Spatiotemporal Variability, Trends, and Potential Impacts of Extreme Rainfall Events in the Sudano-Sahelian Region of Cameroon
Abstract
1. Introduction
2. Study Area, Data, and Method
2.1. Study Area and Data
2.2. Method
2.2.1. Statistical Test of Homogeneity
2.2.2. Precipitation Concentration Index
2.2.3. Calculation of PCD and PCP
2.2.4. Precipitation Indices
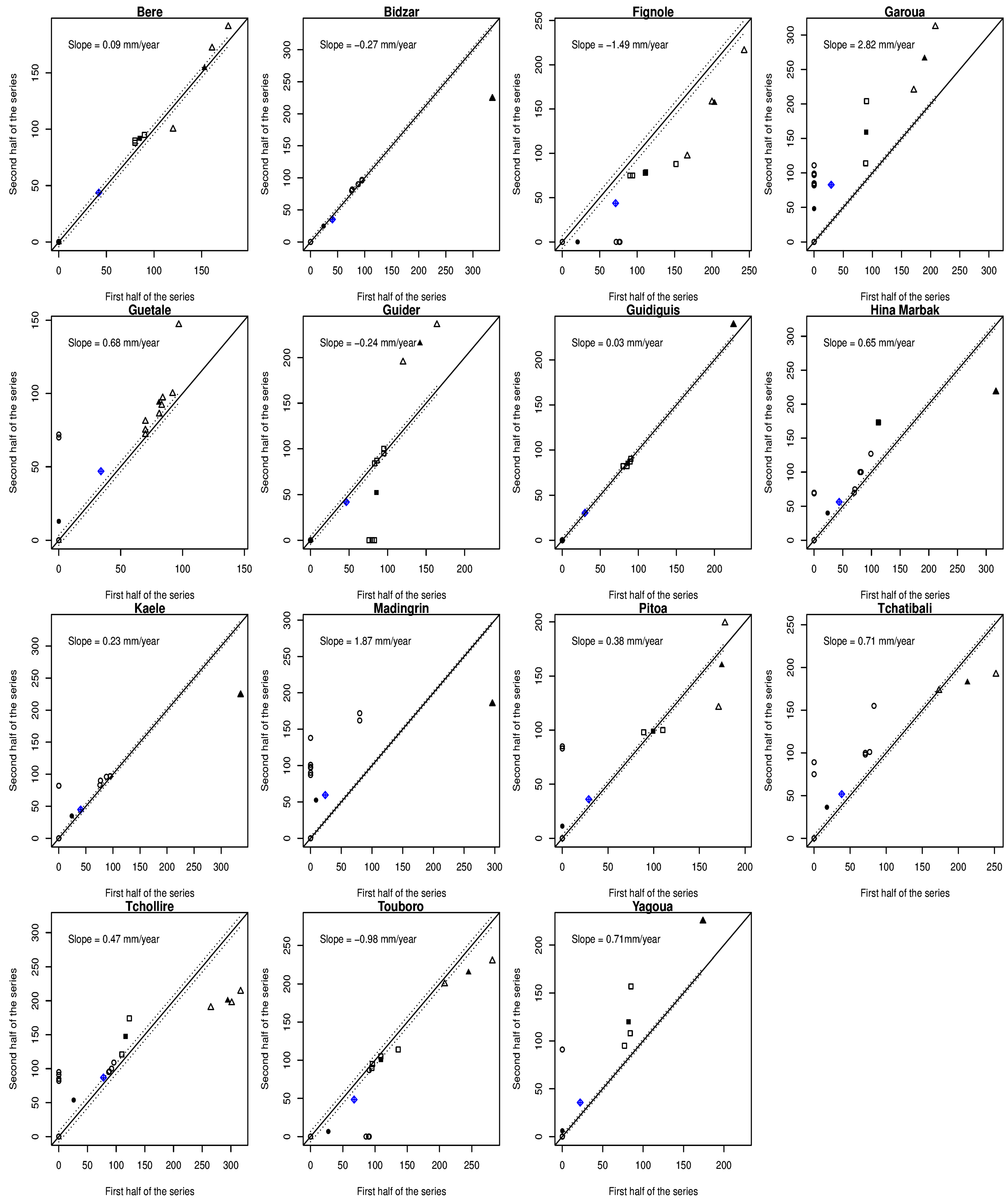
2.2.5. The Innovative Trend Analysis
- (1)
- Dividing the main time series into two (or more) equal sub-series,
- (2)
- Sorting each subseries in ascending order and plotting the newest subseries on the horizontal axis against the others on the ordinate axis,
- (3)
- Drawing a line at 1:1 (45°) and ±10% lines on the Cartesian coordinate system, which theoretically indicate that there is no trend in the given series,
- (4)
- Classifying each group into “low”, “medium”, and “high” classes obtained by dividing the variation domain of the data into three equal intervals, which provide a domain of interpretation for each class of trend, which should be interpreted for the cases of “low” (future droughts) and “high” (future floods) occurrence possibilities.
