Identifying Crop and Orchard Growing Stages Using Conventional Temperature and Humidity Reports
Abstract
1. Introduction
- How does leaf emergence affect the annual course of air temperature and humidity in different plant canopies?
- Can temperature and humidity measurements made within the canopy help identify phenological state indicators so that we can apply our findings at sites that lack direct phenology observations?
- Are there changes in annual course of temperature and humidity that appear in the records of nearby weather stations related to the phenological dynamics of the surrounding vegetation?
2. Data Sets
2.1. Locations
2.2. Phenological Data
2.3. Micrometeorological Data
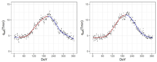
- The daily averaged saturation-specific humidity calculated using daily minimum temperature [qsat(Tmin)] is associated with afternoon and evening humidity of the previous day (Figure 6) assuming that air becomes saturated at the minimum temperature, which is approximately valid in humid and vegetated climates during the growing season. This is the same as saying that q is at saturation when the minimum temperature occurs, qsat(Tmin); moreover, (b) q (or dew point) does not change appreciably during the day. This follows the insights presented by [2,11]. This situation does indeed hold during much of the growing season.
- 2.
- The daily afternoon average relative humidity (R1 = q/qsat(Tmax)), calculated using average daily specific humidity (q) and maximum temperature (Tmax), identifies the minimum daily relative humidity. It is expected that the R1 annual signal reflects the influence of plant phenology and consequent changes in surface flux partitioning.
- 3.
- Relative humidity R2 (R2 = qsat(Tmin)/qsat(Tmax)) is calculated to verify the impact of plant development on the daily ratio of humidity “stored” in nocturnal/early morning RSL occupied by canopy (qsat(Tmin)) and humidity in the well-developed layer associated with Tmax (qsat(Tmax)). According to RS climatology, the first minimum of both R1 and R2 at DOY 92–98 corresponds with the start of an intensive growth in winter wheat (i.e., start of the full growing season in the area (second half of March) (Table 2 and Figure 8)).
- 4.
- Daily temperature (Td) and daily temperature range (DTR) seasonal variations have annual patterns that can be attributed to the annual variations of solar radiation, clear sky duration, cloudiness, albedo and snow cover (if appropriate) as major climate factors (see for example [16,17]) as well as plant phenology dynamics. When properly identified and addressed, differences and similarities among Td and DTR patterns allow a better understanding of the processes dominating daily air heating (“responsible” for DTR) and cooling “responsible” for daily temperature changes. The significance of DTR as a climatic index strongly affected by plant phenology is proven in the results of numerous studies [3,18]. At the RS climate station, for example, the start and the end of the growing season of dominant crops (approximately from April to October) can be clearly observed from DTR’s annual trend during the 1990–2020 climatological period (Figure 9, left).
3. Results
3.1. Seasonal Patterns of Air Temperature and Humidity
3.2. Impact of Vegetation on a Small-Scale Variation of Atmospheric Conditions
4. Discussion
4.1. Novelties and Limitations
4.2. Potential Applications and Plans
5. Conclusions
- The strongest signature of leaf emergence we found in the annual course of R1, R2 and DTRT includes the timing and magnitude of their extreme values and inflection points. We managed to relate the timing of R1min, R2min, DTRTmin, DTRTmax and the scale of DTRT “plateau” with fruit and crop phenological stages as follows:
- (a)
- R2min1 (from observations (we were unable to obtain the same signal after applying smoothening)): orchard—start of flowering; winter crop—spring start of growing season;
- (b)
- R1min1 and DTRT_IP1: orchard—full bloom; winter crop—full development;
- (c)
- DTRTmin, R1_IP2 and DTRT “plateau”: orchard and crop canopy—maximum LAI reached, phase of yield formation;
- (d)
- From the end of the DTRT “plateau” in orchard to R1min2 (from observations): orchard—trees complete the formation of buds for the next year and fruit formation; “going slowly” to dormancy; crop (sugar beet)—intensive leaf drying.
- We demonstrated how one can use daily temperature and humidity measurements within a plant canopy to identify phenological states. If only climate station measurements are available, the results obtained can be associated with the phenology dynamics of dominant plants.
- In the annual course of temperature- and humidity-related indices selected for this study and calculated using RS climate station measurements, the signatures of phenology dynamics of the surrounding plants can be clearly seen. Due to its high coverage, crops (winter and spring) dominate regional climates while orchards develop specific microclimates during the growing season.
