Seasonal Climate Trends across the Wild Blueberry Barrens of Maine, USA
Abstract
:1. Introduction
2. Materials and Methods
2.1. Data Source and Acquisition
2.2. Data Analyses
3. Results
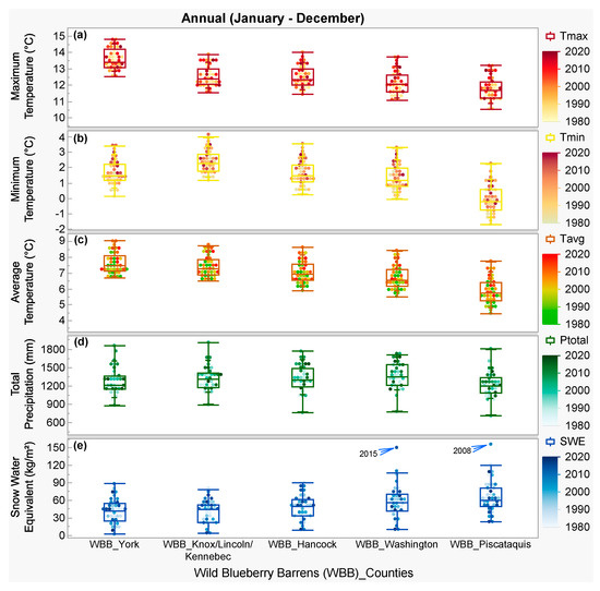
3.1. Annual Climate Changing Trends (1980–2020) in the Wild Blueberry Barrens
3.2. Seasonal Climate Changing Trends (1980–2020) in the Wild Blueberry Barrens
3.2.1. Summer (May–September) Climate in the Barrens
3.2.2. Winter (November–February) Climate in the Barrens
3.2.3. Fall (September–October) Climate in the Barrens
3.2.4. Spring (March–May) Climate in the Barrens
3.2.5. Growing Season in the Barrens
4. Discussion
4.1. Changes in Daytime and Nighttime Temperatures
4.2. Seasonal Variations in Climate Change and Implications
4.3. Spatial Variations in Climate Change and Implications
5. Conclusions
Supplementary Materials
Author Contributions
Funding
Data Availability Statement
Acknowledgments
Conflicts of Interest
References
- Hanes, S.P.; Waring, T.M. Cultural evolution and US agricultural institutions: A historical case study of Maine’s blueberry industry. Sustain. Sci. 2018, 13, 49–58. [Google Scholar] [CrossRef] [PubMed]
- Fernandez, I.; Birkel, S.; Schmitt, C.; Simonson, J.; Lyon, B.; Pershing, A.; Stancioff, E.; Jacobson, G.; Mayewski, P. Maine’s Climate Future 2020 Update; University of Maine: Orono, ME, USA; p. 38. Available online: https://climatechange.umaine.edu/climate-matters/maines-climate-future/ (accessed on 5 February 2022).
- Birkel, S.D.; Mayewski, P.A. Coastal Maine Climate Futures; Climate Change Institute, University of Maine: Orono, ME, USA, 2018; 24p. [Google Scholar]
- Tasnim, R.; Drummond, F.; Zhang, Y.-J. Climate Change Patterns of Wild Blueberry Fields in Downeast, Maine over the Past 40 Years. Water 2021, 13, 594. [Google Scholar] [CrossRef]
- Tasnim, R.; Calderwood, L.; Annis, S.; Drummond, F.; Zhang, Y.-J. The Future of Wild Blueberries: Testing Warming Impacts Using Open-Top Chambers—The Maine Journal of Conservation and Sustainability—University of Maine. The Maine Journal of Conservation and Sustainability. 10 February 2020. Available online: https://umaine.edu/spire/2020/02/10/wildblueberries/ (accessed on 5 February 2022).
- Barai, K.; Tasnim, R.; Hall, B.; Rahimzadeh-Bajgiran, P.; Zhang, Y.J. Is Drought Increasing in Maine and Hurting Wild Blueberry Production? Climate 2021, 9, 178. [Google Scholar] [CrossRef]
- Maine Wild Blueberry Production Statistics. Available online: https://extension.umaine.edu/blueberries/factsheets/statistics-2/crop-production-statistics-2019/ (accessed on 10 October 2021).
