Abstract
To better understand the mechanism of nitrogen (N) distribution, absorption, utilization and loss in fertilizer under different tillage practices, a study was conducted to quantitatively explore the fate of fertilizer N in the soil–plant–atmosphere using the 15N labelling technique under the long-term conservation tillage experiment in Northeast China. The test crop used was corn. This study compared the residual amount of 15N fertilizer in soil, the content of 15N fertilizer N in particle organic nitrogen (PON), light fraction organic matter nitrogen (LFOMN) and heavy fraction organic matter N (HFOMN) under different tillage practices. In addition, N uptake, utilization and distribution by corn, the emission of N2O and the gas loss of fertilizer N, and the fertilizer N utilization rate were also taken into account. The results showed that no tillage (NT) had a significantly lower amount of residual 15N fertilizer than a moldboard plow (MP) (p < 0.05). In general, the content under NT at the 0–30 cm soil layer was 7.85% lower than that of MP. NT led to significantly greater PON and LFOMN of soil organic N compared to MP (p < 0.05). 15N from N uptake, fertilizer absorption and utilization under NT were significantly higher than that under MP (p < 0.05), the soil N absorbed by plants under NT or MP was greater than 70%. The distribution of 15N from N fertilizer in each corn part increases in this order: seed > leave > sheath > stem > bract > ear; about 57.91–64.92% of 15N is distributed in the grain. NT resulted in significantly lower average and cumulative N2O emissions than those from MP based on the static closed chamber approach (p < 0.05). The average and cumulative emissions of soil fertilizer 15N-N2O under MP were also significantly greater than that of NT. Among the N2O emissions, 15.3% and 22.98% came from fertilizer N under NT and MP, respectively. On average, 0.1–0.16% of fertilizer N was lost in the form of N2O. There was a significant difference in fertilizer utilization between NT and MP, and NT was 4.23% larger than MP (p < 0.05). These one year findings suggest that NT plays a positive role in improving the N absorption and utilization of fertilizer in a Chinese mollisol and long-term effects need to be further studied.
1. Introduction
Nitrogen (N) has been recognized as one of the most critical nutrients for plants taken from the soil as it can limit crop yield if not enough is obtained [,,]. In general, Soil’s original N pool cannot meet the N demand to achieve a higher crop yield; thus, it is customary to apply chemical N fertilizer input to achieve the goal []. However, the excessive use of N fertilizer brings about a series of problems, such as soil degradation, resource shortage and environmental deterioration, which seriously affect the sustainable agriculture development []. The excessive reliance on N fertilizer for high yields leads to a decreased N fertilizer utilization rate and severe loss [,,].
There are three fates for fertilizer N applied to the soil. Firstly, they are absorbed and utilized directly by corn; secondly they are lost through denitrification, ammonia volatilization and N leaching. Moreover, they are transformed into soil organic N as a residual in the soil. The distribution of fertilizer N in different organic N pools affects the absorption of residual fertilizer N by subsequent crops [,]. Many factors affect the use efficiency of N fertilizer, such as soil type, climate, variety, planting density, fertilizer type, fertilizer amount, fertilization time period, fertilization method, tillage practices and field management [,]. Conservation tillage, such as no tillage, can effectively reduce soil erosion, improve soil structure, increase soil carbon and N content, and stabilize crop yield [,]. Some of the literature found that conservation tillage increased fertilizer using efficiency, whereas other studies suggested that NT had no effect []. There are even reports that show that long-term NT could result in a significant reduction in the fertilizer using efficiency []. Previous studies about NT have centred on its effect on crop yield, soil organic carbon and soil moisture, etc., [,,,]. Nevertheless, there is less knowledge about the NT effects on the absorption and utilization of fertilizer N. There exist different point of views about the effect of conservation tillage on N use efficiency, especially under long-term experiments. The reason for this situation may be related to the different environments, climates, soil types, etc. 15N isotope technology could be useful for the quantitative characterization of the long-term effect on N transformation mechanisms and distribution due to its accuracy and reliability []. Thus, there is a need to explore the long-term NT effect on the absorption, utilization and distribution of soil N based on 15N isotope technology. Consequently, the objectives of this study were to (1) analyse the effect of NT on the utilization rate of fertilizer N, (2) determine the N distribution in plants and (3) identify the gas loss of fertilizer N. The present study may not only provide valuable information for the rational regulation and efficient utilization of N transformation, but also improve the popularization of conservation tillage in a Chinese mollisol.
2. Materials and Methods
2.1. Study Site
The research site was located at the long-term tillage field experiment of the Northeast Institute of Geography and Agroecology, Chinese Academy of Sciences, Changchun, Northeast China in 2012. The geographical location is 44°59′ N and 125°23′ E. The soil type in the experimental site is Typic Hapludoll with clay loam texture. Soil pH is about 6.5. The region has a semi-humid temperate continental monsoon climate with the mean annual temperature of 6.4 °C. The annual precipitation over past 30 years is 614 mm with most precipitation occurring in June, July and August.
2.2. Experimental Design
The long-term conservation tillage experiment included three treatments: moldboard plow (MP), no tillage (NT) and ridge tillage (RT), with three crop rotations (continuous corn, corn–soybean and corn–corn–soybean). Except for sowing with a KINZE-3000 no till planter (Waukon, IA, USA), the NT soil was not disturbed, and the straw was returned to the field. For MP, soil was ploughed (about 20 cm deep) after harvest, followed by rolling, ridging and leveling in the next spring. All straw was returned to the field after harvest. For RT, except for cleaning the ridge platform before planting (no more than 1/3 of the ridge width), no other soil stirring was carried out from harvesting to sowing, and all the straw was returned to the field. Corn–soybean rotation, corn–corn–soybean rotation and continuous corn were included for all the tillage treatments. The experiment was arranged in a randomized complete block design with four replicates; all the plots were 7.8 m × 25 m.