Author Contributions
Funding
Institutional Review Board Statement
Informed Consent Statement
Data Availability Statement
Acknowledgments
Conflicts of Interest
References
- Moore, K.E.; Fitzjarrald, D.R.; Sakai, R.K.; Goulden, M.L.; Munger, J.W.; Wofsy, S.C. Seasonal Variation in Radiative and Turbulent Exchange at a Deciduous Forest in Central Massachusetts. J. Appl. Meteorol. Climatol. 1996, 35, 122–134. [Google Scholar] [CrossRef]
- Fitzjarrald, D.R.; Acevedo, O.C.; Moore, K.E. Climatic Consequences of Leaf Presence in the Eastern United States. J. Clim. 2001, 14, 598–614. [Google Scholar] [CrossRef]
- Schwartz, M.D. Examining the Spring Discontinuity in Daily Temperature Ranges. J. Clim. 1996, 9, 803–808. [Google Scholar] [CrossRef][Green Version]
- Collatz, G.J.; Bounoua, L.; Los, S.O.; Randall, D.A.; Fung, I.Y.; Sellers, P.J. A Mechanism for the Influence of Vegetation on the Response of the Diurnal Temperature Range to Changing Climate. Geophys. Res. Lett. 2000, 27, 3381–3384. [Google Scholar] [CrossRef]
- Firanj Sremac, A.; Lalic, B.; Cuxart, J.; Marcic, M. Maximum, Minimum, and Daily Air Temperature Range in Orchards: What Do Observations Reveal? Atmosphere 2021, 12, 1279. [Google Scholar] [CrossRef]
- Gavrilović, D. Statistical Yearbook of the Republic of Serbia; Statistical Service of Serbia: Belgrade, Serbia, 2020; pp. 205–234. [Google Scholar]
- Lalic, B.; Marcic, M.; Sremac, A.F.; Eitzinger, J.; Koci, I.; Petric, T.; Ljubojevic, M.; Jezerkic, B. Landscape Phenology Modelling and Decision Support in Serbia. In Landscape Modelling and Decision Support; Mirschel, W., Terleev, V.V., Wenkel, K.-O., Eds.; Innovations in Landscape Research; Springer International Publishing: Cham, Switzerland, 2020; pp. 567–593. [Google Scholar] [CrossRef]
- Meier, U. Growth Stages of Mono- and Dicotyledonous Plants: BBCH Monograph; Federal Research Centre for Cultivated Plants: Quedlinburg, Germany, 2018. [Google Scholar] [CrossRef]
- Dekking, F.M.; Kraaikamp, C.; Lopuhaä, H.P.; Meester, L.E. A Modern Introduction to Probability and Statistics; Springer Texts in Statistics; Springer: London, UK, 2005. [Google Scholar] [CrossRef]
- Simpson, G.L. Modelling Palaeoecological Time Series Using Generalised Additive Models. Front. Ecol. Evol. 2018, 6, 149. [Google Scholar] [CrossRef]
- Hayden, B.P. Ecosystem Feedbacks on Climate at the Landscape Scale. Phil. Trans. R. Soc. Lond. B 1998, 353, 5–18. [Google Scholar] [CrossRef]
- Fitzjarrald, D.R.; Lala, G.G. Hudson Valley Fog Environments. J. Appl. Meteorol. Climatol. 1989, 28, 1303–1328. [Google Scholar] [CrossRef]
- Hubbard, K.G.; Mahmood, R.; Carlson, C. Estimating Daily Dew Point Temperature for the Northern Great Plains Using Maximum and Minimum Temperature. Agron. J. 2003, 95, 323–328. [Google Scholar] [CrossRef]
- Acevedo, O.C.; Fitzjarrald, D.R. The Early Evening Surface-Layer Transition: Temporal and Spatial Variability. J. Atmos. Sci. 2001, 58, 2650–2667. [Google Scholar] [CrossRef]
