Comprehensive Evaluation of Environmental Air Quality Based on the Entropy Weights and Concentration Variation Trends of Pollutants
Abstract
1. Introduction
2. Materials and Methods
2.1. Study Area and Data Source
- Daily data: The daily concentrations of urban pollutants, including 24 h average concentrations of PM10, PM2.5, SO2, NO2, and CO, and the maximum sliding 8 h average concentration of O3;
- Monthly data: The monthly concentrations of urban pollutants, including the average concentrations of PM10, PM2.5, SO2, and NO2; the 95th percentile concentration of CO; and the 90th percentile concentration of O3;
- Based on the above data, the AQI was calculated from the daily data. The monthly data can be divided into sand-dust-affected data and sand-dust-removed data [26].
2.2. Comprehensive Ambient Air Quality Index
2.3. Comprehensive Entropy Weight Index
2.4. Comprehensive Spearman Correlation Entropy Weight Index
3. Results and Discussion
3.1. Monthly Trend of Air Quality
3.2. Pollutant Weight
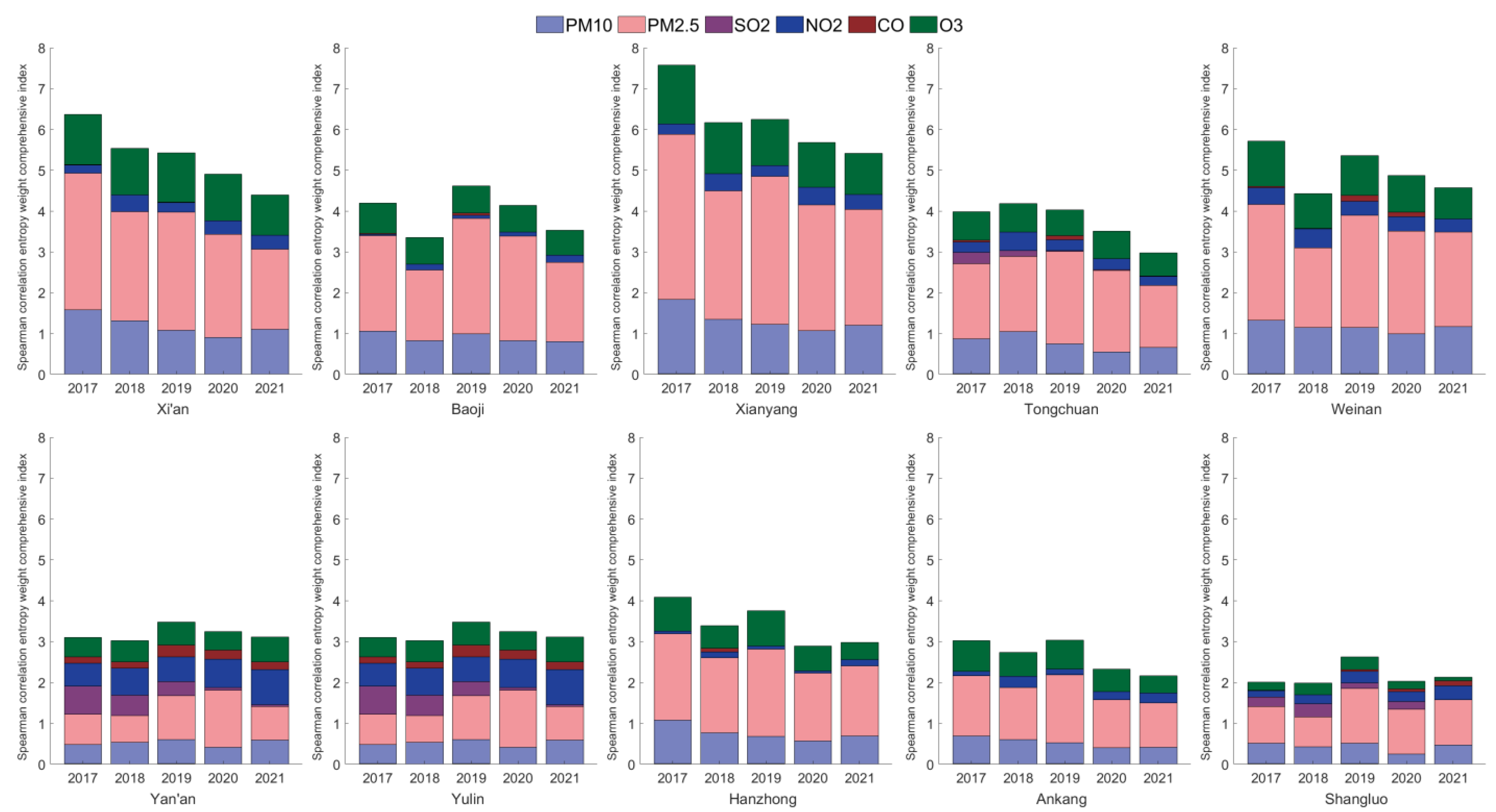
3.3. Pollutants Correlation
3.4. Annual Air Quality
4. Conclusions
- The entropy weight is used to reflect the degree of variation in pollutant concentrations. The weight range is from 0 to 1. The entropy weight is usually positively correlated with the degree of index variation. Sand-dust-removed data are used in the process;
- Spearman’s correlation is used to reflect the correlations between pollutants and the improvement or retrogression in ambient air quality. The value range is from −1 to 1. Sand dust data are used in the process;
- The covariance is used to determine the variation trends of ambient air quality, which decides the positive or negative trend regulator factor.
- The ambient air quality rates in the northern cities and southern cities are much better than that in the central cities, but these cities with better ambient air quality showed limited improvement in the past 5 years. Although the air quality had improved in the central cities, it was still difficult to maintain a steady trend of improvement;