On the basis of the long-term conservation tillage experiment, continuous corn under NT and MP were selected, 1 m × 1 m × 1 m microplot was set in the plot, the microplot was enclosed by poly vinyl chloride (PVC) board, the PVC boards were rammed into the 0.8 m soil depth. At the time of sowing, 15N-labeled urea (15N atom % is 10.17, Shanghai Research Institute of Chemical Industry) was applied to the microplots when planting with no till planter at the rate of 125 kg N hm−2 with a spacing of 5–8 cm. The corn variety used in the experiment was Xiongyu 987. The plant density was 60,000 plants/ha. The compound fertilizer was applied with the amount of 481 kg/ha. There was no irrigation during the whole growth period. The sowing time was 30 April 2018. Spray herbicides and insecticides were used for pest and weed control.
2.3. Collection of Plant, Soil and Gas Samples
After the corn harvest in 2018, three 15N labeled plants were immediately collected in each microzone close to the ground, and the plants were divided into six parts: stem, leaf, sheath, bracts, cob and grain. The plant was cut into pieces after drying (a constant weight at 70 °C). Then, a small part of the plant was ground with a ball mill to a size of 100 mesh sieve to determine total N and 15N abundance in the sample.
At the same time, soil samples were collected with straight soil drilling to depths of 0–5 cm, 5–10 cm, 10–20 cm and 20–30 cm. Three collection points were selected for each microzone, and finally, three samples from each layer were mixed.
The gas was collected by the static closed chamber approach, and the sampling time was between 9:00 and 11:00 am [].
2.4. Determination Method
The total N content in plants and soil was determined by the elemental analyzer (Flash EA1112, Thermo Finnigan, Rodano, Italy) after the sample was passed through the 100 mesh sieve [].
The content of 15N in plants and soil was determined by stable Isotope Ratio Mass Spectrometer (mat-253, Thermo Fisher, Waltham, MA, USA) after 100 mesh sieve, and the natural abundance of 15N in soil and plants was also determined [].
Particle organic N (PON) was extracted first and then analyzed by elemental analysis (Cambardella et al., 1992) []. The specific methods are as follows: weigh 20 g of air-dried soil (passed through a 2 mm sieve), add 60 mL 5 g·L−1 sodium hexametaphosphate solution. Then, it was dispersed at 90 r·min−1 for 18 h. The dispersed soil suspension was rinsed with distilled water on a 53 µm screen until the flow cleared. The soil on the sieve was transferred to an aluminum box and dried at 60 °C for 48 h. The determination of total N in PON was consistent with that in soil.
Light fraction organic matter N (LFOMN) and heavy fraction organic matter N (HFOMN) were extracted by soil density grouping method and then analyzed by isotope mass spectrometer (mat-253, Thermo Fisher, Waltham, MA, USA) []. The specific methods for LFOMN and HFOMN are as follows: 10 g air-dried soil (passed through a 2 mm sieve) was weighed and placed in a 100 mL centrifuge tube. Then, 50 mL of NaI heavy liquid with a density of 1.8 g·cm−3 was added and shaken at 250 r·min−1 for 1 h, and then centrifuged at 3000 r·min−1 for 10 min. The supernatant was filtered through a 0.45 μm filter membrane, and 50 mL NaI heavy solution was added again. The above process was repeated 2–3 times, and then the light group of NaI was washed with 0.01 mol/L CaCl2 solution and deionized water. The LFOMN was obtained by drying and weighing at 60 °C. The remaining part was washed, dried and determined with CaCl2 solution, namely, recombinant HFOMN. The determination method for LFOMN and HFOMN was consistent with that of soil total N.
N2O was determined by air-sample chromatography method. Greenhouse gas samples were collected using the static box method. The gas collection box consisted of stainless steel plates welded together. When gas is collected, water is injected into the gas tank, forming a liquid seal with the gas box lid to ensure that the gas in the tank is closed. Gas samples were collected four times between 9:00 a.m. and 11:00 a.m. for 0, 10, 20 and 30 min, after which 100 mL of each sample was then pumped into a 100 mL syringe. The sample was subsequently injected into a gas collection bag for storage, which was returned to the laboratory. The specific sampling dates were 8 May, 9 May, 13 May, 14 May, 4 Jun, 25 Jun, 11 Jul, 27 Jul, 16 Aug, 27 Aug, 25 Sep. The abundance of 15N in N2O was determined by Stable Isotope Ratio Mass Spectrometer (Thermo Delta V Advantage) [].
2.5. Calculation Method
The following equations were used for the calculation method [,].
Ndff (%) is the proportion of soil N and plant N from 15N labeled urea; δ15Nsample is the 15N abundance in plant N and soil N after applying 15N labeled urea. δ15Nstandard refers to the natural abundance of 15N in plant N and soil N without 15N labeled urea. δ15Nfertilizer is the 15N abundance in fertilizer.
The amount of N in the plant derived from fertilizer N (kg hm−2) = Plant total N (kg hm−2) NDffplant.
The amount of Residual fertilizer in soil = Soil depth (cm) × Soil bulk density × Nsoil concentration × NDffsoil × 100
Lost rate of N fertilizer = 100% − Utilization rate of 15N Plant − Residue rate of 15N soil
2.6. Data Analysis
Statistical analyses were carried out using SPSS 11.5 software (SPSS Inc., Chicago, IL, USA). Treatment means were compared using the least significant difference (LSD) at a significance level of p < 0.05. T-test was performed to compare the difference between NT and MP at p < 0.05. All the figures were graphed by SigmaPlot 14.0 software (Systat Software Inc., San Jose, CA, USA).
3. Results
3.1. Fertilizer 15N Distribution in Soil N Reservoir
The residual fertilizer 15N mainly existed in the 0–20 cm soil layer (Figure 1). MP had a significantly greater amount of residual fertilizer 15N than NT at 0–5 cm (p < 0.05) (Figure 1). No significant differences in the amount of residual fertilizer 15N were observed between NT and MP in other soil layers. However, the amount of residual 15N in fertilizer N was significantly less in NT than MP in the 0–30 cm soil layer (Figure 1). There was a significant difference in fertilizer N in PON between NT and MP in the 0–30 cm soil layer (p < 0.05) (Figure 2). The soil organic N was divided into LFOMN and HFOMN according to the state of soil N. Tillage treatment significantly affects the distribution of fertilizer N in the LFOMN and HFOMN (Figure 3). The content of fertilizer N in the LFOMN in each soil layer was significantly greater under NT than MP (p < 0.05) (Figure 3a). Except for the 5–10 cm soil layer, fertilizer N content in the HFOMN was significantly greater under NT than MP (p < 0.05) (Figure 3b).

