Particulate Matter Ionic and Elemental Composition during the Winter Season: A Comparative Study among Rural, Urban and Remote Sites in Southern Italy
Abstract
:1. Introduction
2. Experimentals
2.1. Site Description
2.2. Chemical Analysis
Sample Treatment and Analysis
2.3. Meteorological Scenarios
- (a)
- the daily determination of 5-day isentropic back trajectories (starting at 12 h and 500 m agl) using the HYSPLIT (Hybrid Single-Particle Lagrangian Integrated Trajectory) model [30];
- (b)
- the evaluation of daily NCEP/NCAR reanalysis data [31]. Their salient characteristics were a modest spatial resolution (2.5° × 2.5°), a temporal resolution of 6 h, global coverage and the inclusion of observations in the final analysis by means of state-of-the-art data assimilation techniques.
3. Results
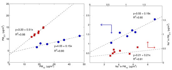
3.1. PM and PM Mass Concentrations
3.2. Ion Composition
3.3. Sea Salt Contribution
3.4. Charge Balance
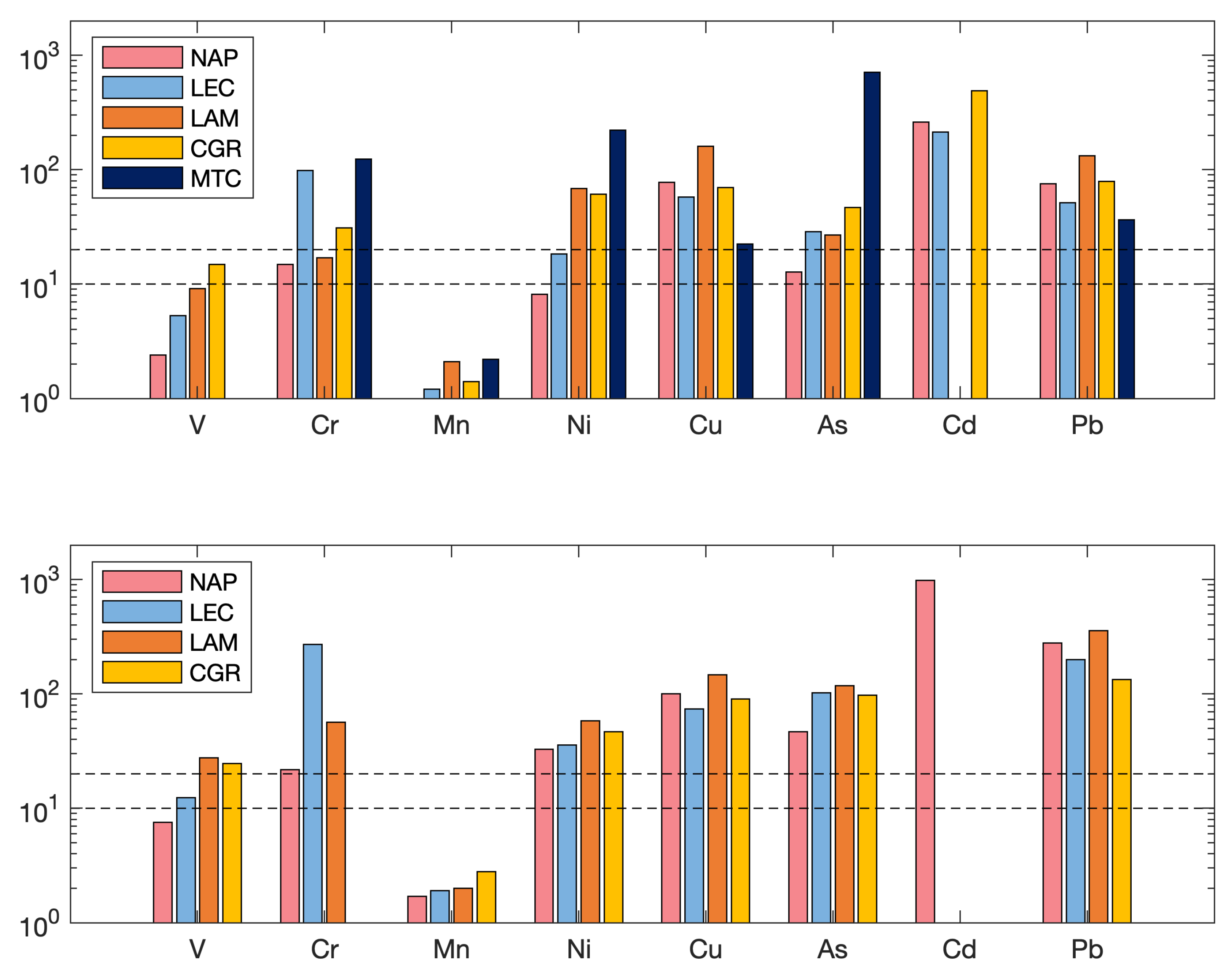
3.5. Concentrations of Elements and Enrichment Factors
4. Summary and Concluding Remarks
Supplementary Materials
Author Contributions
Funding
Data Availability Statement
Conflicts of Interest
References
- Giorgi, F.; Lionello, P. Climate change projections for the Mediterranean region. Glob. Planet. Chang. 2008, 63, 90–104. [Google Scholar] [CrossRef]
- EEA. Air Quality in Europe–2021 Report; Technical Report; European Environment Agency: Copenhagen, Denmark, 2022. [Google Scholar] [CrossRef]
- Chianese, E.; Galletti, A.; Giunta, G.; Landi, T.; Marcellino, L.; Montella, R.; Riccio, A. Spatiotemporally resolved ambient particulate matter concentration by fusing observational data and ensemble chemical transport model simulations. Ecol. Model. 2018, 385, 173–181. [Google Scholar] [CrossRef]
- Agrillo, G.; Chianese, E.; Riccio, A.; Zinzi, A. Modeling and characterization of air pollution: Perspectives and recent developments with a focus on the Campania region (Southern Italy). Int. J. Environ. Res. 2013, 7, 909–916. [Google Scholar]
- Grantz, D.; Garner, J.; Johnson, D. Ecological effects of particulate matter. Environ. Int. 2003, 29, 213–239. [Google Scholar] [CrossRef]
- Holmes, N.S. A review of particle formation events and growth in the atmosphere in the various environments and discussion of mechanistic implications. Atmos. Environ. 2007, 41, 2183–2201. [Google Scholar] [CrossRef] [Green Version]
- Harrison, R.M.; Yin, J. Particulate matter in the atmosphere: Which particle properties are important for its effects on health? Sci. Total Environ. 2000, 249, 85–101. [Google Scholar] [CrossRef]
- Nicolás, J.; Chiari, M.; Crespo, J.; Orellana, I.G.; Lucarelli, F.; Nava, S.; Pastor, C.; Yubero, E. Quantification of Saharan and local dust impact in an arid Mediterranean area by the positive matrix factorization (PMF) technique. Atmos. Environ. 2008, 42, 8872–8882. [Google Scholar] [CrossRef]
- Usher, C.R.; Michel, A.E.; Grassian, V.H. Reactions on mineral dust. Chem. Rev. 2003, 103, 4883–4940. [Google Scholar] [CrossRef]
- Hien, P.; Bac, V.; Thinh, N. Investigation of sulfate and nitrate formation on mineral dust particles by receptor modeling. Atmos. Environ. 2005, 39, 7231–7239. [Google Scholar] [CrossRef]
- Hwang, H.; Ro, C.U. Direct observation of nitrate and sulfate formations from mineral dust and sea-salts using low-Z particle electron probe X-ray microanalysis. Atmos. Environ. 2006, 40, 3869–3880. [Google Scholar] [CrossRef]
- Bonasoni, P.; Cristofanelli, P.; Calzolari, F.; Bonafe, U.; Evangelisti, F.; Stohl, A.; Zauli Sajani, S.; Van Dingenen, R.; Colombo, T.; Balkanski, Y. Aerosol-ozone correlations during dust transport episodes. Atmos. Chem. Phys. 2004, 4, 1201–1215. [Google Scholar] [CrossRef] [Green Version]