- PM2.5 was the key factor affecting the improvements in ambient air quality in most cities in winter. The decreasing proportion of PM2.5 was not obvious in the past 5 years. The pollution due to PM2.5 had a large space to decline, especially in the central cities;
- Even though O3 pollution had been taken seriously in 2019 and several measures had been adapted for prevention in Shaanxi Province, the O3 pollution in summer was not controlled effectively. The contribution to the air pollution of O3 increased, on the contrary with the improvement in air quality, which would be another restriction of the air quality improvement after the PM2.5. The coordinated control of PM2.5 and O3 is still an important method of ambient air quality improvement;
- The pollution prevention strategies for SO2, NO2, and CO in the past 5 years were effective. Although these pollutants could be released into the atmosphere directly through combustion, they did not affect the improvements in ambient air quality.
Author Contributions
Funding
Institutional Review Board Statement
Informed Consent Statement
Data Availability Statement
Conflicts of Interest
References
- Doreena, D.; Hafizan, J.; Mohd, T.L.; Sharifuddin, M.Z.; Aris, A.Z. Spatial evaluation of air quality patterns in Malaysia using multivariate analysis. Atmos. Environ. 2012, 60, 172–181. [Google Scholar] [CrossRef]
- Singh, D.; Dahiya, M.; Kumar, R.; Nanda, C. Sensors and systems for air quality evaluation monitoring and management: A review. J. Environ. Manag. 2021, 289, 112510. [Google Scholar] [CrossRef] [PubMed]
- GB 3095-2012; Ambient Air Quality Standards. National Standard of the People’s Republic of China: Beijing, China, 2012. Available online: https://www.mee.gov.cn/ywgz/fgbz/bz/bzwb/dqhjbh/dqhjzlbz/201203/W020120410330232398521.pdf (accessed on 1 January 2016).
