Influence of Particulate Matter on the Albedo of Qiangtang No. 1 Glacier, Tibetan Plateau
Abstract
1. Introduction
2. Data and Methods
2.1. Field Observation
2.1.1. Observation and Calculation of Glacier Albedo
2.1.2. Snow Particle Size Measurement
2.1.3. Measurement of Snow Density and Depth
2.1.4. Sample Collection
2.2. Laboratory Analysis
3. Results
3.1. Particulate Characteristics
3.1.1. Temporal and Spatial Variations in Dust on the QT No. 1 Glacier during the Summer
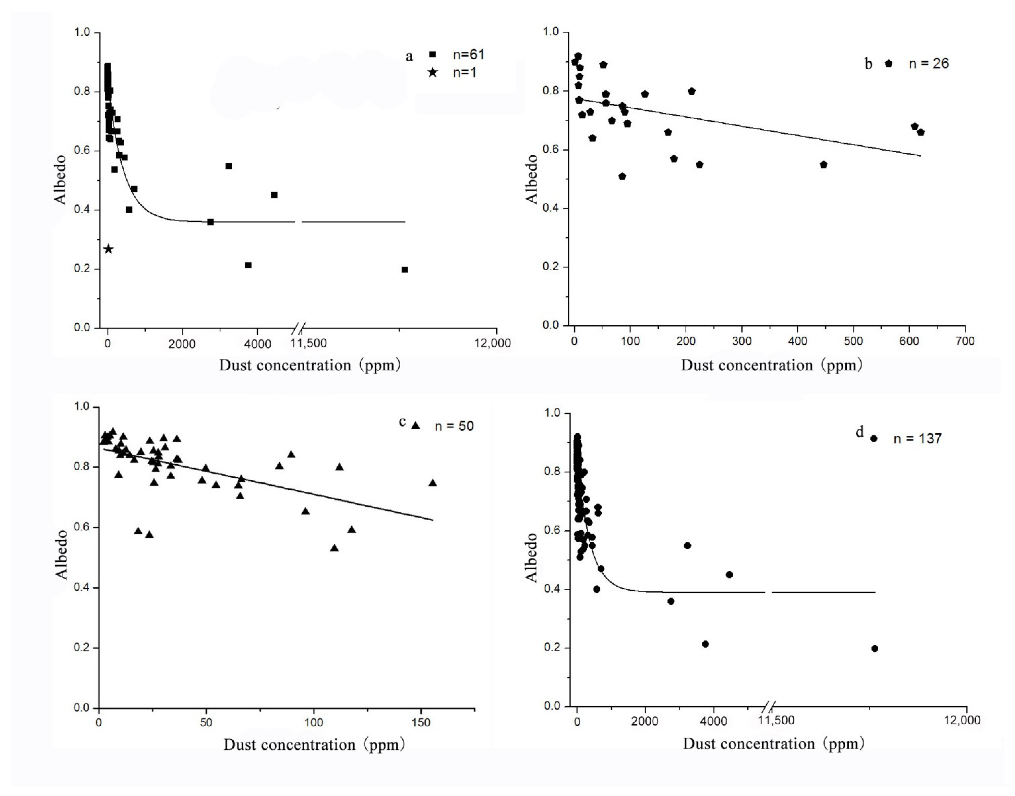
3.1.2. Relationships between Dust and Albedo
3.1.3. Temporal and Spatial Variations of Black Carbon on the QT No. 1 Glacier during the Summer
3.1.4. Relationship between BC and Albedo
3.2. The Properties of Snow and the Influence of Other Factors
3.2.1. Snow Particle Size
3.2.2. Snow Density
3.2.3. Snow Surface Properties and Their Reflectance Spectra
4. Discussion
5. Conclusions
- (1)
- Particulate matter has a significant effect on albedo. During the melting season, particulate matter is continuously enriched on the surface of a glacier. Most of the observed dust contents in the study region were below 600 ppm, although certain areas recorded values exceeding 1000 ppm. All measured BC contents were very low, with most below 10 ppb. A strong correlation was documented between dust content and albedo. Below a dust concentration of 1000 ppm, albedo decreased rapidly as dust content increased; however, albedo stabilized when dust concentrations exceeded 1000 ppm. Albedo showed a decreasing trend as BC concentration increased, but with a weak correlation between each variable.
