Next Article in Journal
Operational Probabilistic Fog Prediction Based on Ensemble Forecast System: A Decision Support System for Fog
Next Article in Special Issue
Negative Storm Surges in the Elbe Estuary—Large-Scale Meteorological Conditions and Future Climate Change
Previous Article in Journal
A Review on Lignin-Based Carbon Fibres for Carbon Footprint Reduction
Previous Article in Special Issue
Impacts of Heavy and Persistent Precipitation on Railroad Infrastructure in July 2021: A Case Study from the Ahr Valley, Rhineland-Palatinate, Germany
 
 
Font Type:
Arial Georgia Verdana
Font Size:
Aa Aa Aa
Line Spacing:
Column Width:
Background:
Article

Implementing Hydrological Forecasting Services Supporting Waterway Management and Transportation Logistics Relating to Hydroclimatic Impacts

Department “Water Balance, Forecasting and Predictions”, Federal Institute of Hydrology, 56068 Koblenz, Germany
*
Author to whom correspondence should be addressed.
Atmosphere 2022, 13(10), 1606; https://doi.org/10.3390/atmos13101606
Submission received: 13 September 2022 / Accepted: 27 September 2022 / Published: 30 September 2022

Abstract

As recent years have shown, inland waterways are prone to hydroclimatic impacts. Dry spells, such as in 2003, 2015 or 2018, significantly affected freight transport as well as passenger shipping along Central Europe’s major inland waterways, such as the River Rhine. At the same time, heavy rainfall and the proceeding sea-level rise increasingly hamper the management of numerous inland waterways, such as the Kiel Canal. As prognostic information enables waterway stakeholders to take preventive measures regarding hydroclimatic impacts, the demand for extended-range hydrological forecasts tailored to the management and use of waterways is significantly increasing. Based on preliminary studies, the Federal Institute of Hydrology started developing preliminary extended-range forecast products for relevant gauges at the German waterways since 2015. Step-by-step operational services supplying these new forecast products have been set-up. For the River Rhine, a ten-day forecast has been publicly available since 2019. In 2022, a six-week forecast for Rhine and Elbe will further extend the waterway-related forecasting services in Germany. This article provides insight into the setting of these extended navigation-related forecasting services, where the communication of forecast uncertainties is still a major challenge.

1. Introduction

For decades, navigation-related water-level forecasting services have been a key element in improving the efficiency, safety and ease of inland shipping along free-flowing inland waterways. The reason is that fairway availability and conditions along substantial parts of the European waterway network are significantly affected by hydroclimatic impacts. For Central Europe, low stream flows, floods and river ice are the main influencing factors for inland waterway transport (IWT). As low flows are a periodical phenomenon usually lasting for several months with different intensities, they are by far the major hydroclimatic threat to IWT’s efficiency and reliability. Low stream flows lead to low water levels, implying low water depths, which in turn limits the transport capacity as well as the transport costs of IWT [1]. This effect and the cascading consequences recently became evident during the extreme low flow situation during the second half of 2018 and 2022. The significant decrease in IWT’s transport capacity could not be compensated by the other transport modes, leading to disruptions in the industrial production as well as to the depletion of national strategic fuel reserves in Germany and Switzerland. Statistical calculations indicate a loss of almost five billion euros for the German industrial output in the second half of 2018 as a result of the decline in Rhine traffic [2]. In order to illustrate the strong dependency of IWT on hydroclimatic conditions, Figure 1 shows the load factor for three typical ship types passing the bottleneck of the River Rhine upstream of gauge Kaub in the period of 2001 to 2021. The load factor indicates to which percentage a specific ship type could be loaded. It is calculated as the ratio of the current load in a specific situation (determined by the available water depths) and the maximum load of the ship type considering a safety margin of under-keel clearance. The varying load factors reflect the natural variations of the navigation conditions induced by the hydroclimatic conditions. Although the Rhine offers comparatively good conditions for navigation, the significant low flow periods (2003, 2005, 2011, 2015, 2016, 2018) stick out due to their comparably low load factors for all vessel types, most pronounced for large-size vessels. For example, the pushed convoy (red bars, maximum payload 11,000 tons) had a load factor of less than 20% in the second half of 2018, which is no longer profitable. However, even the smaller vessel types reached their limits in such extreme low flow periods.
During recent years, a large number of European projects covered the topic of assessing the impacts and consequences of extreme weather events on transport systems and IWT in particular, as well as the possible changes of extremes due to climate change. On the European scale, one has to mention in particular the projects ECCONET [3], EWENT [4], WEATHER [5], MOWE-IT [6], EUPORIAS [7] and IMPREX [8]. In Germany, the projects KLIWAS [9] and BMDV Network of Experts [10] substantially contributed. Despite all differences and uncertainties related to the climate change-related challenges for IWT, the possible measures are rather similar. Besides actions regarding the infrastructure, the vessel design and logistical concepts, the aspect of providing improved and more tailored real-time information is often suggested. In addition to more up-to-date information on the waterway, the current traffic situation as well as the hydrodynamic conditions “improved” predictive information is increasingly in demand. The aspect of improved forecasts found its way into relevant strategic papers of the German Federal Ministry for Digital and Transport: the ‘Action Plan Low Water Rhine’ and the ‘Inland Waterway Transport Masterplan’ [11,12]. The improvements suggested in the context of waterway-related forecasts primarily refer to the forecast lead time, which is the time span the forecast covers. The traditional navigation-related forecasts focus on the waterborne transport itself. Supporting the individual skipper to maximize the load of an upcoming trip is their traditional objective, and lead times of several days are therefore sufficient. Although this aspect remains vital, the logistics and production processes up- and downstream of the waterway transport have additionally moved into the spotlight, requiring longer lead times, from weeks to months. To additionally support these processes, an extension of the current forecasting service portfolio was required.
Anticipating this demand, the Federal Institute of Hydrology, which is in charge of developing and maintaining the navigation-related forecasting systems for the German inland waterways, started working on solving methodical and technical challenges related to extended-range hydrological forecast for the waterways. From the modeling perspective, the main requirement in order to extend the forecast lead time was to include extended-range meteorological forecasts covering the required lead times. The ECMWF (European Centre for Medium-Range Weather Forecasts) provides different meteorological forecasts for Central Europe, with lead times going beyond typical weather forecasts. Technically, these forecast products had to be processed (interpolation, disaggregation, etc.) to be used in the hydrological forecast chain consisting of water balance and hydrodynamic models. As the extended-range meteorological forecasts are all ensemble-based forecasts, water balance and hydrodynamic models have to run in ensemble mode, too. Therefore, the previous deterministic forecast workflows had to be enhanced to a probabilistic model chain. This also includes the handling of the increased computation effort. The hydrodynamic model in ensemble-mode is especially computationally demanding, so parallelization is required at this point. Within the new workflow, each meteorological ensemble member is transferred into a discharge and respectively a water-level member. To generate a probabilistic forecast out of the ensemble forecast, statistical post-processing methods had to be implemented and tested. In the end, the statistical post-processing method Ensemble Model Output Statistics (EMOS) was selected (see Section 2.1). The estimation of the EMOS parameter requires hindcasting over a multi-annual period based on historical meteorological forecast. The hindcast database should be as homogenous as possible, so that in case of significant changes, e.g., in the meteorological forecast, the hindcast experiment has to be repeated. Although the basic forecast model chain has not changed in order to generate extended-range hydrological forecasts, numerous adaptions and extensions in the forecasting workflow need to be realized.
The overall objective of this effort was to develop additional forecast products offering extended lead times, which could improve the decision making of the different stakeholders along the German waterways. Such forecast information did not exist before. This objective was directly related to two major challenges:
  • Although the hydro-meteorological predictability in Central Europe is rather limited compared to other parts of the world, we need to be able to generate skillful extended-range forecasts properly quantifying the related uncertainties.
  • We need to be able to communicate the new forecast information, which is no longer deterministic, to the user so that he could benefit from it in his day-to-day business.
This paper describes the technical set-up of models and methods to generate hydrological waterway forecasts with: (i) a 10-day lead time for the River Rhine, Europe’s most important waterway, and (ii) a 6-week lead time for relevant gauges at Rhine and Elbe.
The layout of the different forecast products as well as the setting of the underlying operational services for the inland waterways Rhine and Elbe in Germany is depicted. The interaction with the potential users during the development phase played a key role during the implementation of the forecasting services and is discussed in the following sections.