- Yuan, G.; Yang, W. Evaluating China’s Air Pollution Control Policy with Extended AQI Index System: Example of the Beijing-Tianjin-Hebei Region. Sustainability 2019, 11, 939. [Google Scholar] [CrossRef]
- Zhao, B.; Su, Y.; He, S.; Zhong, M.; Cui, G. Evolution and comparative evaluation of environmental air quality standards in China. J. Integr. Environ. Sci. 2016, 13, 85–102. [Google Scholar] [CrossRef]
- Zhan, D.; Kwan, M.P.; Zhang, W.; Yu, X.; Meng, B.; Liu, Q. The driving factors of air quality index in China. J. Clean. Prod. 2018, 197, 1342–1351. [Google Scholar] [CrossRef]
- van den Elshout, S.; Léger, K.; Heich, H. CAQI Common Air Quality Index-Update with PM2.5 and sensitivity analysis. Sci. Total Environ. 2014, 488–489, 461–468. [Google Scholar] [CrossRef] [PubMed]
- Zhang, L.; Yang, G.; Li, X. Mining sequential patterns of PM2.5 pollution between 338 cities in China. J. Environ. Manag. 2020, 262, 110341. [Google Scholar] [CrossRef] [PubMed]
- Gomes, F.P.; Esteves, M.S. Deriving an indoor environmental index for Portuguese office buildings. Technologies 2016, 4, 40. [Google Scholar] [CrossRef]
- Zhang, F.; Peng, G.; Xu, P.; Zhu, L.; Li, C.; Wei, N.; Li, D. Ecological risk assessment of marine microplastics using the analytic hierarchy process: A case study in the Yangtze River Estuary and adjacent marine areas. J. Hazard. Mater. 2022, 425, 127960. [Google Scholar] [CrossRef] [PubMed]
- Lau, J.; Hung, W.T.; Cheung, C.S. Interpretation of air quality in relation to monitoring station’s surroundings. Atmos. Environ. 2009, 43, 769–777. [Google Scholar] [CrossRef]
- Gadi, R.; Sharma, S.K.; Mandal, T.K. Source apportionment and health risk assessment of organic constituents in fine ambient aerosols (PM2.5): A complete year study over National Capital Region of India. Chemosphere 2019, 221, 583–596. [Google Scholar] [CrossRef] [PubMed]
- Ouyang, W.; Gao, B.; Cheng, H.; Hao, Z.; Wu, N. Exposure inequality assessment for PM2.5 and the potential association with environmental health in Beijing. Sci. Total Environ. 2018, 635, 769–778. [Google Scholar] [CrossRef] [PubMed]
- Cheng, W.L.; Kuo, Y.C.; Lin, P.L.; Chang, K.H.; Chen, Y.S.; Lin, T.M.; Huang, R. Revised air quality index derived from an entropy function. Atmos. Environ. 2004, 38, 383–391. [Google Scholar] [CrossRef]
- Wang, X.; Yang, Z. Application of Fuzzy Optimization Model Based on Entropy Weight Method in Atmospheric Quality Evaluation: A Case Study of Zhejiang Province, China. Sustainability 2019, 11, 2143. [Google Scholar] [CrossRef]
- Onkal-Engin, G.; Demir, I.; Hiz, H. Assessment of urban air quality in Istanbul using fuzzy synthetic evaluation. Atmos. Environ. 2004, 38, 3809–3815. [Google Scholar] [CrossRef]
- Li, L.; Liu, D.J. Study on an Air Quality Evaluation Model for Beijing City Under Haze-Fog Pollution Based on New Ambient Air Quality Standards. Int. J. Environ. Res. Public Health 2014, 11, 8909–8923. [Google Scholar] [CrossRef] [PubMed]
- Wang, X.; Wang, Z.; Guo, M.; Chen, W.; Zhang, H. Research on Air Quality Evaluation based on Principal Component Analysis. In IOP Conference Series: Earth and Environmental Science; IOP Publishing: Bristol, UK, 2018; Volume 108, p. 4. [Google Scholar] [CrossRef]
- Liu, G.; Dong, X.; Kong, Z.; Dong, K. Does national air quality monitoring reduce local air pollution? The case of PM2.5 for China. J. Environ. Manag. 2021, 296, 113232. [Google Scholar] [CrossRef]
- Luna, A.S.; Paredes, M.L.L.; de Oliveira, G.C.G.; Corrêa, S.M. Prediction of ozone concentration in tropospheric levels using artificial neural networks and support vector machine at Rio de Janeiro, Brazil. Atmos. Environ. 2014, 98, 98–104. [Google Scholar] [CrossRef]
