Effective Moisture Evolution since the Last Glacial Maximum Revealed by a Loess Record from the Westerlies-Dominated Ili Basin, NW China
Abstract
1. Introduction
2. Study Area, Materials, and Methods
2.1. Loess Section and Sampling

2.2. Age–Depth Models
2.3. Clay Mineral Preparation Testing and Analysis
3. Results and Discussion
3.1. Origin and Significance of Clay Minerals
3.2. Paleoclimatic Significance of <2 μm Grain Size Fraction

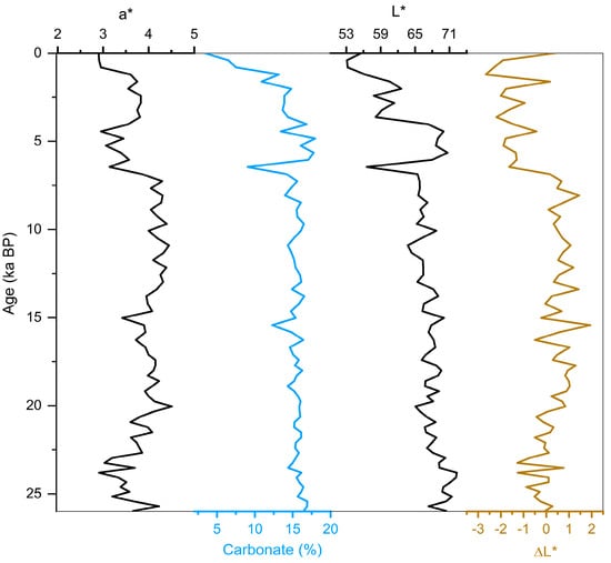
3.3. The ΔL* of the ZSP Section and Its Paleoclimatic Significance
3.4. Effective Moisture Evolution and Possible Driving Mechanism in the Ili Basin
4. Conclusions
Supplementary Materials
Author Contributions
Funding
Institutional Review Board Statement
Informed Consent Statement
Data Availability Statement
Acknowledgments
Conflicts of Interest
References
- Aizen, V.B.; Aizen, E.M.; Melack, J.M. Precipitation, melt and runoff in the northern Tien Shan. J. Hydrol. 1996, 186, 229–251. [Google Scholar] [CrossRef]
- Chen, F.H.; Chen, J.H.; Huang, W.; Chen, S.Q.; Huang, X.Z.; Jin, L.Y.; Jia, J.; Zhang, X.J.; An, C.B.; Zhang, J.W.; et al. Westerlies Asia and monsoonal Asia: Spatiotemporal differences in climate change and possible mechanisms on decadal to sub-orbital timescales. Earth-Sci. Rev. 2019, 192, 337–354. [Google Scholar] [CrossRef]
- Guan, X.F.; Yang, L.M.; Zhang, Y.X.; Li, J.G. Spatial distribution, temporal variation, and transport characteristics of atmospheric water vapor over Central Asia and the arid region of China. Glob. Planet. Change 2019, 172, 159–178. [Google Scholar] [CrossRef]
- Sorg, A.; Bolch, T.; Stoffel, M.; Solomina, O.; Beniston, M. Climate change impacts on glaciers and runoff in Tien Shan (Central Asia). Nat. Clim. Chang. 2012, 2, 725–731. [Google Scholar] [CrossRef]
- Wang, S.J.; Zhang, M.J.; Che, Y.J.; Chen, F.L.; Qiang, F. Contribution of recycled moisture to precipitation in oases of arid central Asia: A stable isotope approach. Water Resour. Res. 2016, 52, 3246–3257. [Google Scholar] [CrossRef]
- Li, J.Y.; Wang, N.L.; Dodson, J.; Yan, H.; Zhang, X.J.; Jia, P.W.; Seppa, H. Holocene negative coupling of summer temperature and moisture availability over southeastern arid Central Asia. Clim. Dyn. 2020, 55, 1187–1208. [Google Scholar] [CrossRef]
- Long, H.; Shen, J.; Chen, J.H.; Tsukamoto, S.; Yang, L.H.; Cheng, H.Y.; Frechen, M. Holocene moisture variations over the arid central Asia revealed by a comprehensive sand-dune record from the central Tian Shan, NW China. Quat. Sci. Rev. 2017, 174, 13–32. [Google Scholar] [CrossRef]
- Zhang, D.L.; Chen, X.; Li, Y.M.; Ran, M.; Yang, Y.P.; Zhang, S.R.; Feng, Z.D. Holocene moisture variations in the Arid Central Asia: New evidence from the southern Altai Mountains of China. Sci. Total Environ. 2020, 735, 8. [Google Scholar] [CrossRef]
- Wang, W.; Feng, Z.D.; Ran, M.; Zhang, C.J. Holocene climate and vegetation changes inferred from pollen records of Lake Aibi, northern Xinjiang, China: A potential contribution to understanding of Holocene climate pattern in East-central Asia. Quat. Int. 2013, 311, 54–62. [Google Scholar] [CrossRef]
- Chen, F.H.; Yu, Z.C.; Yang, M.L.; Ito, E.; Wang, S.M.; Madsen, D.B.; Huang, X.Z.; Zhao, Y.; Sato, T.; Birks, H.J.B.; et al. Holocene moisture evolution in arid central Asia and its out-of-phase relationship with Asian monsoon history. Quat. Sci. Rev. 2008, 27, 351–364. [Google Scholar] [CrossRef]
- Ran, M.; Zhang, C.J.; Feng, Z.D. Climatic and hydrological variations during the past 8000 years in northern Xinjiang of China and the associated mechanisms. Quat. Int. 2015, 358, 21–34. [Google Scholar] [CrossRef]
