Spatiotemporal Patterns of Air Pollution in an Industrialised City—A Case Study of Ust-Kamenogorsk, Kazakhstan
Abstract
1. Introduction
2. Materials and Methods
2.1. Study Area
- -
- Station 1—is located in the northern industrial zone;
- -
- Station 2—is located in the administrative centre of the city;
- -
- Station 3—is located in the north-western part of the city, adjacent to the northern industrial zone;
- -
- Station 4—is located in the northeastern industrial zone;
- -
- Station 5—is located downtown.
2.2. Multivariate Statistical Techniques
2.3. Data Management and Methodological Framework
3. Results and Discussion
3.1. Hierarchical Clustering Analysis
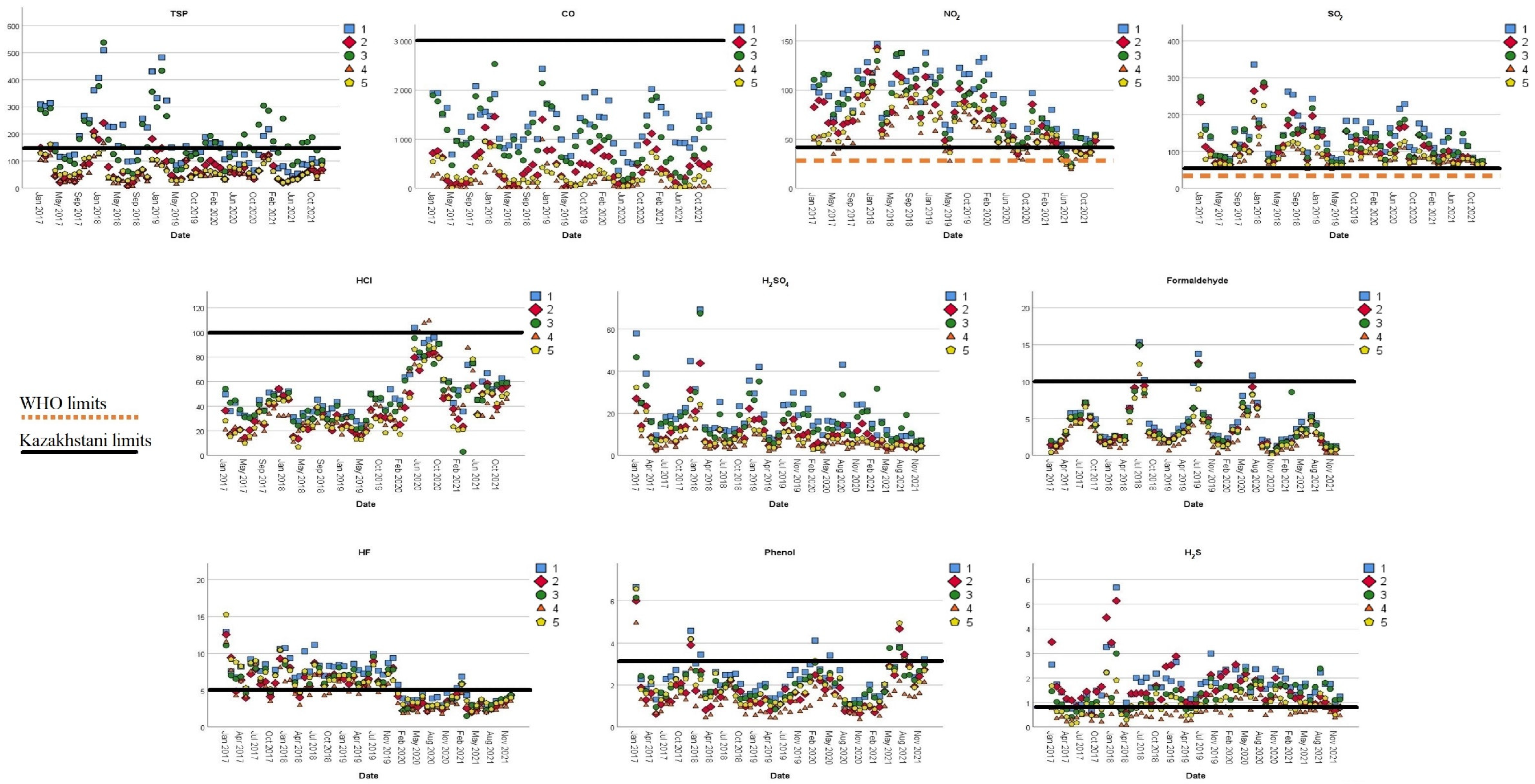
3.2. Descriptive Statistics
| WHO Limits (Daily Averaged) [51] | Kazakhstani Limits (Daily Averaged) [48] | Station 1 | Station 2 | Station 3 | Station 4 | Station 5 | ||
|---|---|---|---|---|---|---|---|---|
| TSP | - | 150 | Mean (SD) | 217 (183) | 94 (92) | 218 (182) | 68 (66) | 81 (78) |
| Median | 175 | 75 | 175 | 50 | 50 | |||
| Range | 0–1350 | 0–550 | 0–1250 | 0–425 | 0–550 | |||
| SO2 | 40 | 50 | Mean (SD) | 150 (124) | 122 (108) | 134 (105) | 88 (53) | 101 (69) |
| Median | 100 | 84 | 93 | 73 | 79 | |||
| Range | 31–1641 | 14–1738 | 31–1318 | 0–410 | 0–519 | |||
| CO | 4000 | 3000 | Mean (SD) | 1548 (877) | 656 (686) | 1285 (1025) | 195 (371) | 376 (483) |
| Median | 1500 | 500 | 1000 | 0 | 250 | |||
| Range | 0–6250 | 0–3750 | 0–5750 | 0–2250 | 0–3500 | |||
| NO2 | 25 | 40 | Mean (SD) | 96 (54) | 77 (48) | 86 (50) | 61 (37) | 69 (45) |
| Median | 85 | 68 | 75 | 53 | 58 | |||
| Range | 0–380 | 5–315 | 0–362 | 5–323 | 0–365 | |||
| Phenol | - | 3 | Mean (SD) | 2.4 (1.8) | 1.8 (1.6) | 2.1 (1.7) | 1.2 (1.4) | 1.9 (1.7) |
| Median | 2.0 | 1.5 | 1.8 | 0.8 | 1.5 | |||
| Range | 0–12.8 | 0–11.0 | 0–20.5 | 0–20.5 | 0–16.0 | |||
| HF | - | 5 | Mean (SD) | 6.6 (3.5) | 5.6 (3.4) | 5.8 (3.4) | 4.6 (3.0) | 5.9 (3.8) |
| Median | 6.3 | 5.0 | 5.3 | 4.0 | 5.3 | |||
| Range | 0–25 | 0–25 | 0–25 | 0–18 | 0–29 | |||
| HCl | - | 100 | Mean (SD) | 49.2 (28.5) | 37.1 (28.5) | 45.5 (27.5) | 35.2 (28.6) | 34.9 (29) |
| Median | 50.0 | 30.0 | 47.5 | 30.0 | 30.0 | |||
| Range | 0–175.0 | 0–142.5 | 0–152.5 | 0–142.5 | 0–145 | |||
| H2SO4 | - | 100 | Mean (SD) | 23.2 (25.4) | 12.5 (15.4) | 20.6 (22.1) | 7.6 (10.0) | 10.2 (12.7) |
| Median | 15.0 | 7.5 | 15.0 | 5.0 | 7.5 | |||
| Range | 0–280.0 | 0–157.5 | 0–220.0 | 0–165.0 | 0–172.5 | |||
| Formaldehyde | - | 10 | Mean (SD) | 2.6 (2.0) | 2.2 (1.8) | 2.5 (2.2) | 1.3 (1.6) | 2.1 (1.9) |
| Median | 2.5 | 1.5 | 2.5 | 1.3 | 2.0 | |||
| Range | 0–11.8 | 0–10.0 | 0–15.0 | 0–10.0 | 0–11.8 | |||
| H2S | - | 0.8 | Mean (SD) | 2.0 (1.8) | 1.8 (2.1) | 1.4 (1.1) | 0.6 (0.7) | 1.0 (1.0) |
| Median | 1.5 | 1.3 | 1.0 | 0.5 | 1.0 | |||
| Range | 0–18.3 | 0–23.0 | 0–11.8 | 0–5.0 | 0–11.8 |
| WHO Limits (Daily Averaged) [51] | Kazakhstani Limits (Daily Averaged) [48] | Station 1 | Station 2 | Station 3 | Station 4 | Station 5 | ||