- Farm Response to Changing Weather, Maine Climate and Ag Network, University of Maine. Available online: https://umaine.edu/climate-ag/farm-response-changing-weather/ (accessed on 5 February 2022).
- Kukal, M.S.; Irmak, S. US agro-climate in 20th century: Growing degree days, first and last frost, growing season length, and impacts on crop yields. Sci. Rep. 2018, 8, 1–14. [Google Scholar] [CrossRef] [PubMed]
- Drummond, F.A.; Yarborough, D.E. Growing season effects on wild blueberry (Vaccinium angustifolium) in Maine and implications for management. In Proceedings of the X International Symposium on Vaccinium and Other Superfruits 1017, Maastricht, The Netherlands, 17 June 2012; pp. 101–107. [Google Scholar]
- Tasnim, R.; Zhang, Y.J. Are wild blueberries a crop with low photosynthetic capacity? Chamber-size effects in measuring photosynthesis. Agronomy 2021, 11, 1572. [Google Scholar] [CrossRef]
- Kreyling, J.; Grant, K.; Hammerl, V.; Arfin-Khan, M.A.; Malyshev, A.V.; Peñuelas, J.; Pritsch, K.; Sardans, J.; Schloter, M.; Schuerings, J.; et al. Winter warming is ecologically more relevant than summer warming in a cool-temperate grassland. Sci. Rep. 2019, 9, 1–9. [Google Scholar] [CrossRef] [Green Version]
- Thornton, M.M.; Shrestha, R.; Wei, Y.; Thornton, P.E.; Kao, S.; Wilson, B.E. Daymet: Annual Climate Summaries on a 1-km Grid for North America, Version 4; ORNL DAAC: Oak Ridge, TN, USA, 2020. [CrossRef]
- Thornton, M.M.; Shrestha, R.; Wei, Y.; Thornton, P.E.; Kao, S.; Wilson, B.E. Daymet: Monthly Climate Summaries on a 1-km Grid for North America, Version 4; ORNL DAAC: Oak Ridge, TN, USA, 2020. [CrossRef]
- Mehdipoor, H.; Zurita-Milla, R.; Izquierdo-Verdiguier, E.; Betancourt, J.L. Influence of source and scale of gridded temperature data on modelled spring onset patterns in the conterminous United States. Int. J. Climatol. 2018, 38, 5430–5440. [Google Scholar] [CrossRef] [Green Version]
- Brust, C. An Inter-Model Comparison of Gridded Temperature and Precipitation Products in Montana. University of Montana Conference on Undergraduate Research (UMCUR). 2018. Available online: https://scholarworks.umt.edu/umcur/2018/pmposters/15 (accessed on 5 February 2022).
- Esri Inc. ArcGIS Pro (Version 2.4.2). 2019. Available online: https://www.esri.com/en-us/arcgis/products/arcgis-pro/ (accessed on 1 February 2020).
- JMP®, Version 16.2; SAS Institute Inc.: Cary, NC, USA, 1989–2021.
- Addinsoft. XLSTAT Statistical and Data Analysis Solution. Available online: https://www.xlstat.com (accessed on 26 December 2020).