- Cristofanelli, P.; Marinoni, A.; Arduini, J.; Bonafè, U.; Calzolari, F.; Colombo, T.; Decesari, S.; Duchi, R.; Facchini, M.; Fierli, F.; et al. Significant variations of trace gas composition and aerosol properties at Mt. Cimone during air mass transport from North Africa–contributions from wildfire emissions and mineral dust. Atmos. Chem. Phys. 2009, 9, 4603–4619. [Google Scholar] [CrossRef] [Green Version]
- Riccio, A.; Chianese, E.; Tirimberio, G.; Prati, M.V. Emission factors of inorganic ions from road traffic: A case study from the city of Naples (Italy). Transp. Res. Part D Transp. Environ. 2017, 54, 239–249. [Google Scholar] [CrossRef]
- Seinfeld, J.H.; Pandis, S.N. Atmospheric Chemistry and Physics: From Air Pollution to Climate Change; John Wiley & Sons: Hoboken, NJ, USA, 2006. [Google Scholar]
- Contini, D.; Cesari, D.; Donateo, A.; Chirizzi, D.; Belosi, F. Characterization of PM10 and PM2.5 and their metals content in different typologies of sites in South-Eastern Italy. Atmosphere 2014, 5, 435–453. [Google Scholar] [CrossRef] [Green Version]
- Monaco, D.; Riccio, A.; Chianese, E.; Adamo, P.; Di Rosa, S.; Fagnano, M. Chemical characterization and spatial distribution of PAHs and heavy hydrocarbons in rural sites of Campania Region, South Italy. Environ. Sci. Pollut. Res. 2015, 22, 14993–15003. [Google Scholar] [CrossRef]
- Chianese, E.; Tirimberio, G.; Appolloni, L.; Dinoi, A.; Contini, D.; Di Gilio, A.; Palmisani, J.; Cotugno, P.; Miniero, D.V.; Dusek, U.; et al. Chemical characterisation of PM10 from ship emissions: A study on samples from hydrofoil exhaust stacks. Environ. Sci. Pollut. Res. 2021, 1–14. [Google Scholar] [CrossRef]
- Sirignano, C.; Riccio, A.; Chianese, E.; Ni, H.; Zenker, K.; D’Onofrio, A.; Meijer, H.A.; Dusek, U. High contribution of biomass combustion to PM2.5 in the city centre of Naples (Italy). Atmosphere 2019, 10, 451. [Google Scholar] [CrossRef] [Green Version]
- Zenker, K.; Sirignano, C.; Riccio, A.; Chianese, E.; Calfapietra, C.; Prati, M.V.; Masalaite, A.; Remeikis, V.; Mook, E.; Meijer, H.A.; et al. δ13C signatures of organic aerosols: Measurement method evaluation and application in a source study. J. Aerosol Sci. 2020, 145, 105534. [Google Scholar] [CrossRef]
- Riccio, A.; Barone, G.; Chianese, E.; Giunta, G. A hierarchical Bayesian approach to the spatio-temporal modeling of air quality data. Atmos. Environ. 2006, 40, 554–566. [Google Scholar] [CrossRef]
- Riccio, A.; Giunta, G.; Chianese, E. The application of a trajectory classification procedure to interpret air pollution measurements in the urban area of Naples (Southern Italy). Sci. Total Environ. 2007, 376, 198–214. [Google Scholar] [CrossRef]
- Cesari, D.; De Benedetto, G.; Bonasoni, P.; Busetto, M.; Dinoi, A.; Merico, E.; Chirizzi, D.; Cristofanelli, P.; Donateo, A.; Grasso, F.; et al. Seasonal variability of PM2.5 and PM10 composition and sources in an urban background site in Southern Italy. Sci. Total Environ. 2018, 612, 202–213. [Google Scholar] [CrossRef] [PubMed]
- Moretti, S.; Tassone, A.; Andreoli, V.; Carbone, F.; Pirrone, N.; Sprovieri, F.; Naccarato, A. Analytical study on the primary and secondary organic carbon and elemental carbon in the particulate matter at the high-altitude Monte Curcio GAW station, Italy. Environ. Sci. Pollut. Res. 2021, 28, 60221–60234. [Google Scholar] [CrossRef] [PubMed]
- Bencardino, M.; Andreoli, V.; D’Amore, F.; Simone, F.D.; Mannarino, V.; Castagna, J.; Moretti, S.; Naccarato, A.; Sprovieri, F.; Pirrone, N. Carbonaceous aerosols collected at the observatory of Monte Curcio in the Southern Mediterranean Basin. Atmosphere 2019, 10, 592. [Google Scholar] [CrossRef] [Green Version]
