Research on Outdoor Thermal Comfort of Children’s Activity Space in High-Density Urban Residential Areas of Chongqing in Summer
Abstract
1. Introduction
2. Methods
2.1. Study Area
2.2. Measurement Campaign
2.3. Questionnaire Survey
2.4. Clothing Insulation and Metabolic Rate
2.5. Thermal Comfort Indices
3. Results
3.1. Experimental Results
3.2. Questionnaire Survey Results
3.3. Thermal Sensation Vote (TSV)
3.4. Meteorological Factors Preference Vote
3.5. Overall Thermal Comfort Vote (OTCV)
3.6. Thermal Acceptability Vote (TAV)
3.7. Universal Thermal Climate Index (UTCI)
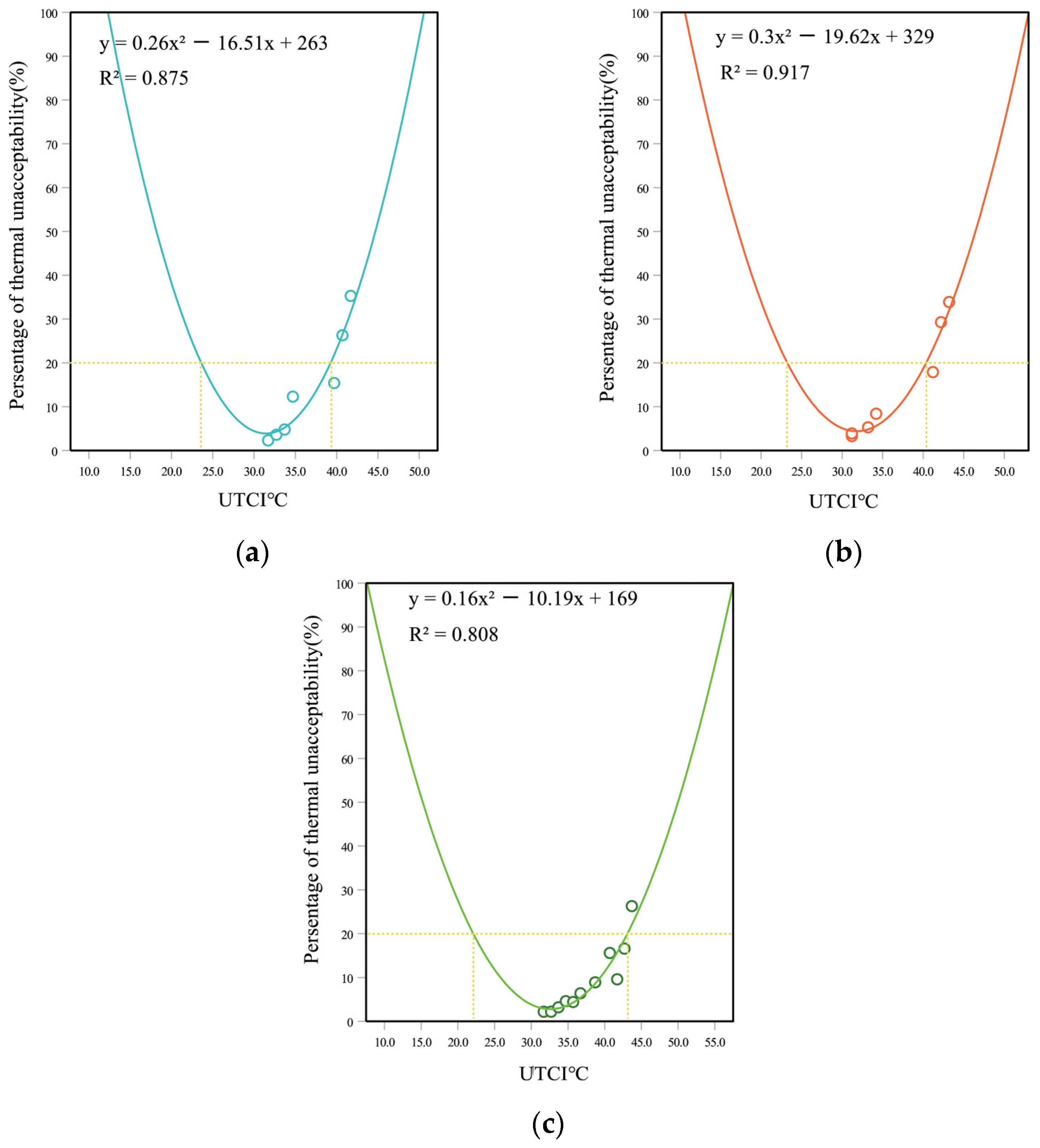
3.8. Thermal Accptable Range (TAR)
3.9. Thermal Adaptive Behaviors
4. Discussion
4.1. Most Comfortable Type of Children’s Activity Areas
4.2. Factors Affecting Human Thermal Comfortable
4.3. Neutral UTCI (NUTCI) and Neutral UTCI Range (NUTCIR)
4.4. Thermal Acceptability Range (TAR)
4.5. Limitations of this Study
5. Conclusions
- Different landscape types of children’s activity spaces have different effects on outdoor thermal comfort, and gender differences also affect outdoor thermal comfort in the same type of children’s activity space. Studies have shown that children’s activity spaces with high vegetation cover (R3) are the most comfortable landscape spaces in summer.