Figure 1.
Distribution of residual 15N fertilizer in the soil.

Figure 2.
Depth distributions of fertilizer N in PON.

Figure 3.
Depth distributions of fertilizer N in LFOMN and HFOMN. (a) Depth distributions of fertilizer N in LFOMN. (b) Depth distributions of fertilizer N in HFOMN.
3.2. N uptake, Utilization and Distribution by Crops
More than 70% of the N for plants was absorbed from the soil under both NT and MP (Table 1). NT led to a significant N uptake increment compared to MP (p < 0.05) (Table 1). The amount of N absorption from N fertilizer and soil were both significantly higher in NT than in MP (p < 0.05) (Table 1). The distribution of 15N from N fertilizer in each corn part followed this pattern seed > leaf > sheath > stem > bract > ear under NT and MP (Figure 4). There was 64.92% and 57.91% of the 15N in the grains under NT and MP, respectively (Figure 4).

Table 1.
Effects of tillage practices on distribution of N from different sources in plants.

Figure 4.
Fertilizer N distribution in plants (%). (a) Fertilizer N distribution in plants under NT. (b) Fertilizer N distribution in plants under MP.
3.3. Gas Loss of Fertilizer N
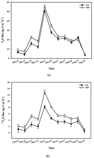
The N2O flux was positive during the corn growth period under both NT and MP (Figure 5). The N2O flux at the early and late stages of growth was low, and the emission flux at the middle stage was high with the highest occurring in June. During the growth period, the N2O flux under MP was greater than that under NT, and the average N2O flux was 18.45 and 21.55 µg N m−2 h−1 for NT and MP, respectively; the former is significantly smaller than the latter (p < 0.05) (Figure 5a). A similar trend was also found for 15N2O flux from fertilizer N during the corn growth period (Figure 5b). The soil N2O emissions during the corn growing season under NT and MP were 0.78 kg N hm−2 and 0.87 kg N hm−2. In the corn growing season, the N2O flux from the soil under MP is greater than that of NT, but it did not reach a significant difference (p > 0.05). The annual emissions of soil 15N-N2O from N fertilizer during the growing season are 0.12 kg N hm−2 and 0.2 kg N hm−2 under NT and MP, respectively (Table 2). A total of 15.3% and 22.98% of N2O emissions come from fertilizer N under NT and MP, respectively. An average of 0.1–0.16% of fertilizer N was lost in the form of N2O under NT and MP.

Figure 5.
Season variations of fertilizer N2O and 15N2O emission under different tillage practice. (a) Season variations of fertilizer N2O emission under different tillage practice. (b) Season variations of fertilizer 15N2O emission under different tillage practice.

Table 2.
The growing season emission of N2O and fertilizer 15N2O under different tillage practices.
3.4. The Fate of 15N-Labeled Urea N in Farmland
In this study, tillage measures significantly affected the efficiency of crop absorption and utilization of fertilizer N. The difference in fertilizer utilization rate between NT and MP was significant (Table 3), NT was 4.23% larger than MP (p < 0.05); the difference in fertilizer residual rate between NT and MP was significant (Table 3), MP was 1.69% greater than NT (p < 0.05). No significant effect was observed on the loss rate between NT and MP (p > 0.05) (Table 3)

Table 3.
Utilization of N fertilizer and residual loss under different tillage practices.
4. Discussion
4.1. The Distribution of Residue-Derived Fertilizer N in the Soil
The 15N isotope tracer technique can effectively and quantitatively study the N utilization efficiency and N balance in soil and crop systems []. The previous results showed that the soil residual rate in fertilizer N accounted for about 20–50% of the total N application amount []. In the current study, the lower residual amount of fertilizer N under NT may be related to the greater amount of fertilizer N absorbed by corn and the higher fertility utilization rate, thus resulting in less residual fertilizer N in the soil. Fertilizer N remains in the 0–20 cm soil depth under NT because long-term straw returning improves soil structure and increases the number and continuity of macropores in the surface soil, which may cause a larger amount of fertilizer N to be stored in the surface soil []. At the same time, NT straw mulching can effectively keep soil water and reduce leaching of fertilizer N to the underlying soil. In addition, the density of crop roots is high in the surface soil, but minor in the deep soil under NT, and the absorption of surface fertilizer N is higher than that of MP in the growing season [,]. Residual fertilizer N mainly exists in the form of organic N in the soil, and its amount in soil active N (PON, MBN, etc.) affects the mineralization degree of fertilizer N 15N and then affects the utilization of residual fertilizer 15N in later crops []. Soil PON is closely related to soil N’s mineralization and microbial activity and is sensitive to changes in farmland management such as tillage, straw and fertilization []. Straw mulching under NT provides a suitable environment for the formation of soil aggregates, in which a larger amount of granular organic N is physically protected []. The soil disturbance caused by tilling under MP will destroy soil aggregates and accelerate the mineralization of organic N particles. In this study, the content of organic fertilizer N under NT was significantly higher than that in MP, possibly because the amount of synthetic organic N in NT soil was significantly higher than that in MP. This may be due to the fact that NT is beneficial to composite PON in the soil []. The amount of composite organic N in NT soil is higher and more accessible to be able to mineralize into inorganic N, which can be absorbed and used by the following crop []. Tillage and straw mulching significantly affected the contents of LFOMN and HFOMN on the soil surface. The content of fertilizer N in HFOMN was higher than that in LFOMN, regardless of NT or MP. The reason for this situation was that straw mulching under NT could improve the quantity and stability of large aggregates in the soil, leading to the stability of light organic N in large aggregates, and increasing the content of light organic N in the soil. Traditional tillage greatly disturbed the soil, changed soil surface aeration, enhanced microbial activity and accelerated the mineralization of soil organic N []. Therefore, compared with MP, NT significantly increased the organic N content in LFOMN of soil. Under the physical protection of large soil aggregates, it was beneficial to maintain the stability of organic N in LFOMN and reduce the loss of fertilizer 15N, which was consistent with the study of Ramnarin et al. [].
