Spatiotemporal Characteristics and Influencing Factors of Sunshine Duration in China from 1970 to 2019
Abstract
1. Introduction
2. Materials and Methods
2.1. Materials
2.2. Research Methods
2.2.1. Change Trend and Significance Test
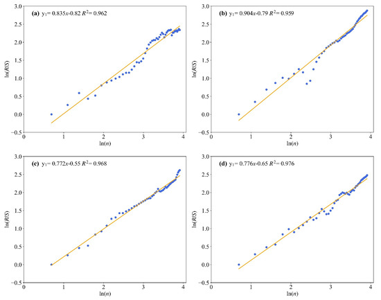
2.2.2. Hurst Index
2.2.3. Empirical Orthogonal Function Decomposition
2.2.4. Correlation Analysis and Partial Correlation Analysis
3. Results
3.1. Temporal Variation Characteristics of Sunshine Duration
3.1.1. Characteristics of Inter-Annual Variation
3.1.2. Characteristics of Seasonal Variation
3.2. Spatial Variation Characteristics of Sunshine Duration
3.2.1. Spatial Variation of Sunshine Duration
3.2.2. EOF Analysis of Sunshine Duration
3.3. Analysis of the Influencing Factors of the Sunshine Duration Change
3.3.1. Correlation Analysis between Sunshine Duration and Influencing Factors
3.3.2. Partial Correlation Analysis of Sunshine Duration and Influencing Factors
3.4. The Relationship between Sunshine Duration and Human Activities
4. Discussion
5. Conclusions
Author Contributions
Funding
Institutional Review Board Statement
Informed Consent Statement
Data Availability Statement
Acknowledgments
Conflicts of Interest
References
- Yu, S.; Zheng, Y.; Li, L. A comprehensive evaluation of the development and utilization of China’s regional renewable energy. Energy Policy 2019, 127, 73–86. [Google Scholar] [CrossRef]
- Chao, B.; Fang, C.-H. Geographical and environmental perspectives for the sustainable development of renewable energy in urbanizing China. Renew. Sustain. Energy Rev. 2013, 27, 464–474. [Google Scholar] [CrossRef]
- Moheimani, N.R.; Parlevliet, D. Sustainable solar energy conversion to chemical and electrical energy. Renew. Sustain. Energy Rev. 2013, 27, 494–504. [Google Scholar] [CrossRef]
- Razykov, T.M.; Ferekides, C.S.; Morel, D.; Stefanakos, E.; Ullal, H.S.; Upadhyaya, H.M. Solar photovoltaic electricity: Current status and future prospects. Sol. Energy 2011, 85, 1580–1608. [Google Scholar] [CrossRef]
- Liang, Y.; Yu, B.; Wang, L. Costs and benefits of renewable energy development in China’s power industry. Renew. Energy 2019, 131, 700–712. [Google Scholar] [CrossRef]
- Choudhary, P.; Srivastava, R.K. Sustainability perspectives-a review for solar photovoltaic trends and growth opportunities. J. Clean. Prod. 2019, 227, 589–612. [Google Scholar] [CrossRef]
- Yu, L.; Zhang, M.; Wang, L.; Qin, W.; Jiang, D.; Li, J. Variability of surface solar radiation under clear skies over Qinghai-Tibet Plateau: Role of aerosols and water vapor. Atmos. Environ. 2022, 287, 119286. [Google Scholar] [CrossRef]
- Feng, Y.; Zhang, X.; Jia, Y.; Cui, N.; Hao, W.; Li, H.; Gong, D. High-resolution assessment of solar radiation and energy potential in China. Energy Convers. Manag. 2021, 240, 114265. [Google Scholar] [CrossRef]
- Jahani, B.; Mohammadi, B. A comparison between the application of empirical and ANN methods for estimation of daily global solar radiation in Iran. Theor. Appl. Climatol. 2019, 137, 1257–1269. [Google Scholar] [CrossRef]
- Ağbulut, Ü.; Gürel, A.E.; Biçen, Y. Prediction of daily global solar radiation using different machine learning algorithms: Evaluation and comparison. Renew. Sustain. Energy Rev. 2021, 135, 110114. [Google Scholar] [CrossRef]
- Yao, W.; Zhang, C.; Wang, X.; Zhang, Z.; Li, X.; Di, H. A new correlation between global solar radiation and the quality of sunshine duration in China. Energy Convers. Manag. 2018, 164, 579–587. [Google Scholar] [CrossRef]