- Global radiation (G) and air temperature (Ta) were the primary meteorological factors influencing children’s thermal sensations. In summer, the enhancement of wind speed can effectively improve outdoor thermal comfort in children’s activity spaces in high-density residential areas.
- Outdoor thermal comfort of children’s activity spaces in high-density urban residential areas was inferior overall. Thermal sensation voting (TSV) has a strong positive relationship with overall thermal comfort voting (OTCV) and thermal acceptability voting (TAV), and the results for all three questions are very similar.
- Neutral UTCI (NUTCI) for males and females in Chongqing were 22.2 °C and 21.8 °C, NUTCI range (NUTCIR) was 18.4 to 26.1 °C for males and 16.2 to 27.3 °C for females, indicating that females in high-density urban residential areas in summer had lower thermal sensitivity than males. The thermal acceptable range (TAR) of 80% was 23.2–39.1 °C for males, 22.8–40.3 °C for females, and for all child respondents 23.1–42.3 °C, respectively. This reflected a broader range of thermal acceptability for female children.
Author Contributions
Funding
Institutional Review Board Statement
Informed Consent Statement
Data Availability Statement
Acknowledgments
Conflicts of Interest
Appendix A

References
- United Nations Human Settlements Programme. World Cities Report 2020: The Value of Sustainable Urbanization; United Nations: Nairobi, Kenya, 2020; Available online: https://www.un-ilibrary.org/content/books/9789210054386 (accessed on 27 October 2022).
- Lyu, T.; Buccolieri, R.; Gao, Z. A Numerical Study on the Correlation between Sky View Factor and Summer Microclimate of Local Climate Zones. Atmosphere 2019, 10, 438. [Google Scholar] [CrossRef]
- Yin, Q.; Cao, Y.; Sun, C. Research on outdoor thermal comfort of high-density urban center in severe cold area. Build. Environ. 2021, 200, 107938. [Google Scholar] [CrossRef]
- Zhang, X.; Steeneveld, G.-J.; Zhou, D.; Duan, C.; Holtslag, B. A diagnostic equation for the maximum urban heat island effect of a typical Chinese city: A case study for Xi’an. Build. Environ. 2019, 158, 39–50. [Google Scholar] [CrossRef]
- Linares, C.; Diaz, J. Impact of high temperatures on hospital admissions: Comparative analysis with previous studies about mortality (Madrid). Eur. J. Public Health 2007, 18, 317–322. [Google Scholar] [CrossRef] [PubMed]
- Li, K.; Zhang, Y.; Zhao, L. Outdoor thermal comfort and activities in the urban residential community in a humid subtropical area of China. Energy Build. 2016, 133, 498–511. [Google Scholar] [CrossRef]
- ASHRAE55; Thermal Environmental Conditions for Human Occupancy (Ansi/Ashrae Standard). American Society of Heating, Refrigerating and Air-Conditioning Engineers: Atlanta, GA, USA, 2017.