4.2. The Fate of Fertilizer N in Crops
The plant N content, grain N accumulation and allocation rate was greater under NT. The possible explanation was that straw cover improved the soil moisture conditions and increased N absorption, facilitating N transport and accumulation, and then enhanced crop yield and N uptake in the growth period. Wang et al. [] also found that straw cover could improve soil water content, and enhance the ability of light energy interception and the net photosynthetic efficiency of corn to increase water use efficiency, facilitate the accumulation and transport of nutrients, and improve the N uptake of crops under a long-term NT system. During the whole corn growth period, the N brought in by precipitation and irrigation water was not included; the N source absorbed by plants mainly consists of two parts: soil N and N from exogenous fertilizers. Zuo et al. [] indicated that about 70% of the N in the plants came from the soil, and fertilizer N accounted for 30%, using15N isotope labeling technology in the growing season of winter wheat on the North China Plain. The average absorption of soil N and fertilizer N by crops was 50% under NT []. Our study obtained similar results in that the contribution rate of corn N uptake from soil N was 74.73% and 73.49%, and the contribution rate of fertilizer N was 25.27% and 26.51% under NT and MP, respectively. The results that show that the N uptake proportion of corn from soil is 2.96 times and 2.77 times higher than that from N fertilizer indicate that the main source of crop absorption N is still from the soil. N absorption, accumulation and translocation play an important role in improving crop yield, quality and N utilization efficiency. A total of 64.92% and 59.71% of fertilizer N under NT and MP was distributed in the corn grains. This meant that the fertilizer N absorbed by corn plants was mainly distributed in the grains and it suggested that fertilizer N was the main component of crop yield. Macdonald et al. [] found that the N absorption rate of plant parts was the highest (73–82%) in grains. This was in accordance with the results obtained by Shen et al. []. It was probably due to the fact that NT improved soil moisture conditions, increased N absorption, benefited N transfer and accumulation to grains, and further increased crop yields.
4.3. N2O Emissions
Nitrous oxide is one of the main greenhouse gases causing global warming []. Fertilizers are important sources of N2O emissions from agriculture []. Changes in tillage practices will affect soil’s physical and chemical properties such as temperature, water and microbial activity, and then affect N2O emissions []. There is a big difference among the research results on the effect of tillage on N2O emissions, and no unified conclusion has been reached []. Some studies have shown that NT promotes or inhibits N2O emissions, or show no significant effect on N2O emissions [,,]. The high variability in the impact of tillage on N2O emissions is related with the effect of soil microorganisms, plant straw, tillage intensity, climate change, etc. [,,]. Although traditional tillage is beneficial to the gas exchange between the soil and the atmosphere, they promote the degradation of soil organic matter and the emission of greenhouse gases []. NT has proven to increase more soil N2O emission than conventional tillage [,,]. This may be related to the increased soil bulk density, soil organic carbon and water content under NT where in the soil it is very easy to form an anaerobic environment or the microdomain anaerobic environment []. The applied fertilizer covering the surface under NT usually makes it easy for the N to leach into the soil, which leads to the soil denitrification ability rising, thus producing more N2O []. This study showed that the N2O flux under NT was less than that under MP. This is mostly because NT increased soil bulk density and soil penetration resistance, illustrated in our previous research, combined with a reduced gas diffusion rate []. These further reduced the N2O generated in nitrification and denitrification into N2 before the diffusion surface, and then resulted in reducing N2O emissions. Some researchers also reported that NT can significantly reduce soil temperature, largely because NT with straw mulching increases the soil surface’s roughness and reduces the solar radiation from the surface, and this has a cooling effect to some extent []. Moreover, a higher soil moisture content and soil heat capacity in NT leads to slower soil heating []. Thus, N2O emissions will be inhibited at low temperature [,]. After ploughing, soil organic substances are exposed to the air, which accelerates the mineralization and decomposition of organic N, and produces more nitrate-N, which is conducive to the denitrification and the release of more N2O [,]. Long-term conservation tillage over 10 years can reduce N2O emissions in an arid environment because conservation tillage provides a good soil structure and lower soil temperature, which can reduce the activity of anaerobic microorganisms compared with traditional tillage []. In contrast, Hangs et al. [] argues that NT reduces soil N2O emissions because NT is advantageous to the soil fixed N. Other reports suggest that NT has little or no effect on soil N2O emissions. There is little difference in soil N2O emissions under NT and tilled tillage, which may be related to the different soil types and determination methods []. This may also be attributed to soil permeability []. In short, there is no unified conclusion as to the effect of NT on soil N2O emissions; therefore, it needs to be studied further.
4.4. Utilization Rate of N Fertilizer in Current Season
Different tillage practices could change the soil’s physical and chemical properties, and alter the effect of fertilizer on the soil water storage ability, temperature control ability, soil carbon and N reserves [,]. To this point, conservation tillage, such as NT, has had a significant effect on the utilization of fertilizer N compared with traditional tillage [,]. Xu et al. [] further stated that straw mulching changed the environmental conditions of soil under NT, such as water, fertilizer, gas and heat, and thus affected the N assimilation process, which was conducive to the root system absorbing more N from the soil and promoting the absorption and utilization of N. In the present study, the fertilizer utilization rate under NT is higher than MP; this is mostly because the precipitation was significantly low (From 22 April to 21 May 2018); at that time the precipitation at our site was less than 10 mm, extremely low compared with the average for this period. Moreover, the higher temperature and lower amount of rainfall resulted in an obvious soil moisture shortage and severe drought. Additionally, the continuous lack of precipitation caused crops to experience varying degrees of drought between 11 July 11 and 4 August 2018, which is a critical period for crop’s water demand (http://news.cnjiwang.Com/jwyc/201901/2796831.html, accessed on 20 December 2021). The soil moisture content under NT is higher than MP, while the soil water shortage under MP inhibits the growth of the crop seedlings and root system, and thus reduces the demand for crop N. Therefore, the fertilizer utilization ratio is higher. Malhi et al. [] also indicated that the recovery rate of 15N under the NT system was higher than that under the traditional tillage system. At the same time, our study found the fertilizer loss rates of NT and MP through leaching, ammonia volatilization and N2O volatilization were 24.74% and 25.66%, respectively, indicating no significant difference. These results suggest that in practice, especially in dry years, the fertilizer efficiency and crop yield will be improved under NT with straw mulching.