|---|---|---|---|---|---|---|---|---|
| TSP | - | 150 | Mean (SD) | 118 (81) | 41 (42) | 117 (80) | 33 (41) | 47 (45) |
| Median | 100 | 25 | 100 | 25 | 25 | |||
| Range | 0–500 | 0–375 | 0–475 | 0–375 | 0–300 | |||
| SO2 | 40 | 50 | Mean (SD) | 135 (98) | 102 (63) | 116 (68) | 77 (30) | 85 (36) |
| Median | 98 | 81 | 90 | 71 | 75 | |||
| Range | 45–1100 | 13–490 | 43–468 | 13–256 | 0–353 | |||
| CO | 4000 | 3000 | Mean (SD) | 886 (607) | 149 (234) | 571 (517) | 19 (107) | 133 (219) |
| Median | 750 | 0 | 500 | 0 | 0 | |||
| Range | 0–5000 | 0–1750 | 0–2750 | 0–1250 | 0–1250 | |||
| NO2 | 25 | 40 | Mean (SD) | 78 (46) | 62 (38) | 74 (43) | 48 (29) | 58 (35) |
| Median | 70 | 54 | 68 | 45 | 53 | |||
| Range | 0–308 | 0–212 | 0–233 | 0–218 | 0–263 | |||
| Phenol | - | 3 | Mean (SD) | 2.2 (1.6) | 1.8 (1.6) | 2.0 (1.5) | 1.2 (1.1) | 2.0 (1.7) |
| Median | 2.0 | 1.5 | 1.8 | 0.8 | 1.8 | |||
| Range | 0–16.5 | 0–18.0 | 0–17.0 | 0–5.5 | 0–14.8 | |||
| HF | - | 5 | Mean (SD) | 6.2 (3.6) | 4.9 (3.1) | 5.3 (3.1) | 4.5 (3.0) | 5.5 (3.3) |
| Median | 6.0 | 4.3 | 5.0 | 3.5 | 4.9 | |||
| Range | 0–20.0 | 0–16.3 | 0–16.5 | 0–15.5 | 0–16.3 | |||
| HCl | - | 100 | Mean (SD) | 51 (34) | 39 (32) | 48 (32) | 42 (39) | 39 (34) |
| Median | 48 | 33 | 45 | 30 | 30 | |||
| Range | 0–167 | 0–175 | 0–148 | 0–173 | 0–145 | |||
| H2SO4 | - | 100 | Mean (SD) | 14.6 (15.7) | 7.5 (6.4) | 12.1 (9.6) | 4.4 (4.4) | 6.9 (5.0) |
| Median | 12.5 | 7.5000 | 10.0 | 2.5 | 5.0 | |||
| Range | 0–222.5 | 0–52.5 | 0–102.5 | 0–30.0 | 0–33.0 | |||
| Formaldehyde | - | 10 | Mean (SD) | 6.8 (5.0) | 5.9 (4.7) | 5.9 (4.3) | 4.5 (3.4) | 5.3 (3.6) |
| Median | 5.9 | 4.8 | 5.0 | 3.8 | 4.5 | |||
| Range | 0–33.5 | 0–35.8 | 0–32.3 | 0–21.8 | 0–28.0 | |||
| H2S | - | 0.8 | Mean (SD) | 1.5 (0.9) | 1.3 (0.8) | 1.2 (0.9) | 0.6 (0.6) | 0.9 (0.8) |
| Median | 1.5 | 1.0 | 1.0 | 0.5 | 0.8 | |||
| Range | 0–5.5 | 0–4.3 | 0–4.8 | 0–3.5 | 0–3.8 |
3.3. Principal Component Analysis
3.3.1. PC1
3.3.2. PC2
3.3.3. PC3
4. Conclusions
Author Contributions
Funding
Institutional Review Board Statement
Informed Consent Statement
Data Availability Statement
Acknowledgments
Conflicts of Interest
References
- IQAir.com. World’s Most Polluted Countries 2020 (PM2.5). Available online: https://www.iqair.com/world-most-polluted-countries (accessed on 23 August 2022).
- Zhu, L.; Hao, Y.; Lu, Z.-N.; Wu, H.; Ran, Q. Do economic activities cause air pollution? Evidence from China’s major cities. Sustain. Cities Soc. 2019, 49, 101593. [Google Scholar] [CrossRef]
- Yuan, M.; Song, Y.; Huang, Y.; Hong, S.; Huang, L. Exploring the Association between Urban Form and Air Quality in China. J. Plan. Educ. Res. 2017, 38, 413–426. [Google Scholar] [CrossRef]