- Cheng, H.; Zhang, P.Z.; Spotl, C.; Edwards, R.L.; Cai, Y.J.; Zhang, D.Z.; Sang, W.C.; Tan, M.; An, Z.S. The climatic cyclicity in semiarid-arid central Asia over the past 500,000 years. Geophys. Res. Lett. 2012, 39, 5. [Google Scholar] [CrossRef]
- Rhodes, T.E.; Gasse, F.; Lin, R.F.; Fontes, J.C.; Wei, K.Q.; Bertrand, P.; Gibert, E.; Melieres, F.; Tucholka, P.; Wang, Z.X.; et al. A late Pleistocene-Holocene lacustrine record from Lake Manas, Zunggar (northern Xinjiang, western China). Paleogeogr. Paleoclimatol. Paleoecol. 1996, 120, 105–121. [Google Scholar] [CrossRef]
- Rudaya, N.; Tarasov, P.; Dorofeyuk, N.; Solovieva, N.; Kalugin, I.; Andreev, A.; Daryin, A.; Diekmann, B.; Riedel, F.; Tserendash, N.; et al. Holocene environments and climate in the Mongolian Altai reconstructed from the Hoton-Nur pollen and diatom records: A step towards better understanding climate dynamics in Central Asia. Quat. Sci. Rev. 2009, 28, 540–554. [Google Scholar] [CrossRef]
- Wei, K.; Gasse, F. Oxygen isotopes in lacustrine carbonates of West China revisited: Implications for post glacial changes in summer monsoon circulation. Quat. Sci. Rev. 1999, 18, 1315–1334. [Google Scholar] [CrossRef]
- Chen, F.H.; Jia, J.; Chen, J.H.; Li, G.Q.; Zhang, X.J.; Xie, H.C.; Xia, D.S.; Huang, W.; An, C.B. A persistent Holocene wetting trend in arid central Asia, with wettest conditions in the late Holocene, revealed by multi-proxy analyses of loess-paleosol sequences in Xinjiang, China. Quat. Sci. Rev. 2016, 146, 134–146. [Google Scholar] [CrossRef]
- Zhang, D.L.; Feng, Z.D. Holocene climate variations in the Altai Mountains and the surrounding areas: A synthesis of pollen records. Earth-Sci. Rev. 2018, 185, 847–869. [Google Scholar] [CrossRef]
- Ran, M.; Feng, Z.D. Holocene moisture variations across China and driving mechanisms: A synthesis of climatic records. Quat. Int. 2013, 313, 179–193. [Google Scholar] [CrossRef]
- Xu, H.; Zhou, K.E.; Lan, J.H.; Zhang, G.L.; Zhou, X.Y. Arid Central Asia saw mid-Holocene drought. Geology 2019, 47, 255–258. [Google Scholar] [CrossRef]
- Kang, S.G.; Wang, X.L.; Roberts, H.M.; Duller, G.A.T.; Song, Y.G.; Liu, W.G.; Zhang, R.; Liu, X.X.; Lan, J.H. Increasing effective moisture during the Holocene in the semiarid regions of the Yili Basin, Central Asia: Evidence from loess sections. Quat. Sci. Rev. 2020, 246, 11. [Google Scholar] [CrossRef]
- Li, Y.; Song, Y.G.; Orozbaev, R.; Dong, J.B.; Li, X.Z.; Zhou, J. Moisture evolution in Central Asia since 26 ka: Insights from a Kyrgyz loess section, Western Tian Shan. Quat. Sci. Rev. 2020, 249, 18. [Google Scholar] [CrossRef]
- Huang, X.Z.; Chen, C.Z.; Jia, W.N.; An, C.B.; Zhou, A.F.; Zhang, J.W.; Jin, M.; Xia, D.S.; Chen, F.H.; Grimm, E.C. Vegetation and climate history reconstructed from an alpine lake in central Tienshan Mountains since 8.5 ka BP. Paleogeogr. Paleoclimatol. Paleoecol. 2015, 432, 36–48. [Google Scholar] [CrossRef]
- Rao, Z.G.; Guo, H.C.; Cao, J.T.; Shi, F.X.; Jia, G.D.; Li, Y.X.; Chen, F.H. Consistent long-term Holocene warming trend at different elevations in the Altai Mountains in arid central Asia. J. Quat. Sci. 2020, 35, 1036–1045. [Google Scholar] [CrossRef]
- Wu, D.D.; Cao, J.T.; Jia, G.D.; Guo, H.C.; Shi, F.X.; Zhang, X.P.; Rao, Z.G. Peat brGDGTs-based Holocene temperature history of the Altai Mountains in arid Central Asia. Paleogeogr. Paleoclimatol. Paleoecol. 2020, 538, 11. [Google Scholar] [CrossRef]
- Cai, Y.J.; Chiang, J.C.H.; Breitenbach, S.F.M.; Tan, L.C.; Cheng, H.; Edwards, R.L.; An, Z.S. Holocene moisture changes in western China, Central Asia, inferred from stalagmites. Quat. Sci. Rev. 2017, 158, 15–28. [Google Scholar] [CrossRef]
- Jia, J.; Chen, J.H.; Wang, Z.Y.; Chen, S.Q.; Wang, Q.; Wang, L.B.; Yang, L.W.; Xia, D.S.; Chen, F.H. No evidence for an anti-phased Holocene moisture regime in mountains and basins in Central Asian: Records from Ili loess, Xinjiang. Paleogeogr. Paleoclimatol. Paleoecol. 2021, 572, 10. [Google Scholar] [CrossRef]