5. Conclusions
The 15N tracer technique in the current study was used to compare the fertilizer utilization rate under different tillage systems. The results show that the utilization rate of fertilizer N during the corn growth period is significantly greater under NT than MP. About 27–29% of the fertilizer remains in the soil and becomes a supplement to the soil N pool. The soil N absorbed by the plants was more than 70% under both NT and MP, which meant that the accumulation of plant N mainly came from the soil, indicating that the soil was still the main source of N absorbed by the crops. Consequently, in the actual production, it is necessary to fully consider the soil’s N supply capacity and the effect of the preceding season’s residual N. It is appropriate to reduce the amount of N applied in the current season to ensure higher N use efficiency and lower N loss, and further realize the efficient use of N fertilizer. Considering the advantages of NT in dry years, this one year study suggests that NT could be a suitable tillage practice in a Chinese mollisol and the long-term effect is yet to be determined. Additional evaluations of NT’s effect on nitrogen absorption and utilization are needed under different climates, varieties, planting densities, fertilizer types, fertilizer amounts, fertilization time periods and fertilization methods in the Chinese mollisol.
Author Contributions
D.H. and A.L. developed the idea of this study and participated in its design. D.H. was a major contributor in writing the manuscript. A.L. and X.C. provided critical review and substantially revised the manuscript. In addition, S.Z. and Y.Z. (Yan Zhang) gave suggestions on the discussion about the utilization rate of fertilizer. Y.G. and Y.Z. (Yang Zhang) gave suggestions on the discussion about the N2O emissions. All authors read and approved the final manuscript.
Funding
This research was supported by the Strategic Priority Research Program of the Chinese Academy of Sciences (XDA28080201, XDA2307050103), National Natural Science Foundation of China (41771206, 41877095, 41977070, 42101277) and Innovation Leadership and Team Program in Sciences and Technologies for Young and Middle-aged Scientists of Jilin Province (20200301022RQ).
Institutional Review Board Statement
Not applicable.
Informed Consent Statement
Not applicable.
Data Availability Statement
Not applicable.
Conflicts of Interest
The authors declare that they have no competing interest.
References
- Sainju, U.M.; Stevens, W.B.; Evans, R.G.; Iversen, W.M. Irrigation system and tillage effects on soil carbon and nitrogen fractions. Soil Sci. Soc. Am. J. 2013, 77, 1225–1234. [Google Scholar] [CrossRef]
- Karra, R.; Maslouhi, A.; Bamba, Y.O. Modeling of nitrogen transport in variably saturated soils. Appl. Ecol. Environ. Res. 2018, 2, 1427–1444. [Google Scholar] [CrossRef]
- Li, M.J.; Chen, S.; Xin, S.Y.; Tong, B.X.; Wang, S.Q.; Ma, W.Q.; Wei, J. Effects of nitrogen application rate on yield, quality and soil nitrogen balance of winter wheat. J. Hebei Agric. Univ. 2019, 42, 9–15. [Google Scholar]
- Machado, P.V.F.; Farrell, R.E.; Deen, W.; Voroney, R.P.; Congreves, K.A.; Wagner-Riddle, C. Contribution of crop residue, soil, and fertilizer nitrogen to nitrous oxide emissions varies with long-term crop rotation and tillage. Sci. Total Environ. 2021, 767, 145107. [Google Scholar] [CrossRef] [PubMed]
- Villacis, A.H.; Ramsey, A.F.; Delgado, J.A.; Alwang, J.R. Estimating Economically Optimal Levels of Nitrogen Fertilizer in No-Tillage Continuous Corn. J. Agric. Appl. Econ. 2020, 52, 613–623. [Google Scholar] [CrossRef]
- Reay, D.S.; Davidson, E.A.; Smith, K.A.; Smith, P.; Melillo, J.M.; Dentener, F.; Crutzen, P.J. Global agriculture and nitrous oxide emissions. Nat. Clim. Change 2012, 2, 410–416. [Google Scholar] [CrossRef]
- Pittman, T. Too much fertilizer? An observational association between inputs at planting and crop yield on a Saskatchewan farming operation. Can. J. Plant Sci. 2020, 100, 435–444. [Google Scholar] [CrossRef]
- Sun, C.; Hao, L.; Wang, D.; Li, C.; Zhang, C.; Chen, X.; Fu, J.; Zhang, Y.L. Nitrogen utilisation and metabolism in maize (Zea mays L.) plants under different rates of biochar addition and nitrogen input conditions. Plant Biol. 2019, 21, 882–890. [Google Scholar] [CrossRef]
- Longhini, V.Z.; Cardoso, A.S.; Bera, A.S.; Carvalho, I.; Ruggieri, A.C. Nitrogen fertilizer increased litter deposition and litter N in warm-climate grasslands. Nutr. Cycl. Agroecosyst. 2021, 119, 247–258. [Google Scholar] [CrossRef]
- Poffenbarger, H.J.; Sawyer, J.E.; Barker, D.W.; Olk, D.C.; Johan, S.; Castellano, M.J. Legacy effects of long-term nitrogen fertilizer application on the fate of nitrogen fertilizer inputs in continuous maize. Agric. Ecosyst. Environ. 2018, 265, 544–555. [Google Scholar] [CrossRef]