- Zhao, Y.; Qiu, L.P.; Xu, R.Y.; Xie, F.J.; Zhang, Q.; Yu, Y.Y.; Nielsen, C.P.; Qin, H.X.; Wang, H.K.; Wu, X.C.; et al. Advantages of a city-scale emission inventory for urban air quality research and policy: The case of Nanjing, a typical industrial city in the Yangtze River Delta, China. Atmos. Chem. Phys. 2015, 15, 12623–12644. [Google Scholar] [CrossRef]
- Gu, Y.; Wong, T.W.; Law, C.; Dong, G.H.; Ho, K.F.; Yang, Y.; Yim, S.H.L. Impacts of sectoral emissions in China and the implications: Air quality, public health, crop production, and economic costs. Environ. Res. Lett. 2018, 13, 084008. [Google Scholar] [CrossRef]
- Burnett, R.; Chen, H.; Szyszkowicz, M.; Fann, N.; Hubbell, B.; Pope, C.A.; Apte, J.S.; Brauer, M.; Cohen, A.; Weichenthal, S.; et al. Global estimates of mortality associated with long-term exposure to outdoor fine particulate matter. Proc. Natl. Acad. Sci. USA 2018, 115, 9592–9597. [Google Scholar] [CrossRef]
- Assanov, D.A.; Filyanova, L.A.; Zapasnyi, V.V.; Sukhova, N.M. Study of the Performance Indices of a Dust-Cleaning System at the Balkhash Copper Smelter. Metallurgist 2016, 60, 331–338. [Google Scholar] [CrossRef]
- Assanov, D.A.; Zapasnyi, V.V.; Ermekova, A.T.; Maratova, G.R.; Ivanov, A.A.; Cherepanov, N.I. Current Status of Dust Collection Systems in Aksu Ferroalloy Plant Smelting Shop 1 and Functional Improvement to These Systems. Metallurgist 2018, 62, 391–400. [Google Scholar] [CrossRef]
- Assanov, D.; Zapasnyi, V.; Kerimray, A. Air Quality and Industrial Emissions in the Cities of Kazakhstan. Atmosphere 2021, 12, 314. [Google Scholar] [CrossRef]
- Abdildin, Y.G.; Nurkenov, S.A.; Kerimray, A. Analysis of Green Technology Development in Kazakhstan. Int. J. Energy Econ. Policy 2021, 11, 269–279. [Google Scholar] [CrossRef]
- Russell, A.; Ghalaieny, M.; Gazdiyeva, B.; Zhumabayeva, S.; Kurmanbayeva, A.; Akhmetov, K.K.; Mukanov, Y.; McCann, M.; Ali, M.; Tucker, A.; et al. A Spatial Survey of Environmental Indicators for Kazakhstan: An Examination of Current Conditions and Future Needs. Int. J. Environ. Res. 2018, 12, 735–748. [Google Scholar] [CrossRef]
- Kerimray, A.; Assanov, D.; Kenessov, B.; Karaca, F. Trends and health impacts of major urban air pollutants in Kazakhstan. J. Air Waste Manag. 2020, 70, 1148–1164. [Google Scholar] [CrossRef] [PubMed]
- Baimatova, N.; Omarova, A.; Muratuly, A.; Tursumbayeva, M.; Ibragimova, O.P.; Bukenov, B.; Kerimray, A. Seasonal Variations and Effect of COVID-19 Lockdown Restrictions on the Air Quality in the Cities of Kazakhstan. Environ. Process. 2022, 9, 48. [Google Scholar] [CrossRef]
- Zlatev, V.; Cofala, J.; Peszko, G.; Wang, Q. Clean Air and Cool Planet—Cost-Effective Air Quality Management in Kazakhstan and Its Impact on Greenhouse Gas Emissions; The World Bank: Washington, DC, USA, 2021. [Google Scholar]
- Informburo. Pink Smoke Pours from the Pipes of the Titanium-Magnesium Plant in Ust-Kamenogorsk. 2021. Available online: https://informburo.kz/novosti/iz-trub-titano-magnievogo-kombinata-v-ust-kamenogorske-valit-rozovyi-dym (accessed on 29 October 2022).
