, 4533–4549. [Google Scholar] [CrossRef]
- Araźny, A.; Bartczak, A.; Maszewski, R.; Krzemiński, M. The influence of atmospheric circulation on the occurrence of dry and wet periods in Central Poland in 1954–2018. Theor. Appl. Climatol. 2021, 146, 1079–1095. [Google Scholar] [CrossRef]
- Alexandersson, H. A homogeneity test applied to precipitation data. Int. J. Climatol. 1986, 6, 661–675. [Google Scholar] [CrossRef]
- Schär, C.; Ban, N.; Fischer, E.M.; Rajczak, J.; Schmidli, J.; Frei, C.; Giorgi, F.; Thomas, R.K.; Kendon, E.J.; Tank, A.M.G.K.; et al. Percentile indices for assessing changes in heavy precipitation events. Clim. Chang. 2016, 137, 201–216. [Google Scholar] [CrossRef]
- Ojrzyńska, H. Cyrkulacyjne Uwarunkowania Przestrzennego Rozkładu Temperatury Powietrza w Terenie Zróżnicowanym Morfologicznie na Przykładzie Sudetów (Circulation Conditionings of Air Temperature Spatial Differentiation in Morphologically Diverse Area with the Use of an Example of the Western Sudeten); Rozprawy Naukowe Instytutu Geografii i Rozwoju Regionalnego Uniwersytetu Wrocławskiego: Wrocław, Poland, 2015; p. 228. [Google Scholar]
- Ojrzyńska, H.; Bilińska, D.; Werner, M.; Kryza, M.; Malkiewicz, M. The influence of atmospheric circulation conditions on Betula and Alnus pollen concentrations in Wrocław, Poland. Aerobiologia 2020, 36, 261–276. [Google Scholar] [CrossRef]
- Ojrzyńska, H. Calendar of Circulation Types for 1971–2018; Obtained directly from the Author; University of Wrocław: Wrocław, Poland, 2021; unpublished work. [Google Scholar]
- Bissolli, P.; Dittmann, E. The objective weather type classification of the German Weather Service and its possibilities of application to environmental and meteorological investigations. Meteorol. Z. 2001, 10, 253–260. [Google Scholar] [CrossRef]
- Kwiatkowski, J. Opady rzeczywiste w Sudetach (Actual precipitations in the Sudetes Mountains). Przegl. Geofiz. 1978, 23, 35–44. [Google Scholar]
- Błażejczyk, K. Sezonowa i wieloletnia zmienność niektórych elementów klimatu w Tatrach i Karkonoszach w latach 1951–2015 (Seasonal and multiannual variability of selected elements of climate in the Tatra and Karkonosze Mts over the 1951–2015 period). Przegl. Geogr. 2019, 91, 41–62. [Google Scholar] [CrossRef]
- Ilnicki, P.; Farat, R.; Górecki, K.; Lewandowski, P. Long-term air temperaturę and precipitation variability in the Warta River catchment area. J. Water Land Dev. 2015, 27, 3–13. [Google Scholar] [CrossRef]
- Melo, M.; Lapin, M.; Kapolková, H.; Pecho, J.; Kruzicová, A. Climate Trends in Slovak Part of the Carpathians. In The Carpathians: Integrating Nature and Society Towards Sustainability; Kozak, J., Ostapowicz, K., Bytnerowicz, A., Wyżga, B., Eds.; Springer: Berlin, Germany, 2013; pp. 131–150. [Google Scholar]
- Schaller, A.S.; Franke, J.; Bernhofer, C. Climate dynamics: Temporal development of the occurrence frequency of heavy precipitation in Saxony, Germany. Meteorol. Z. 2015, 29, 335–348. [Google Scholar] [CrossRef]
- Hattermann, F.F.; Kundzewicz, Z.W.; Huang, S.; Vetter, T.; Kron, W.; Burghoff, O.; Merz, B.; Bronstert, A.; Krysanova, V.; Gerstengarbe, F.-W.; et al. Flood RISK in holistic perspective—Observed changes in Germany. In Changes in Flood Risk in Europe; Special Publication No. 10; Kundzewicz, Z.W., Ed.; IAHS Press: Wallingford, UK, 2012; pp. 212–237. [Google Scholar]
- Bednorz, E.; Wrzesiński, D.; Tomczyk, A.M.; Jasik, D. Classification of Synoptic Conditions of Summer Floods in Polish Sudeten Mountains. Water 2019, 11, 1450. [Google Scholar] [CrossRef]
- Wypych, A.; Ustrnul, Z.; Czekierda, D.; Palarz, A.; Sulikowska, A. Extreme precipitation events in the Polish Carpathians and their synoptic determinants. Időjárás 2018, 22, 145–158. [Google Scholar] [CrossRef]
- Kunze, T.; Hellmuth, O.; Görner, C.; Bernhofer, C. Estimation of the Maximum Physically Possible Precipitation in Saxony Using a Mesoscale Atmospheric Mode; Leibniz Institute for Tropospheric Research, Technical University Dresden: Leipzig, Germany, 2008; p. 44. [Google Scholar]
Publisher’s Note: MDPI stays neutral with regard to jurisdictional claims in published maps and institutional affiliations. |
© 2022 by the author. Licensee MDPI, Basel, Switzerland. This article is an open access article distributed under the terms and conditions of the Creative Commons Attribution (CC BY) license (https://creativecommons.org/licenses/by/4.0/).