- Yang, C.L.; Liu, L.Q.; Wang, W.Y.; Ren, G.X.; Feng, Y.Z.; Yang, G.H. Effects of the Application of Straw Returning and Nitrogen Fertilizer on Crop Yields, Water and Nitrogen Utilization Under Wheat-Maize Multiple Cropping System. Sci. Agric. Sin. 2018. [Google Scholar] [CrossRef]
- Zhou, A. Development Approach of Soil Fertilizer Utilization in Sustainable Agricultural Development. Mod. Agric. Res. 2020, 2, 61–62. [Google Scholar]
- Naeem, M.; Hussain, M.; Farooq, M.; Farooq, S. Weed flora composition of different barley-based cropping systems under conventional and conservation tillage practices. Phytoparasitica 2021, 49, 751–769. [Google Scholar] [CrossRef]
- Qu, Y.; Can, P.; Guo, H. Factors Affecting the Promotion of Conservation Tillage in Black Soil-The Case of Northeast China. Sustainability 2021, 13, 9563. [Google Scholar] [CrossRef]
- Dong, W.X.; Chun-Sheng, H.U.; Chen, S.Y.; Qin, S.P.; Zhang, Y.M. Effect of conservation tillage on ammonia volatilization from nitrogen fertilizer in winter wheat-summer maize cropping system. Sci. Agric. Sin. 2013, 46, 2278–2284. [Google Scholar]
- Ruisi, P.; Giambalvo, D.; Saia, S.; Di Miceli, G.; Frenda, A.S.; Plaia, A. Conservation tillage in a semiarid Mediterranean environment: Results of 20 years of research. Ital. J. Agron. 2014, 9, 1. [Google Scholar] [CrossRef]
- Chen, X.W.; Liang, A.Z.; Jia, S.X.; Zhang, X.P.; Wei, S.C. Impact of tillage on physical characteristics in a Mollisol of Northeast China. Plant Soil Environ. 2014, 60, 309–313. [Google Scholar]
- Dossou-Yovo, E.R.; Brüggemann, N.; Jesse, N.; Huat, J.; Agbossou, E.K. Reducing soil CO2 emission and improving upland rice yield with no-tillage, straw mulch and nitrogen fertilization in northern Benin. Soil Tillage Res. 2016, 156, 44–53. [Google Scholar] [CrossRef]
- Liang, A.Z.; Yang, X.M.; Zhang, X.P.; Chen, X.W.; Mclaughlin, N.B.; Wei, S.C.; Zhang, Y.; Jia, S.X.; Zhang, S.X. Changes in soil organic carbon stocks under 10-year conservation tillage on a Black soil in Northeast China. J. Agric. Sci. 2016, 154, 1425–1436. [Google Scholar] [CrossRef]
- Zhang, S.X.; Chen, X.W.; Jia, S.X.; Liang, A.Z. The potential mechanism of long-term conservation tillage effects on maize yield in the black soil of Northeast China. Soil Tillage Res. 2015, 154, 84–90. [Google Scholar] [CrossRef]
- Zhang, J.; Zhou, S.; Wang, Z.; Jia, X. Application of 15N Isotope for the Identification of Nitrogen Nutrition Sources of Winter Wheat and Summer Maize in North China Plain. J. Isot. 2019, 32, 299. [Google Scholar]
- Shi, X.H.; Zhang, X.P.; Yang, X.M.; Drury, C.F.; McLaughlin, N.B.; Liang, A.Z.; Fan, R.Q.; Jia, S.X. Correction to contribution of winter soil respiration to annual soil CO2 emission in a mollisol under different tillage practices in northeast china. Glob. Biogeochem. Cycles 2012, 26, 1–11. [Google Scholar] [CrossRef]
- Giacomini, S.J.; Machet, J.M.; Boizard, H.; Recous, S. Dynamics and recovery of fertilizer 15N in soil and winter wheat crop under minimum versus conventional tillage. Soil Tillage Res. 2010, 108, 51–58. [Google Scholar] [CrossRef]
- Bu, R.; Lu, J.; Tao, R.; Liu, B.; Li, X.; Cong, R. Particulate Organic Matter Affects Soil Nitrogen Mineralization under Two Crop Rotation Systems. PLoS ONE 2015, 10, e0143835. [Google Scholar] [CrossRef] [PubMed]
- Ad Viento-Borbe, M.; Linquist, B. Assessing fertilizer N placement on CH4 and N2O emissions in irrigated rice systems. Geoderma 2016, 266, 40–45. [Google Scholar] [CrossRef]
- Lukas, S.; Potthoff, M.; Dyckmans, J.; Joergensen, R.G. Microbial use of 15N-labelled maize residues affected by winter temperature scenarios. Soil Biol. Biochem. 2013, 65, 22–32. [Google Scholar] [CrossRef]
- Zheng, L.H.; Pei, J.B.; Jin, X.X.; Schaeffer, S.; An, T.T.; Wang, J.K. Impact of plastic film mulching and fertilizers on the distribution of straw-derived nitrogen in a soil-plant system based on 15N-labeling. Geoderma 2018, 317, 15–22. [Google Scholar] [CrossRef]
- Harmsen, K.; Garabet, S. A comparison of the isotope-dilution and the difference method for estimating fertilizer nitrogen recovery fractions in crops. III. Experimental. NJAS-Wagening. J. Life Sci. 2003, 51, 237–261. [Google Scholar] [CrossRef][Green Version]
- Khajavi-Shojaei, S.; Moezzi, A.; Norouzi, M.; Taghavi, M. Synthesis modified biochar-based slow-release nitrogen fertilizer increases nitrogen use efficiency and corn (Zea mays L.) growth. Biomass Convers. Biorefinery 2020. [Google Scholar] [CrossRef]
- Li, H.; Gao, H.; Wu, H.; Li, W.; Wang, X.; He, J. Effects of 15 years of conservation tillage on soil structure and productivity of wheat cultivation in northern China. Aust. J. Soil Res. 2007, 45, 344. [Google Scholar] [CrossRef]