- Assanov, D.; Kerimray, A.; Batkeyev, B.; Kapsalyamova, Z. The Effects of COVID-19-related Driving Restrictions on Air Quality in an Industrial City. Aerosol Air Qual. Res. 2021, 21, 200663. [Google Scholar] [CrossRef]
- Semenova, Y.; Zhunussov, Y.; Pivina, L.; Abisheva, A.; Tinkov, A.; Belikhina, T.; Skalny, A.; Zhanaspayev, M.; Bulegenov, T.; Glushkova, N.; et al. Trace element biomonitoring in hair and blood of occupationally unexposed population residing in polluted areas of East Kazakhstan and Pavlodar regions. J. Trace Elem. Med. Biol. 2019, 56, 31–37. [Google Scholar] [CrossRef] [PubMed]
- Miranda, A.; Silveira, C.; Ferreira, J.; Monteiro, A.; Lopes, D.; Relvas, H.; Borrego, C.; Roebeling, P. Current air quality plans in Europe designed to support air quality management policies. Atmos. Pollut. Res. 2015, 6, 434–443. [Google Scholar] [CrossRef]
- Gulia, S.; Shiva Nagendra, S.M.; Khare, M.; Khanna, I. Urban air quality management—A review. Atmos. Pollut. Res. 2015, 6, 286–304. [Google Scholar] [CrossRef]
- Wang, K.; Yin, H.; Chen, Y. The effect of environmental regulation on air quality: A study of new ambient air quality standards in China. J. Clean. Prod. 2019, 215, 268–279. [Google Scholar] [CrossRef]
- Jiang, L.; Zhou, H.-F.; Bai, L.; Zhou, P. Does foreign direct investment drive environmental degradation in China? An empirical study based on air quality index from a spatial perspective. J. Clean. Prod. 2018, 176, 864–872. [Google Scholar] [CrossRef]
- Mir, K.A.; Purohit, P.; Cail, S.; Kim, S. Co-benefits of air pollution control and climate change mitigation strategies in Pakistan. Environ. Sci. Policy 2022, 133, 31–43. [Google Scholar] [CrossRef]
- Chen, B.; Cheng, Y. The Impacts of Environmental Regulation on Industrial Activities: Evidence from a Quasi-Natural Experiment in Chinese Prefectures. Sustainability 2017, 9, 571. [Google Scholar] [CrossRef]
- Pui, D.Y.H.; Chen, S.-C.; Zuo, Z. PM2.5 in China: Measurements, sources, visibility and health effects, and mitigation. Particuology 2014, 13, 1–26. [Google Scholar] [CrossRef]
- Belis, C.A.; Larsen, B.R.; Amato, F.; El Haddad, I.; Favez, O.; Harrison, R.M.; Hopke, P.K.; Nava, S.; Paatero, P.; Prevot, A. European Guide on Air Pollution Source Apportionment with Receptor Models; Publications Office of the European Union: Luxembourg, 2019. [Google Scholar]
- Schichtel, B.A.; Malm, W.C.; Gebhart, K.A.; Barna, M.G.; Knipping, E.M. A hybrid source apportionment model integrating measured data and air quality model results. J. Geophys. Res.: Atmos. 2006, 111, D07301. [Google Scholar] [CrossRef]
- Dai, H.; Huang, G.; Wang, J.; Zeng, H.; Zhou, F. Prediction of Air Pollutant Concentration Based on One-Dimensional Multi-Scale CNN-LSTM Considering Spatial-Temporal Characteristics: A Case Study of Xi’an, China. Atmosphere 2021, 12, 1626. [Google Scholar] [CrossRef]
- Belis, C.A.; Karagulian, F.; Larsen, B.R.; Hopke, P.K. Critical review and meta-analysis of ambient particulate matter source apportionment using receptor models in Europe. Atmos. Environ. 2013, 69, 94–108. [Google Scholar] [CrossRef]
- Lee, C.L.; Jie, W.Y.; Arumugasamy, S.K. Dynamic simulation of airborne pollutant concentrations associated with the effect of climate change in Batu Muda region, Malaysia. Model. Earth Syst. Environ. 2022, 8, 323–338. [Google Scholar] [CrossRef]
- Jeričević, A.; Gašparac, G.; Mikulec, M.M.; Kumar, P.; Prtenjak, M.T. Identification of diverse air pollution sources in a complex urban area of Croatia. J. Environ. Manag. 2019, 243, 67–77. [Google Scholar] [CrossRef]
- Kousehlar, M.; Widom, E. Identifying the sources of air pollution in an urban-industrial setting by lichen biomonitoring—A multi-tracer approach. Appl. Geochem. 2020, 121, 104695. [Google Scholar] [CrossRef]