2. Materials and Methods

The forecasting services providing extended-range forecasting products for the German inland waterways are based on various components and data sources, which are described in the following sections.

2.1. Forecasting Models and Systems

Key elements of the forecasting systems are water balance models for the entire catchments of Rhine and Elbe, respectively. For the 10-day forecast for the Rhine, a hydrodynamic model covering the River Rhine as well as its main tributaries was additionally used to simulate the river routing in detail. The 10-day forecast produces daily mean values, whereas the 6-week forecast predicts weekly mean values. Therefore, the computational time step of the models differs amongst the two forecast products: For the 10-day forecast, the water balance model uses an hourly time step, with the hydrodynamic runs based on a time discretization of 30 min. The latter discretization is required for a proper representation of the numerous weirs along the tributaries and their regulations. The water balance model used for the 6-week forecast operates on a daily time step. Due to historical reasons, the hourly water balance models used for the 10-day and the 6-week forecasts for the Rhine differ. For the 10-day forecast, a water balance model based on the HBV-96 concept is used for the Rhine basin [13,14]. The daily water balance model for the Rhine and Elbe basins used to produce the 6-week forecast is based on LARSIM [15].
The HBV model for the Rhine is semi-distributed and it subdivides the Rhine basin into 134 sub-basins, which are further subdivided into hydrological response units (HRU) according to land use and elevation classes. The flow formation processes are calculated on those HRUs. For further information on the HBV model for the River Rhine and its set-up, we refer to [16].
The LARSIM models for Rhine and Elbe basins are an extract of BfG’s LARSIM model for Central Europe, called LARSIM-ME (ME—MittelEuropa = Central Europe). It has a spatial resolution of 5 × 5 km and it covers the catchments of the rivers Rhine, Elbe, Weser/Ems, Odra and Danube up to gauge Nagymaros in Hungary. For further information on LARSIM-ME and its set-up, we refer to [17].
The one-dimensional hydrodynamic model for the Rhine is based on the software package Sobek [18]. The model cross-sections representing the river bathymetry as well as its floodplains cover the Rhine between gauge Maxau and Pannerdense Kop (approximately 500 km), the Moselle downstream of gauge Trier (approximately 200 km), the Neckar downstream of Rockenau (approximately 60 km), the Lahn downstream of gauge Kalkofen (approximately 40 km) as well as short river stretches of Sieg (approximately 8 km), Ruhr (approximately 10 km) and Lippe (approximately 20 km). As the main tributaries of the River Rhine are impounded rivers (e.g., Moselle, Main), the Sobek model includes several weirs with their specific control rules in order to simulate their effects on the hydrodynamic processes. The spatial discretization is non-equidistant and ranges between 100 and 800 m.
To reduce the model error and to estimate the predictive uncertainty, statistical models are used. Autoregressive (AR) error correction models [19] are applied to the output of the water balance models as well as the output of the hydrodynamic model. The parameters of the AR models (maximum order is 10) are estimated dynamically based on the differences between the model simulations of the past 8 days before the forecast starts and the corresponding measurements. The estimation of the predictive uncertainty is based on the statistical post-processing method Ensemble Model Output Statistics (EMOS) [20]. A normal distribution is used to estimate the predictive uncertainty. To avoid physically unrealistic quantiles from the distribution, we use a normal distribution truncated on both sides, which means that the distribution has a lower and upper water level and flow boundary, respectively. To achieve approximate normality, the raw ensemble forecasts and the corresponding observations are Box-Cox-transformed [21,22]. To estimate the parameters of the statistical post-processing method, a re-forecast dataset using archived meteorological forecast data of a multi-year period as forcing was created using the current hydrological forecasting system. For each meteorological season, separate EMOS models have been estimated to account for differences in the respective seasons.
For data pre-processing, model runs, post-processing and report generation, the widely used Delft-FEWS forecasting framework [23] was applied in a client-server environment.

2.2. Hydrological and Meteorological Data

Observed meteorological data from two sources was used in the forecasting process: (1) the HYRAS dataset [24], providing precipitation, air temperature and global radiation on a 5 × 5 km grid for Central Europe for the period 1951–2018, and (2) observed meteorological real-time data of approximately 1400 stations provided by different meteorological services (DWD, Météo-France, MeteoLux, CHMI). The HYRAS data were used as background grid information for the spatial interpolation of the real-time station-based precipitation. Temperature and global radiation were interpolated using inverse distance weighting. For temperature, a constant lapse rate of 0.6 °C per 100 m was considered when interpolating the station data to the model grid. In addition, the HYRAS data were used as input to a climatology-based forecast (see Section 2.3).
As hydrological input measured water-level data at around 50 gauges provided by the Federal Waterway and Shipping administration, the German federal states and hydrological services of neighboring countries were used. To receive flow data, the measured water levels were transformed using rating curves provided by the particular operator of the gauges. The uncertainty resulting from the rating curves is currently not explicitly considered in the forecasting process. However, as rating curves change over time due to morphological changes of the river topography, a regular update of the rating curves takes place.