- Sathrugnan, K.; Balasubramanian, R. Evaluation of a microwave-assisted extraction technique for determination of water-soluble inorganic species in urban airborne particulate matter. Anal. Bioanal. Chem. 2005, 381, 1604–1608. [Google Scholar] [CrossRef]
- Chianese, E.; Tirimberio, G.; Riccio, A. PM2.5 and PM10 in the urban area of Naples: Chemical composition, chemical properties and influence of air masses origin. J. Atmos. Chem. 2019, 76, 151–169. [Google Scholar] [CrossRef]
- Naccarato, A.; Tassone, A.; Cavaliere, F.; Elliani, R.; Pirrone, N.; Sprovieri, F.; Tagarelli, A.; Giglio, A. Agrochemical treatments as a source of heavy metals and rare earth elements in agricultural soils and bioaccumulation in ground beetles. Sci. Total Environ. 2020, 749, 141438. [Google Scholar] [CrossRef]
- Naccarato, A.; Tassone, A.; Martino, M.; Elliani, R.; Sprovieri, F.; Pirrone, N.; Tagarelli, A. An innovative green protocol for the quantification of benzothiazoles, benzotriazoles and benzosulfonamides in PM10 using microwave-assisted extraction coupled with solid-phase microextraction gas chromatography tandem-mass spectrometry. Environ. Pollut. 2021, 285, 117487. [Google Scholar] [CrossRef]
- Stein, A.; Draxler, R.R.; Rolph, G.D.; Stunder, B.J.; Cohen, M.; Ngan, F. NOAA’s HYSPLIT atmospheric transport and dispersion modeling system. Bull. Am. Meteorol. Soc. 2015, 96, 2059–2077. [Google Scholar] [CrossRef]
- Kalnay, E.; Kanamitsu, M.; Kistler, R.; Collins, W.; Deaven, D.; Gandin, L.; Iredell, M.; Saha, S.; White, G.; Woollen, J.; et al. The NCEP/NCAR 40-year reanalysis project. Bull. Am. Meteorol. Soc. 1996, 77, 437–471. [Google Scholar] [CrossRef] [Green Version]
- Querol, X.; Alastuey, A.; Moreno, T.; Viana, M.; Castillo, S.; Pey, J.; Rodríguez, S.; Artiñano, B.; Salvador, P.; Sánchez, M.; et al. Spatial and temporal variations in airborne particulate matter (PM10 and PM2.5) across Spain 1999–2005. Atmos. Environ. 2008, 42, 3964–3979. [Google Scholar] [CrossRef]
- Lazaridis, M.; Dzumbova, L.; Kopanakis, I.; Ondracek, J.; Glytsos, T.; Aleksandropoulou, V.; Voulgarakis, A.; Katsivela, E.; Mihalopoulos, N.; Eleftheriadis, K. PM10 and PM2.5 levels in the Eastern Mediterranean (Akrotiri research station, Crete, Greece). Water Air Soil Pollut. 2008, 189, 85–101. [Google Scholar] [CrossRef]
- Squizzato, S.; Masiol, M.; Brunelli, A.; Pistollato, S.; Tarabotti, E.; Rampazzo, G.; Pavoni, B. Factors determining the formation of secondary inorganic aerosol: A case study in the Po Valley (Italy). Atmos. Chem. Phys. 2013, 13, 1927–1939. [Google Scholar] [CrossRef] [Green Version]
- Barone, G.; D’Ambra, P.; di Serafino, D.; Giunta, G.; Murli, A.; Riccio, A. Application of a parallel photochemical air quality model to the Campania region (southern Italy). Environ. Model. Softw. 2000, 15, 503–511. [Google Scholar] [CrossRef]
- Riccio, A.; Chianese, E.; Agrillo, G.; Esposito, C.; Ferrara, L.; Tirimberio, G. Source apportion of atmospheric particulate matter: A joint Eulerian/Lagrangian approach. Environ. Sci. Pollut. Res. 2014, 21, 13160–13168. [Google Scholar] [CrossRef]
- Riccio, A.; Chianese, E.; Monaco, D.; Costagliola, M.; Perretta, G.; Prati, M.; Agrillo, G.; Esposito, A.; Gasbarra, D.; Shindler, L.; et al. Real-world automotive particulate matter and PAH emission factors and profile concentrations: Results from an urban tunnel experiment in Naples, Italy. Atmos. Environ. 2016, 141, 379–387. [Google Scholar] [CrossRef]
- Nicolas, J.; Galindo, N.; Yubero, E.; Pastor, C.; Esclapez, R.; Crespo, J. Aerosol inorganic ions in a semiarid region on the southeastern Spanish Mediterranean coast. Water Air Soil Pollut. 2009, 201, 149–159. [Google Scholar] [CrossRef]