- (2)
- Snow cover characteristics influence albedo. In particular, albedo decreased as snow particle size and snow density increased. Observed snow particle sizes in the study area showed a roughly log-normal distribution, with a mean radius of ~500 μm and a total range of 40–2539 μm. Snow density values showed a normal distribution, with a median occurrence of 400 kg/m3 and a total range of 193–555 kg/m3.
- (3)
- Snow surface conditions also have a significant impact on albedo. In the study region, the albedo of a sample site on the QT No. 1 Glacier decreased from 0.9 to 0.5 after removing 9.5 cm of fresh snow. The enrichment of particulate matter also had a significant effect on the reflectance spectrum of sampled surfaces, especially in the visible and near-infrared bands.
- (4)
- Our measurements from the QT No. 1 Glacier show that dust has the most significant effect on albedo, followed by snow particle size, and finally BC. SNICAR simulations assessing the influence of particulate matter predicted a greater albedo reduction than was measured during our fieldwork, although overall trends were consistent. Other simulation results indicated that dust and BC on the QT No. 1 Glacier during the 2015 melting season reduced the albedo by 5.90% and 0.06%, respectively, and that average radiative forcing reached 39.78 W/m2 and 0.42 W/m2, respectively. Dust therefore plays a more important role in the melting of the QT No. 1 Glacier than BC, which is mainly due to the rarity of human activity in the region and the low concentration of BC.
Author Contributions
Funding
Data Availability Statement
Conflicts of Interest
References
- RGI Consortium. Randolph Glacier Inventory A Dataset of Global Glacier Outlines: Version 6.0. Global Land Ice Measurements from Space; NSIDC—National Snow and Ice Data Center: Boulder, CO, USA, 2017. [Google Scholar]
- Yao, T.; Bolch, T.; Chen, D.; Gao, J.; Immerzeel, W.; Piao, S.; Su, F.; Thompson, L.; Wada, Y.; Wang, L.; et al. The imbalance of the Asian water tower. Nat. Rev. Earth. Env. 2022, 7, 1–15. [Google Scholar] [CrossRef]
- Azam, M.F.; Wagnon, P.; Berthier, E.; Vincent, C.; Fujita, K.; Kargel, J.S. Review of the status and mass changes of Himalayan-Karakoram glaciers. J. Glaciol. 2018, 64, 61–74. [Google Scholar] [CrossRef]
- Hugonnet, R.; McNabb, R.; Berthier, E.; Menounos, B.; Nuth, C.; Girod, L.; Farinotti, D.; Huss, M.; Dussaillant, I.; Brun, F. Accelerated global glacier mass loss in the early twenty-first century. Nature 2021, 592, 726–731. [Google Scholar] [CrossRef]
- Gardner, A.S.; Moholdt, G.; Cogley, J.G.; Wouters, B.; Arendt, A.A.; Wahr, J.; Berthier, E.; Hock, R.; Pfeffer, W.T.; Kaser, G. A reconciled estimate of glacier contributions to sea level rise: 2003 to 2009. Science 2013, 340, 852–857. [Google Scholar] [CrossRef]
- Neckel, N.; Kropáček, J.; Bolch, T.; Hochschild, V. Glacier mass changes on the Tibetan Plateau 2003–2009 derived from ICESat laser altimetry measurements. Environ. Res. Lett. 2014, 9, 014009. [Google Scholar] [CrossRef]
- Yao, T.; Thompson, L.; Yang, W.; Yu, W.; Gao, Y.; Guo, X.; Yang, X.; Duan, K.; Zhao, H.; Xu, B. Different glacier status with atmospheric circulations in Tibetan Plateau and surroundings. Nat. Clim. Change 2012, 2, 663–667. [Google Scholar] [CrossRef]