- Kumar, P.; Morawska, L.; Martani, C.; Biskos, G.; Neophytou, M.; Di Sabatino, S.; Bell, M.; Norford, L.; Britter, R. The rise of low-cost sensing for managing air pollution in cities. Environ. Int. 2015, 75, 199–205. [Google Scholar] [CrossRef]
- Pérez-Arribas, L.V.; León-González, M.E.; Rosales-Conrado, N. Learning Principal Component Analysis by Using Data from Air Quality Networks. J. Chem. Educ. 2017, 94, 458–464. [Google Scholar] [CrossRef]
- Dominick, D.; Juahir, H.; Latif, M.T.; Zain, S.M.; Aris, A.Z. Spatial assessment of air quality patterns in Malaysia using multivariate analysis. Atmos. Environ. 2012, 60, 172–181. [Google Scholar] [CrossRef]
- Kassomenos, P.A.; Kelessis, A.; Paschalidou, A.K.; Petrakakis, M. Identification of sources and processes affecting particulate pollution in Thessaloniki, Greece. Atmos. Environ. 2011, 45, 7293–7300. [Google Scholar] [CrossRef]
- Khare, P.; Baruah, B.P. Elemental characterization and source identification of PM2.5 using multivariate analysis at the suburban site of North-East India. Atmos. Res. 2010, 98, 148–162. [Google Scholar] [CrossRef]
- Azid, A.; Juahir, H.; Toriman, M.E.; Kamarudin, M.K.A.; Saudi, A.S.M.; Hasnam, C.N.C.; Aziz, N.A.A.; Azaman, F.; Latif, M.T.; Zainuddin, S.F.M.; et al. Prediction of the Level of Air Pollution Using Principal Component Analysis and Artificial Neural Network Techniques: A Case Study in Malaysia. Water Air Soil Pollut. 2014, 225, 2063. [Google Scholar] [CrossRef]
- Pandey, B.; Agrawal, M.; Singh, S. Assessment of air pollution around coal mining area: Emphasising on spatial distributions, seasonal variations and heavy metals, using cluster and principal component analysis. Atmos. Pollut. Res. 2014, 5, 79–86. [Google Scholar] [CrossRef]
- Núñez-Alonso, D.; Pérez-Arribas, L.V.; Manzoor, S.; Cáceres, J.O. Statistical Tools for Air Pollution Assessment: Multivariate and Spatial Analysis Studies in the Madrid Region. J. Anal. Methods Chem. 2019, 2019, 9753927. [Google Scholar] [CrossRef]
- Soleimani, M.; Amini, N.; Sadeghian, B.; Wang, D.; Fang, L. Heavy metals and their source identification in particulate matter (PM2.5) in Isfahan City, Iran. J. Environ. Sci. 2018, 72, 166–175. [Google Scholar] [CrossRef]
- Thurston, G.D.; Ito, K.; Lall, R. A source apportionment of U.S. fine particulate matter air pollution. Atmos. Environ. 2011, 45, 3924–3936. [Google Scholar] [CrossRef]
- Woszczyk, M.; Spychalski, W.; Boluspaeva, L. Trace metal (Cd, Cu, Pb, Zn) fractionation in urban-industrial soils of Ust-Kamenogorsk (Oskemen), Kazakhstan—Implications for the assessment of environmental quality. Environ. Monit. Assess. 2018, 190, 362. [Google Scholar] [CrossRef]
- Govender, P.; Sivakumar, V. Application of k-means and hierarchical clustering techniques for analysis of air pollution: A review (1980–2019). Atmos. Pollut. Res. 2020, 11, 40–56. [Google Scholar] [CrossRef]
- Rp5.kz Reliable Prognosis-5. Weather for 243 Countries of the World. 2021. Available online: https://rp5.kz/Weather_in_the_world (accessed on 15 November 2022).
- Wong, Y.J.; Shiu, H.-Y.; Chang, J.H.-H.; Ooi, M.C.G.; Li, H.-H.; Homma, R.; Shimizu, Y.; Chiueh, P.-T.; Maneechot, L.; Nik Sulaiman, N.M. Spatiotemporal impact of COVID-19 on Taiwan air quality in the absence of a lockdown: Influence of urban public transportation use and meteorological conditions. J. Clean. Prod. 2022, 365, 132893. [Google Scholar] [CrossRef]
- Zhang, Y.; Li, M.; Bravo, M.A.; Jin, L.; Nori-Sarma, A.; Xu, Y.; Guan, D.; Wang, C.; Chen, M.; Wang, X.; et al. Air Quality in Lanzhou, a Major Industrial City in China: Characteristics of Air Pollution and Review of Existing Evidence from Air Pollution and Health Studies. Water Air Soil Pollut. 2014, 225, 2187. [Google Scholar] [CrossRef] [PubMed]
- Bulletin of National Statistics. About Emissions into Atmospheric Air in the East-Kazakhstani Region. 2022. Available online: https://stat.gov.kz/region/264990/statistical_information/industry/63157 (accessed on 29 October 2022).