- Querol, X.; Alastuey, A.; Rodrıguez, S.; Viana, M.; Artınano, B.; Salvador, P.; Mantilla, E.; do Santos, S.G.; Patier, R.F.; de La Rosa, J.; et al. Levels of particulate matter in rural, urban and industrial sites in Spain. Sci. Total Environ. 2004, 334, 359–376. [Google Scholar] [CrossRef]
- Tositti, L.; Riccio, A.; Sandrini, S.; Brattich, E.; Baldacci, D.; Parmeggiani, S.; Cristofanelli, P.; Bonasoni, P. Short-term climatology of PM10 at a high altitude background station in southern Europe. Atmos. Environ. 2013, 65, 142–152. [Google Scholar] [CrossRef]
- Bourcier, L.; Sellegri, K.; Chausse, P.; Pichon, J.; Laj, P. Seasonal variation of water-soluble inorganic components in aerosol size-segregated at the puy de Dôme station (1465 m asl), France. J. Atmos. Chem. 2012, 69, 47–66. [Google Scholar] [CrossRef]
- Galindo, N.; Yubero, E.; Nicolás, J.F.; Crespo, J.; Varea, M.; Gil-Moltó, J. Regional and long-range transport of aerosols at Mt. Aitana, Southeastern Spain. Sci. Total Environ. 2017, 584, 723–730. [Google Scholar] [CrossRef]
- Moroni, B.; Castellini, S.; Crocchianti, S.; Piazzalunga, A.; Fermo, P.; Scardazza, F.; Cappelletti, D. Ground-based measurements of long-range transported aerosol at the rural regional background site of Monte Martano (Central Italy). Atmos. Res. 2015, 155, 26–36. [Google Scholar] [CrossRef]
- Adams, P.J.; Seinfeld, J.H.; Koch, D.M. Global concentrations of tropospheric sulfate, nitrate, and ammonium aerosol simulated in a general circulation model. J. Geophys. Res. Atmos. 1999, 104, 13791–13823. [Google Scholar] [CrossRef]
- Chu, S.H. PM2.5 episodes as observed in the speciation trends network. Atmos. Environ. 2004, 38, 5237–5246. [Google Scholar] [CrossRef]
- Behera, S.N.; Sharma, M.; Aneja, V.P.; Balasubramanian, R. Ammonia in the atmosphere: A review on emission sources, atmospheric chemistry and deposition on terrestrial bodies. Environ. Sci. Pollut. Res. 2013, 20, 8092–8131. [Google Scholar] [CrossRef]
- Sutton, M.; Place, C.; Eager, M.; Fowler, D.; Smith, R. Assessment of the magnitude of ammonia emissions in the United Kingdom. Atmos. Environ. 1995, 29, 1393–1411. [Google Scholar] [CrossRef]
- Perrino, C.; Catrambone, M.; Di Bucchianico, A.D.M.; Allegrini, I. Gaseous ammonia in the urban area of Rome, Italy and its relationship with traffic emissions. Atmos. Environ. 2002, 36, 5385–5394. [Google Scholar] [CrossRef]
- Franco, V.; Kousoulidou, M.; Muntean, M.; Ntziachristos, L.; Hausberger, S.; Dilara, P. Road vehicle emission factors development: A review. Atmos. Environ. 2013, 70, 84–97. [Google Scholar] [CrossRef]
- Fraser, M.P.; Cass, G.R. Detection of excess ammonia emissions from in-use vehicles and the implications for fine particle control. Environ. Sci. Technol. 1998, 32, 1053–1057. [Google Scholar] [CrossRef]
- Kean, A.; Harley, R.; Littlejohn, D.; Kendall, G. On-road measurement of ammonia and other motor vehicle exhaust emissions. Environ. Sci. Technol. 2000, 34, 3535–3539. [Google Scholar] [CrossRef] [Green Version]
- Cape, J.; Tang, Y.; Van Dijk, N.; Love, L.; Sutton, M.; Palmer, S. Concentrations of ammonia and nitrogen dioxide at roadside verges, and their contribution to nitrogen deposition. Environ. Pollut. 2004, 132, 469–478. [Google Scholar] [CrossRef]
- Kean, A.; Littlejohn, D.; Ban-Weiss, G.; Harley, R.; Kirchstetter, T.; Lunden, M. Trends in on-road vehicle emissions of ammonia. Atmos. Environ. 2009, 43, 1565–1570. [Google Scholar] [CrossRef] [Green Version]
- Lewis, E.R.; Schwartz, S.E. Sea Salt Aerosol Production: Mechanisms, Methods, Measurements and Models-A Critical Review; American Geophysical Union: Washington, DC, USA, 2013; pp. 9–99. [Google Scholar]