- Qin, R.; Stamp, P.; Richner, W. Impact of tillage on maize rooting in a Cambisol and Luvisol in Switzerland. Soil Tillage Res. 2006, 85, 50–61. [Google Scholar] [CrossRef]
- Ma, Y.; Wu, M.; Wang, Y.Q.; Zhou, J.S.; Zhang, S.Q.; Wang, J.W.; Peng, Z.P.; Guo, L.G. Effects of Different Tillage and Fertilization Methods on Nitrogen Utilization and Soil Bulk Density of Summer Maize. J. Soil Water Conserv. 2019, 33, 171–176. [Google Scholar]
- Macdonald, A.J.; Poulton, P.R.; Stockdale, E.A.; Jenkinson, D. The fate of residual15N-labelled fertilizer in arable soils: Its availability to subsequent crops and retention in soil. Plant Soil 2002, 246, 123–137. [Google Scholar] [CrossRef]
- Wander, M.; Magdoff, F.; Ray, R.W. Soil Organic Matter Fractions and Their Relevance to Soil Function. In Soil Organic Matter in Sustainable Agriculture; Magdoff, F., Weil, R.R., Eds.; CRC Press: Boca Raton, FL, USA, 2004. [Google Scholar]
- Sainju, U.M.; Lenssen, A.W.; Caesartonthat, T. Dryland soil nitrogen cycling influenced by tillage, crop rotation, and cultural practice. Nutr. Cycl. Agroecosystems 2012, 93, 309–322. [Google Scholar] [CrossRef]
- Gregorich, E.G.; Beare, M.H.; McKim, U.F.; Skjemstad, J.O. Chemical and biological characteristics of physically uncomplexed organic matter. Soil Sci. Soc. Am. J. 2006, 70, 975–985. [Google Scholar] [CrossRef]
- Liu, S.; Yan, C.G.; He, W.Q.; Chen, B.Q. Effects of different tillage practices on soil water-stable aggregation and organic carbon distribution in dryland farming in Northern China. Acta Ecol. Sin. 2015, 35, 65–69. [Google Scholar] [CrossRef]
- Ramnarine, R.; Voroney, R.P.; Wagner-Riddle, C.; Dunfield, K.E. Conventional and no-tillage effects on the distribution of crop residues and light fraction organic matter. Soil Sci. Soc. Am. J. 2015, 79, 74–80. [Google Scholar] [CrossRef]
- Wang, J.B. Effect of Different Tillage Practices on Soil Organic Carbon Transformation and Water use in Dryland Winter Wheat. Sci. Agric. Sin. 2014, 2–5. Available online: http://www.secheresse.info/spip.php?article68519 (accessed on 8 March 2022).
- Zuo, H.J.; Bai, Y.L.; Lu, Y.L.; Wang, L.; Wang, H.; Wang, Z.Y. Fate of fertilizer nitrogen applied to winter wheat in North China plain based on high abundance of 15N. Sci. Agric. Sin. 2012, 45, 3093–3099. [Google Scholar]
- Thomas, G.A.; Dalal, R.C.; Standley, J. No-till effects on organic matter, pH, cation exchange capacity and nutrient distribution in a Luvisol in the semi-arid subtropics. Soil Tillage Res. 2007, 94, 295–304. [Google Scholar] [CrossRef]
- Shen, X.S.; Qu, H.J.; Li, J.C.; Huang, G.; Chen, S.H.; Liu, D.H. Effects of the Maize Straw Returned to the Field and Tillage Patterns on Nutrition Accumulation and Translocation of Winter Wheat. Acta Bot. Boreali-Occident. Sin. 2012, 32, 143–149. [Google Scholar]
- Davidson, E.A. The contribution of manure and fertilizer nitrogen to atmospheric nitrous oxide since 1860. Nat. Geosci. 2009, 2, 659–662. [Google Scholar] [CrossRef]
- Oorts, K.; Merckx, R.; Eric Gréhan, L.J.; Nicolardot, B. Determinants of annual fluxes of CO2 and N2O in long-term no-tillage and conventional tillage systems in northern France. Soil Tillage Res. 2007, 95, 133–148. [Google Scholar] [CrossRef]
- Flechard, C.R.; Ambus, P.; Skiba, U.; Rees, R.M.; Hensen, A.; Van Amstel, A. Effects of climate and management intensity on nitrous oxideemissions in grassland systems across Europe. Agric. Ecosyst. Environ. 2007, 121, 135–152. [Google Scholar] [CrossRef]
- Chatskikh, D.; Olesen, J.E. Soil tillage enhanced CO2 and N2O emissions from loamy sand soil under spring barley. Soil Tillage Res. 2007, 97, 5–18. [Google Scholar] [CrossRef]
- Ahmad, S.; Li, C.; Dai, G.; Zhan, M.; Wang, J.; Pan, S.; Cao, C. Greenhouse gas emission from direct seeding paddy field under different rice tillage systems in central China. Soil Tillage Res. 2009, 106, 54–61. [Google Scholar] [CrossRef]
- Ussiri, D.A.N.; Lal, R. Long-term tillage effects on soil carbon storage and carbon dioxide emissions in continuous corn cropping system from an alfisol in Ohio. Soil Tillage Res. 2009, 104, 39–47. [Google Scholar] [CrossRef]
- Six, J.; Ogle, S.M.; Breidt, F.J.; Conant, R.T.; Mosier, A.R.; Paustian, K. The potential to mitigate global warming with no-tillage management is only realized when practised in the long term. Glob. Change Biol. 2004, 10, 155–160. [Google Scholar] [CrossRef]
- Rochette, P.; Angers, D.A.; Chantigny, M.H.; Bertrand, N. Nitrous Oxide Emissions Respond Differently to No-Till in a Loam and a Heavy Clay Soil. Soil Sci. Soc. Am. J. 2008, 72, 1363–1369. [Google Scholar] [CrossRef]
- Chen, S.; Lu, F.; Wang, X.K. Estimation of greenhouse gases emission factors for China’s nitrogen, phosphate, and potash fertilizers. Acta Ecol. Sin. 2015, 35, 6371–6383. [Google Scholar]