- Jaćimović, G. Optimization of Wheat Mineral Nutrition Depending on the Weather Conditions of the Year. Ph.D. Thesis, Faculty of Agriculture, University of Novi Sad, Novi Sad, Serbia, 2012. [Google Scholar]
- Ruschy, D.L.; Baker, D.G.; Skaggs, R.H. Seasonal Variation in Daily Temperature Ranges. J. Clim. 1991, 4, 1211–1216. [Google Scholar] [CrossRef][Green Version]
- Dai, A.; Trenberth, K.E.; Karl, T.R. Effects of Clouds, Soil Moisture, Precipitation, and Water Vapor on Diurnal Temperature Range. J. Clim. 1999, 12, 2451–2473. [Google Scholar] [CrossRef]
- Schwartz, M.D.; Ault, T.R.; Betancourt, J.L. Spring Onset Variations and Trends in the Continental United States: Past and Regional Assessment Using Temperature-Based Indices: Spring Onset Variations and trends in the Continental United States. Int. J. Clim. 2013, 33, 2917–2922. [Google Scholar] [CrossRef]
- Durre, I.; Wallace, J.M. The Warm Season Dip in Diurnal Temperature Range over the Eastern United States. J. Clim. 2001, 14, 354–360. [Google Scholar] [CrossRef]
- Zani, D.; Crowther, T.W.; Mo, L.; Renner, S.S.; Zohner, C.M. Increased Growing-Season Productivity Drives Earlier Autumn Leaf Senescence in Temperate Trees. Science 2020, 370, 1066–1071. [Google Scholar] [CrossRef] [PubMed]
- de Souza, P.J.O.P.; Rodrigues, J.C.; de Sousa, A.M.L.; de Souza, E.B. Diurnal Energy Balance in a Mango Orchard in the Northeast of Pará, Brazil. Revista Brasileira de Meteorologia 2018, 33, 537–546. [Google Scholar] [CrossRef]
- Liu, H.; Zhang, Y.; Liu, S.; Jiang, H.; Sheng, L.; Williams, L.Q. Eddy covariance measurements of surface energy budget and evaporation in a cool season over southern open water in Mississippi. J. Geophys. Res. 2009, 114, D04110. [Google Scholar] [CrossRef]
- Panwar, A.; Renner, M.; Kleidon, A. Imprints of Evaporative Conditions and Vegetation Type in Diurnal Temperature Variations. Hydrol. Earth Syst. Sci. 2020, 24, 4923–4942. [Google Scholar] [CrossRef]
- Shelford, V.E. Phenology and One of Its Modern Descendants. Q. Rev. Biol. 1930, 5, 207–216. [Google Scholar] [CrossRef]
- Di Paola, A.; Chiriacò, M.V.; Di Paola, F.; Nieddu, G. A Phenological Model for Olive (Olea Europaea L. var Europaea) Growing in Italy. Plants 2021, 10, 1115. [Google Scholar] [CrossRef]
- Piña-Rey, A.; Ribeiro, H.; Fernández-González, M.; Abreu, I.; Rodríguez-Rajo, F.J. Phenological Model to Predict Budbreak and Flowering Dates of Four Vitis Vinifera L. Cultivars Cultivated in DO. Ribeiro (North-West Spain). Plants 2021, 10, 502. [Google Scholar] [CrossRef] [PubMed]
- Schröder, W.; Schmidt, G.; Schönrock, S. Modelling and Mapping of Plant Phenological Stages as Bio-Meteorological Indicators for Climate Change. Environ. Sci. Eur. 2014, 26, 5. [Google Scholar] [CrossRef][Green Version]
- Piao, S.; Liu, Q.; Chen, A.; Janssens, I.A.; Fu, Y.; Dai, J.; Liu, L.; Lian, X.; Shen, M.; Zhu, X. Plant Phenology and Global Climate Change: Current Progresses and Challenges. Glob. Chang. Biol. 2019, 25, 1922–1940. [Google Scholar] [CrossRef]