- Millero, F.J. Chemical oceanography. In Review of Chemical Oceanography, 3rd ed.; Benitez-Nelson, C., Ed.; CRC Press: Boca Raton, FL, USA, 2006; Volume 19, pp. 153–154. [Google Scholar] [CrossRef] [Green Version]
- Savoie, D.; Prospero, J. Water-soluble potassium, calcium, and magnesium in the aerosols over the tropical North Atlantic. J. Geophys. Res. Ocean. 1980, 85, 385–392. [Google Scholar] [CrossRef]
- Song, C.H.; Carmichael, G.R. The aging process of naturally emitted aerosol (sea-salt and mineral aerosol) during long range transport. Atmos. Environ. 1999, 33, 2203–2218. [Google Scholar] [CrossRef]
- Hara, K.; Osada, K.; Matsunaga, K.; Iwasaka, Y.; Shibata, T.; Furuya, K. Atmospheric inorganic chlorine and bromine species in Arctic boundary layer of the winter/spring. J. Geophys. Res. Atmos. 2002, 107, AAC-4. [Google Scholar] [CrossRef]
- Johansen, A.M.; Hoffmann, M.R. Chemical characterization of ambient aerosol collected during the northeast monsoon season over the Arabian Sea: Anions and cations. J. Geophys. Res. Atmos. 2004, 109. [Google Scholar] [CrossRef] [Green Version]
- Li, W.; Shao, L.; Shen, R.; Yang, S.; Wang, Z.; Tang, U. Internally mixed sea salt, soot, and sulfates at Macao, a coastal city in South China. J. Air Waste Manag. Assoc. 2011, 61, 1166–1173. [Google Scholar] [CrossRef]
- Pakkanen, T.A. Study of formation of coarse particle nitrate aerosol. Atmos. Environ. 1996, 30, 2475–2482. [Google Scholar] [CrossRef]
- Zhuang, H.; Chan, C.K.; Fang, M.; Wexler, A.S. Formation of nitrate and non-sea-salt sulfate on coarse particles. Atmos. Environ. 1999, 33, 4223–4233. [Google Scholar] [CrossRef]
- Laskin, A.; Iedema, M.J.; Ichkovich, A.; Graber, E.R.; Taraniuk, I.; Rudich, Y. Direct observation of completely processed calcium carbonate dust particles. Faraday Discuss. 2005, 130, 453–468. [Google Scholar] [CrossRef]
- Contini, D.; Cesari, D.; Genga, A.; Siciliano, M.; Ielpo, P.; Guascito, M.; Conte, M. Source apportionment of size-segregated atmospheric particles based on the major water-soluble components in Lecce (Italy). Sci. Total Environ. 2014, 472, 248–261. [Google Scholar] [CrossRef]
- Dinoi, A.; Cesari, D.; Marinoni, A.; Bonasoni, P.; Riccio, A.; Chianese, E.; Tirimberio, G.; Naccarato, A.; Sprovieri, F.; Andreoli, V.; et al. Inter-Comparison of Carbon Content in PM2.5 and PM10 Collected at Five Measurement Sites in Southern Italy. Atmosphere 2017, 8, 243. [Google Scholar] [CrossRef] [Green Version]
- Schauer, J.J. Evaluation of elemental carbon as a marker for diesel particulate matter. J. Expo. Sci. Environ. Epidemiol. 2003, 13, 443–453. [Google Scholar] [CrossRef] [PubMed] [Green Version]
- Putaud, J.P.; Raes, F.; Van Dingenen, R.; Brüggemann, E.; Facchini, M.C.; Decesari, S.; Fuzzi, S.; Gehrig, R.; Hüglin, C.; Laj, P.; et al. A European aerosol phenomenology–2: Chemical characteristics of particulate matter at kerbside, urban, rural and background sites in Europe. Atmos. Environ. 2004, 38, 2579–2595. [Google Scholar] [CrossRef]
- Oliveira, C.; Pio, C.; Caseiro, A.; Santos, P.; Nunes, T.; Mao, H.; Luahana, L.; Sokhi, R. Road traffic impact on urban atmospheric aerosol loading at Oporto, Portugal. Atmos. Environ. 2010, 44, 3147–3158. [Google Scholar] [CrossRef]
- Shen, Z.; Arimoto, R.; Cao, J.; Zhang, R.; Li, X.; Du, N.; Okuda, T.; Nakao, S.; Tanaka, S. Seasonal Variations and Evidence for the Effectiveness of Pollution Controls on Water-Soluble Inorganic Species in Total Suspended Particulates and Fine Particulate Matter from Xi’an, China. J. Air Waste Manag. Assoc. 2008, 58, 1560–1570. [Google Scholar] [CrossRef]
- Cao, J.J.; Lee, S.C.; Zhang, X.Y.; Chow, J.C.; An, Z.S.; Ho, K.F.; Watson, J.G.; Fung, K.; Wang, Y.Q.; Shen, Z.X. Characterization of airborne carbonate over a site near Asian dust source regions during spring 2002 and its climatic and environmental significance. J. Geophys. Res. Atmos. 2005, 110. [Google Scholar] [CrossRef] [Green Version]