- Minister of Health. On Approval of Hygienic Standards for Atmospheric Air in Urban and Rural Settlements, on the Territories of Industrial Organizations Order of the Minister of Health of the Republic of Kazakhstan Dated 2 August 2022, No. KP ΔCM-70. Available online: https://adilet.zan.kz/rus/docs/V2200029011#z10 (accessed on 28 October 2022).
- UNECE. Environmental Performance Review for Kazakhstan. 2019. Available online: https://unece.org/environment-policy/publications/3rd-environmental-performance-review-kazakhstan (accessed on 28 October 2022).
- Ibragimova, O.P.; Omarova, A.; Bukenov, B.; Zhakupbekova, A.; Baimatova, N. Seasonal and Spatial Variation of Volatile Organic Compounds in Ambient Air of Almaty City, Kazakhstan. Atmosphere 2021, 12, 1592. [Google Scholar] [CrossRef]
- WHO. WHO Global Air Quality Guidelines: Particulate Matter (PM2.5 and PM10), Ozone, Nitrogen Dioxide, Sulfur Dioxide and Carbon Monoxide; World Health Organization: Geneva, Switzerland, 2021.
- Kaiser, H.F. The Varimax Criterion for Analytic Rotation in Factor-Analysis. Psychometrika 1958, 23, 187–200. [Google Scholar] [CrossRef]
- Saksena, S.; Joshi, V.; Patil, R. Cluster analysis of Delhi’s ambient air quality data. J. Environ. Monit. 2003, 5, 491–499. [Google Scholar] [CrossRef]
- Yang, H.; Liu, Y.; Liu, J.; Wang, Y.; Tao, S. The roles of the metallurgy, nonmetal products and chemical industry sectors in air pollutant emissions in China. Environ. Res. Lett. 2018, 13, 084013. [Google Scholar] [CrossRef]
- Wang, S.; Hao, J.; Ho, M.S.; Li, J.; Lu, Y. Intake fractions of industrial air pollutants in China: Estimation and application. Sci. Total Environ. 2006, 354, 127–141. [Google Scholar] [CrossRef]
- Ware, J.; Ferris, B., Jr.; Dockery, D.; Spengler, J.; Stram, D.; Speizer, F.E. Effects of ambient sulfur oxides and suspended particles on respiratory health of preadolescent children. Am. Rev. Respir. Dis. 1986, 133, 834–842. [Google Scholar]
- Fattore, E.; Paiano, V.; Borgini, A.; Tittarelli, A.; Bertoldi, M.; Crosignani, P.; Fanelli, R. Human health risk in relation to air quality in two municipalities in an industrialized area of Northern Italy. Environ. Res. 2011, 111, 1321–1327. [Google Scholar] [CrossRef]
- Suarez-Bertoa, R.; Selleri, T.; Gioria, R.; Melas, A.D.; Ferrarese, C.; Franzetti, J.; Arlitt, B.; Nagura, N.; Hanada, T.; Giechaskiel, B. Real-Time Measurements of Formaldehyde Emissions from Modern Vehicles. Energies 2022, 15, 7680. [Google Scholar] [CrossRef]
- Green, J.R.; Fiddler, M.N.; Fibiger, D.L.; McDuffie, E.E.; Aquino, J.; Campos, T.; Shah, V.; Jaeglé, L.; Thornton, J.A.; DiGangi, J.P.; et al. Wintertime Formaldehyde: Airborne Observations and Source Apportionment over the Eastern United States. J. Geophys. Res. Atmos. 2021, 126, e2020JD033518. [Google Scholar] [CrossRef]
- Shirai, H.; Ikeda, M.; Aramaki, H. Characteristics of hydrogen sulfide formation in pulverized coal combustion. Fuel 2013, 114, 114–119. [Google Scholar] [CrossRef]
- Córdoba, P. Emissions of inorganic trace pollutants from coal power generation. Air Pollution—Monitoring, Quantification and Removal of Gases and Particles; IntechOpen: London, UK, 2018. [Google Scholar] [CrossRef]
- Miller, B.G. (Ed.) 7-Coal-fired emissions and legislative action. In Clean Coal Engineering Technology, 2nd ed.; Butterworth-Heinemann: Oxford, UK, 2017; pp. 311–417. [Google Scholar]
- EH&E. Emissions of Hazardous Air Pollutants from Coal-Fired Power Plants; Environmental Health & Engineering, Inc.: Washington, DC, USA, 2011. [Google Scholar]
- Motokura, M.; Lee, J.; Kutani, I.; Phoumin, H. Improving Emissions Regulations for Coal-Fired Power Plants in ASEAN; Economic Research Institute for ASEAN and East Asia: Jakarta, Indonesia, 2017. [Google Scholar]