- Jiang, Q.F.; Ji, J.F.; Shen, J.; Matsumoto, R.; Tong, G.B.; Qian, P.; Ren, X.M.; Yan, D.Z. Holocene vegetational and climatic variation in westerly-dominated areas of Central Asia inferred from the Sayram Lake in northern Xinjiang, China. Sci. China-Earth Sci. 2013, 56, 339–353. [Google Scholar] [CrossRef]
- Zhang, X.N.; Zhou, A.F.; Huang, Z.D.; An, C.B.; Zhao, Y.T.; Yin, L.Y.; Russell, J.M. Moisture evolution in North Xinjiang (northwest China) during the last 8000 years linked to the westerlies’ winter half-year precipitation. Quat. Res. 2021, 100, 122–134. [Google Scholar] [CrossRef]
- Hong, B.; Gasse, F.; Uchida, M.; Hong, Y.T.; Leng, X.T.; Shibata, Y.; An, N.; Zhu, Y.X.; Wang, Y. Increasing summer rainfall in arid eastern-Central Asia over the past 8500 years. Sci. Rep. 2014, 4, 10. [Google Scholar] [CrossRef]
- Zong, X.L.; Dong, J.B.; Cheng, P.; Song, Y.G.; Liu, W.G.; Li, Y.; Lan, J.H. Terrestrial mollusk records in the loess sequences from eastern Central Asia since the last deglaciation and their paleoenvironmental significance. Paleogeogr. Paleoclimatol. Paleoecol. 2020, 556, 9. [Google Scholar] [CrossRef]
- Cheng, H.; Spoetl, C.; Breitenbach, S.F.M.; Sinha, A.; Wassenburg, J.A.; Jochum, K.P.; Scholz, D.; Li, X.L.; Yi, L.; Peng, Y.B.; et al. Climate variations of Central Asia on orbital to millennial timescales. Sci. Rep. 2016, 6, 11. [Google Scholar] [CrossRef] [PubMed]
- Rao, Z.G.; Wu, D.D.; Shi, F.X.; Guo, H.C.; Cao, J.T.; Chen, F.H. Reconciling the ‘westerlies’ and ‘monsoon’ models: A new hypothesis for the Holocene moisture evolution of the Xinjiang region, NW China. Earth-Sci. Rev. 2019, 191, 263–272. [Google Scholar] [CrossRef]
- Song, Y.G.; Shi, Z.T.; Fang, X.M.; Nie, J.S.; Naoto, I.; Qiang, X.K.; Wang, X.L. Loess magnetic properties in the Ili Basin and their correlation with the Chinese Loess Plateau. Sci. China-Earth Sci. 2010, 53, 419–431. [Google Scholar] [CrossRef]
- Li, X.Q.; Zhao, K.L.; Dodson, J.; Zhou, X.Y. Moisture dynamics in central Asia for the last 15 kyr: New evidence from Yili Valley, Xinjiang, NW China. Quat. Sci. Rev. 2011, 30, 3457–3466. [Google Scholar] [CrossRef]
- Song, Y.G.; Chen, X.L.; Qian, L.B.; Li, C.X.; Li, Y.; Li, X.X.; Chang, H.; An, Z.S. Distribution and composition of loess sediments in the Ili Basin, Central Asia. Quat. Int. 2014, 334, 61–73. [Google Scholar] [CrossRef]
- Song, Y.G.; Li, Y.; Cheng, L.Q.; Zong, X.L.; Kang, S.G.; Ghafarpour, A.; Li, X.Z.; Sun, H.Y.; Fu, X.F.; Dong, J.B.; et al. Spatio-temporal distribution of Quaternary loess across Central Asia. Paleogeogr. Paleoclimatol. Paleoecol. 2021, 567, 23. [Google Scholar] [CrossRef]
- Li, J.F. Climate in Xinjiang; China Meteorological Press: Beijing, China, 1991. (In Chinese) [Google Scholar]
- Ye, W. Sedimentary Characteristics of Loess and Paleoclimate in Westerly Region of Xinjiang; China Ocean Press: Beijing, China, 2001. (In Chinese) [Google Scholar]
- Song, Y.G.; Zeng, M.X.; Chen, X.L.; Li, Y.; Chang, H.; An, Z.S.; Guo, X.H. Abrupt climatic events recorded by the Ili loess during the last glaciation in Central Asia: Evidence from grain-size and minerals. J. Asian Earth Sci. 2018, 155, 58–67. [Google Scholar] [CrossRef]
- Machalett, B.; Oches, E.A.; Frechen, M.; Zoller, L.; Hambach, U.; Mavlyanova, N.G.; Markovic, S.B.; Endlicher, W. Aeolian dust dynamics in central Asia during the Pleistocene: Driven by the long-term migration, seasonality, and permanency of the Asiatic polar front. Geochem. Geophys. Geosyst. 2008, 9, 22. [Google Scholar] [CrossRef]