- Hamed, K.H.; Rao, A.R. A modified Mann-Kendall trend test for autocorrelated data. J. Hydrol. 1998, 204, 182–196. [Google Scholar] [CrossRef]
- Benjamini, Y.; Hochberg, Y. Controlling the false discovery rate: A practical and powerful approach to multiple testing. J. R. Stat. Soc. Ser. B Methodol. 1995, 57, 289–300. [Google Scholar] [CrossRef]
- Davy, R.; Esau, I.; Chernokulsky, A.; Outten, S.; Zilitinkevich, S. Diurnal asymmetry to the observed global warming. Int. J. Climatol. 2017, 37, 79–93. [Google Scholar] [CrossRef] [Green Version]
- Cox, D.T.C.; Maclean, I.M.D.; Gardner, A.S.; Gaston, K.J. Global variation in diurnal asymmetry in temperature, cloud cover, specific humidity and precipitation and its association with leaf area index. Glob. Chang. Biol. 2020, 26, 7099–7111. [Google Scholar] [CrossRef] [PubMed]
- Peng, S.; Piao, S.; Ciais, P.; Myneni, R.B.; Chen, A.; Chevallier, F.; Dolman, A.J.; Janssens, I.A.; Penuelas, J.; Zhang, G.; et al. Asymmetric effects of daytime and night-time warming on Northern Hemisphere vegetation. Nature 2013, 501, 88–92. [Google Scholar] [CrossRef] [PubMed]
- Peraudeau, S.; Roques, S.; Quiñones, C.O.; Fabre, D.; Van Rie, J.; Ouwerkerk, P.B.; Jagadish, K.S.; Dingkuhn, M.; Lafarge, T. Increase in night temperature in rice enhances respiration rate without significant impact on biomass accumulation. Field Crops Res. 2015, 171, 67–78. [Google Scholar] [CrossRef]
- Zhang, Y.J.; Cristiano, P.M.; Zhang, Y.F.; Campanello, P.I.; Tan, Z.H.; Zhang, Y.P.; Cao, K.F.; Goldstein, G. Carbon economy of subtropical forests. In Tropical Tree Physiology; Springer: Cham, Switzerland, 2016; pp. 337–355. [Google Scholar]
- Atkin, O.K.; Turnbull, M.H.; Zaragoza-Castells, J.; Fyllas, N.M.; Lloyd, J.; Meir, P.; Griffin, K.L. Light inhibition of leaf respiration as soil fertility declines along a post-glacial chronosequence in New Zealand: An analysis using the Kok method. Plant Soil 2013, 367, 163–182. [Google Scholar] [CrossRef]
- Francis, J.A. The Arctic matters: Extreme weather responds to diminished Arctic sea ice. Environ. Res. Lett. 2015, 10, 091002. [Google Scholar] [CrossRef]
- Stuble, K.L.; Bennion, L.D.; Kuebbing, S.E. Plant phenological responses to experimental warming—A synthesis. Glob. Chang. Biol. 2021, 27, 4110–4124. [Google Scholar] [CrossRef] [PubMed]
- Khanduri, V.P.; Sharma, C.M.; Singh, S.P. The effects of climate change on plant phenology. Environmentalist 2008, 28, 143–147. [Google Scholar] [CrossRef]
- Rai, R.; Joshi, S.; Roy, S.; Singh, O.; Samir, M.; Chandra, A. Implications of changing climate on productivity of temperate fruit crops with special reference to apple. J. Hortic. 2015, 2, 135–141. [Google Scholar]
- Sherry, R.A.; Zhou, X.; Gu, S.; Arnone, J.A.; Schimel, D.S.; Verburg, P.S.; Wallace, L.L.; Luo, Y. Divergence of reproductive phenology under climate warming. Proc. Natl. Acad. Sci. USA 2007, 104, 198–202. [Google Scholar] [CrossRef] [PubMed] [Green Version]
- Simonson, J.M.; Birkel, S.D.; Maasch, K.A.; Mayewski, P.A.; Lyon, B.; Carelton, A.M. Association between recent U.S. northeast precipitation trends and Greenland blocking. Int. J. Climatol. 2022, 1–12. [Google Scholar] [CrossRef]
- Pearson, K.D. Spring-and fall-flowering species show diverging phenological responses to climate in the Southeast USA. Int. J. Biometeorol. 2019, 63, 481–492. [Google Scholar] [CrossRef] [Green Version]
- Vitasse, Y.; Lenz, A.; Körner, C. The interaction between freezing tolerance and phenology in temperate deciduous trees. Front. Plant Sci. 2014, 5, 541. [Google Scholar] [CrossRef] [PubMed] [Green Version]
- Wildung, D.K.; Sargent, K. The effect of snow depth on winter survival and productivity of Minnesota blueberries. In Proceedings of the IV International Symposium on Vaccinium Culture, East Lansing, MI, USA, 13–17 August 1988; Volume 241, pp. 232–237. [Google Scholar]
- Screen, J.A. Arctic amplification decreases temperature variance in northern mid-to high-latitudes. Nat. Clim. Chang. 2014, 4, 577–582. [Google Scholar] [CrossRef] [Green Version]
- MCC STS. Scientific Assessment of Climate Change and Its Effects in Maine. A Report by the Scientific and Technical Subcommittee (STS) of the Maine Climate Council (MCC); MCC STS: Augusta, Maine, 2020; 370p.