- Vitasse, Y.; Baumgarten, F.; Zohner, C.M.; Rutishauser, T.; Pietragalla, B.; Gehrig, R.; Dai, J.; Wang, H.; Aono, Y.; Sparks, T.H. The Great Acceleration of Plant Phenological Shifts. Nat. Clim. Change 2022, 12, 300–302. [Google Scholar] [CrossRef]
- Geng, X.; Zhang, Y.; Fu, Y.H.; Hao, F.; Janssens, I.A.; Peñuelas, J.; Piao, S.; Tang, J.; Wu, Z.; Zhang, J.; et al. Contrasting Phenology Responses to Climate Warming across the Northern Extra-Tropics. Fundam. Res. 2022, S2667325822000401. [Google Scholar] [CrossRef]
- Xie, Z.; Zhu, W.; He, B.; Qiao, K.; Zhan, P.; Huang, X. A Background-Free Phenology Index for Improved Monitoring of Vegetation Phenology. Agric. For. Meteorol. 2022, 315, 108826. [Google Scholar] [CrossRef]
- Zhou, Y. Understanding Urban Plant Phenology for Sustainable Cities and Planet. Nat. Clim. Chang. 2022, 12, 302–304. [Google Scholar] [CrossRef]
















| Region/Location | Lat/Long/Alt | Vegetation | Operating Time | Surroundings | Average Tree Height/Scale (m) | Orientation | Comment |
|---|---|---|---|---|---|---|---|
| Senta/Kanjiža (SA/KA) | 46.05/20.07/74 | Apple | 24 February 2011 31 December 2021 | Orchards (pear, plum), crops | 2.5–3 m/(2 m × 3 m) | NNW-SEE | Tisa River, 3 km |
| Subotica/Bački Vinogradi (SU/BV) | 46.11/19.88/90.5 | Peach | 15 March 2011 31 December 2021 | Orchards, houses | 3–3.5 m/(2 m × 4 m) | WSW-ENE | |
| Novi Sad/Čenej (NS/CE) | 45.40/19.82/85 | Apple | 9 February 2013 19 November 2018 | Orchards, houses | 3 m/(1.8 m × 4 m) | NW-SE | |
| Sombor/Riđica (SO/RI) | 45.99/19.09/144 | Apple | 27 June 2011 31 December 2021 | Crops, orchard (cherry) | 2 m/(2.5 m × 4 m) | NW-SE | Kiđoš River, 200 m |
| Sombor/Kupusina (SO/KU) | 45.74/19.04/96 | Apple | 14 April 2014 2 March 2020 | Crops, orchards | 3 m/(3.5 m × 5 m) | ||
| Vršac/Titovo (VR/TI) | 44.89/21.42/81 | Apple | 2013-shifted 23 March 2015 31 December 2021 | Orchards | 2.5 m/- | E-W | Nera River, 1.5 km |
| Vršac/Vršački Vinogradi (VR/VV) | 45.10/21.32/128 | Vine grape | 24 March 2011 7 December 2021 | Crops, orchards, vineyards | 1.6 m/- | NW-SE | Vršački Mountain breg |
| Novi Sad/Temerin (NS/TE) | 45.44/19.92/77 | Winter wheat/sugar beet | 20 November 2013 29 November 2021 | Crops | Plant density: 650 plants/m²/85,000 plants/ha | ||
| Vrbas/Bečej (VB/BE) | 45.69/19.83/88 | Winter wheat | 20 October 2013 4 May 2019 | Crops | 650 plants/m² | ||
| Novi Sad/Despotovo (NS/DE) | 45.45/19.51/77 | Onion/Spring onion | 7 April 2016 30 November 2021 | Crops | 850,000 plants/ha/900,000 plants /ha | ||
| Novi Sad/Gložan (NS/GL) | 45.29/19.5/78 | Winter wheat/sugar beet | 27 May 2014 19 November 2018 | Crops | 650 plants/m²/85,000 plants/ha | ||
| Sombor/Toplana (SO/TO) | 45.75/19.14/82 | Rapeseed oil | 10 January 2016 12 July 2021 | Crops | 30–40 plants/m² | ||
| Kikinda/Banatska Topola (KI/BT) | 45.69/20.49/73 | Winter wheat/sugar beet | 19 March 2013 1 June 2020 | Crops | 650 plants/m²/85,000 plants/ha | ||