2.3. Meteorological Forecasts

For the hydrological 10-day forecast, the prognostic meteorological input consists of 3 different forecasts, leading to an overall ensemble size of 72 members: (1) the deterministic ECMWF-HRES, (2) the 51-member ensemble ECMWF-ENS [25] and (3) the 20-member ensemble COSMO-LEPS [26]. The latter ensemble forecast product is produced by the hydrometeorological service of Emilia-Romagna (ARPA-SIM). The other two meteorological forecasts are provided by the European Centre for Medium-Range Weather Forecasts (ECMWF). To generate the input for each sub-basin of the HBV model, the arithmetic mean of all grid cells from the forecast products and respectively the single ensemble results falling into the sub-basin were calculated.
The hydrological 6-week forecast is based on the ECMWF-ENS extended data, which is a meteorological ensemble forecast including 51 members for the upcoming 46 days [25]. This forecast product is provided twice a week by the ECMWF. The meteorological forecast data were downscaled to the 5 × 5 km grid on which the hydrological model LARSIM operates by bilinear interpolation.
Based on the historical HYRAS dataset, a second type of hydrological forecast input was created following the well-known ensemble streamflow prediction (ESP) approach [27]. Weather trajectories of the period 1968–2018 starting at the same day of the year as the current forecast date were used as a meteorological forcing for the water balance model. In this way of resampling, another 51-member meteorological ensemble and hydrological ensemble, respectively, were created. Compared to the hydrological forecast driven by the ECMWF-ENS, extended predictability of the ESP forecast solely arises from the initial conditions of the hydrological model. Comparing the ESP forecast with the ECMWF-ENS extended driven forecast provides information on the impact of the meteorological forecast on the hydrological output.

2.4. Forecast Workflows

The generation of the 10-day forecast was realized by a typical hydrological model chain consisting of the hydrometeorological input (measured and forecasted), a hydrological water balance model (HBV) covering the whole catchment and a hydrodynamic model (Sobek) covering the major rivers. Additionally, statistical models were used for model output corrections as well as to estimate the predictive uncertainty. Figure 2 shows the forecasting workflow of the hydrological 10-day forecast in a schematic way.
Up to the forecast date, the HBV model is forced with observed real-time meteorological data, interpolated to the 134 sub-basins of the Rhine, while the Sobek model uses observed flow to initialize the model states. For the forecast period, the meteorological forecasts from ECMWF and from ARPA-SIM (see Section 2.3) were used as forcing of the HBV model, which generates flow forecasts for the large tributaries of the River Rhine. These flow forecasts were subsequently used as input for the Sobek model, which calculates the water level time-series at the gauges relevant for navigation. Within the forecast period, the HBV model provides the flow boundary conditions for the Sobek model. Therefore, HBV and Sobek are sequentially coupled by transferring the flow information for the tributaries from the water balance to the hydrodynamic model for the main rivers. There is no feedback from the hydrodynamic to the water balance model. To reduce the error of the output from the hydrologic and the hydrodynamic models, autoregressive error correction models were applied. Along the whole forecast chain, the 72 ensemble members have to be handled. In the final step of generating the forecast product, the single water level trajectories were transferred to a probability distribution and respectively to a probabilistic water level forecast applying EMOS (see Section 2.1).
To estimate the parameters of the statistical post-processing method EMOS, a water level re-forecast dataset using archived meteorological forecast data of the period 1 January 2008–31 December 2015 as forcing was created using the current forecasting system. In addition to the operational forecasting workflow, an offline version of the same workflow is required to produce the hindcasts for each day of the aforementioned period (see Figure 2). For each meteorological season, separate EMOS models have been estimated to account for differences in the respective seasons. The parameters of the estimated EMOS models were then used in the operational forecasting workflow. Probabilistic post-processing is necessary, because typically the bias and under-dispersion from the meteorological ensemble forecast propagate to the hydrological ensemble forecasts [21]. Additionally, the forecast workflow does not explicitly account for other sources of uncertainty besides the meteorological forecast. Especially during low flow conditions with limited or no precipitation input, the overall forecast error is dominated by uncertainties originating from the hydrological and hydrodynamic model and its initial conditions (e.g., soil moisture, snowpack, measured/converted flows). To account for these sources of uncertainty, statistical post-processing is required, too.
For the 6-week forecast, the operational workflow differs from the 10-day forecast workflow regarding the hydrological model component (see Section 2.1) as well as the meteorological forecast input (see Section 2.3). Furthermore, no hydrodynamic model was applied. The transformation from flow into water level is based on rating curves of the forecast gauges, which are updated on a regular basis due to changes in river morphology. The water balance model runs on daily time steps, which is sufficient for the forecasting product predicting weekly means (see Section 3.1). In addition to the actual forecast workflow using the most recent ECMWF-ENS extended forecast (51-member ensemble), two more prognostic information files were generated within the entire workflow for the 6-week forecast (see Figure 3). On the one hand, a forecast based on climatological input following the ESP approach [27] was generated as complementary information. Therefore, the water balance model (LARSIM-ME) uses the same initial states as the recent forecast driven by the ECMWF-ENS extended forecast. Based on this initialization, the model is forced with an ensemble of historical time-series of observed meteorology at the same time of the year from the 51 years between 1968 and 2018. Although preparatory analyses showed an overall better performance of the 6-week forecast driven by the ECMWF input, the ESP output proved to be valuable for the assessment of the actual forecast. In light of the limited meteorological predictability over Central Europe, the ESP approach offers a robust estimation of the hydrological trend within the coming month based on known meteorological situations. As second complementary information, the water level and flow climatology were calculated based on the same period used for the ESP approach (1968–2018). The resampled measurements were the only information available on longer lead times before the 6-week forecast was set-up. Therefore, this information is known by the users, and it enables the user to classify the current forecast with regard to the typical flow conditions at the particular time of the year.

3. Results

The navigation-related forecasting service for the German federal waterways has been extended since the severe drought and low flow event of 2018, in particular by two forecasting products for the medium and sub-seasonal range. As short-term forecasts have been an inherent part of corresponding river information services for decades, there was no predictive information available covering longer lead times. During the low flow events of the recent years, especially the extreme event in 2018, the importance of forecast information for the whole logistic chain covering the pre- and post-carriage ashore became evident. Shifting cargo from shipping to other modes of transport (mainly railway), adapting the fleet by additional smaller vessels or hiring additional storage capacity for raw material and industrial products requires lead times of several weeks and months. To trigger such activities and to readjust the interaction of the different components of the transportation chain, hydrological forecasts covering such lead times are required. Based on preparatory studies and research, during the drought event of 2018 the Federal Institute of Hydrology started to produce several preliminary forecast products for 10 days up to 6 weeks. These ad-hoc products as well as the underlying technical workflow have been refined and optimized over the drought event and especially during the following months to (a) improve the forecast robustness and quality and (b) enhance the readability of the forecast products. Both aspects are prerequisites for offering forecast products via an operational forecasting service.