- 631-Guide to Efficient Irrigation of the Wild Blueberry—Cooperative Extension: Maine Wild Blueberries—University of Maine Cooperative Extension, n.d. Cooperative Extension: Maine Wild Blueberries. Available online: https://extension.umaine.edu/blueberries/factsheets/irrigation/guide-to-efficient-irrigation-of-the-wild-blueberry/ (accessed on 28 November 2021).













| Climate Variables | Mann–Kendall and Slope t-Test | Wild Blueberry Barrens (WBB)_Counties | ||||
|---|---|---|---|---|---|---|
| WBB_ Piscataquis | WBB_ Washington | WBB_ Hancock | WBB_Knox/ Lincoln/Kennebec | WBB_ York | ||
| Tmax in Figure 3a | Kendall’s tau | 0.25 | 0.36 | 0.18 | 0.12 | 0.02 |
| p-value | 0.02 | 0.0009 | 0.09 | 0.26 | 0.84 | |
| Trend | Increasing | Increasing | ||||
| Slope rate, °C | 1 a | 1.3 a | 0.6 b | 0.4 bc | 0.2 c | |
| °C/year | 0.024 a | 0.032 a | 0.014 c | 0.01 c | 0.005 d | |
| Tmin in Figure 3b | Kendall’s tau | 0.31 | 0.36 | 0.35 | 0.31 | 0.44 |
| p-value | 0.004 | 0.001 | 0.001 | 0.004 | <0.0001 | |
| Trend | Increasing | |||||
| Slope rate, °C | 1.7 a | 1.5 ab | 1.5 ab | 1.2 b | 1.7 a | |
| °C/year | 0.04 a | 0.036 ab | 0.036 ab | 0.03 b | 0.04 a | |
| Tavg in Figure 3c | Kendall’s tau | 0.30 | 0.36 | 0.28 | 0.23 | 0.26 |
| p-value | 0.005 | 0.0008 | 0.009 | 0.03 | 0.01 | |
| Trend | Increasing | |||||
| Slope rate, °C | 1.3 ab | 1.5 a | 1 bc | 0.8 c | 1 bc | |
| °C/year | 0.032 ab | 0.036 a | 0.024 bc | 0.02 c | 0.024 bc | |
| Ptotal in Figure 3d | Kendall’s tau | 0.15 | 0.23 | 0.17 | 0.19 | 0.16 |
| p-value | 0.18 | 0.04 | 0.12 | 0.08 | 0.13 | |
| Trend | Increasing | Increasing | Increasing | |||
| Slope rate, mm | 120 a | 230 b | 180 b | 180 b | 200 b | |
| mm/year | 2.93 a | 5.61 b | 4.4 b | 4.4 b | 4.88 d | |
| SWE in Figure 3e | Kendall’s tau | −0.16 | −0.0024 | 0.02 | 0.17 | 0.17 |
| p-value | 0.13 | 0.98 | 0.82 | 0.12 | 0.12 | |
| Trend | Decreasing | No change | Increasing | |||
| Slope rate, kg | 15 a | 0 | 15 b | 15 b | ||
| kg/year | 0.36 a | 0 | 0.36 b | 0.36 b | ||
| Time Period/Seasons | Climate Variables | Latitude | Longitude | Distance from Coast |
|---|---|---|---|---|
| Annual (January–December) | Increase in Tmax | 0.15 | 0.95 *** | −0.63 ** |
| Increase in Tmin | 0.12 | 0.36 | −0.31 | |
| Increase in Tavg | 0.11 | 0.97 *** | −0.59 ** | |
| Increase in Ptotal | −0.82 ** | 0.22 | −0.74 ** | |
| Increase in SWE | −0.28 | 0.09 | −0.19 | |
| Summer (May–September) | Increase in Tmax | 0.19 | 0.93 ** | −0.58 * |
| Increase in Tmin | 0.09 | 0.33 | −0.23 | |
| Increase in Tavg | 0.14 | 0.88 ** | −0.51 * | |
| Increase in Ptotal | −0.82 ** | 0.32 | −0.73 ** | |
| Winter (November–February) | Increase in Tmax | 0.17 | 0.91 ** | −0.54 * |
| Increase in Tmin | 0.12 | 0.37 * | −0.27 | |
| Increase in Tavg | 0.13 | 0.90 ** | −0.53 * | |
| Increase in Ptotal | −0.63 * | 0.54 * | −0.64 * | |
| Fall (September–October) | Increase in Tmax | 0.34 * | 0.89 ** | −0.57 * |
| Increase in Tmin | 0.17 | 0.39 * | −0.26 | |
| Increase in Tavg | 0.31 * | 0.86 ** | −0.55 * | |
| Increase in Ptotal | −0.59 * | 0.57 * | −0.62 * | |
| Spring (March–May) | Increase in Tmax | 0.26 | 0.31 | −0.28 |