- Huang, B.; Hong, B.; Tian, Y.; Yuan, T.; Su, M. Outdoor thermal benchmarks and thermal safety for children: A study in China’s cold region. Sci. Total. Environ. 2021, 787, 147603. [Google Scholar] [CrossRef]
- Vanos, J.K. Childrens health and vulnerability in outdoor microclimates: A comprehensive review. Environ. Int. 2015, 76, 1–15. [Google Scholar] [CrossRef]
- Djongyang, N.; Tchinda, R.; Njomo, D. Thermal comfort: A review paper. Renew. Sustain. Energy Rev. 2010, 14, 2626–2640. [Google Scholar] [CrossRef]
- Winquist, A.; Grundstein, A.; Chang, H.H.; Hess, J.; Sarnat, S.E. Warm season temperatures and emergency department visits in Atlanta, Georgia. Environ. Res. 2016, 147, 314–323. [Google Scholar] [CrossRef]
- Ebi, K.L.; Paulson, J.A. Climate Change and Child Health in the United States. Curr. Probl. Pediatr. Adolesc. Health Care 2010, 40, 2–18. [Google Scholar] [CrossRef]
- Chen, Q.; Lin, C.; Guo, D.; Hou, Y.; Lai, D. Studies of outdoor thermal comfort in northern China. Build. Environ. 2014, 77, 110–118. [Google Scholar] [CrossRef]
- Cheng, W.; Brown, R.D. An energy budget model for estimating the thermal comfort of children. Int. J. Biometeorol. 2020, 64, 1355–1366. [Google Scholar] [CrossRef] [PubMed]
- Nam, I.; Yang, J.; Lee, D.; Park, E.; Sohn, J.-R. A study on the thermal comfort and clothing insulation characteristics of preschool children in Korea. Build. Environ. 2015, 92, 724–733. [Google Scholar] [CrossRef]
- Huang, J.; Zhou, C.; Zhuo, Y.; Xu, L.; Jiang, Y. Outdoor thermal environments and activities in open space: An experiment study in humid subtropical climates. Build. Environ. 2016, 103, 238–249. [Google Scholar] [CrossRef]
- Olsen, H.; Kennedy, E.; Vanos, J. Shade provision in public playgrounds for thermal safety and sun protection: A case study across 100 play spaces in the United States. Landsc. Urban Plan. 2019, 189, 200–211. [Google Scholar] [CrossRef]
- Peel, M.C.; Finlayson, B.L.; McMahon, T.A. Updated world map of the Köppen-Geiger climate classification. Hydrol. Earth Syst. Sci. 2007, 11, 1633–1644. [Google Scholar] [CrossRef]
- Climatic Data Center of China Meteorological Administration. Meteorological Data for Built Environmental Analysis in China; China Architecture & Building Press: Beijing, China, 2005. [Google Scholar]
- Li, K.; Amatus, G. Spatiotemporal changes of heat waves and extreme temperatures in the main cities of China from 1955 to 2014. Nat. Hazards Earth Syst. Sci. 2020, 20, 1889–1901. [Google Scholar] [CrossRef]
- Yao, R.; Luo, Q.; Luo, Z.; Jiang, L.; Yang, Y. An integrated study of urban microclimates in Chongqing, China: Historical weather data, transverse measurement and numerical simulation. Sustain. Cities Soc. 2015, 14, 187–199. [Google Scholar] [CrossRef]
- Deng, Y.; Gan, D.; Tang, N.; Cai, Z.; Li, X.; Chen, S.; Li, X. Research on Outdoor Thermal Comfort and Activities in Residential Areas in Subtropical China. Atmosphere 2022, 13, 1357. [Google Scholar] [CrossRef]
- ISO International Standard 7726; Thermal Environments: Instruments and Methods for Measuring Physical Quantities. International Standard Organization: Geneva, Switzerland, 1998.
- Antoniadis, D.; Katsoulas, N.; Papanastasiou, D. Thermal Environment of Urban Schoolyards: Current and Future Design with Respect to Children’s Thermal Comfort. Atmosphere 2020, 11, 1144. [Google Scholar] [CrossRef]
- Haddad, S.; King, S.; Osmond, P.; Heidari, S. Questionnaire design to determine children’s thermal sensation, preference and acceptability in the classroom. In Proceedings of the PLEA 2012—28th International Conference: Opportunities, Limits & Needs, towards an Environmentally Responsible Architecture, Lima, Peru, 7–9 November 2012. [Google Scholar]
- ISO International Standard 7730; Ergonomics of the Thermal Environment Analytical Determination and Interpretation of Thermal Comfort Using Calculation of the PMV and PPD Indices and Local Thermal Comfort Criteria. International Standard Organization: Geneva, Switzerland, 2005.