3.1. Forecast Products

Forecast products covering lead times of several weeks up to months necessarily differ from short-term forecasts. The latter are typically deterministic for the German waterways. The forecast-related uncertainties are communicated in a qualitative way, indicating long-term, mainly mean forecast errors [1]. Therefore, the waterway users had to get used to an explicit display of forecast uncertainty and to probabilistic forecasts, respectively, during the development of the new forecast products. Within several workshops, different ways of displaying extended-range forecasts have been discussed with users from sectors related to waterway transport and maintenance (logistic managers, transport operators, economists, waterway managers, etc.). Technically, it was obvious not to provide the basic ensemble forecast (so-called “spaghetti plots”) to the users as this will mislead selecting one specific ensemble member as a pseudo-deterministic forecast instead of considering the whole ensemble and the related uncertainty information. Besides the initial workshops to explain and discuss possible new forecast products, a key step of development towards operational services was to provide the new forecast products on a regular basis (e.g., daily for the 10-day forecast or weekly for the 6-week forecast). Within this ‘pre-operational’ phase, users got used to the new forecast information and at the same time development could take place considering the questions and feedback of the users (see Section 4). In this pre-operational phase, no distinct service level had to be guaranteed, offering required room for development and testing.
For the 10-day as well as for the 6-week forecasts, it was decided to provide the forecast information within a short report, including diagrams and charts showing the forecasts but complemented by some background information on the forecast generation and its interpretation. With increasing user experience with probabilistic forecast products, the additional information could be reduced or provided as an additional document/web-link, but in the initial stage, the additional information proved to be valuable.
Primarily, the 10-day forecast is presented as a probabilistic hydrograph, usually called a “fan chart” (see Figure 4, upper part). Selected percentiles of the non-exceedance probability are plotted using different shades of blue color, with the median being in the darkest color group. Additionally, the measured water level of the preceding four days is displayed as black dots, giving the user an impression of the recent hydrological situation. While the deterministic short-term forecast (lead time: 4 days) for the River Rhine is based on hourly values, the 10-day forecast uses daily mean values to account for the increasing uncertainty with increasing lead time. It is important to mention that the temporal aggregation is not solely useful from the forecast producer’s perspective, but from the forecast user’s perspective, too. Decisions to be made on lead times of more than a few days do not require hourly values, which are absolutely necessary on shorter timescales, e.g., to load a ship for an upcoming trip.
For the 6-week forecast, it was decided to further aggregate the forecast output from daily means of the 10-day forecast to weekly mean values. Furthermore, the presentation as a time-series is no longer useful, not least to make the user aware that the usage of a 6-week forecast significantly differs from forecasts of short- to medium-range. To display the uncertainty distribution, the dialog with the users leads to a box plot-based display (see Figure 4, lower part). Although this chart type is well-known in academic literature, it proved to be the preferred visualization for the waterway users, too. Initially, it required explanation, but in the end this dense way of displaying the uncertainty distribution becomes generally accepted. The user receives a report based on water level or flow, as some applications in the field of waterway management require flow data.
In addition to the current forecast, which is based on ECMWF’s extended-range ENS-forecast (see Section 2.3), the user gets two additional information files supporting the interpretation. As well as the ECMWF-driven hydrological forecast, the result from the ESP-based forecast is shown. As both forecasts are based on the same hydrological model initialized in the same way up to the forecast date, the user can assess how much the current meteorological input differs from climatology by comparing the two. Furthermore, the ESP offers the option to work with scenarios as it is possible to combine the current hydrological situation with a well-known meteorology of the past (e.g., the well-known drought event of 2018). In combination with the ECMWF-driven forecast, some users also apply the 6-week forecast to derive a worst-case scenario. As a third piece of information, the 6-week forecast report offers the distribution of the measured water levels and flows of the reference period, to allow to assess the current and forecasted hydrological situation with climatology and respectively the “normal” situation.
Forecast value is related to its acceptance and understanding, but of course the value is related to the forecast skill, too. The forecast verification presented in the following section is on the one hand relevant for the scientific evaluation of the forecast set-up and is the basis for future enhancements. On the other hand, it is used to demonstrate the capabilities of the new products to the users. For the latter purpose, it is important to illustrate the verification results comprehensibly and to refer to well-known forecast products as benchmarks.

3.2. Forecast Verification

To account for the probabilistic form of the new forecast products, we decided to perform the verification primarily based on the continuous ranked probability score (CRPS) and the respective CRPSS as its corresponding skill score [28]. CRPS and CRPSS are appropriate indicators of the overall performance of probabilistic forecast systems. Furthermore, the CRPS is comparable to the mean absolute error (MAE) of a deterministic forecast, such as the existing short-range forecasts. The CRPS (as the MAE) produces absolute values in centimeters (water level) or cubic meters per second (flow), and skill scores provide relative information with respect to a reference forecast (climatology, ESP). This aspect is relevant for the 6-week forecast as the climatological information is the information users rely on so far. That is why the 6-week forecast must compete with this existing information.
The perfect score for CRPS and MAE is 0 (cm or m3/s), while an optimal forecast produces a CRPSS of 1. Skill scores are a function of the forecast itself as well as the reference forecast and the observations. The skill score is positive (negative) if the forecast skill is higher (lower) than that of the reference forecasts. A skill score of 0 means that the current forecast provides as good forecasts as the reference. As an additional deterministic score, we used the Nash–Sutcliff coefficient (NSE), which is a widely used performance indicator in hydrological model applications [29]. The NSE is calculated as one minus the ratio between the mean square error and the variation of observations. The normalization allows a reasonable comparison of the score among different locations. An optimal forecast has an NSE value of 1.0.

3.2.1. Verification of the 10-Day Forecast

The 10-day forecast was verified with respect to the existing 4-day forecast, as the latter forecast information is well-known to the users. For the two Rhine gauges Kaub (situated at the Middle Rhine) and Duisburg-Ruhrort (situated in the Lower Rhine), Figure 5 shows the verification of the 10-day forecast based on the CRPS and the MAE. For the probabilistic forecast, the MAE was calculated using the expected value of the probability distribution. For both gauges, it is visible that the probabilistic forecast (CRPS, light blue line) afforded better results than reducing the probabilistic information to a pseudo-deterministic forecast using the expected value (MAE, dark blue line). With the increasing lead time, the dominance of the probabilistic information increased at both gauges. For day 10, the difference between CRPS and MAE added up to approximately 10 cm at both gauges (30 cm instead of 20 cm at Kaub, and 35 cm instead of 25 cm at Duisburg-Ruhrort).
The MAE of the 4-day deterministic forecast is plotted as a red line in Figure 5. Although the verification of the 4-day forecast is based on hourly values instead of daily values, it is noticeable that the skill of the 10-day forecast was comparable to that of the 4-day forecast. The short-term forecast performed slightly better, and as mentioned before, the higher temporal discretization of the short-term forecast is relevant for the users. However, the medium-range 10-day forecast provides meaningful results for the short-term, too. The MAE increased with the increasing lead time for all forecasts. At forecast day 4, the MAE amounted to approximately 10 cm (4-day forecast) and respectively 12 cm (10-day forecast). At day 7, the MAE increased to approximately 20 cm, and at day 10 it amounted to approximately 30 cm. Overall, the MAE values at both gauges were comparable.
As an additional deterministic verification score, Figure 6 shows the Nash–Sutcliff coefficient (NSE) of the 4-day and 10-day forecasts at gauge Kaub and gauge Duisburg-Ruhrort. Using the NSE, the 10-day forecast could nearly keep up with the 4-day forecast, too.
Although the NSE values decreased with the increasing lead time, the NSE at day 10 was still acceptable, yielding values of 0.80 (gauge Kaub) and 0.88 (gauge Duisburg-Ruhrort).