- Davis, B.L.; Jixiang, G. Airborne particulate study in five cities of China. Atmos. Environ. 2000, 34, 2703–2711. [Google Scholar] [CrossRef]
- Alastuey, A.; Querol, X.; Castillo, S.; Escudero, M.; Avila, A.; Cuevas, E.; Torres, C.; Romero, P.M.; Exposito, F.; García, O.; et al. Characterisation of TSP and PM2.5 at Izaña and Sta. Cruz de Tenerife (Canary Islands, Spain) during a Saharan Dust Episode (July 2002). Atmos. Environ. 2005, 39, 4715–4728. [Google Scholar] [CrossRef]
- Koçak, M.; Mihalopoulos, N.; Kubilay, N. Chemical composition of the fine and coarse fraction of aerosols in the northeastern Mediterranean. Atmos. Environ. 2007, 41, 7351–7368. [Google Scholar] [CrossRef]
- Jaafari, J.; Naddafi, K.; Yunesian, M.; Nabizadeh, R.; Hassanvand, M.S.; Ghozikali, M.G.; Shamsollahi, H.R.; Nazmara, S.; Yaghmaeian, K. Characterization, risk assessment and potential source identification of PM10 in Tehran. Microchem. J. 2020, 154, 104533. [Google Scholar] [CrossRef]
- Niu, Y.; Wang, F.; Liu, S.; Zhang, W. Source analysis of heavy metal elements of PM2.5 in canteen in a university in winter. Atmos. Environ. 2021, 244, 117879. [Google Scholar] [CrossRef]
- Bozkurt, Z.; Gaga, E.; Taşpınar, F.; Arı, A.; Pekey, B.; Pekey, H.; Döğeroğlu, T.; Özden Üzmez, Ö. Atmospheric ambient trace element concentrations of PM10 at urban and sub-urban sites: Source apportionment and health risk estimation. Environ. Monit. Assess. 2018, 190, 1–17. [Google Scholar] [CrossRef] [PubMed]
- Ledoux, F.; Kfoury, A.; Delmaire, G.; Roussel, G.; El Zein, A.; Courcot, D. Contributions of local and regional anthropogenic sources of metals in PM2.5 at an urban site in northern France. Chemosphere 2017, 181, 713–724. [Google Scholar] [CrossRef] [PubMed]
- Hsu, C.Y.; Chi, K.H.; Wu, C.D.; Lin, S.L.; Hsu, W.C.; Tseng, C.C.; Chen, M.J.; Chen, Y.C. Integrated analysis of source-specific risks for PM2.5-bound metals in urban, suburban, rural, and industrial areas. Environ. Pollut. 2021, 275, 116652. [Google Scholar] [CrossRef]
- Wedepohl, K. Environmental influences on the chemical composition of shales and clays. Phys. Chem. Earth 1971, 8, 307–333. [Google Scholar] [CrossRef]
- Barbieri, M. The importance of enrichment factor (EF) and geoaccumulation index (Igeo) to evaluate the soil contamination. J. Geol. Geophys. 2016, 5, 1–4. [Google Scholar] [CrossRef]
- Cesari, D.; Contini, D.; Genga, A.; Siciliano, M.; Elefante, C.; Baglivi, F.; Daniele, L. Analysis of raw soils and their re-suspended PM10 fractions: Characterisation of source profiles and enrichment factors. Appl. Geochem. 2012, 27, 1238–1246. [Google Scholar] [CrossRef]











| Acronym | Type | Altitude (m) | # Samples | PM10 (g/m) | # Samples | PM2.5/PM10 (%) |
|---|---|---|---|---|---|---|
| NAP | Urban | 70 | 38 | 38 | 70.1 | |
| LEC | Urban Background | 36 | 35 | 37 | 76.5 | |
| LAM | Industrial | 7 | 41 | 38 | 72.5 | |
| CGR | Marine | 5 | 18 | 15 | 45.0 | |
| MTC | Remote | 1763 | 26 | 31 | 83.3 |
| NAP | LEC | LAM | CGR | MTC | |
|---|---|---|---|---|---|
| Mg/Na | — — | — — | |||
| Ca/Na | — — | — — | |||
| K/Na | — — | — — | |||
| Mg/Na | — — | — — | — — | ||
| Ca/Na | — — | — — | — — | ||
| K/Na | — — | — — |
| PM10 | PM2.5 | |||||||||
|---|---|---|---|---|---|---|---|---|---|---|
| NAP | LEC | LAM | CGR | MTC | NAP | LEC | LAM | CGR | MTC | |
| NaCl | 0.9 (1.6%) | 0.5 (1.4%) | 0.7 (7.2%) | 5.3 (22.2%) | 0.1 (2.1%) | 0.4 (0.9%) | 0.1 (0.4%) | 0.1 (1.5%) | 1.7 (15.4%) | – |
| (NH)SO | 2.4 (4.6%) | 2.7 (8.0%) | 1.9 (18.5%) | 0.8 (3.4%) | 0.6 (15.7%) | 2.1 (5.4%) | 1.8 (7.1%) | 0.6 (8.0%) | 0.5 (4.6%) | 0.2 (6.2%) |