- Li, Y.; Song, Y.G.; Fitzsimmons, K.E.; Chang, H.; Orozbaev, R.; Li, X.X. Eolian dust dispersal patterns since the last glacial period in eastern Central Asia: Insights from a loess-paleosol sequence in the Ili Basin. Clim. Past. 2018, 14, 271–286. [Google Scholar] [CrossRef]
- Cheng, L.; Wu, Y.; Song, Y.; Yang, L.; Miao, X.; Sun, H.; Qiang, X.; Chang, H.; Long, H.; Dong, Z. Strong Asymmetry of Interhemispheric Ice Volume During MIS 11, MIS 9, and MIS 7 Drives Heterogeneity of Interglacial Precipitation Intensity Over Asia. Geophys. Res. Lett. 2022, 49, e2022GL100269. [Google Scholar] [CrossRef]
- Hu, R. Physical Geography of the Tianshan Mountains in China; China Environmental Science Press: Beijing, China, 2004; pp. 264–273. [Google Scholar]
- Kalnay, E.; Kanamitsu, M.; Kistler, R.; Collins, W.; Deaven, D.; Gandin, L.; Iredell, M.; Saha, S.; White, G.; Woollen, J.; et al. The NCEP/NCAR 40-year reanalysis project. Bull. Am. Meteorol. Soc. 1996, 77, 437–471. [Google Scholar] [CrossRef]
- Song, Y.G.; Luo, D.; Du, J.H.; Kang, S.G.; Cheng, P.; Fu, C.F.; Guo, X.H. Radiometric dating of late Quaternary loess in the northern piedmont of South Tianshan Mountains: Implications for reliable dating. Geol. J. 2018, 53, 417–426. [Google Scholar] [CrossRef]
- Song, Y.G.; Li, C.X.; Zhao, J.D.; Cheng, P.; Zeng, M.X. A combined luminescence and radiocarbon dating study of the Ili loess, Central Asia. Quat. Geochronol. 2012, 10, 2–7. [Google Scholar] [CrossRef]
- Porter, S.C.; An, Z.S. Correlation between climate events in the North Atlantic and China during the last glaciation. Nature 1995, 375, 305–308. [Google Scholar] [CrossRef]
- Li, C.; Song, Y.; Qian, L.; Wang, L. The history of climate change recorded by the grain size at the Zhaosu loess section in Central Asia since the last glacial period. Acta Sedimentol. Sinica 2011, 29, 1170–1179, (In Chinese with English abstract). [Google Scholar]
- Li, Y.; Song, Y.G.; Qiang, M.R.; Miao, Y.F.; Zeng, M.X. Atmospheric Dust Variations in the Ili Basin, Northwest China, During the Last Glacial Period as Revealed by a High Mountain Loess-Paleosol Sequence. J. Geophys. Res.-Atmos. 2019, 124, 8449–8466. [Google Scholar] [CrossRef]
- Blaauw, M.; Christen, J.A. Flexible Paleoclimate Age-Depth Models Using an Autoregressive Gamma Process. Bayesian Anal. 2011, 6, 457–474. [Google Scholar] [CrossRef]
- Rhodes, E.J.; Ramsey, C.B.; Outram, Z.; Batt, C.; Willis, L.; Dockrill, S.; Bond, J. Bayesian methods applied to the interpretation of multiple OSL dates: High precision sediment ages from Old Scatness Broch excavations, Shetland Isles. Quat. Sci. Rev. 2003, 22, 1231–1244. [Google Scholar] [CrossRef]
- Reimer, P.J.; Austin, W.E.N.; Bard, E.; Bayliss, A.; Blackwell, P.G.; Ramsey, C.B.; Butzin, M.; Cheng, H.; Edwards, R.L.; Friedrich, M.; et al. The IntCal20 Northern Hemisphere Radiocarbon Age Calibration Curve (0–55 cal kBP). Radiocarbon 2020, 62, 725–757. [Google Scholar] [CrossRef]
- Liu, Z.F.; Colin, C.; Trentesaux, A.; Blamart, D. Clay mineral records of East Asian monsoon evolution during late Quaternary in the southern South China Sea. Sci. China Ser. D-Earth Sci. 2005, 48, 84–92. [Google Scholar] [CrossRef]
- Moore, M.J.; Distefano, M.D.; Walsh, C.T.; Schiering, N.; Pai, E.F. Purification, crystallization, and preliminary-x-ray diffraction studies of the flavoenzyme mercuric ion reductase from bacillus sp strain-rc607. J. Biol. Chem. 1989, 264, 14386–14388. [Google Scholar] [CrossRef]
- Biscaye, P.E. Mineralogy and Sedimentation of Recent Deep-Sea Clay in the Atlantic Ocean and Adjacent Seas and Oceans. Geol. Soc. Am. Bull. 1965, 76, 803–832. [Google Scholar] [CrossRef]
- Chamley, H. Clay Sedimentology; Springer: Berlin/Heidelberg, Germany, 1989; pp. 3–94. [Google Scholar]
- Kalm, V.E.; Rutter, N.W.; Rokosh, C.D. Clay minerals and their paleoenvironmental interpretation in the Baoji loess section, Southern Loess Plateau, China. Catena 1996, 27, 49–61. [Google Scholar] [CrossRef]