- Liu, H.; Yan, G.; Duan, Z.; Chen, C. Intelligent modeling strategies for forecasting air quality time series: A review. Appl. Soft Comput. 2021, 102, 106957. [Google Scholar] [CrossRef]
- Araujo, L.N.; Belotti, J.T.; Alves, T.A.; de Souza Tadano, Y. Siqueira, H. Ensemble method based on Artificial Neural Networks to estimate air pollution health risks. Environ. Model. Softw. 2020, 123, 104567. [Google Scholar] [CrossRef]
- Zhang, L.; Lin, J.; Qiu, R.; Hu, X.; Zhang, H.; Chen, Q.; Tan, H.; Lin, D.; Wang, J. Trend analysis and forecast of PM2.5 in Fuzhou, China using the ARIMA model. Ecol. Indic. 2018, 95, 702–710. [Google Scholar] [CrossRef]
- Zhang, Y.; Zhang, R.; Ma, Q.; Wang, Y.; Wang, Q.; Huang, Z.; Huang, L. A feature selection and multi-model fusion-based approach of predicting air quality. ISA Trans. 2020, 100, 210–220. [Google Scholar] [CrossRef] [PubMed]
- Wang, P.; Zhang, H.; Qin, Z.; Zhang, G. A novel hybrid-Garch model based on ARIMA and SVM for PM2.5 concentrations forecasting. Atmos. Pollut. Res. 2017, 8, 850–860. [Google Scholar] [CrossRef]
- Wang, P.; Zhang, H.; Qin, Z.; Zhang, G. Research on Rapid Identification Technology of Sand and Dust Characteristic Monitoring Data Based on Optimized K-Means Clustering. Atmosphere 2022, 13, 1720. [Google Scholar] [CrossRef]
- HJ663-2013; Technical Regulation for Ambient Air Quality Assessment (On Trial). National Environmental Protection Standards of the People’s Republic of China: Beijing, China, 2013. Available online: https://www.mee.gov.cn/ywgz/fgbz/bz/bzwb/jcffbz/201309/W020131105548549111863.pdf (accessed on 1 October 2013).
- HJ633-2012; Ambient Air Quality Index (AQI) Technical Regulations (Trial). National Environmental Protection Standards of the People’s Republic of China: Beijing, China, 2012. Available online: https://www.mee.gov.cn/ywgz/fgbz/bz/bzwb/jcffbz/201203/W020120410332725219541.pdf (accessed on 1 January 2016).
- Zhang, Y.; Yang, Z.; Li, W. Analyses of urban ecosystem based on information entropy. Ecol. Model. 2006, 197, 1–12. [Google Scholar] [CrossRef]
- Dong, Q.; Ai, X.; Cao, G.; Zhang, Y.; Wang, X. Study on risk evaluation of water security of drought periods based on entropy weight methods. Kybernetes 2010, 39, 864–870. [Google Scholar] [CrossRef]





Publisher’s Note: MDPI stays neutral with regard to jurisdictional claims in published maps and institutional affiliations. |
© 2022 by the authors. Licensee MDPI, Basel, Switzerland. This article is an open access article distributed under the terms and conditions of the Creative Commons Attribution (CC BY) license (https://creativecommons.org/licenses/by/4.0/).
Share and Cite
Zheng, H.; Yang, Z.; Yang, J.; Tao, Y.; Zhang, L. Comprehensive Evaluation of Environmental Air Quality Based on the Entropy Weights and Concentration Variation Trends of Pollutants. Atmosphere 2022, 13, 1978. https://doi.org/10.3390/atmos13121978
Zheng H, Yang Z, Yang J, Tao Y, Zhang L. Comprehensive Evaluation of Environmental Air Quality Based on the Entropy Weights and Concentration Variation Trends of Pollutants. Atmosphere. 2022; 13(12):1978. https://doi.org/10.3390/atmos13121978
Chicago/Turabian StyleZheng, Hao, Zhen Yang, Jianhua Yang, Yanan Tao, and Linlin Zhang. 2022. "Comprehensive Evaluation of Environmental Air Quality Based on the Entropy Weights and Concentration Variation Trends of Pollutants" Atmosphere 13, no. 12: 1978. https://doi.org/10.3390/atmos13121978
APA StyleZheng, H., Yang, Z., Yang, J., Tao, Y., & Zhang, L. (2022). Comprehensive Evaluation of Environmental Air Quality Based on the Entropy Weights and Concentration Variation Trends of Pollutants. Atmosphere, 13(12), 1978. https://doi.org/10.3390/atmos13121978