| NHNO | 5.7 (10.8%) | 1.4 (4.2%) | 0.2 (2.1%) | – | 0.1 (1.6%) | 5.2 (13.3%) | 0.6 (2.5%) | – | – | – |
| NaNO | 1.7 (3.2%) | 1.0 (2.9%) | 0.9 (8.4%) | 1.4 (5.7%) | – | 0.3 (0.9%) | 0.4 (1.6%) | 0.4 (4.9%) | 0.6 (5.6%) | – |
| NaSO | – | – | – | – | – | – | 0.1 (0.5%) | – | 0.6 (5.8%) | – |
| CaSO | 0.1 (0.3%) | 0.1 (0.5%) | 0.2 (2.2%) | 1.4 (6.1%) | – | 0.1 (0.3%) | – | 0.1 (1.4%) | 0.5 (5.3%) | – |
| Ca(NO) | 2.1 (4.0%) | 2.1 (6.4%) | 0.3 (2.6%) | 0.1 (0.4%) | 0.1 (3.1%) | 0.8 (2.1%) | – | – | – | – |
| KNO | 0.1 (0.3%) | – | 0.2 (2.2%) | 0.3 (1.5%) | – | 0.1 (0.4%) | 0.7 (2.8%) | 0.5 (7.0%) | – | – |
| KSO | 0.3 (0.6%) | – | – | – | – | – | 0.1 (0.4%) | 0.1 (1.8%) | – | – |
| NAP (Urban) | LEC (Urban Background) | LAM (Indutrial) | ||||||||||
|---|---|---|---|---|---|---|---|---|---|---|---|---|
| Mean | SD | Min | Max | Mean | SD | Min | Max | Mean | SD | Min | Max | |
| V | 2.7 | 2.0 | 0.2 | 11.6 | 3.6 | 2.2 | 0.2 | 9.3 | 1.9 | 1.2 | <LOD | 5.3 |
| Cr | 10.2 | 4.6 | 0.8 | 19.9 | 40.6 | 35.5 | 0.3 | 90.7 | 2.2 | 2.5 | 0.1 | 7.1 |
| Mn | 10.0 | 5.3 | 0.8 | 24.1 | 7.7 | 3.9 | <LOD | 20.2 | 4.4 | 3.9 | <LOD | 17.2 |
| Fe | 612.6 | 332.1 | 48.6 | 1273.8 | 386.5 | 230.8 | 38.0 | 1082.4 | 120.0 | 83.0 | 7.3 | 341.8 |
| Ni | 3.0 | 1.2 | 0.4 | 6.1 | 4.2 | 3.8 | 0.1 | 13.4 | 5.4 | 3.9 | 0.2 | 16.2 |
| Cu | 22.4 | 11.6 | 1.6 | 45.9 | 10.6 | 7.2 | 1.1 | 33.1 | 8.7 | 23.7 | 0.1 | 153.6 |
| As | 0.5 | 0.3 | <LOD | 1.3 | 0.7 | 0.7 | 0.1 | 3.9 | 0.3 | 0.4 | <LOD | 2.0 |
| Cd | 0.8 | 1.4 | <LOD | 9.1 | 0.3 | 0.1 | <LOD | 0.6 | <LOD | <LOD | <LOD | 2.2 |
| Pb | 25.0 | 15.7 | 1.4 | 61.0 | 11.2 | 8.3 | 0.8 | 33.5 | 7.2 | 11.8 | 0.1 | 50.7 |
| CGR (Marine) | MTC (Remote) | |||||||||||
| Mean | SD | Min | Max | Mean | SD | Min | Max | |||||
| V | 2.4 | 2.3 | <LOD | 7.9 | <LOD | <LOD | <LOD | <LOD | ||||
| Cr | 4,3 | 1.0 | 1.9 | 6.1 | 3.9 | 10.3 | <LOD | 34.9 | ||||
| Mn | 2.9 | 0.9 | 1,4 | 4.6 | 1.1 | 1.2 | <LOD | 2.7 | ||||
| Fe | 117.4 | 31.9 | 60.1 | 168.1 | 28.0 | 36.4 | 0.2 | 139.2 | ||||
| Ni | 4.0 | 4.1 | 0.8 | 18.6 | 3.8 | 7.0 | 0.2 | 16.2 | ||||
| Cu | 3.5 | 3.0 | 0.6 | 12.0 | 0.2 | 0.2 | <LOD | 0.4 | ||||
| As | 0.3 | 0.3 | 0.1 | 0.8 | 1.2 | 1.2 | 0.1 | 4.2 | ||||
| Cd | 0.2 | 0.1 | 0.1 | 0.5 | <LOD | <LOD | <LOD | <LOD | ||||
| Pb | 4.7 | 3.2 | 0.6 | 13.2 | 0.3 | 0.4 | <LOD | 0.6 | ||||
| Lahore, Pakistan a (Urban) | Düzce, Turkey b (Urban) | Düzce b, Turkey (Semi-Urban) | Tehran, Iran c (Remote) | |||||||||
| Mean | SD | Mean | SD | Mean | SD | Mean | SD | |||||
| V | <LOD | <LOD | 2.6 | 2.1 | 1.1 | 0.6 | 2.99 | 1.04 | ||||
| Cr | 30 | 10 | 14.7 | 6.4 | 15.8 | 6.4 | 12.55 | 5.66 | ||||
| Mn | 300 | 100 | 29 | 28.1 | 11.1 | 8.4 | 28.04 | 13.41 | ||||
| Fe | 8200 | 1900 | 2500 | 2200 | 1000 | 700 | 1749.4 | 626.3 | ||||
| Ni | 20 | 7 | 11.8 | 4.4 | 11.7 | 6.4 | 6.98 | 2.62 | ||||
| Cu | 73 | 33 | 12.4 | 10.3 | 4.3 | 3.6 | 147 | 63.24 | ||||
| As | <LOD | <LOD | 1.8 | 1 | 0.7 | 0.4 | 2.61 | 2.53 | ||||
| Cd | 77 | 77 | 0.6 | 0.3 | 0.3 | 0.1 | 3.88 | 1.08 | ||||
| Pb | 4400 | 3400 | 21.1 | 16.2 | 8.8 | 4 | 26.68 | 11.52 | ||||
| NAP (Urban) | LEC (Urban Background) | LAM (Indutrial) | ||||||||||
|---|---|---|---|---|---|---|---|---|---|---|---|---|
| Mean | SD | Min | Max | Mean | SD | Min | Max | Mean | SD | Min | Max | |
| V | 1.5 | 1.1 | 0.2 | 5.9 | 1.5 | 1.2 | 0.1 | 4.5 | 1.5 | 0.9 | 0.2 | 3.8 |
| Cr | 2.7 | 2.6 | 0.1 | 12.9 | 18.8 | 15.3 | 0.1 | 34.5 | 1.9 | 2.1 | 0.1 | 5.6 |
| Mn | 3.2 | 2.4 | 0.1 | 14.5 | 1.8 | 2.1 | 0.2 | 8.3 | 1.1 | 0.8 | 0.2 | 4.7 |
| Fe | 109.9 | 51.7 | 15.0 | 257.4 | 54.9 | 43.7 | 1.2 | 167.9 | 34.5 | 29.3 | 1.1 | 145.7 |
| Ni | 2.1 | 0.9 | 0.3 | 4.3 | 1.3 | 1.3 | 0.2 | 4.2 | 1.2 | 1.0 | 0.1 | 3.1 |
| Cu | 5.2 | 3.8 | 1.1 | 21.8 | 2.3 | 1.7 | 0.1 | 8.0 | 2.4 | 4.5 | 0.1 | 23.5 |