- Harrison, W. How do glaciers respond to climate? Perspectives from the simplest models. J. Glaciol. 2013, 59, 949–960. [Google Scholar] [CrossRef]
- Male, D.; Granger, R. Snow surface energy exchange. Water Resour. Res. 1981, 17, 609–627. [Google Scholar] [CrossRef]
- Oerlemans, J.; Knap, W. A 1 year record of global radiation and albedo in the ablation zone of Morteratschgletscher, Switzerland. J. Glaciol. 1998, 44, 231–238. [Google Scholar] [CrossRef]
- Warren, S.G. Optical properties of snow. Rev. Geophy. 1982, 20, 67–89. [Google Scholar] [CrossRef]
- Warren, S.G. Impurities in snow: Effects on albedo and snowmelt. Ann. Glaciol. 1984, 5, 177–179. [Google Scholar] [CrossRef]
- Aoki, T.; Motoyoshi, H.; Kodama, Y.; Yasunari, T.J.; Sugiura, K. Variations of the snow physical parameters and their effects on albedo in Sapporo, Japan. Ann. Glaciol. 2007, 46, 375–381. [Google Scholar] [CrossRef][Green Version]
- Gardner, A.S.; Sharp, M.J. A review of snow and ice albedo and the development of a new physically based broadband albedo parameterization. J. Geophys Res. Earth 2010, 115, F01009. [Google Scholar] [CrossRef]
- Painter, T.H.; Seidel, F.C.; Bryant, A.C.; McKenzie Skiles, S.; Rittger, K. Imaging spectroscopy of albedo and radiative forcing by light-absorbing impurities in mountain snow. J. Geophys Res. Atmos. 2013, 118, 9511–9523. [Google Scholar] [CrossRef]
- Skiles, S.M.; Flanner, M.; Cook, J.M.; Dumont, M.; Painter, T.H. Radiative forcing by light-absorbing particles in snow. Nat. Clim. Change 2018, 8, 964–971. [Google Scholar] [CrossRef]
- Chen, J.; Qin, X.; Kang, S.; Du, W.; Sun, W.; Liu, Y. Potential effect of black carbon on glacier mass balance during the past 55 years of Laohugou Glacier No. 12, Western Qilian Mountains. J. Earth Sci. China 2020, 31, 410–418. [Google Scholar] [CrossRef]
- Johnson, E.; Rupper, S. An examination of physical processes that trigger the albedo-feedback on glacier surfaces and implications for regional glacier mass balance across high Mountain Asia. Front. Environ. Sci. 2020, 8, 129. [Google Scholar] [CrossRef]
- Fujita, K.; Ageta, Y. Effect of summer accumulation on glacier mass balance on the Tibetan Plateau revealed by mass-balance model. J. Glaciol. 2000, 46, 244–252. [Google Scholar] [CrossRef]
- Brun, F.; Dumont, M.; Wagnon, P.; Berthier, E.; Azam, M.; Shea, J.; Sirguey, P.; Rabatel, A.; Ramanathan, A. Seasonal changes in surface albedo of Himalayan glaciers from MODIS data and links with the annual mass balance. Cryosphere 2015, 9, 341–355. [Google Scholar] [CrossRef]
- Zhang, Y.; Gao, T.; Kang, S.; Shangguan, D.; Luo, X. Albedo reduction as an important driver for glacier melting in Tibetan Plateau and its surrounding areas. Earth. Sci. Rev. 2021, 220, 103735. [Google Scholar] [CrossRef]
- Mao, R.; Wu, h.; He, J.; Guo, Z.; Wu, Y.; Wu, X. Spatiotemporal Variation of Albedo of Muztagh Glacier in the Kunlun Mountains and Its Relation to Dust. J. Glaciol. Geocryol. 2013, 35, 1133–1142. [Google Scholar]
- Qu, B.; Ming, J.; Kang, S.C.; Zhang, G.S.; Li, Y.W.; Li, C.D.; Zhao, S.Y.; Ji, Z.M.; Cao, J.J. The decreasing albedo of the Zhadang glacier on western Nyainqentanglha and the role of light-absorbing impurities. Atmos. Chem. Phys. 2014, 14, 11117–11128. [Google Scholar] [CrossRef]