- Xia, X. Spatiotemporal changes in sunshine duration and cloud amount as well as their relationship in China during 1954–2005. J. Geophys. Res. Atmos. 2010, 115. [Google Scholar] [CrossRef]
- Ghanghermeh, A.; Roshan, G.; Halabian, A. Projecting spatiotemporal variations of sunshine duration with regards to climate change in Iran as a step towards clean energy. Sustain. Energy Technol. Assess. 2022, 53, 102630. [Google Scholar] [CrossRef]
- Sanchez-Lorenzo, A.; Calbó, J.; Martin-Vide, J. Spatial and temporal trends in sunshine duration over Western Europe (1938–2004). J. Clim. 2008, 21, 6089–6098. [Google Scholar] [CrossRef]
- Dobesch, H. On the variations of sunshine duration in Austria. Theor. Appl. Climatol. 1992, 46, 33–38. [Google Scholar] [CrossRef]
- Power, H.C. Trends in solar radiation over Germany and an assessment of the role of aerosols and sunshine duration. Theor. Appl. Climatol. 2003, 76, 47–63. [Google Scholar] [CrossRef]
- Angell, J.K. Variation in United States cloudiness and sunshine duration between 1950 and the drought year of 1988. J. Clim. 1990, 3, 296–308. [Google Scholar] [CrossRef]
- Inoue, T.; Matsumoto, J. Seasonal and secular variations of sunshine duration and natural seasons in Japan. Int. J. Climatol. 2003, 23, 1219–1234. [Google Scholar] [CrossRef]
- Feng, Z.; Guo, B.; Ren, S.; Li, Y. Reduction in Sunshine Duration and Related Factors over Mainland China during 1961–2016. Energies 2019, 12, 4718. [Google Scholar] [CrossRef]
- Zheng, X.; Kang, W.; Zhao, T.; Luo, Y.; Duan, C.; Chen, J. Long-term trends in sunshine duration over Yunnan-Guizhou Plateau in Southwest China for 1961–2005. Geophys. Res. Lett. 2008, 35. [Google Scholar] [CrossRef]
- Yang, Y.H.; Zhao, N.; Hao, X.H.; Li, C.Q. Decreasing trend of sunshine hours and related driving forces in North China. Theor. Appl. Climatol. 2009, 97, 91–98. [Google Scholar] [CrossRef]
- You, Q.; Kang, S.; Flügel, W.A.; Sanchez-Lorenzo, A.; Yan, Y.; Huang, J.; Martin-Vide, J. From brightening to dimming in sunshine duration over the eastern and central Tibetan Plateau (1961–2005). Theor. Appl. Climatol. 2010, 101, 445–457. [Google Scholar] [CrossRef]
- Ren, J.; Lei, X.; Zhang, Y.; Wang, M.; Xiang, L. Sunshine duration variability in haihe river basin, China, during 1966–2015. Water 2017, 9, 770. [Google Scholar] [CrossRef]
- Marin, L.; Birsan, M.V.; Bojariu, R.; Dumitrescu, A.; Micu, D.M.; Manea, A. An overview of annual climatic changes in Romania: Trends in air temperature, precipitation, sunshine hours, cloud cover, relative humidity and wind speed during the 1961–2013 period. Carpathian J. Earth Environ. Sci. 2014, 9, 253–258. [Google Scholar]
- Bartoszek, K.; Matuszko, D.; Soroka, J. Relationships between cloudiness, aerosol optical thickness, and sunshine duration in Poland. Atmos. Res. 2020, 245, 105097. [Google Scholar] [CrossRef]
- Bartoszek, K.; Matuszko, D. The influence of atmospheric circulation over Central Europe on the long-term variability of sunshine duration and air temperature in Poland. Atmos. Res. 2021, 251, 105427. [Google Scholar] [CrossRef]
- Power, H.C.; Mills, D.M. Solar radiation climate change over southern Africa and an assessment of the radiative impact of volcanic eruptions. Int. J. Climatol. 2005, 25, 295–318. [Google Scholar] [CrossRef]