- Havenith, G. Metabolic rate and clothing insulation data of children and adolescents during various school activities. Ergonomics 2007, 50, 1689–1701. [Google Scholar] [CrossRef] [PubMed]
- ISO International Standard 9920; Ergonomics of the Thermal Environment—Estimation of Thermal Insulation and Water Vapour Resistance of a Clothing Ensemble. International Standard Organization: Geneva, Switzerland, 2007.
- De Freitas, C.R.; Grigorieva, E. A comparison and appraisal of a comprehensive range of human thermal climate indices. Int. J. Biometeorol. 2016, 61, 487–512. [Google Scholar] [CrossRef] [PubMed]
- Potchter, O.; Cohen, P.; Lin, T.-P.; Matzarakis, A. Outdoor human thermal perception in various climates: A comprehensive review of approaches, methods and quantification. Sci. Total Environ. 2018, 631–632, 390–406. [Google Scholar] [CrossRef] [PubMed]
- Jendritzky, G.; de Dear, R.; Havenith, G. UTCI—Why another thermal index? Int. J. Biometeorol. 2012, 56, 421–428. [Google Scholar] [CrossRef] [PubMed]
- Binarti, F.; Koerniawan, M.D.; Triyadi, S.; Utami, S.S.; Matzarakis, A. A review of outdoor thermal comfort indices and neutral ranges for hot-humid regions. Urban Clim. 2019, 31, 100531. [Google Scholar] [CrossRef]
- Broede, P.; Fiala, D.; Blazejczyk, K.; Holmér, I.; Jendritzky, G.; Kampmann, B.; Tinz, B.; Havenith, G. Deriving the operational procedure for the Universal Thermal Climate Index (UTCI). Int. J. Biometeorol. 2011, 56, 481–494. [Google Scholar] [CrossRef]
- Matzarakis, A.; Rutz, F.; Mayer, H. Modelling radiation fluxes in simple and complex environments: Basics of the RayMan model. Int. J. Biometeorol. 2010, 54, 131–139. [Google Scholar] [CrossRef]
- Lai, D.; Lian, Z.; Liu, W.; Guo, C.; Liu, W.; Liu, K.; Chen, Q. A comprehensive review of thermal comfort studies in urban open spaces. Sci. Total. Environ. 2020, 742, 140092. [Google Scholar] [CrossRef]
- Lindner-Cendrowska, K.; Błażejczyk, K. Impact of selected personal factors on seasonal variability of recreationist weather perceptions and preferences in Warsaw (Poland). Int. J. Biometeorol. 2016, 62, 113–125. [Google Scholar] [CrossRef]
- Cheung, P.K.; Jim, C. Determination and application of outdoor thermal benchmarks. Build. Environ. 2017, 123, 333–350. [Google Scholar] [CrossRef]
- Aljawabra, F.; Nikolopoulou, M. Thermal comfort in urban spaces: A cross-cultural study in the hot arid climate. Int. J. Biometeorol. 2018, 62, 1901–1909. [Google Scholar] [CrossRef] [PubMed]
- Wei, D.; Yang, L.; Bao, Z.; Lu, Y.; Yang, H. Variations in outdoor thermal comfort in an urban park in the hot-summer and cold-winter region of China. Sustain. Cities Soc. 2021, 77, 103535. [Google Scholar] [CrossRef]
- Mishra, A.K.; Ramgopal, M. Field studies on human thermal comfort—An overview. Build. Environ. 2013, 64, 94–106. [Google Scholar] [CrossRef]
- Xu, M.; Hong, B.; Mi, J.; Yan, S. Outdoor thermal comfort in an urban park during winter in cold regions of China. Sustain. Cities Soc. 2018, 43, 208–220. [Google Scholar] [CrossRef]
- Wang, Y.; Ni, Z.; Peng, Y.; Xia, B. Local variation of outdoor thermal comfort in different urban green spaces in Guangzhou, a subtropical city in South China. Urban For. Urban Green. 2018, 32, 99–112. [Google Scholar] [CrossRef]