3.2.2. Verification of the 6-Week Forecast

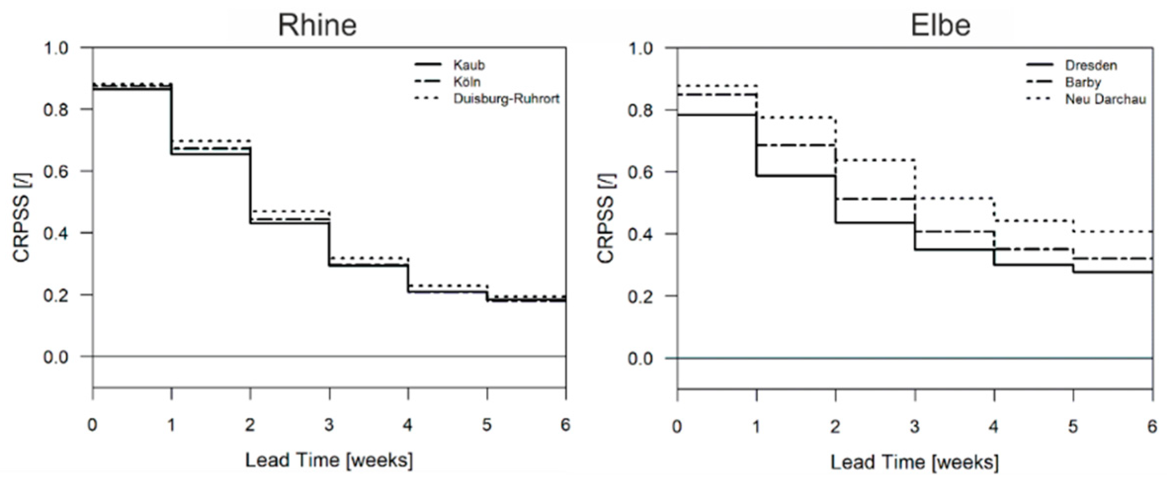
The 6-week forecast must compete with the climatological information (measured water level and flows at the same time of the year within a reference period), because climatology is the information users relied on until the 6-week forecast was published. Therefore, Figure 7 shows the CRPSS of the current 6-week forecast for 3 gauges at the Rhine (left part) and at the Elbe (right part), using climatology as reference forecast information. For all gauges at all lead times, the 6-week forecast performed better than climatology, resulting in CRPSS values above 1.
At the River Rhine, the forecast quality of the three gauges was quite similar, while at the Elbe, the forecast performance significantly increased in the downstream direction of the gauges (Dresden is the most upstream gauge, Neu Darchau is the most downstream gauge). The Elbe in Germany is significantly triggered by the catchment upstream of gauge Dresden, which is why with the increasing travel time of the water, the quality of the forecast increased. Overall, the forecast skill for the Elbe has turned out to be higher than that for the River Rhine. The latter is much more dominated by relatively fast-reacting tributaries compared to the Elbe.

3.3. User Demand

To evaluate the demand of the 10-day forecast becoming an operational forecast product by the end of 2019, the number of accesses has been counted between February 2020 and August 2021. Overall, Kaub is the gauge the majority of requests are registered for, but depending on the hydrological situation, there are periods where other gauges (e.g., those along the Lower Rhine) were used prior to Kaub. The grey columns in Figure 8 show the number of monthly accesses to the 10-day forecast published via the Federal Waterways and Shipping Administration’s Electronic Waterways Information Service, ELWIS (www.elwis.de), during the aforementioned period. A daily average of about 1300 visits was registered, while in peak periods the forecast recorded up to 12,000 accesses per day. The strong dependence of inland navigation on hydrological conditions (see Section 1) is also reflected in the 10-day water level forecast’s user statistics: water levels dropping well below the mean water level or moving towards high water mark II, being the threshold for the waterway’s closure, clearly entail a rise in user numbers.