- Liu, Z.F.; Colin, C.; Li, X.J.; Zhao, Y.L.; Tuo, S.T.; Chen, Z.; Siringan, F.P.; Liu, J.T.; Huang, C.Y.; You, C.F.; et al. Clay mineral distribution in surface sediments of the northeastern South China Sea and surrounding fluvial drainage basins: Source and transport. Mar. Geol. 2010, 277, 48–60. [Google Scholar] [CrossRef]
- Wang, Q.; Song, Y.; Li, Y. Clay mineralogy of the upper Miocene-Pliocene red clay from the central Chinese Loess Plateau and its paleoclimate implications. Quat. Int. 2020, 552, 148–154. [Google Scholar] [CrossRef]
- Fu, Y.; Hao, Q.Z.; Peng, S.Z.; Markovic, S.B.; Gao, X.B.; Han, L.; Wu, X.C.; Namier, N.; Zhang, W.; Gavrilov, M.B.; et al. Clay mineralogy of the Stari Slankamen (Serbia) loess-paleosol sequence during the last glacial cycle d Implications for dust provenance and interglacial climate. Quat. Sci. Rev. 2021, 263, 14. [Google Scholar] [CrossRef]
- Horiuchi, K.; Minoura, K.; Hoshino, K.; Oda, T.; Nakamura, T.; Kawai, T. Palaeoenvironmental history of Lake Baikal during the last 23000 years. Paleogeogr. Paleoclimatol. Paleoecol. 2000, 157, 95–108. [Google Scholar] [CrossRef]
- Lamy, F.; Klump, J.; Hebbeln, D.; Wefer, G. Late Quaternary rapid climate change in northern Chile. Terr. Nova 2000, 12, 8–13. [Google Scholar] [CrossRef]
- Ye, C.C.; Yang, Y.B.; Fang, X.M.; Guo, Z.G.; Zhang, W.L.; Liu, Y.D. Evolution of Paleogene weathering intensity in the Qaidam Basin, northeastern Tibetan Plateau: Insights from clay geochemistry. Catena 2022, 213, 13. [Google Scholar] [CrossRef]
- Petschick, R.; Kuhn, G.; Gingele, F. Clay mineral distribution in surface sediments of the South Atlantic: Sources, transport, and relation to oceanography. Mar. Geol. 1996, 130, 203–229. [Google Scholar] [CrossRef]
- Long, L.L.; Gao, J.; Klemd, R.; Beier, C.; Qian, Q.; Zhang, X.; Wang, J.B.; Jiang, T. Geochemical and geochronological studies of granitoid rocks from the Western Tianshan Orogen: Implications for continental growth in the southwestern Central Asian Orogenic Belt. Lithos 2011, 126, 321–340. [Google Scholar] [CrossRef]
- Rolland, Y.; Alexeiev, D.V.; Kröner, A.; Corsini, M.; Loury, C.; Monié, P. Late Palaeozoic to Mesozoic kinematic history of the Talas–Ferghana strike-slip fault (Kyrgyz West Tianshan) as revealed by 40Ar/39Ar dating of syn-kinematic white mica. J. Asian Earth Sci. 2013, 67–68, 76–92. [Google Scholar] [CrossRef]
- Li, Y.; Song, Y.G.; Fitzsimmons, K.E.; Chen, X.L.; Prud’homme, C.; Zong, X.L. Origin of loess deposits in the North Tian Shan piedmont, Central Asia. Paleogeogr. Paleoclimatol. Paleoecol. 2020, 559, 17. [Google Scholar] [CrossRef]
- Li, Y.; Song, Y.; Fitzsimmons, K.E.; Chen, X.; Wang, Q.; Sun, H.; Zhang, Z. New evidence for the provenance and formation of loess deposits in the Ili River Basin, Arid Central Asia. Aeolian Res. 2018, 35, 1–8. [Google Scholar] [CrossRef]
- Gallet, S.; Jahn, B.M.; Lanoe, B.V.; Dia, A.; Rossello, E. Loess geochemistry and its implications for particle origin and composition of the upper continental crust. Earth Planet. Sci. Lett. 1998, 156, 157–172. [Google Scholar] [CrossRef]
- Beaufort, D.; Rigault, C.; Billon, S.; Billault, V.; Inoue, A.; Inoue, S.; Patrier, P. Chlorite and chloritization processes through mixed-layer mineral series in low-temperature geological systems–A review. Clay Min. 2015, 50, 497–523. [Google Scholar] [CrossRef]
- Peng, S.Z.; Hao, Q.Z.; Oldfield, F.; Guo, Z.T. Release of iron from chlorite weathering and links to magnetic enhancement in Chinese loess deposits. Catena 2014, 117, 43–49. [Google Scholar] [CrossRef]