| Bačka Topola/Stara Moravica (BP/SM) | 45.85/19.47/107 | Winter wheat | 18 December 2013 2 June 2021 | Crops | 650 plants/m² |
| Variable | Extreme 1 | Extreme 2 | IP1 | IP2 | ||
|---|---|---|---|---|---|---|
| DOY | Value | DOY | Value | DOY | DOY | |
| qsat(Tmin) | 204/216 | 11.7/12.4 | - | - | 133 | 321 |
| R1 | 97/93 | 0.45/0.40 | 225/244 | 0.45/0.42 | 121 | 309 |
| R2 | 98/92 | 0.47/0.43 | 216/236 | 0.46/0.43 | 120 | 235 |
| DTRT | 56/51 | 1.31/1.61 | 187/165 | 0.56/0.50 | 106 | 288 |
| Variable | Extreme 1 | Extreme 2 | IP1 | IP2 | IP3 | |||||||
|---|---|---|---|---|---|---|---|---|---|---|---|---|
| DOY | Value | BBCH | DOY | Value | BBCH | DOY | BBCH | DOY | BBCH | DOY | - | |
| NS/CE—Apple | ||||||||||||
| qsat(Tmin) | 204 | 11.17 | 70–75 | 114 | 65–70 | 260 | 85–90 | 313 | 90–95 | |||
| R1 | 115/104–117 | 0.45/0.36 | 55–65 | 209/242–262 | 0.45/0.36–0.38 | 80–90 | 138 | 70–75 | 184 | 75–80 | 316 | 90–95 |
| R2 | 116/90 | 0.43/0.35 | 10–50 | 207/242–262 | 0.38/0.28 | 80–90 | 122 | 70–75 | 178/227 | 75–80 | 252 | 80–85 |
| DTRT | 51/49 | 1.32/1.9 | 1–3 | 185/164 | 0.68/0.56 | 75–85 | 107 | 55–65 | 262 | 85–90 | 316 | 90–95 |
| NS/TE—winter wheat (marked with 1)/sugar beet (marked with 2) | ||||||||||||
| qsat(Tmin) | 200/189 | 11.6/12.2 | 40–50 2 | 137 | 50–75 1 | 263 | - | |||||
| R1 | 104/112 | 0.42/0.31 | 40–50 1 | 246/242 | 0.47/0.38 | 40–50 2 | 119 | 25–40 1 | 216 | 40–50 2 | ||
| R2 | 97/80 | 0.43/0.33 | 32 1 | 234/242 | 0.42/0.32 | 40–50 2 | 118 | 25–40 1 | 189 | 40–50 2 | ||
| DTRT | 51/51 | 1.41/1.70 | 25 1 | 182/179 | 0.57/0.59 | 40–50 2 | 110 | 25–40 1 | 279 | - | ||
| NS/CE | NS/TE | RS 2013–2018 | 2013–2020 | 1990–2020 | |
|---|---|---|---|---|---|
| (DTRT)min + 1σ | 0.62 | 0.52 | 0.48 | 0.53 | 0.52 |
| (DTRT)min − 1σ | 0.75 | 0.64 | 0.59 | 0.59 | 0.59 |
| DOY(DTRT)min − 1σ) | 168 | 162 | 154 | 156 | 155 |
| DOY(DTRT)min + 1σ) | 229 | 226 | 225 | 225 | 228 |
| CVobs (%) | 17 | 16 | 18 | 14 | 8 |
| Variable | Extreme 1 | Extreme 2 | IP1 | IP2 | ||
|---|---|---|---|---|---|---|
| DOY | Value | DOY | Value | DOY | DOY | |
| R1 | 93/90 | 0.35/0.37 | 242/242 | 0.36/0.38 | 131 | 238 |
| R2 | 80/81 | 0.35/0.39 | 242/242 | 0.34/0.36 | 130 | 231 |
| DTRT | 46/43 | 1.21/1.66 | 179/168 | 0.53/0.42 | 109 | 285 |
| R1 | 97/93 | 0.45/0.40 | 225/244 | 0.45/0.42 | 121 | 189 |
| R2 | 98/92 | 0.48/0.43 | 216/236 | 0.46/0.43 | 120 | 235 |
| DTRT | 56/51 | 1.31/1.61 | 188/165 | 0.53/0.50 | 107 | 287 |
| Location | Plant | R1min1 | R1min2 | DTRTmax | DTRTmin | DTRTIP1 | DTRTIP2 | DOY|DTRT=1 | DOY|DTRT=1 |
|---|---|---|---|---|---|---|---|---|---|
| BT/SM | Crop/wheat | 91/0.40 | 262/0.40 | 61/1.50 | 194/0.60 | 110 | 270 | 118/117 | 282/273 |
| SO/TO | Crop/oilseed rape | 44/0.37 | 181/0.24 | 50/1.52 | 188/0.54 | 104 | 290 | 110/115 | 290/287 |
| NS/DE | Crop/potato, onion | 91/0.42 | 249/0.44 | 52/1.53 | 186/0.57 | 105 | 265 | 112/115 | 285/288 |
| VB/SR | Crop/wheat | 116/0.37 | 256/0.35 | 58/1.43 | 184/0.62 | 110 | 268 | 116/118 | 292/285 |