- Perrone, M.G.; Carbone, C.; Faedo, D.; Ferrero, L.; Maggioni, A.; Sangiorgi, G.; Bolzacchini, E. Exhaust emissions of polycyclic aromatic hydrocarbons, n-alkanes and phenols from vehicles coming within different European classes. Atmos. Environ. 2014, 82, 391–400. [Google Scholar] [CrossRef]
- Kerimray, A.; Baimatova, N.; Ibragimova, O.P.; Bukenov, B.; Kenessov, B.; Plotitsyn, P.; Karaca, F. Assessing air quality changes in large cities during COVID-19 lockdowns: The impacts of traffic-free urban conditions in Almaty, Kazakhstan. Sci. Total Environ. 2020, 730, 139179. [Google Scholar] [CrossRef]






| Enterprise | Production | The Volume of the Production | Permitted Emissions, t/y |
|---|---|---|---|
| The Ust-Kamenogorsk metallurgy complex of Kazzinc LLP | Lead Zinc Copper Technical sulfuric acid | 144 Kt/y 190 Kt/y 70 Kt/y 1000 Kt/y | TSP—129; NO2—245; SO2—16,856; H2SO4—51; CO—8356; HF—12; HCl—57; H2S—0.5 |
| The Ulba metallurgical plant | Tantalum Uranus Beryllium | No open data | TSP—7.4; NO2—5; SO2—0.1; H2SO4—4.4; CO—0.5; HF—2.3; HCl—0.7 |
| The Ust-Kamenogorsk thermal power plant | Heat energy Electricity Burnt coal | 859.9 Gcal/h 372.5 MW/y 1.5 Mt/y | TSP—3035; NO2—4470; SO2—9277; CO—185; HF—0.006; H2S—0.001 |
| The Ust-Kamenogorsk titanium and magnesium plant | Titanium tetrachloride Sponge titanium Raw magnesium Anhydrous carnallite | 49 Kt/y 12 Kt/y 13 Kt/y 9.6 Kt/y | TSP—24; NO2—15; SO2—30; H2SO4—0.1; CO—314; HF—0.14; HCl—28 |
| The Sogrinskaya thermal power plant | Heat energy Electricity Burnt coal | 168 Gcal/h 75 MW/y 0.35 Mt/y | TSP—454; NO2—975; SO2—1974; CO—8 |
| The left-bank thermal power plant | Heat energy Burnt coal | 168 Gcal/h 0.083 Mt/y | TSP—693; NO2—342; SO2—446; CO—95 |
| Station 1 | Station 2 | Station 3 | Station 4 | Station 5 | |||||||||
|---|---|---|---|---|---|---|---|---|---|---|---|---|---|
| PC1 | PC2 | PC1 | PC2 | PC1 | PC2 | PC3 | PC1 | PC2 | PC3 | PC1 | PC2 | PC3 | |
| TSP | 0.803 | 0.093 | 0.859 | −0.121 | 0.829 | 0.228 | 0.079 | 0.773 | 0.218 | −0.047 | 0.669 | 0.509 | 0.109 |
| SO2 | 0.841 | −0.054 | 0.835 | −0.018 | 0.745 | 0.395 | 0.007 | 0.747 | 0.363 | 0.150 | 0.603 | 0.476 | 0.350 |
| CO | 0.633 | −0.023 | 0.796 | −0.267 | 0.800 | 0.237 | 0.065 | 0.718 | 0.068 | 0.015 | 0.681 | 0.387 | −0.001 |
| NO2 | 0.748 | 0.198 | 0.772 | 0.197 | 0.580 | 0.485 | −0.216 | 0.523 | 0.260 | 0.465 | 0.406 | 0.315 | 0.573 |
| Phenol | 0.530 | 0.035 | 0.452 | −0.036 | 0.146 | 0.686 | 0.197 | 0.212 | 0.590 | −0.234 | 0.066 | 0.748 | −0.133 |
| HF | 0.560 | 0.443 | 0.545 | 0.340 | 0.232 | 0.776 | −0.078 | 0.304 | 0.671 | 0.172 | 0.107 | 0.763 | 0.159 |
| HCl | 0.248 | −0.758 | 0.225 | −0.650 | 0.361 | −0.155 | 0.684 | 0.493 | −0.584 | −0.138 | 0.693 | −0.317 | −0.125 |
| H2SO4 | 0.835 | −0.060 | 0.809 | −0.046 | 0.804 | 0.197 | −0.045 | 0.695 | 0.348 | 0.009 | 0.467 | 0.580 | 0.180 |
| Formaldehyde | 0.101 | 0.558 | 0.092 | 0.747 | 0.175 | −0.199 | −0.788 | −0.011 | −0.050 | 0.893 | −0.095 | −0.086 | 0.880 |
| H2S | 0.739 | −0.220 | 0.806 | −0.100 | 0.706 | −0.018 | 0.109 | 0.708 | −0.102 | 0.059 | 0.702 | 0.164 | 0.090 |
| Eigenvalue | 4.223 | 1.185 | 4.541 | 1.222 | 3.599 | 1.675 | 1.205 | 3.309 | 1.526 | 1.146 | 2.656 | 2.346 | 1.336 |
| % of variance | 42.231 | 11.847 | 45.409 | 12.223 | 35.986 | 16.751 | 12.049 | 33.089 | 15.264 | 11.457 | 26.559 | 23.465 | 13.363 |
| Cumulative % | 42.231 | 54.078 | 45.409 | 57.632 | 35.986 | 52.738 | 64.787 | 33.089 | 48.352 | 59.809 | 26.559 | 50.024 | 63.387 |
| Station 1 | Station 2 | Station 3 | Station 4 | Station 5 | ||||||||||||
|---|---|---|---|---|---|---|---|---|---|---|---|---|---|---|---|---|
| PC1 | PC2 | PC3 | PC4 | PC1 | PC2 | PC3 | PC1 | PC2 | PC3 | PC1 | PC2 | PC3 | PC1 | PC2 | PC3 | |