- Tang, K.; Wang, M.; Zhou, D. Abatement potential and cost of agricultural greenhouse gases in Australian dryland farming system. Environ. Sci. Pollut. Res. 2021, 28, 21862–21873. [Google Scholar] [CrossRef] [PubMed]
- Venterea, R.T.; Burger, M.; Spokas, K.A. Nitrogen Oxide and Methane Emissions under Varying Tillage and Fertilizer Management. J. Environ. Qual. 2005, 34, 1467–1477. [Google Scholar] [CrossRef] [PubMed]
- Marquina, S.; Pérez, T.; Giuliante, A.; Rasse, R.; Donoso, L. NO, N2O and CO2 soil emissions from Venezuelan corn fields under tillage and no-tillage agriculture. Nutr. Cycl. Agroecosystems 2015, 101, 123. [Google Scholar] [CrossRef]
- Wang, W.; Hou, Y.; Pan, W.; Vinay, N.; Wen, X. Continuous application of conservation tillage affects in situ N2O emissions and nitrogen cycling gene abundances following nitrogen fertilization. Soil Biol. Biochem. 2021, 157, 108239. [Google Scholar] [CrossRef]
- Liu, X.; Dong, W.Y.; Jia, S.H.; Liu, Q.L.; Li, Y.Z.; Hossain, M.D.; Liu, E.K.; Kuzyakov, Y. Transformations of N derived from straw under long-term conventional and no-tillage soils: A 15Nlabelling study. Sci. Total Environ. 2021, 786, 147428. [Google Scholar] [CrossRef]
- Chen, H.H.; Liu, y.; Lü, L.P.; Yuan, L.; Jia, J.C.; Chen, X.; Ma, J.; Zhao, Z.C.; Liang, C.; Xie, H.T.; et al. Effects of no-tillage and stover mulching on the transformation and utilization of chemical fertilizer N in Northeast China. Soil Tillage Res. 2021, 213, 105131. [Google Scholar] [CrossRef]
- Grandy, A.S.; Loecke, T.D.; Parr, S.; Robertson, G.P. Long-Term Trends in Nitrous Oxide Emissions, Soil Nitrogen, and Crop Yields of Till and No-Till Cropping Systems. J. Environ. Qual. 2006, 35, 1487–1495. [Google Scholar] [CrossRef]
- Garcia-Marco, S.; Abalos, D.; Espejo, R.; Vallejo, A.; Mariscal-Sancho, I. No tillage and liming reduce greenhouse gas emissions from poorly drained agricultural soils in Mediterranean regions. Sci. Total Environ. 2016, 566–567, 512–520. [Google Scholar] [CrossRef]
- Strudley, M.W.; Green, T.R.; James, I.I. Tillage effects on soil hydraulic properties in space and time: State of the science. Soil Tillage Res. 2008, 99, 4–48. [Google Scholar] [CrossRef]
- Alvarez, R.; Steinbach, H.S. A review of the effects of tillage systems on some soil physical properties, water content, nitrate availability and crops yield in the Argentine Pampas. Soil Tillage Res. 2009, 104, 1–15. [Google Scholar] [CrossRef]
- Van Kessel, C.; Venterea, R.; Six, J.; Adviento-Borbe, M.A. Climate, duration, and N placement determine N2O emissions in reduced tillage systems. Globle Change Biol. 2013, 19, 33–44. [Google Scholar] [CrossRef]
- Hangs, R.D.; Schoenau, J.J.; Lafond, G.P. The effect of nitrogen fertilization and no-till duration on soil nitrogen supply power and post-spring thaw greenhouse-gas emissions. J. Plant Nutr. Soil Sci. 2013, 176, 227–237. [Google Scholar] [CrossRef]
- Choudhary, M.A.; Akramkhanov, A.; Saggar, S. Nitrous oxide emissions from a New Zealand cropped soil:tillage effects, spatial and seasonal variability. Agric. Ecosyst. Environ. 2002, 93, 33–43. [Google Scholar] [CrossRef]
- Liu, X.J.; Mosier, A.R.; Halvorson, A.D.; Zhang, F.S. Tillage and Nitrogen Application Effects on Nitrous and Nitric Oxide Emissions from Irrigated Corn Fields. Plant Soil 2005, 276, 235–249. [Google Scholar] [CrossRef]
- Afshar, R.K.; Mohammed, Y.A.; Chen, C. Enhanced efficiency nitrogen fertilizer effect on camelina production under conventional and conservation tillage practices. Ind. Crops Prod. 2016, 94, 783–789. [Google Scholar] [CrossRef]
- Tian, X.X.; Shen, Q.L.; Zhang, L.; Na, L.I.; Sun, X.; Jing, J.Y. No-tillage with straw mulching could increase grain yield, water and nitrogen use efficiencies of summer maize. J. Plant Nutr. Fertil. 2017, 23, 606–614. [Google Scholar]
- Sainju, U. Long-term tillage and cropping sequence effects on dryland residue and soil carbon fractions. Soil Sci. Soc. Am. J. 2007, 71, 1730–1739. [Google Scholar] [CrossRef]
- Xu, X.; Pang, D.W.; Chen, J.; Luo, Y.L.; Zheng, M.J.; Yin, Y.P.; Li, Y.X.; Li, Y.; Wang, Z.L. Straw return accompany with low nitrogen moderately promoted deep root. Field Crops Res. 2018, 221, 71–80. [Google Scholar] [CrossRef]
- Malhi, S.S.; Nyborg, M.; Solberg, E.D. Influence of source, method of placement and simulated rainfall on the recovery of 15N-labelled fertilizers under zero tillage. Can. J. Soil Sci. 1996, 76, 93–100. [Google Scholar] [CrossRef][Green Version]
Publisher’s Note: MDPI stays neutral with regard to jurisdictional claims in published maps and institutional affiliations. |
© 2022 by the authors. Licensee MDPI, Basel, Switzerland. This article is an open access article distributed under the terms and conditions of the Creative Commons Attribution (CC BY) license (https://creativecommons.org/licenses/by/4.0/).