- Cuadros, J.; Caballero, E.; Huertas, F.J.; De Cisneros, C.J.; Huertas, F.; Linares, J. Experimental alteration of volcanic tuff: Smectite formation and effect on 18O isotope composition. Clay Clay Min. 1999, 47, 769–776. [Google Scholar] [CrossRef]
- Do Campo, M.; del Papa, C.; Nieto, F.; Hongn, F.; Petrinovic, I. Integrated analysis for constraining palaeoclimatic and volcanic influences on clay-mineral assemblages in orogenic basins (Palaeogene Andean foreland, Northwestern Argentina). Sediment. Geol. 2010, 228, 98–112. [Google Scholar] [CrossRef]
- Singer, A.; Dultz, S.; Argaman, E. Properties of the non-soluble fractions of suspended dust over the Dead Sea. Atmos. Environ. 2004, 38, 1745–1753. [Google Scholar] [CrossRef]
- Melo, V.F.; Singh, B.; Schaefer, C.; Novais, R.F.; Fontes, M.P.F. Chemical and mineralogical properties of kaolinite-rich Brazilian soils. Soil Sci. Soc. Am. J. 2001, 65, 1324–1333. [Google Scholar] [CrossRef]
- Uno, I.; Eguchi, K.; Yumimoto, K.; Takemura, T.; Shimizu, A.; Uematsu, M.; Liu, Z.Y.; Wang, Z.F.; Hara, Y.; Sugimoto, N. Asian dust transported one full circuit around the globe. Nat. Geosci. 2009, 2, 557–560. [Google Scholar] [CrossRef]
- Maggi, V. Mineralogy of atmospheric microparticles deposited along the Greenland Ice Core Project ice core. J. Geophys. Res.-Oceans 1997, 102, 26725–26734. [Google Scholar] [CrossRef]
- Li, Y.; Song, Y.; Zeng, M.; Lin, W.; Orozbaev, R.; Cheng, L.; Chen, X.; Halmurat, T. Evaluating the paleoclimatic significance of clay mineral records from a late Pleistocene loess-paleosol section of the Ili Basin, Central Asia. Quat. Res. 2017, 89, 660–673. [Google Scholar] [CrossRef]
- Li, Y.; Gholami, H.; Song, Y.G.; Fathabadi, A.; Malakooti, H.; Collins, A.L. Source fingerprinting loess deposits in Central Asia using elemental geochemistry with Bayesian and GLUE models. Catena 2020, 194, 12. [Google Scholar] [CrossRef]
- Svensson, A.; Biscaye, P.E.; Grousset, F.E. Characterization of late glacial continental dust in the Greenland Ice Core Project ice core. J. Geophys. Res.-Atmos. 2000, 105, 4637–4656. [Google Scholar] [CrossRef]
- Guerzoni, S.; Molinaroli, E.; Chester, R. Saharan dust inputs to the W. Mediterranean Sea: Depositional patterns, geochemistry and sedimentological implications. Deep. Sea Res. Part II Top. Stud. Oceanogr. 1997, 44, 631–654. [Google Scholar] [CrossRef]
- Peng, S. Composition of Clay Minerals of Eolian Deposits in Northern China since Miocene Times and its Environmental Implications. Ph.D. Dissertation, Chinese Academy of Sciences, Beijing, China, 2004. (In Chinese with English abstract). [Google Scholar]
- Gylesjo, S.; Arnold, E. Clay mineralogy of a red clay-loess sequence from Lingtai, the Chinese Loess Plateau. Glob. Planet. Change 2006, 51, 181–194. [Google Scholar] [CrossRef]
- Leinen, M.; Prospero, J.M.; Arnold, E.; Blank, M. Mineralogy of aeolian dust reaching the North Pacific Ocean: 1. Sampling and analysis. J. Geophys. Res.-Atmos. 1994, 99, 21017–21023. [Google Scholar] [CrossRef]
- Biscaye, P.E.; Grousset, F.E.; Revel, M.; Gaast, S.V.D.; Zielinski, G.A.; Vaars, A.; Kukla, G. Asian provenance of glacial dust (stage 2) in the Greenland Ice Sheet Project 2 Ice Core, Summit, Greenland. J. Geophys. Res.-Oceans. 1997, 102, 26765–26781. [Google Scholar] [CrossRef]
- Ujvari, G.; Varga, A.; Ramos, F.C.; Kovacs, J.; Nemeth, T.; Stevens, T. Evaluating the use of clay mineralogy, Sr-Nd isotopes and zircon U-Pb ages in tracking dust provenance: An example from loess of the Carpathian Basin. Chem. Geol. 2012, 304, 83–96. [Google Scholar] [CrossRef]
- Varga, A.; Ujvari, G.; Raucsik, B. Tectonic versus climatic control on the evolution of a loess-paleosol sequence at Beremend, Hungary: An integrated approach based on paleoecological, clay mineralogical, and geochemical data. Quat. Int. 2011, 240, 71–86. [Google Scholar] [CrossRef]