- Yao, J.; Yang, F.; Zhuang, Z.; Shao, Y.; Yuan, P.F. The effect of personal and microclimatic variables on outdoor thermal comfort: A field study in a cold season in Lujiazui CBD, Shanghai. Sustain. Cities Soc. 2018, 39, 181–188. [Google Scholar] [CrossRef]
- Cheng, B.; Gou, Z.; Zhang, F.; Feng, Q.; Huang, Z. Thermal comfort in urban mountain parks in the hot summer and cold winter climate. Sustain. Cities Soc. 2019, 51, 101756. [Google Scholar] [CrossRef]
- Kumar, P.; Sharma, A. Assessing outdoor thermal comfort conditions at an urban park during summer in the hot semi-arid region of India. Mater. Today Proc. 2021, 61, 356–369. [Google Scholar] [CrossRef]
- An, L.; Hong, B.; Cui, X.; Geng, Y.; Ma, X. Outdoor thermal comfort during winter in China’s cold regions: A comparative study. Sci. Total Environ. 2021, 768, 144464. [Google Scholar] [CrossRef]
- Zhang, L.; Wei, D.; Hou, Y.; Du, J.; Liu, Z.; Zhang, G.; Shi, L. Outdoor Thermal Comfort of Urban Park—A Case Study. Sustainability 2020, 12, 1961. [Google Scholar] [CrossRef]











| Residential Area | Basic Parameters | Space Characteristics | Fish-Eye Photos |
|---|---|---|---|
| R1 | Area: 1617.9 m2 Greening Rate: 32.3% Volume Rate: 2.9 Building Density: 43.6% Inhabitants: 6439 Building Years: 2012 | The R1 site is located southeast of the residential community, with open design space. The internal children’s recreational facilities are complete. The site has low vegetation coverage and is surrounded by low shrubs and lawns. | ![]() SVF:0.33 |
| R2 | Area: 1056.3 m2 Greening Rate: 25.7% Volume Rate: 3.5 Building Density: 38.7% Inhabitants: 6332 Building Years: 2015 | Three artificial lakes surround the R2 site in an enclosed design. The children’s activity area is moderate in size, and the internal children’s recreational facilities are complete. Tall trees and shrubs surround the space. | ![]() SVF:0.11 |
| R3 | Area: 968.7 m2 Greening Rate: 35.9% Volume Rate: 3.9 Building Density: 36.5% Inhabitants: 4542 Building Years: 2015 | The R3 site is located on the east side of the residential community, and the children’s activity space covers a large area with an enclosed design. The site has high vegetation coverage and good shading in summer. The vegetation types are mostly tall trees and shrubs. | ![]() SVF:0.05 |
| Number | Parameter | Brand and Model | Range | Accuracy |
|---|---|---|---|---|
| 1 | Air temperature | Kestrel5500 | −29~70 °C | ±0.5 °C |
| Relative humidity | 10~90% | ±2% | ||
| Wind speed | 0.6~40 m/s | ±3% | ||
| 2 | Global solar radiation | TES-1333 | 0~2000 W/m2 | ±5% |
| 3 | Black globe temperature | RS-HQ | 40.0~120.0 °C | ±0.1 °C |
| Activity | Activity Intensity | Met | W/m2 |
|---|---|---|---|
| Reclining | 1 | 0.8 | 39.0 |
| Seated | 2 | 1 | 48.8 |
| Standing | 3 | 1.2 | 58.6 |
| Walking | 4 | 2.0 | 97.6 |
| Running | 5 | 2.6 | 126.9 |
| Exercising | 6 | 3.1 | 151.3 |
| UTCI (°C) | Thermal Stress Category |
|---|---|
| ≥+46 | Extreme heat stress |
| +38 to +46 | Very strong heat stress |
| +32 to +38 | Strong heat stress |
| +26 to +32 | Moderate heat stress |
| +9 to +26 | No thermal stress |
| 0 to +9 | Slight cold stress |
| −13 to 0 | Moderate cold stress |
| −27 to −13 | Strong cold stress |
| −40 to −27 | Very strong cold stress |
| <−40 | Extreme cold stress |
| Site | Ta (°C) | RH (%) | V (m/s) | Tg (°C) | G (W/m2) | ||||||||
|---|---|---|---|---|---|---|---|---|---|---|---|---|---|