4. Discussion

Despite the limitations in meteorological and therefore hydrological predictability in Central Europe, it was possible to develop and operationalize navigation-related forecasts for the waterways Rhine and Elbe covering lead times up to six weeks. Medium-range and sub-seasonal forecast products have been a completely new source of information for the German Federal waterways. So far, users have been familiar with short-term deterministic forecast information being displayed as time-series, very similar to how measured data are displayed. Before 2019, there was no established way of displaying extended-range forecast information and its related uncertainties. Therefore, the technical effort to generate medium-range to sub-seasonal forecasts (see Section 3) had to be accompanied by developing adequate ways to communicate this new kind of forecast information, which necessarily deals with uncertainties and respectively probabilities. In this context, an intensive interaction with stakeholders proved to be crucial and was conducted as a kind of accompanying measure. Since forecast information does not have any value if users do not use or understand the information, this aspect is as important as the technical developments aiming at generating skillful forecasts. As a first step, the relevant addressees (skipper, logistics manager, transport operator, energy provider, waterway manager, economist) and their individual requirements (especially forecast parameters, forecast location) have been identified [1]. During several workshops and individual interviews, the usefulness of possible forecast products has been discussed. A key measure to bring the users to include the prototypical forecast products in their day-to-day business was setting up a pre-operational service providing these products on a regular basis. Originally, the intention was to provide hindcasts to test the new forecast products. However, it became very clear that none of the stakeholders would have sufficient capacities to perform a systematic and realistic review of former decisions based on new forecast products. The pre-operational provision of the new forecast products offered the opportunity to completely check the use of the new forecast information in real-world situations and to directly compare it with the current information used in decision making (such as climatology, persistence or individual assessment). In many cases, hydrological forecasts are an important piece of information for logistical decisions, but not the only one. Therefore, the interaction of the hydrological information with other influencing factors is nearly impossible to reproduce in a hindcast experiment. Using the pre-operational forecast products, the users gain experience as well as confidence in the new kind of information. Many users provided feedback or asked for additional background information, which significantly helped to optimize the forecast products.
Another positive effect of the pre-operational service was that it documented the relevance and the need for the extension of the existing forecasting services. The pre-operational phase and the related feedback also proved that the communication of forecast uncertainty is feasible and that users can deal with probabilistic forecast information. This familiarization requires some time—another reason for setting up pre-operational forecasting services. From a technical perspective, a pre-operational service is a useful step towards an operational service, too. The set-up (input data, model environment, forecast product generation) of the subsequent operational service can be optimized and consolidated during such a pre-operational phase, usually lasting for several months, and technically weak points become apparent. From an organizational/administrative perspective, switching from a pre-operational to an operational service is however a major step not to be disregarded. An operational service has to offer its information based on a strict service level, which means the availability of the new products must be guaranteed to some degree, permanently. This implies human resources to supervise the extended current forecasting system as well as to maintain it regarding changes in data sources, interfaces, computer hardware, etc. Regarding the 10-day forecast for the River Rhine as well as the 6-week forecast for Rhine and Elbe, this process has been realized over several years, with the operationalization at the end of 2019 (10-day forecast) and mid-2022 (6-week forecast).
For some years, medium-range and sub-seasonal hydrological forecasts have been available on a European as well as on a global scale, e.g., the seasonal hydrological outlook from EFAS [30] or the HYPE water predictions [31]. Compared to these services, the forecasting set-up presented in this paper could be called a regional system. The spatial extent is significantly lower, with a focus on Central Europe. From a modeling perspective, this allows a higher spatial resolution and a more detailed calibration of gauges along the German waterways. Additionally, the available data for large-scale compared to more regional forecasting systems differ, with large-scale systems preferring consistent datasets compared to small-scale but heterogenous data. The aim of both types of forecasting systems is quite different, which is why the comparability of continental or global forecasting systems with specific local systems is always questionable. The focal point of the forecasting system presented in this paper is to provide medium-range to sub-seasonal forecasting information tailored to the use and the management of the waterways. The modeling focus is on low flows as the main hydro-climatic impact for the waterways (see Section 1). Forecast information is provided for navigation-related gauges considering crucial water-level thresholds for shipping and the corresponding waterway management.
The waterways Rhine and Elbe have been selected as target areas for the new forecasting services due to their great importance as waterways and the related demand of forecast users. The set-up of the extended-range forecast workflows (see Section 2.4) is basically generic, allowing to transfer it to other waterways, at least in Germany and Central Europe, respectively. Of course, there are some relevant prerequisites regarding input data and models. Meteorological and hydrological measurements must be available near-real-time (for the operational forecasting service) as well as for a multi-annual historical period (for model calibration and training of the statistical methods). Moreover, a well-calibrated water balance model covering the catchment of the relevant gauges is required, just like meteorological forecasts covering the relevant lead times. At least the forecasts of ECMWF are globally available. Therefore, in principle, the new forecast workflows are transferable, but some effort is required to meet the requirements regarding input data and forecast models. For rivers with scarce hydrological/meteorological data, the application of the approach is not straightforward.
Besides the different quality of input data and models, differences in hydro-meteorological and hydrological characteristics of different rivers/waterways will lead to varying forecast skills. We can already see this effect when comparing the 6-week forecasts of River Rhine and River Elbe (see Section 3.2.2). Some accompanying investigations for a 6-week forecast at the free-flowing stretch of the Danube waterway in Germany proved the technical transferability of the methods used at Rhine and Elbe. However, the forecast skill was noticeably lower at the Danube, which is significantly influenced by its fast-reacting tributaries originating from the Alps. Additionally, several man-induced measures (dam, regulated lakes, etc.) which are difficult to simulate within water balance models have a significant effect on forecasted flow and water levels. Although the technical transfer of the forecast approach is feasible, a verification of the forecast skill at the relevant gauges needs to be executed. Based on this analysis, forecast providers and forecast users must decide if the forecast information is valuable for taking actions or for making better decisions.

5. Conclusions

Within recent years, the demand for medium-range up to sub-seasonal forecasting services for the German waterways has significantly increased, triggered by the significant low flows in 2003, 2015 and 2018. With the ten-day forecast for the River Rhine and the six-week forecasts for the River Rhine and Elbe, two new forecasting systems became operational in 2019 and 2022 and have been intensively used during the current low flow situation in summer/fall of 2022. Although the forecasts and their related products are skillful and proved to provide added value for the waterway users, we still see room for improvements. Future research and development will focus on the forecast methods as well as on the forecast products. Regarding the forecast workflows, we will try to extend the amount of input data, especially meteorological measurements, for the non-German parts of the catchments to improve the modeling of the initial state. Regarding the initial state of the forecasting models, the operational use of data assimilation techniques (e.g., the Kalman filter) is an aim. As observational data for the assimilation, we are planning to use measured discharges, snow water equivalent, soil moisture and lake filling levels. Looking at the presentation of the forecast products, our plan is to offer a more interactive and customizable way to access and analyze the forecast information in addition to the static PDF reports. Based on discussions with the users, the idea of a kind of forecast dashboard was presented. Depending on the forecast lead time as well as on the individual user, additional information or user-specific thresholds could be shown to better assess the forecast. Generally, the communication of the forecast uncertainties is still a relevant aspect, and improvements and user training seem to be meaningful to support waterway management and transportation logistics to mitigate hydroclimatic impacts on waterway transport.
As well as the aforementioned plans for future research and development, we will maintain and strengthen the dialog with the forecast users. This interaction during the last years was a key element to make the new probabilistic forecast products usable in day-to-day business. This dialog could further improve the layout and use the existing forecasting products, but it will help to identify future requirements, too. The importance of initial research is another lesson learned. Without substantial fundamentals regarding ensemble forecasting and statistical post-processing, the fast implementation of the new hydrological forecasting services would not have been possible. In addition to all the planning for future developments, the maintenance of the current operational services remains a vital task in the future to guarantee sound and stable performance.

Author Contributions

Conceptualization, writing—original draft preparation, review and editing, project administration, D.M.; methodology, set-up, validation of 10-day forecast, B.K.; methodology, set-up, validation of 6-week forecast, B.F. All authors have read and agreed to the published version of the manuscript.

Funding

The authors of this study were financed by the German Federal Ministry for Digital and Transport.

Institutional Review Board Statement

Not applicable.

Informed Consent Statement

Not applicable.

Data Availability Statement

The operational forecast data of the new services described in this study is freely available via the River Information Service ELWIS (www.elwis.de).

Acknowledgments

We acknowledge the numerous feedbacks of our test users during the development and pre-operational phases of the 10-day and the 6-week forecasts. The continuous discussions on forecast output, its interpretation and ways of display significantly improved the new forecasting services for the waterways.