- Martinez-Lamas, R.; Toucanne, S.; Debret, M.; Riboulot, V.; Deloffre, J.; Boissier, A.; Cheron, S.; Pitel, M.; Bayon, G.; Giosan, L.; et al. Linking Danube River activity to Alpine Ice-Sheet fluctuations during the last glacial (ca. 33–17 ka BP): Insights into the continental signature of Heinrich Stadials. Quat. Sci. Rev. 2020, 229, 24. [Google Scholar] [CrossRef]
- Sun, D.H.; Bloemendal, J.; Rea, D.K.; An, Z.S.; Vandenberghe, J.; Lu, H.Y.; Su, R.X.; Liu, T.S. Bimodal grain-size distribution of Chinese loess, and its palaeoclimatic implications. Catena 2004, 55, 325–340. [Google Scholar] [CrossRef]
- Jia, J.; Liu, H.; Gao, F.Y.; Xia, D.S. Variations in in the westerlies in Central Asia since 16 ka recorded by a loess section from the Tien Shan Mountains. Paleogeogr. Paleoclimatol. Paleoecol. 2018, 504, 156–161. [Google Scholar] [CrossRef]
- Gao, F.Y.; Yang, J.H.; Wang, S.Y.; Wang, Y.J.; Li, K.M.; Wang, F.; Ling, Z.Y.; Xia, D.S. Variation of the winter mid-latitude Westerlies in the Northern Hemisphere during the Holocene revealed by aeolian deposits in the southern Tibetan Plateau. Quat. Res. 2022, 107, 104–112. [Google Scholar] [CrossRef]
- Bland, W. Weathering: An Introduction to the Scientific Principles; Oxford University Press: New York, NY, USA, 1998. [Google Scholar]
- Hao, Q.Z.; Oldfield, F.; Bloemendal, J.; Guo, Z.T. Particle size separation and evidence for pedogenesis in samples from the Chinese Loess Plateau spanning the past 22 m.y. Geology 2008, 36, 727–730. [Google Scholar] [CrossRef]
- Wang, H.; Mason, J.A.; Balsam, W.L. The importance of both geological and pedological processes in control of grain size and sedimentation rates in Peoria Loess. Geoderma 2006, 136, 388–400. [Google Scholar] [CrossRef]
- Xiao, J.; Porter, S.C.; An, Z.S.; Kumai, H.; Yoshikawa, S. Grain Size of Quartz as an Indicator of Winter Monsoon Strength on the Loess Plateau of Central China during the Last 130,000 Yr. Quat. Res. 1995, 43, 22–29. [Google Scholar] [CrossRef]
- Maher, B.A.; Taylor, R.M. Formation of ultrafine-grained magnetite in soils. Nature 1988, 336, 368–370. [Google Scholar] [CrossRef]
- Zhou, L.P.; Oldfield, F.; Wintle, A.G.; Robinson, S.G.; Wang, J.T. Partly pedogenic origin of magnetic variations in Chinese loess. Nature 1990, 346, 737–739. [Google Scholar] [CrossRef]
- Sun, Y.B.; Wang, X.L.; Liu, Q.S.; Clemens, S.C. Impacts of post-depositional processes on rapid monsoon signals recorded by the last glacial loess deposits of northern China. Earth Planet. Sci. Lett. 2010, 289, 171–179. [Google Scholar] [CrossRef]
- Yang, S.L.; Fang, X.M.; Li, J.J.; An, Z.S.; Chen, S.Y.; Fukusawa, H. Transformation functions of soil color and climate. Sci. China Ser. D-Earth Sci. 2001, 44, 218–226. [Google Scholar] [CrossRef]
- Sun, Y.B.; He, L.; Liang, L.J.; An, Z.S. Changing color of Chinese loess: Geochemical constraint and paleoclimatic significance. J. Asian Earth Sci. 2011, 40, 1131–1138. [Google Scholar] [CrossRef]
- Sun, H.Y.; Song, Y.G.; Chen, X.L.; Cheng, L.Q.; Liu, H.F. Holocene dust deposition in the Ili Basin and its implications for climate variations in Westerlies-dominated Central Asia. Paleogeogr. Paleoclimatol. Paleoecol. 2020, 550, 13. [Google Scholar] [CrossRef]
- Li, Y.; Song, Y.-G.; Wang, Q.-S. Chroma characteristics in the Zhaosu loess section and its paleoclimatic significance. J. Earth. Env. 2014, 4, 67–75. [Google Scholar] [CrossRef]
- Gong, D.Y.; Ho, C.H. The Siberian High and climate change over middle to high latitude Asia. Theor. Appl. Climatol. 2002, 72, 1–9. [Google Scholar] [CrossRef]
- Perşoiu, A.; Ionita, M.; Weiss, H. Atmospheric blocking induced by the strengthened Siberian High led to drying in west Asia during the 4.2 ka BP event–A hypothesis. Clim. Past 2019, 15, 781–793. [Google Scholar] [CrossRef]