- Yang, S.; Xu, B.; Cao, J.; Zender, C.S.; Wang, M. Climate effect of black carbon aerosol in a Tibetan Plateau glacier. Atmos. Environ. 2015, 111, 71–78. [Google Scholar] [CrossRef]
- Li, Y.; Chen, J.; Kang, S.; Li, C.; Qu, B.; Tripathee, L.; Yan, F.; Zhang, Y.; Guo, J.; Gul, C. Impacts of black carbon and mineral dust on radiative forcing and glacier melting during summer in the Qilian Mountains, northeastern Tibetan Plateau. Cryosphere Discuss. 2016, 11, 1–14. [Google Scholar] [CrossRef]
- Yue, X.; Li, Z.; Wang, F.; Li, H.; Shen, S. The characteristics of surface albedo on the Urumqi Glacier No. 1 during the ablation season in eastern Tien Shan. J. Glaciol. Geocryol. 2021, 43, 1412–1423. [Google Scholar]
- Zhang, T.; Gao, T.; Diao, W.; Zhang, Y. Snow/ice albedo variation and its impact on glacier mass balance in the Qilian Mountains. J. Glaciol. Geocryol. 2021, 43, 145–157. [Google Scholar]
- Zhu, D.; Tian, L.; Wang, J.; Cui, J. The Qiangtang Glacier No. 1 in the middle of the Tibetan Plateau: Depth sounded by using GPR and volume estimated. J. Glaciol. Geocryol. 2014, 36, 278–285. [Google Scholar]
- Bond, T.C.; Doherty, S.J.; Fahey, D.W.; Forster, P.M.; Berntsen, T.; DeAngelo, B.J.; Flanner, M.G.; Ghan, S.; Kärcher, B.; Koch, D. Bounding the role of black carbon in the climate system: A scientific assessment. J. Geophys Res. Atmos. 2013, 118, 5380–5552. [Google Scholar] [CrossRef]
- Flanner, M.G.; Zender, C.S.; Randerson, J.T.; Rasch, P.J. Present-day climate forcing and response from black carbon in snow. J. Geophys Res. Atmos. 2007, 112, D11202page. [Google Scholar] [CrossRef]
- Warren, S.G.; Wiscombe, W.J. A model for the spectral albedo of snow. II: Snow containing atmospheric aerosols. J. Atmos. Sci. 1980, 37, 2734–2745. [Google Scholar] [CrossRef]
- Warren, S.G. Can black carbon in snow be detected by remote sensing? J. Geophys Res. Atmos. 2013, 118, 779–786. [Google Scholar] [CrossRef]
- Xu, B.; Cao, J.; Joswiak, D.R.; Liu, X.; Zhao, H.; He, J. Post-depositional enrichment of black soot in snow-pack and accelerated melting of Tibetan glaciers. Environ. Res. Lett. 2012, 7, 014022. [Google Scholar] [CrossRef]













| Data | Point | Local Time | Dust (ppm) | BC (ppb) | Snow Grain Effective Radius (μm) | Snowpack Thickness (m) | Snowpack Density ρ (kg/m3) | Albedo _In Situ | Albedo _SNICAR |
|---|---|---|---|---|---|---|---|---|---|
| 04062015 | 1 | 10:20 | 11.35 | 3.97 | 477 | 0.30 | 431 | 0.90 | 0.82 |
| 04062015 | 3 | 10:40 | 89.49 | 3.97 | 571 | 0.28 | 354 | 0.84 | 0.73 |
| 04062015 | 5 | 11:30 | 30.10 | 3.97 | 457 | 0.17 | 276 | 0.90 | 0.78 |
| 06062015 | 2 | 10:00 | 27.70 | 1.64 | 294 | 0.25 | 344 | 0.83 | 0.84 |
| 06062015 | 4 | 9:00 | 112.09 | 0.65 | 549 | 0.17 | 352 | 0.80 | 0.75 |
| 06062015 | 5 | 8:10 | 33.50 | 6.47 | 530 | 0.14 | 408 | 0.80 | 0.82 |
| 06062015 | 8 | 11:30 | 24.37 | 3.11 | 642 | 0.12 | 333 | 0.82 | 0.75 |
| 06062015 | 9 | 12:00 | 49.60 | 3.72 | 582 | 0.20 | 426 | 0.80 | 0.74 |
| 06062015 | 10 | 12:30 | 155.52 | 0.57 | 836 | 0.10 | 555 | 0.75 | 0.68 |
| 06062015 | 11 | 13:00 | 36.95 | 11.50 | 899 | 0.10 | 387 | 0.82 | 0.71 |
| 09062015 | 5 | 10:10 | 25.33 | 1.64 | 365 | 0.12 | 244 | 0.88 | 0.81 |
| 25062015 | 10 | 10:00 | 25.29 | 2.69 | 1105 | 0.18 | 410 | 0.80 | 0.72 |