Conflicts of Interest

The authors declare no conflict of interest.

References

  1. Klein, B.; Meißner, D. Vulnerability of Inland Waterway Transport and Waterway Management on Hydro-Meteorological Extremes. Deliverable 9.1, IMPREX—Improving Predictions of Hydrological Extremes—Grant Agreement Number 641811. 2016. Available online: https://imprex.eu/system/files/generated/files/resource/d9-1-imprex-v2-0.pdf (accessed on 31 May 2022).
  2. Central Commission for The Navigation of the Rhine. Inland Navigation in Europe—Market Observation—Annual Report 2019. Available online: https://www.ccr-zkr.org/files/documents/om/om19_II_en.pdf (accessed on 20 April 2022).
  3. Nilson, E.; Lingemann, I.; Klein, B.; Krahe, P. Impact of Hydrological Change on Navigation Conditions. Deliverable 1.4, ECCONET—Effects of climate Change on the Inland Waterway Transport Network—Contract Number 233886—FP7. 2012. Available online: https://www.academia.edu/48496211/IMPACT_OF_HYDROLOGICAL_CHANGE_ON_NAVIGATION_CONDITIONS_EU_ECCONET_Report_1_4 (accessed on 20 April 2022).
  4. Leviäkangas, P.; Tuominen, A.; Molarius, R.; Kojo, H. Extreme Weather Impacts on Transport Systems. Deliverable 1, EWENT—Extreme Weather impacts on European Networks of Transport—Contract Number 233919—FP7. 2011. Available online: http://virtual.vtt.fi/virtual/ewent/Deliverables/D1/W168.pdf (accessed on 31 May 2022).
  5. Doll, C.; Klug, S.; Köhler, J.; Papanikolaou, A.; Mitsakis, V. WEATHER Project Summary and Policy Conclusions. Deliverable 7, WEATHER—Weather Extremes: Impacts on Transport Systems and Hazards for European Regions—Contract Number 233783—FP7. 2012. Available online: https://www.weather-project.eu/weather/downloads/Deliverables/WEATHER-D7_fin.pdf (accessed on 4 April 2022).
  6. Siedl, N.; Scheighofer, J. Guidebook for Enhancing Resilience in European Inland Waterway Transport in Extreme Weather Events. MOWE-IT Guidebook Inland Waterways, MOWE-IT—Management of Weather Events in the Transport System—Contract Number 314506—FP7. 2014. Available online: https://cordis.europa.eu/project/id/314506/reporting (accessed on 12 September 2022).
  7. Funk, D.; Pouget, L.; Dubus, L.; Falloon, P.; Meißner, D.; Klein, B.; Palin, E.; Viel, C.; Foster, K.; Lootvoet, M.; et al. White paper on Sector Specific Vulnerabilities. Deliverable 11.2, EUPORIAS—European Provision of Regional Impact Assessment on a Seasonal-to-decadal timescale—Grant Agreement Number 308291. 2015. Available online: http://www.euporias.eu/system/files/D11.2_Final.pdf (accessed on 15 November 2017).
  8. Hurk, B.J.V.D.; Bouwer, L.M.; Buontempo, C.; Döscher, R.; Ercin, E.; Hananel, C.; Hunink, J.E.; Kjellström, E.; Klein, B.; Manez, M.; et al. Improving predictions and management of hydrological extremes through climate services. Clim. Serv. 2016, 1 (Suppl. C), 6–11. [Google Scholar] [CrossRef]
  9. Nilson, E.; Krahe, P.; Klein, B.; Lingemann, I.; Horsten, T.; Carambia, M.; Larina, M.; Maurer, T. Auswirkungen des Klimawandels auf das Abflussgeschehen und die Binnenschifffahrt in Deutschland; Schlussbericht KLIWAS-Projekt 4.01, 2014 KLIWAS-43/2014; Federal Institute of Hydrology (BfG): Koblenz, Germany; Available online: http://doi.bafg.de/KLIWAS/2014/Kliwas_43_2014_4.01.pdf (accessed on 20 April 2022).
  10. German Federal Ministry for Digital and Transport. The BMVI Network of Experts “Knowledge—Ability—Action”; Synthesis Report on the Research Phase 2016–2019; BMDV: Berlin, Germany, 2021. Available online: https://doi.org/10.5675/ExpNBMVI2021.2021.02 (accessed on 20 April 2022).
  11. German Federal Ministry for Digital and Transport. Gemeinsamen Erklärung des BMVI zur Sicherstellung Zuverlässig Kalkulierbarer Transportbedingungen am Rhein („8-Punkte-Plan“); BMDV: Berlin, Germany, 2019.
  12. German Federal Ministry for Digital and Transport. Masterplan Binnenschifffahrt; BMDV: Berlin, Germany, 2019.
  13. Bergström, S. The HBV model. In Computer Models of Watershed Hydrology; Singh, V.P., Ed.; Water Resources Publications, LLC: Steamboat Springs, CO, USA, 1995; pp. 443–476. [Google Scholar]
  14. Lindström, G.; Johansson, B.; Persson, M.; Gardelin, M.; Bergström, S. Development and test of the distributed HBV-96 hydrological model. J. Hydrol. 1997, 201, 272–288. [Google Scholar] [CrossRef]
  15. Ludwig, K.; Bremicker, M. The Water Balance Model LARSIM—Design, Content and Applications; Institut für Hydrologie, Universität Freiburg im Breisgau: Freiburg, Germany, 2006. [Google Scholar]
  16. Renner, M.; Werner, M.; Rademacher, S.; Sprokkereef, E. Verification of ensemble flow forecasts for the River Rhine. J. Hydrol. 2009, 376, 463–475. [Google Scholar] [CrossRef]
  17. Meißner, D.; Klein, B.; Ionita, M. Development of a monthly to seasonal forecast framework tailored to inland waterway transport in central Europe. Hydrol. Earth Syst. Sci. 2017, 21, 6401–6423. [Google Scholar] [CrossRef]
  18. Deltares. SOBEK—Hydrodnamics, Rainfall Runoff and Real Time Control, User Manual; Version 1.00; Deltares: Delft, The Netherlands, 2019. [Google Scholar]
  19. Broersen, P.; Weerts, A.H. Automatic Error Correction of Rainfall-Runoff models in Flood Forecasting Systems. In Proceedings of the IMTC 2005—Instrumentation and Measurement Technology Conference, Ottawa, ON, Canada, 17–19 May 2005. [Google Scholar]
  20. Gneiting, T.; Raftery, A.E.; Westveld, A.H.; Goldman, T. Calibrated Probabilistic Forecasting Using Ensemble Model Output Statistics and Minimum CRPS Estimation. Mon. Weather Rev. 2005, 133, 1098–1118. [Google Scholar] [CrossRef]
  21. Hemri, S.; Lisniak, D.; Klein, B. Multivariate post-processing techniques for probabilistic hydrological forecasting. Water Resour. Res. 2015, 51, 7436–7451. [Google Scholar] [CrossRef]
  22. Hemri, S.; Klein, B. Analog-Based Postprocessing of Navigation-Related Hydrological Ensemble Forecasts. Water Resour. Res. 2017, 53, 9059–9077. [Google Scholar] [CrossRef]
  23. Werner, M.; Schellekens, J.; Gijsbers, P.; van Dijk, M.; van den Akker, O.; Heynert, K. The Delft-FEWS flow forecasting system. Environ. Model. Softw. 2013, 40, 65–77. [Google Scholar] [CrossRef]
  24. Rauthe, M.; Steiner, H.; Riediger, U.; Mazurkiewicz, A.; Gratzki, A. A Central European precipitation climatology—Part I: Generation and validation of a high-resolution gridded daily data set (HYRAS). Meteorol. Z. 2013, 22, 235–256. [Google Scholar] [CrossRef]
  25. Owens, R.G.; Hewson, T.D. ECMWF Forecast User Guide; ECMWF: Reading, UK, 2018. [Google Scholar] [CrossRef]
  26. Marsigli, C.; Montani, A.; Paccagnella, T. Perturbation of initial and boundary conditions for a limited-area ensemble: Multi-model versus single-model approach. Q. J. R. Meteorol. Soc. 2013, 140, 197–208. [Google Scholar] [CrossRef]
  27. Wood, A.W.; Lettenmaier, D.P. An ensemble approach for attribution of hydrologic prediction uncertainty. Geophys. Res. Lett. 2008, 35, L14401. [Google Scholar] [CrossRef]
  28. Hersbach, H. Decomposition of the continuous ranked probability score for ensemble prediction systems. Weather Forecast. 2000, 15, 559–570. [Google Scholar] [CrossRef]
  29. Nash, J.E.; Sutcliffe, J.V. River flow forecasting through conceptual models part I—A discussion of principles. J. Hydrol. 1970, 10, 282–290. [Google Scholar] [CrossRef]
  30. Arnal, L.; Cloke, H.L.; Stephens, E.; Wetterhall, F.; Prudhomme, C.; Neumann, J.; Krzeminski, B.; Pappenberger, F. Skilful seasonal forecasts of streamflow over Europe? Hydrol. Earth Syst. Sci. 2018, 22, 2057–2072. [Google Scholar] [CrossRef]
  31. Arheimer, B.; Pimentel, R.; Isberg, K.; Crochemore, L.; Andersson, J.C.M.; Hasan, A.; Pineda, L. Global catchment modelling using World-Wide HYPE (WWH), open data, and stepwise parameter estimation. Hydrol. Earth Syst. Sci. 2020, 24, 535–559. [Google Scholar] [CrossRef]
Figure 1. Load factor of three relevant vessel types at the Rhine bottleneck at gauge Kaub for the period of 2001 to 2021.
Figure 1. Load factor of three relevant vessel types at the Rhine bottleneck at gauge Kaub for the period of 2001 to 2021.
Atmosphere 13 01606 g001
Figure 2. Schematic overview of the workflow for the 10-day forecast of the River Rhine.
Figure 2. Schematic overview of the workflow for the 10-day forecast of the River Rhine.
Atmosphere 13 01606 g002
Figure 3. Schematic overview of the workflow for the 6-week forecast, and the three different outputs displayed in the forecast product.
Figure 3. Schematic overview of the workflow for the 6-week forecast, and the three different outputs displayed in the forecast product.
Atmosphere 13 01606 g003
Figure 4. Example of a 10-day forecast (upper part) and a 6-week forecast (lower part) for gauge Kaub/Rhine initialized on 2 June 2022.
Figure 4. Example of a 10-day forecast (upper part) and a 6-week forecast (lower part) for gauge Kaub/Rhine initialized on 2 June 2022.
Atmosphere 13 01606 g004
Figure 5. Verification of the 10-day forecast for 2 gauges at the River Rhine using the CRPS and the MAE (period: December 2016–May 2020).
Figure 5. Verification of the 10-day forecast for 2 gauges at the River Rhine using the CRPS and the MAE (period: December 2016–May 2020).
Atmosphere 13 01606 g005
Figure 6. Verification of the 10-day forecast for 2 gauges at the River Rhine using the NSE (period: December 2016–May 2020).
Figure 6. Verification of the 10-day forecast for 2 gauges at the River Rhine using the NSE (period: December 2016–May 2020).
Atmosphere 13 01606 g006
Figure 7. Verification using the CRPSS for the 6-week forecast at 3 gauges at Rhine (left column) and Elbe (right column) for the period March 2016–March 2022 (reference forecast: climatology).
Figure 7. Verification using the CRPSS for the 6-week forecast at 3 gauges at Rhine (left column) and Elbe (right column) for the period March 2016–March 2022 (reference forecast: climatology).
Atmosphere 13 01606 g007
Figure 8. Monthly accesses to the 10-day water-level forecast for the Rhine against the backdrop of water levels recorded at gauge Kaub from February 2020 to August 2021.
Figure 8. Monthly accesses to the 10-day water-level forecast for the Rhine against the backdrop of water levels recorded at gauge Kaub from February 2020 to August 2021.
Atmosphere 13 01606 g008
Publisher’s Note: MDPI stays neutral with regard to jurisdictional claims in published maps and institutional affiliations.