- Issanova, G.; Abuduwaili, J. Aeolian Processes as Dust Storms in the Deserts of Central Asia and Kazakhstan. In Aeolian Processes as Dust Storms in the Deserts of Central Asia and Kazakhstan; Environmental Science and Engineering; Springer Singapore Pte Ltd.: Singapore, 2017. [Google Scholar]
- Kang, S.G.; Wang, X.L.; Wang, N.; Song, Y.G.; Liu, W.G.; Wang, D.; Peng, J. Siberian High Modulated Suborbital-Scale Dust Accumulation Changes Over the Past 30 ka in the Eastern Yili Basin, Central Asia. Paleoceanogr. Paleoclimatol. 2022, 37, 13. [Google Scholar] [CrossRef]
- Orlovsky, L.; Orlovsky, N.; Durdyev, A. Dust storms in Turkmenistan. J. Arid. Environ. 2005, 60, 83–97. [Google Scholar] [CrossRef]
- Li, G.Q.; Yang, H.; Stevens, T.; Zhang, X.J.; Zhang, H.X.; Wei, H.T.; Zheng, W.P.; Li, L.J.; Liu, X.J.; Chen, J.H.; et al. Differential ice volume and orbital modulation of Quaternary moisture patterns between Central and East Asia. Earth Planet. Sci. Lett. 2020, 530, 12. [Google Scholar] [CrossRef]
- Gao, F.; Yang, J.; Xia, D.; Lu, H.; Wang, S.; Li, K.; Wang, Z.; Wu, Z.; Zhou, J.; Shi, F. Linking moisture and near-surface wind with winter temperature to reveal the Holocene climate evolution in arid Xinjiang region of China. Geosci. Front. 2022, 13, 101433. [Google Scholar] [CrossRef]
- Laskar, J.; Robutel, P.; Joutel, F.; Gastineau, M.; Correia, A.C.M.; Levrard, B. A long-term numerical solution for the insolation quantities of the Earth. Astron. Astrophys. 2004, 428, 261–285. [Google Scholar] [CrossRef]
- Thompson, L.G.; Yao, T.; Davis, M.E.; Henderson, K.A.; Mosley Thompson, E.; Lin, P.N.; Beer, J.; Synal, H.A.; ColeDai, J.; Bolzan, J.F. Tropical climate instability: The last glacial cycle from a Qinghai-Tibetan ice core. Science 1997, 276, 1821–1825. [Google Scholar] [CrossRef]
- Cacho, I.; Grimalt, J.O.; Pelejero, C.; Canals, M.; Sierro, F.J.; Flores, J.A.; Shackleton, N. Dansgaard-Oeschger and heinrich event imprints in Alboran Sea paleotemperatures. Paleoceanography 1999, 14, 698–705. [Google Scholar] [CrossRef]
- Lisiecki, L.E.; Raymo, M.E. A Pliocene-Pleistocene stack of 57 globally distributed benthic delta 18O records. Paleoceanography 2005, 20, 17. [Google Scholar] [CrossRef]





Publisher’s Note: MDPI stays neutral with regard to jurisdictional claims in published maps and institutional affiliations. |
© 2022 by the authors. Licensee MDPI, Basel, Switzerland. This article is an open access article distributed under the terms and conditions of the Creative Commons Attribution (CC BY) license (https://creativecommons.org/licenses/by/4.0/).
Share and Cite
Li, Y.; Li, Y.; Song, Y.; Wei, H.; Wang, Y.; Shukurov, N. Effective Moisture Evolution since the Last Glacial Maximum Revealed by a Loess Record from the Westerlies-Dominated Ili Basin, NW China. Atmosphere 2022, 13, 1931. https://doi.org/10.3390/atmos13111931
Li Y, Li Y, Song Y, Wei H, Wang Y, Shukurov N. Effective Moisture Evolution since the Last Glacial Maximum Revealed by a Loess Record from the Westerlies-Dominated Ili Basin, NW China. Atmosphere. 2022; 13(11):1931. https://doi.org/10.3390/atmos13111931
Chicago/Turabian StyleLi, Yudong, Yue Li, Yougui Song, Haoru Wei, Yanping Wang, and Nosir Shukurov. 2022. "Effective Moisture Evolution since the Last Glacial Maximum Revealed by a Loess Record from the Westerlies-Dominated Ili Basin, NW China" Atmosphere 13, no. 11: 1931. https://doi.org/10.3390/atmos13111931
APA StyleLi, Y., Li, Y., Song, Y., Wei, H., Wang, Y., & Shukurov, N. (2022). Effective Moisture Evolution since the Last Glacial Maximum Revealed by a Loess Record from the Westerlies-Dominated Ili Basin, NW China. Atmosphere, 13(11), 1931. https://doi.org/10.3390/atmos13111931