| TSP | 0.087 | 0.321 | 0.665 | −0.130 | 0.210 | 0.026 | 0.664 | 0.119 | −0.107 | 0.838 | 0.150 | 0.427 | 0.548 | 0.209 | 0.200 | 0.684 |
| SO2 | 0.711 | 0.278 | −0.044 | −0.008 | 0.679 | 0.303 | 0.127 | 0.502 | 0.569 | 0.230 | 0.717 | 0.336 | 0.006 | 0.685 | 0.399 | 0.124 |
| CO | −0.113 | 0.023 | 0.804 | 0.143 | −0.195 | 0.032 | 0.725 | −0.519 | 0.339 | 0.521 | 0.185 | −0.014 | 0.393 | −0.066 | −0.206 | 0.776 |
| NO2 | 0.187 | 0.751 | 0.303 | 0.094 | 0.727 | −0.335 | 0.107 | −0.276 | 0.744 | 0.158 | 0.679 | −0.200 | 0.063 | 0.699 | −0.280 | 0.059 |
| Phenol | 0.179 | −0.073 | 0.097 | 0.865 | −0.044 | 0.413 | −0.045 | 0.359 | −0.001 | −0.158 | 0.318 | 0.299 | −0.666 | 0.005 | 0.376 | −0.165 |
| HF | −0.179 | 0.773 | 0.155 | −0.166 | 0.474 | −0.637 | 0.057 | −0.522 | 0.588 | −0.114 | 0.521 | −0.538 | 0.193 | 0.436 | −0.618 | 0.007 |
| HCl | 0.645 | −0.484 | 0.054 | 0.054 | 0.099 | 0.757 | 0.220 | 0.691 | −0.087 | 0.273 | −0.045 | 0.806 | 0.121 | 0.038 | 0.779 | 0.134 |
| H2SO4 | 0.458 | −0.031 | 0.421 | −0.497 | 0.261 | 0.050 | 0.626 | 0.112 | 0.206 | 0.693 | 0.411 | 0.154 | 0.399 | 0.450 | 0.095 | 0.476 |
| Formaldehyde | 0.485 | 0.612 | −0.088 | 0.002 | 0.825 | −0.035 | 0.067 | 0.197 | 0.820 | 0.008 | 0.787 | 0.076 | 0.120 | 0.797 | 0.098 | 0.081 |
| H2S | 0.763 | 0.005 | 0.012 | 0.111 | 0.425 | 0.516 | 0.111 | 0.734 | 0.078 | 0.190 | 0.152 | 0.704 | −0.063 | 0.228 | 0.684 | 0.119 |
| Eigenvalue | 2.069 | 1.958 | 1.404 | 1.085 | 2.238 | 1.626 | 1.457 | 2.078 | 2.078 | 1.680 | 2.218 | 1.888 | 1.132 | 2.087 | 1.936 | 1.382 |
| % of variance | 20.693 | 19.578 | 14.037 | 10.850 | 22.377 | 16.260 | 14.567 | 20.779 | 20.778 | 16.797 | 22.177 | 18.880 | 11.325 | 20.872 | 19.360 | 13.817 |
| Cumulative % | 20.693 | 40.271 | 54.308 | 65.158 | 22.377 | 38.637 | 53.205 | 20.779 | 41.557 | 58.354 | 22.177 | 41.056 | 52.381 | 20.872 | 40.232 | 54.049 |
| Cold Season | Warm Season | ||
|---|---|---|---|
| Group 1 | Group 2 | Group 1 | Group 2 |
| TSP | HCl | SO2 | TSP |
| SO2 | Formaldehyde | NO2 | CO |
| CO | Formaldehyde | Phenol | |
| NO2 | HCl | H2SO4 | |
| Phenol | H2S | ||
| HF | HF | ||
| H2SO4 | |||
| H2S | |||
Publisher’s Note: MDPI stays neutral with regard to jurisdictional claims in published maps and institutional affiliations. |
© 2022 by the authors. Licensee MDPI, Basel, Switzerland. This article is an open access article distributed under the terms and conditions of the Creative Commons Attribution (CC BY) license (https://creativecommons.org/licenses/by/4.0/).
Share and Cite
Assanov, D.; Radelyuk, I.; Perederiy, O.; Galkin, S.; Maratova, G.; Zapasnyi, V.; Klemeš, J.J. Spatiotemporal Patterns of Air Pollution in an Industrialised City—A Case Study of Ust-Kamenogorsk, Kazakhstan. Atmosphere 2022, 13, 1956. https://doi.org/10.3390/atmos13121956
Assanov D, Radelyuk I, Perederiy O, Galkin S, Maratova G, Zapasnyi V, Klemeš JJ. Spatiotemporal Patterns of Air Pollution in an Industrialised City—A Case Study of Ust-Kamenogorsk, Kazakhstan. Atmosphere. 2022; 13(12):1956. https://doi.org/10.3390/atmos13121956
Chicago/Turabian StyleAssanov, Daulet, Ivan Radelyuk, Olessya Perederiy, Stanislav Galkin, Gulira Maratova, Valeriy Zapasnyi, and Jiří Jaromír Klemeš. 2022. "Spatiotemporal Patterns of Air Pollution in an Industrialised City—A Case Study of Ust-Kamenogorsk, Kazakhstan" Atmosphere 13, no. 12: 1956. https://doi.org/10.3390/atmos13121956
APA StyleAssanov, D., Radelyuk, I., Perederiy, O., Galkin, S., Maratova, G., Zapasnyi, V., & Klemeš, J. J. (2022). Spatiotemporal Patterns of Air Pollution in an Industrialised City—A Case Study of Ust-Kamenogorsk, Kazakhstan. Atmosphere, 13(12), 1956. https://doi.org/10.3390/atmos13121956