| 04072015 | 2 | 10:40 | 12.50 | 0.24 | 213 | 0.50 | 379 | 0.86 | 0.87 |
| 04072015 | 4 | 11:00 | 4.33 | 0.68 | 218 | 0.40 | 379 | 0.88 | 0.88 |
| 06072015 | 4 | 10:00 | 3.98 | 0.68 | 560 | 0.46 | 398 | 0.87 | 0.83 |
| 15072015 | 2 | 9:00 | 2.20 | 0.10 | 998 | 0.58 | 391 | 0.92 | 0.81 |
| 20072015 | 1 | 9:30 | 30.75 | 0.77 | 358 | 0.56 | 438 | 0.86 | 0.83 |
| 20072015 | 2 | 11:20 | 19.40 | 0.77 | 560 | 0.58 | 438 | 0.85 | 0.79 |
| 20072015 | 3 | 11:50 | 7.76 | 0.77 | 560 | 0.48 | 438 | 0.86 | 0.81 |
| 23072015 | 5 | 10:00 | 36.18 | 1.25 | 893 | 0.27 | 402 | 0.83 | 0.74 |
| 25072015 | 1 | 8:30 | 16.39 | 0.39 | 842 | 0.60 | 396 | 0.82 | 0.80 |
| 25072015 | 2 | 9:10 | 14.41 | 0.43 | 842 | 0.51 | 398 | 0.84 | 0.79 |
| 25072015 | 3 | 9:30 | 9.84 | 0.45 | 842 | 0.42 | 425 | 0.84 | 0.79 |
| 25072015 | 4 | 10:00 | 27.52 | 0.28 | 926 | 0.33 | 393 | 0.81 | 0.74 |
| 25072015 | 6 | 11:00 | 26.32 | 0.28 | 926 | 0.15 | 373 | 0.79 | 0.73 |
| 28072015 | 2 | 10:00 | 27.60 | 1.66 | 1076 | 0.44 | 464 | 0.79 | 0.73 |
| Category | Group | Serial Number | Dust Concentration (ppm) | BC Concentration (ppb) | Snow Particle Radius (μm) | Field Measurement of Albedo | Field Measurement of Albedo Changes (%) | SNICAR Simulated Albedo | SNICAR Simulation of Albedo Changes (%) |
|---|---|---|---|---|---|---|---|---|---|
| First | (1) | 06062015-4 | 112.09 | 0.65 | 549 | 0.80 | 0.75 | ||
| 20072015-2 | 3.82 | 0.77 | 560 | 0.85 | 6.06 | 0.79 | 5.06 | ||
| (2) | 06062015-10 | 155.52 | 0.57 | 836 | 0.75 | 0.68 | |||
| 25072015-1 | 16.39 | 0.39 | 842 | 0.82 | 9.44 | 0.80 | 15.00 | ||
| Second | (3) | 06062015-11 | 36.95 | 11.50 | 899 | 0.82 | 0.71 | ||
| 23072015-5 | 36.18 | 1.25 | 893 | 0.84 | 2.00 | 0.74 | 4.05 | ||
| Third | (4) | 06062015-2 | 27.70 | 1.64 | 294 | 0.83 | 0.84 | ||
| 28072015-2 | 27.60 | 1.66 | 1076 | 0.78 | 6.33 | 0.73 | 13.10 |
| Model | ∆αdust | ∆αBC | RFdust | SD | RFBC | SD |
|---|---|---|---|---|---|---|
| % | % | W/m2 | W/m2 | |||
| SNICAR | 5.90 | 0.06 | 39.78 | 21.90 | 0.42 | 0.37 |
Publisher’s Note: MDPI stays neutral with regard to jurisdictional claims in published maps and institutional affiliations. |
© 2022 by the authors. Licensee MDPI, Basel, Switzerland. This article is an open access article distributed under the terms and conditions of the Creative Commons Attribution (CC BY) license (https://creativecommons.org/licenses/by/4.0/).
Share and Cite
Xu, T.; Wu, G.; Yu, Z.; Pan, Y.; Li, S.; Yan, N. Influence of Particulate Matter on the Albedo of Qiangtang No. 1 Glacier, Tibetan Plateau. Atmosphere 2022, 13, 1618. https://doi.org/10.3390/atmos13101618
Xu T, Wu G, Yu Z, Pan Y, Li S, Yan N. Influence of Particulate Matter on the Albedo of Qiangtang No. 1 Glacier, Tibetan Plateau. Atmosphere. 2022; 13(10):1618. https://doi.org/10.3390/atmos13101618
Chicago/Turabian StyleXu, Tianli, Guangjian Wu, Zhengliang Yu, Yifan Pan, Sen Li, and Ni Yan. 2022. "Influence of Particulate Matter on the Albedo of Qiangtang No. 1 Glacier, Tibetan Plateau" Atmosphere 13, no. 10: 1618. https://doi.org/10.3390/atmos13101618
APA StyleXu, T., Wu, G., Yu, Z., Pan, Y., Li, S., & Yan, N. (2022). Influence of Particulate Matter on the Albedo of Qiangtang No. 1 Glacier, Tibetan Plateau. Atmosphere, 13(10), 1618. https://doi.org/10.3390/atmos13101618