Share and Cite

MDPI and ACS Style

Meißner, D.; Klein, B.; Frielingsdorf, B. Implementing Hydrological Forecasting Services Supporting Waterway Management and Transportation Logistics Relating to Hydroclimatic Impacts. Atmosphere 2022, 13, 1606. https://doi.org/10.3390/atmos13101606

AMA Style

Meißner D, Klein B, Frielingsdorf B. Implementing Hydrological Forecasting Services Supporting Waterway Management and Transportation Logistics Relating to Hydroclimatic Impacts. Atmosphere. 2022; 13(10):1606. https://doi.org/10.3390/atmos13101606

Chicago/Turabian Style

Meißner, Dennis, Bastian Klein, and Barbara Frielingsdorf. 2022. "Implementing Hydrological Forecasting Services Supporting Waterway Management and Transportation Logistics Relating to Hydroclimatic Impacts" Atmosphere 13, no. 10: 1606. https://doi.org/10.3390/atmos13101606

APA Style

Meißner, D., Klein, B., & Frielingsdorf, B. (2022). Implementing Hydrological Forecasting Services Supporting Waterway Management and Transportation Logistics Relating to Hydroclimatic Impacts. Atmosphere, 13(10), 1606. https://doi.org/10.3390/atmos13101606

Note that from the first issue of 2016, this journal uses article numbers instead of page numbers. See further details here.

Article Metrics

Back to TopTop