- Song, Z.; Chen, L.; Wang, Y.; Liu, X.; Lin, L.; Luo, M. Effects of urbanization on the decrease in sunshine duration over eastern China. Urban Clim. 2019, 28, 100471. [Google Scholar] [CrossRef]
- Wang, Y.; Yang, Y.; Zhao, N.; Liu, C.; Wang, Q. The magnitude of the effect of air pollution on sunshine hours in China. J. Geophys. Res. Atmos. 2012, 117. [Google Scholar] [CrossRef]
- Chen, Y.; Zhao, Y.; Fu, J.; Liu, Y.; Tang, S.; Han, Y.; Fan, Z. Association of sunshine duration with acute myocardial infarction hospital admissions in Beijing, China: A time-series analysis within-summer. Sci. Total Environ. 2022, 828, 154528. [Google Scholar] [CrossRef]
- Gu, S.; Huang, R.; Yang, J.; Sun, S.; Xu, Y.; Zhang, R.; Wang, Y.; Lu, B.; He, T.; Wang, A.; et al. Exposure-lag-response association between sunlight and schizophrenia in Ningbo, China. Environ. Pollut. 2019, 247, 285–292. [Google Scholar] [CrossRef] [PubMed]
- Han, Y.; Ma, Y.; Wang, Z.; Xie, Z.; Sun, G.; Wang, B.; Ma, W.; Su, R.; Hu, W.; Fan, Y. Variation characteristics of temperature and precipitation on the northern slopes of the Himalaya region from 1979 to 2018. Atmos. Res. 2021, 253, 105481. [Google Scholar] [CrossRef]
- Zhu, D.; Yang, Q.; Xiong, K.; Xiao, H. Spatiotemporal Variations in Daytime and Night-Time Precipitation on the Yunnan–Guizhou Plateau from 1960 to 2017. Atmosphere 2022, 13, 415. [Google Scholar] [CrossRef]
- Mozafari, M.; Hosseini, Z.; Fijani, E.; Eskandari, R.; Siahpoush, S.; Ghader, F. Effects of climate change and human activity on lake drying in Bakhtegan Basin, southwest Iran. Sustain. Water Resour. Manag. 2022, 8, 1–18. [Google Scholar] [CrossRef]
- Zhang, W.; Jin, H.; Shao, H.; Li, A.; Li, S.; Fan, W. Temporal and spatial variations in the leaf area index and its response to topography in the Three-River Source Region, China from 2000 to 2017. Isprs Int. J. Geo-Inf. 2021, 10, 33. [Google Scholar] [CrossRef]
- Ersi, C.; Bayaer, T.; Bao, Y.; Bao, Y.; Yong, M.; Zhang, X. Temporal and Spatial Changes in Evapotranspiration and Its Potential Driving Factors in Mongolia over the Past 20 Years. Remote Sens. 2022, 14, 1856. [Google Scholar] [CrossRef]
- Zhou, Y.; Yu, D.; Yang, Q.; Pan, S.; Gai, Y.; Cheng, W.; Liu, X.; Tang, S. Variations of water transparency and impact factors in the Bohai and Yellow Seas from satellite observations. Remote Sens. 2021, 13, 514. [Google Scholar] [CrossRef]
- Ma, Q.; Zhang, Q.; Wang, Q.; Yuan, X.; Yuan, R.; Luo, C. A comparative study of EOF and NMF analysis on downward trend of AOD over China from 2011 to 2019. Environ. Pollut. 2021, 288, 117713. [Google Scholar] [CrossRef]
- Zaib, S.; Lu, J.; Bilal, M. Spatio-Temporal Characteristics of Air Quality Index (AQI) over Northwest China. Atmosphere 2022, 13, 375. [Google Scholar] [CrossRef]
- Wang, M.; Fu, J.E.; Wu, Z.; Pang, Z. Spatiotemporal variation of NDVI in the vegetation growing season in the source region of the Yellow River, China. ISPRS Int. J. Geo-Inf. 2020, 9, 282. [Google Scholar] [CrossRef]
- Wild, M. Global dimming and brightening: A review. J. Geophys. Res. Atmos. 2009, 114. [Google Scholar] [CrossRef]
- O’Dowd, C.D.; Smith, M.H. Physicochemical properties of aerosols over the northeast Atlantic: Evidence for wind-speed-related submicron sea-salt aerosol production. J. Geophys. Res. Atmos. 1993, 98, 1137–1149. [Google Scholar] [CrossRef]
- Wang, Y.W.; Yang, Y.H.; Zhou, X.Y.; Zhao, N.; Zhang, J.H. Air pollution is pushing wind speed into a regulator of surface solar irradiance in China. Environ. Res. Lett. 2014, 9, 054004. [Google Scholar] [CrossRef]