| Increase in Tmin | 0.17 | 0.27 | −0.24 | |
| Increase in Tavg | 0.22 | 0.33 | −0.29 | |
| Increase in Ptotal | −0.31 | 0.34 | −0.33 |
| Wild Blueberry Barrens (WBB)_Counties | Period (Year) | Last Spring Frost | First Fall Frost | Growing Season Length and Period |
|---|---|---|---|---|
| WBB_Piscataquis in Figure 13a | 1980–1990 | 25 March | 17 November | 116 days [23 May–17 September] |
| 1991–2000 | 26 March | 19 November | 116 days [23 May–17 September] | |
| 2001–2010 | 23 March | 23 November | 124 days [23 May–25 September] | |
| 2011–2020 | 26 March | 21 November | 131 days [19 May–28 September] | |
| WBB_Washington in Figure 13b | 1980–1990 | 20 March | 24 November | 114 days [28 May–20 September] |
| 1991–2000 | 18 March | 29 November | 119 days [25 May–22 September] | |
| 2001–2010 | 17 March | 04 December | 124 days [25 May–27 September] | |
| 2011–2020 | 19 March | 04 December | 126 days [25 May–29 September] | |
| WBB_Hancock in Figure 13c | 1980–1990 | 20 March | 25 November | 121 days [24 May–23 September] |
| 1991–2000 | 15 March | 30 November | 120 days [26 May–24 September] | |
| 2001–2010 | 16 March | 04 December | 121 days [25 May–27 September] | |
| 2011–2020 | 20 March | 05 December | 124 days [25 May–30 September] | |
| WBB_Knox/Lincoln/ Kennebec in Figure 13d | 1980–1990 | 16 March | 27 November | 127 days [18 May–23 September] |
| 1991–2000 | 14 March | 04 December | 128 days [18 May–24 September] | |
| 2001–2010 | 16 March | 04 December | 129 days [20 May–27 September] | |
| 2011–2020 | 19 March | 04 December | 136 days [16 May–02 October] | |
| WBB_York in Figure 13e | 1980–1990 | 14 March | 28 November | 131 days [15 May–24 September] |
| 1991–2000 | 14 March | 03 December | 130 days [16 May–24 September] | |
| 2001–2010 | 15 March | 04 December | 134 days [16 May–28 September] | |
| 2011–2020 | 17 March | 04 December | 141 days [13 May–02 October] |
Publisher’s Note: MDPI stays neutral with regard to jurisdictional claims in published maps and institutional affiliations. |
© 2022 by the authors. Licensee MDPI, Basel, Switzerland. This article is an open access article distributed under the terms and conditions of the Creative Commons Attribution (CC BY) license (https://creativecommons.org/licenses/by/4.0/).
Share and Cite
Tasnim, R.; Birkel, S.; Calderwood, L.; Roberts, S.; Zhang, Y.-J. Seasonal Climate Trends across the Wild Blueberry Barrens of Maine, USA. Atmosphere 2022, 13, 690. https://doi.org/10.3390/atmos13050690
Tasnim R, Birkel S, Calderwood L, Roberts S, Zhang Y-J. Seasonal Climate Trends across the Wild Blueberry Barrens of Maine, USA. Atmosphere. 2022; 13(5):690. https://doi.org/10.3390/atmos13050690
Chicago/Turabian StyleTasnim, Rafa, Sean Birkel, Lily Calderwood, Samuel Roberts, and Yong-Jiang Zhang. 2022. "Seasonal Climate Trends across the Wild Blueberry Barrens of Maine, USA" Atmosphere 13, no. 5: 690. https://doi.org/10.3390/atmos13050690
APA StyleTasnim, R., Birkel, S., Calderwood, L., Roberts, S., & Zhang, Y.-J. (2022). Seasonal Climate Trends across the Wild Blueberry Barrens of Maine, USA. Atmosphere, 13(5), 690. https://doi.org/10.3390/atmos13050690