| Max | Min | Mean | Max | Min | Mean | Max | Min | Mean | Max | Min | Mean | Daily Average | |
| R1 | 43.2 | 28.5 | 35.1 | 68.9 | 30.2 | 47.8 | 2.6 | 0.0 | 0.4 | 49.7 | 29.6 | 39.3 | 433.0 |
| R2 | 42.6 | 29.7 | 36.0 | 68.4 | 33.2 | 55.3 | 1.7 | 0.0 | 0.2 | 46.4 | 29.9 | 37.9 | 291.1 |
| R3 | 41.7 | 29.9 | 35.0 | 72.2 | 38.1 | 52.4 | 2.4 | 0.0 | 0.2 | 47.2 | 30.2 | 35.7 | 130.0 |
| Gender | Number | Age | Height (m) | Weight (kg) | ||||||
|---|---|---|---|---|---|---|---|---|---|---|
| Min | Max | Mean ± SD | Min | Max | Mean ± SD | Min | Max | Mean ± SD | ||
| Male | 156 | 5 | 12 | 8 ± 2.2 | 102.8 | 159.5 | 125 ± 15.1 | 17.5 | 64.5 | 30.6 ± 11 |
| Female | 140 | 5 | 12 | 8 ± 2.3 | 103.5 | 160 | 128.5 ± 13.6 | 16.2 | 49.5 | 27.4 ± 8.7 |
| Number | Variable | Option | Statistics and Percentage | |
|---|---|---|---|---|
| 1 | TSV | Cold = −3 | 0 | 0 |
| Cool = −2 | 0 | 0 | ||
| Slightly cool = −1 | 0 | 0 | ||
| Neutral = 0 | 21 | 7.1% | ||
| Slightly warm = +1 | 76 | 25.8% | ||
| Warm = +2 | 173 | 58.4% | ||
| Hot = +3 | 26 | 8.7% | ||
| 2 | Ta preference | Higher = +1 | 0 | 0 |
| Unchanged = 0 | 18 | 6.1% | ||
| Lower = −1 | 278 | 93.9% | ||
| 3 | V preference | Higher = +1 | 264 | 89.2% |
| Unchanged = 0 | 31 | 10.5% | ||
| Lower = −1 | 1 | 0.3% | ||
| 4 | G preference | Higher = +1 | 1 | 0.3% |
| Unchanged = 0 | 117 | 39.5% | ||
| Lower = −1 | 178 | 60.2% | ||
| 5 | Thermal comfortable | Uncomfortable = −1 | 76 | 25.7% |
| Neutral = 0 | 197 | 66.6% | ||
| Comfortable = +1 | 23 | 7.7% | ||
| 6 | Thermal acceptability | Unacceptable = −1 | 43 | 14.5% |
| Acceptable = +1 | 253 | 85.5% | ||
| Location | Climatic Zone | Season | NUTCI (°C) | NUTCIR (°C) | References |
|---|---|---|---|---|---|
| Chengdu, China | Cwa | Winter, Summer | 24.7 | 13.2~27.2 | [47] |
| Xi’an, China | BSk/Cwa | Winter, Summer | 13.9 | 6.4~21.5 | [8] |
| Beijing, China | Dwa | Winter | 17.0 | 8.7~25.4 | [46] |
| Haryana, Indian | Bsh | Summer | 31.8 | 28.0~35.6 | [45] |
Publisher’s Note: MDPI stays neutral with regard to jurisdictional claims in published maps and institutional affiliations. |
© 2022 by the authors. Licensee MDPI, Basel, Switzerland. This article is an open access article distributed under the terms and conditions of the Creative Commons Attribution (CC BY) license (https://creativecommons.org/licenses/by/4.0/).
Share and Cite
Gu, H.; Hu, Q.; Zhu, D.; Diao, J.; Liu, Y.; Fang, M. Research on Outdoor Thermal Comfort of Children’s Activity Space in High-Density Urban Residential Areas of Chongqing in Summer. Atmosphere 2022, 13, 2016. https://doi.org/10.3390/atmos13122016
Gu H, Hu Q, Zhu D, Diao J, Liu Y, Fang M. Research on Outdoor Thermal Comfort of Children’s Activity Space in High-Density Urban Residential Areas of Chongqing in Summer. Atmosphere. 2022; 13(12):2016. https://doi.org/10.3390/atmos13122016
Chicago/Turabian StyleGu, Han, Qiqi Hu, Dongsheng Zhu, Jie Diao, Ying Liu, and Mengmeng Fang. 2022. "Research on Outdoor Thermal Comfort of Children’s Activity Space in High-Density Urban Residential Areas of Chongqing in Summer" Atmosphere 13, no. 12: 2016. https://doi.org/10.3390/atmos13122016
APA StyleGu, H., Hu, Q., Zhu, D., Diao, J., Liu, Y., & Fang, M. (2022). Research on Outdoor Thermal Comfort of Children’s Activity Space in High-Density Urban Residential Areas of Chongqing in Summer. Atmosphere, 13(12), 2016. https://doi.org/10.3390/atmos13122016