| KI/BP | Crop/wheat, sugar beet | 100/0.44 | 253/0.39 | 74/1.46 | 200/0.62 | 111 | 205 | 118/114 | 291/281 |
| NS/TE | Crop/wheat, sugar beet | 104/0.44 | 174/0.51 | 50/1.41 | 182/0.57 | 108 | 279 | 109/115 | 292/293 |
| Average | Crop | 91 | 229 | 58 | 189 | 108 | 263 | 114 | 289 |
| NS/CE | Orchard/apple | 115/0.46 | 209/0.45 | 51/1.32 | 185/0.68 | 107 | 262 | 110/113 | 273/267 |
| SU/BV | Orchard/peach | 179/0.47 | 237/0.44 | 53/1.40 | 193/0.72 | 108 | 264 | 118/129 | 274/267 |
| SO/RI | Orchard/apple | 95/0.49 | 209/0.50 | 55/1.62 | 196/0.71 | 108 | 266 | 126/131 | 267/264 |
| KA/SE | Orchard/apple | 94/0.43 | 213/0.44 | 60/1.50 | 198/0.68 | 110 | 268 | 124/130 | 276/270 |
| SO/AP | Orchard/apple | 93/0.44 | 181/0.40 | 70/1.41 | 191/0.67 | 111 | 202 | 119/130 | 269/267 |
| VR/BC | Orchard/apple | 100/0.43 | 202/0.39 | 60/1.45 | 199/0.74 | 115 | 262 | 122/128 | 272/268 |
| VR/VV | Vineyard | 111/0.49 | 215/0.44 | 49/1.05 | 198/0.53 | 110 | 301 | 78/100 | -/327 |
| Average | Overall | 103 | 219 | 57 | 192 | 109 | 262 | 114 | 284 |
| Season | Variable | DOY | Date |
|---|---|---|---|
| Winter→Spring | DTRTmax | 56 | 25 February |
| Spring start | R1min1 | 98 | 8 April |
| Full spring | DTRTIP1 | 106 | 16 April |
| Spring→Summer | DTRT “plateau” start | 155 | 4 June |
| Summer start | DTRTmin | 165 | 14 June |
| Full summer | DTRT “plateau” end | 228 | 16 August |
| Summer→Autumn | R1min2 (from meas.) | 244 | 1 September |
| Autumn start | - | ||
| Full autumn | DTRTIP2 | 288 | 15 October |
| Autumn→Winter | DTRTIP3 | 316 | 12 November |
Publisher’s Note: MDPI stays neutral with regard to jurisdictional claims in published maps and institutional affiliations. |
© 2022 by the authors. Licensee MDPI, Basel, Switzerland. This article is an open access article distributed under the terms and conditions of the Creative Commons Attribution (CC BY) license (https://creativecommons.org/licenses/by/4.0/).
Share and Cite
Lalić, B.; Fitzjarrald, D.R.; Firanj Sremac, A.; Marčić, M.; Petrić, M. Identifying Crop and Orchard Growing Stages Using Conventional Temperature and Humidity Reports. Atmosphere 2022, 13, 700. https://doi.org/10.3390/atmos13050700
Lalić B, Fitzjarrald DR, Firanj Sremac A, Marčić M, Petrić M. Identifying Crop and Orchard Growing Stages Using Conventional Temperature and Humidity Reports. Atmosphere. 2022; 13(5):700. https://doi.org/10.3390/atmos13050700
Chicago/Turabian StyleLalić, Branislava, David R. Fitzjarrald, Ana Firanj Sremac, Milena Marčić, and Mina Petrić. 2022. "Identifying Crop and Orchard Growing Stages Using Conventional Temperature and Humidity Reports" Atmosphere 13, no. 5: 700. https://doi.org/10.3390/atmos13050700
APA StyleLalić, B., Fitzjarrald, D. R., Firanj Sremac, A., Marčić, M., & Petrić, M. (2022). Identifying Crop and Orchard Growing Stages Using Conventional Temperature and Humidity Reports. Atmosphere, 13(5), 700. https://doi.org/10.3390/atmos13050700