| As | 0.4 | 0.1 | 0.2 | 0.5 | 0.5 | 0.4 | <LOD | 2.5 | 0.4 | 0.3 | 0.1 | 1.0 |
| Cd | 0.4 | 0.2 | 0.1 | 0.7 | <LOD | <LOD | <LOD | 0.2 | <LOD | <LOD | <LOD | 0.9 |
| Pb | 16.6 | 11.9 | 1.5 | 55.6 | 8.0 | 6.2 | 0.5 | 24.0 | 4.7 | 7.0 | 0.1 | 34.0 |
| CGR (Marine) | MTC (Remote) | |||||||||||
| Mean | SD | Min | Max | Mean | SD | Min | Max | |||||
| V | 1.5 | 1.3 | 0.2 | 4.8 | <LOD | <LOD | <LOD | <LOD | ||||
| Cr | <LOD | <LOD | <LOD | <LOD | <LOD | <LOD | <LOD | <LOD | ||||
| Mn | 1.5 | 0.2 | 1.2 | 1.8 | <LOD | <LOD | <LOD | <LOD | ||||
| Fe | 32.3 | 11.5 | 15.8 | 62.7 | <LOD | <LOD | <LOD | <LOD | ||||
| Ni | 1.1 | 1.6 | <LOD | 3.5 | <LOD | <LOD | <LOD | <LOD | ||||
| Cu | 1.3 | 0.8 | 0.3 | 3.3 | <LOD | <LOD | <LOD | <LOD | ||||
| As | 0.2 | 0.1 | 0.1 | 0.4 | <LOD | <LOD | <LOD | <LOD | ||||
| Cd | <LOD | <LOD | <LOD | <LOD | <LOD | <LOD | <LOD | <LOD | ||||
| Pb | 2.4 | 1.1 | 0.7 | 4.1 | <LOD | <LOD | <LOD | <LOD | ||||
| Saint-Omer, France a (Urban) | Taipei, Taiwan b (Urban) | Hualien, Taiwan (Rural) | Chiayi, Taiwan b (Suburban) | |||||||||
| Mean | SD | Mean | SD | Mean | SD | Mean | SD | |||||
| V | 3.98 | 3.44 | 4.32 | 2.86 | 2.55 | 1.74 | 5.28 | 3.27 | ||||
| Cr | 0.74 | 0.53 | 13.20 | 92.7 | 5.82 | 39.20 | 2.95 | 5.04 | ||||
| Mn | 4.18 | 4.94 | 6.43 | 4.89 | 2.36 | 2.69 | 8.55 | 5.75 | ||||
| Fe | 52.1 | 41.8 | 142.0 | 78.4 | 57.2 | 95.9 | 138.0 | 211 | ||||
| Ni | 2.91 | 2.18 | 10.90 | 10.20 | 1.69 | 3.70 | 3.33 | 5.00 | ||||
| Cu | 3.11 | 4.79 | 6.12 | 4.63 | 2.02 | 2.86 | 5.94 | 5.33 | ||||
| As | 1.35 | 1.28 | 0.91 | 0.78 | 0.79 | 0.81 | 1.24 | 1.04 | ||||
| Cd | 0.51 | 0.53 | 0.36 | 1.03 | 0.33 | 1.21 | 0.64 | 1.30 | ||||
| Pb | 18.2 | 19.7 | 6.58 | 5.42 | 4.46 | 4.34 | 20.3 | 20.5 | ||||
Publisher’s Note: MDPI stays neutral with regard to jurisdictional claims in published maps and institutional affiliations. |
© 2022 by the authors. Licensee MDPI, Basel, Switzerland. This article is an open access article distributed under the terms and conditions of the Creative Commons Attribution (CC BY) license (https://creativecommons.org/licenses/by/4.0/).
Share and Cite
Chianese, E.; Tirimberio, G.; Dinoi, A.; Cesari, D.; Contini, D.; Bonasoni, P.; Marinoni, A.; Andreoli, V.; Mannarino, V.; Moretti, S.; et al. Particulate Matter Ionic and Elemental Composition during the Winter Season: A Comparative Study among Rural, Urban and Remote Sites in Southern Italy. Atmosphere 2022, 13, 356. https://doi.org/10.3390/atmos13020356
Chianese E, Tirimberio G, Dinoi A, Cesari D, Contini D, Bonasoni P, Marinoni A, Andreoli V, Mannarino V, Moretti S, et al. Particulate Matter Ionic and Elemental Composition during the Winter Season: A Comparative Study among Rural, Urban and Remote Sites in Southern Italy. Atmosphere. 2022; 13(2):356. https://doi.org/10.3390/atmos13020356
Chicago/Turabian StyleChianese, Elena, Giuseppina Tirimberio, Adelaide Dinoi, Daniela Cesari, Daniele Contini, Paolo Bonasoni, Angela Marinoni, Virginia Andreoli, Valentino Mannarino, Sacha Moretti, and et al. 2022. "Particulate Matter Ionic and Elemental Composition during the Winter Season: A Comparative Study among Rural, Urban and Remote Sites in Southern Italy" Atmosphere 13, no. 2: 356. https://doi.org/10.3390/atmos13020356
APA StyleChianese, E., Tirimberio, G., Dinoi, A., Cesari, D., Contini, D., Bonasoni, P., Marinoni, A., Andreoli, V., Mannarino, V., Moretti, S., Naccarato, A., Sprovieri, F., Ammoscato, I., Calidonna, C. R., Gullì, D., & Riccio, A. (2022). Particulate Matter Ionic and Elemental Composition during the Winter Season: A Comparative Study among Rural, Urban and Remote Sites in Southern Italy. Atmosphere, 13(2), 356. https://doi.org/10.3390/atmos13020356