- Simon, P.; Ceglar, A.; Levanič, T. Long-term summer sunshine/moisture stress reconstruction from tree-ring widths from Bosnia and Herzegovina. Clim. Past 2013, 9, 27–40. [Google Scholar]
- Sun, C.; Liu, Y.; Song, H.; Cai, Q.; Li, Q.; Wang, L.; Mei, R.; Fang, C. Sunshine duration reconstruction in the southeastern Tibetan Plateau based on tree-ring width and its relationship to volcanic eruptions. Sci. Total Environ. 2018, 628, 707–714. [Google Scholar] [CrossRef]
- Kaiser, D.P.; Qian, Y. Decreasing trends in sunshine duration over China for 1954–1998: Indication of increased haze pollution? Geophys. Res. Lett. 2002, 29, 38-1. [Google Scholar] [CrossRef]
- Chen, L.X.; Li, W.L.; Zhu, W.Q.; Zhou, X.J.; Zhou, Z.J.; Liu, H.L. Seasonal trends of climate change in the Yangtze Delta and its adjacent regions and their formation mechanisms. Meteorol. Atmos. Phys. 2006, 92, 11–23. [Google Scholar] [CrossRef]









| Mode | Variance Contribution Rate | Cumulative Variance Rate |
|---|---|---|
| EOF1 | 29.81 | 29.81 |
| EOF2 | 8.93 | 38.74 |
| EOF3 | 7.19 | 45.93 |
| EOF4 | 6.11 | 52.04 |
| EOF5 | 5.73 | 57.77 |
| EOF6 | 4.10 | 61.88 |
| EOF7 | 3.51 | 65.39 |
| EOF8 | 3.08 | 68.47 |
| Time | Influencing Factors | |||
|---|---|---|---|---|
| Temperature | Relative Humidity | Precipitation | Wind Speed | |
| Spring | 0.097 | −0.499 *** | −0.45 ** | 0.271 |
| Summer | −0.269 | 0.113 | −0.483 *** | 0.739 *** |
| Autumn | −0.278 | −0.41 ** | −0.548 *** | 0.368 ** |
| Winter | −0.012 | −0.406 ** | −0.602 *** | 0.482 *** |
| Annual | −0.563 *** | 0.236 | −0.34 * | 0.773 *** |
| Time | Influencing Factors | |||
|---|---|---|---|---|
| Temperature | Relative Humidity | Precipitation | Wind Speed | |
| Spring | 0.462 ** | −0.524 *** | −0.49 *** | 0.732 *** |
| Summer | 0.413 ** | 0.314 * | −0.556 *** | 0.735 *** |
| Autumn | 0.029 | −0.25 | −0.523 *** | 0.582 *** |
| Winter | 0.341 * | −0.236 | −0.426 ** | 0.564 *** |
| Annual | 0.138 | −0.061 | −0.53 *** | 0.76 *** |
Publisher’s Note: MDPI stays neutral with regard to jurisdictional claims in published maps and institutional affiliations. |
© 2022 by the authors. Licensee MDPI, Basel, Switzerland. This article is an open access article distributed under the terms and conditions of the Creative Commons Attribution (CC BY) license (https://creativecommons.org/licenses/by/4.0/).
Share and Cite
Tang, C.; Zhu, Y.; Wei, Y.; Zhao, F.; Wu, X.; Tian, X. Spatiotemporal Characteristics and Influencing Factors of Sunshine Duration in China from 1970 to 2019. Atmosphere 2022, 13, 2015. https://doi.org/10.3390/atmos13122015
Tang C, Zhu Y, Wei Y, Zhao F, Wu X, Tian X. Spatiotemporal Characteristics and Influencing Factors of Sunshine Duration in China from 1970 to 2019. Atmosphere. 2022; 13(12):2015. https://doi.org/10.3390/atmos13122015
Chicago/Turabian StyleTang, Chaoli, Yidong Zhu, Yuanyuan Wei, Fengmei Zhao, Xin Wu, and Xiaomin Tian. 2022. "Spatiotemporal Characteristics and Influencing Factors of Sunshine Duration in China from 1970 to 2019" Atmosphere 13, no. 12: 2015. https://doi.org/10.3390/atmos13122015
APA StyleTang, C., Zhu, Y., Wei, Y., Zhao, F., Wu, X., & Tian, X. (2022). Spatiotemporal Characteristics and Influencing Factors of Sunshine Duration in China from 1970 to 2019. Atmosphere, 13(12), 2015. https://doi.org/10.3390/atmos13122015