2.2.6. Spatial Interpolation
3. Results and Discussions
3.1. Homogeneous Assessment
3.2. Precipitation Concentration Index (PCI)
3.3. Variability of PCD and PCP
3.4. Trend and Magnitude of Extreme Precipitation Events
3.4.1. Intensity Indices
3.4.2. Frequency Indices
3.4.3. Duration Indices
4. Potential Impacts of Climate Variability and Extreme Precipitation on Agriculture and Water Management
5. Conclusions
Author Contributions
Funding
Institutional Review Board Statement
Informed Consent Statement
Data Availability Statement
Acknowledgments
Conflicts of Interest
References
- Nicholson, S.E. The nature of rainfall variability over Africa on time scales of decades to millenia. Glob. Planet. Chang. 2000, 26, 137–158. [Google Scholar] [CrossRef]
- Leisinger, K.M.; Schmitt, K. Survival in the Sahel: An Ecological and Developmental Challenge; International Service for National Agricultural Research (ISNAR): The Hague, The Netherlands, 1995. [Google Scholar]
- Kharin, V.V.; Zwiers, F.W.; Zhang, X.; Hegerl, G.C. Changes in Temperature and Precipitation Extremes in the IPCC Ensemble of Global Coupled Model Simulations. J. Clim. 2007, 20, 1419–1444. [Google Scholar] [CrossRef]
- Field, C.B.; Barros, V.; Stocker, T.F.; Dahe, Q. Managing the Risks of Extreme Events and Disasters to Advance Climate Change Adaptation: Special Report of the Intergovernmental Panel on Climate Change; Cambridge University Press: Cambridge, UK, 2012. [Google Scholar]
- Fischer, E.M.; Beyerle, U.; Knutti, R. Robust spatially aggregated projections of climate extremes. Nat. Clim. Chang. 2013, 3, 1033–1038. [Google Scholar] [CrossRef]
- Taylor, C.; Belušić, D.; Guichard, F.; Parker, D.; Vischel, T.; Bock, O.; Harris, P.; Janicot, S.; Klein, C.; Panthou, G. Frequency of extreme Sahelian storms tripled since 1982 in satellite observations. Nature 2017, 544, 475–478. [Google Scholar] [CrossRef] [PubMed]
- Niasse, M. Reducing West Africa’s Vulnerability to Climate Impacts on Water Resources, Wetlands and Desertification: Elements for a Regional Strategy for Preparedness and Adaptation; IUCN: Gland, Switzerland, 2004. [Google Scholar]
- Berg, A.; Quirion, P.; Sultan, B. Weather-Index Drought Insurance in Burkina-Faso: Assessment of Its Potential Interest to Farmers. Weather. Clim. Soc. 2009, 1, 71–84. [Google Scholar] [CrossRef]
- Sultan, B.; Bella-Medjo, M.; Berg, A.; Quirion, P.; Janicot, S. Multi-scales and multi-sites analyses of the role of rainfall in cotton yields in West Africa. Int. J. Climatol. 2009, 30, 58–71. [Google Scholar] [CrossRef]
- Sanogo, S.; Fink, A.H.; Omotosho, J.A.; Ba, A.; Redl, R.; Ermert, V. Spatio-temporal characteristics of the recent rainfall recovery in West Africa. Int. J. Climatol. 2015, 35, 4589–4605. [Google Scholar] [CrossRef]
- Molua, E.L.; Lambi, C.M. The Economic Impact of Climate Change on Agriculture in Cameroon; World Bank Policy Research Working Paper; World Bank Group: Washington, DC, USA, 2007; Volume 1. [Google Scholar] [CrossRef]
- INS. Rapport National sur les Objectifs du Millénaire pour le Développement en 2015. Édit; Institut National de la Statistique: Yaoundé, Cameroun, 2015; 48p. [Google Scholar]
- DSCN. Conditions de vie des Ménages et Profil de Pauvreté à L’extrême-Nord Cameroun en 2001. Édit; Étude Réalisée Dans la Cadre du Prepafen; Direction de la Statistique et de la Comptabilité Nationale: Yaoundé, Cameroon, 2002; 131p. [Google Scholar]
- Kamga, F.M. Impact of greenhouse gas induced climate change on the runoff of the Upper Benue River (Cameroon). J. Hydrol. 2001, 252, 145–156. [Google Scholar] [CrossRef]
- MINEPDED. Les Conditions et les Stratégies de Lutte Contre la Sécheresse au Cameroun. 2016. Available online: https://www.droughtmanagement.info/wp-content/uploads/2016/10/WS6-CAMEROON.pdf (accessed on 28 September 2022).
- Igri, P.M.; Tanessong, R.S.; Vondou, D.A.; Mkankam, F.K.; Panda, J. Added-Value of 3DVAR Data Assimilation in the Simulation of Heavy Rainfall Events Over West and Central Africa. Pure Appl. Geophys. 2015, 172, 2751–2776. [Google Scholar] [CrossRef]
- Igri, P.M.; Tanessong, R.S.; Vondou, D.A.; Panda, J.; Garba, A.; Mkankam, F.K.; Kamga, A. Assessing the performance of WRF model in predicting high-impact weather conditions over Central and Western Africa: An ensemble-based approach. Nat. Hazards 2018, 93, 1565–1587. [Google Scholar] [CrossRef]
- Cheo, A.E.; Voigt, H.-J.; Mbua, R.L. Vulnerability of water resources in northern Cameroon in the context of climate change. Environ. Earth Sci. 2013, 70, 1211–1217. [Google Scholar] [CrossRef]
- Zhang, W.; Brandt, M.; Tong, X.; Tian, Q.; Fensholt, R. Impacts of the seasonal distribution of rainfall on vegetation productivity across the Sahel. Biogeosciences 2018, 15, 319–330. [Google Scholar] [CrossRef]
- Barry, A.A.; Caesar, J.; Tank, A.M.G.K.; Aguilar, E.; McSweeney, C.; Cyrille, A.M.; Nikiema, M.P.; Narcisse, K.B.; Sima, F.; Stafford, G.; et al. West Africa climate extremes and climate change indices. Int. J. Climatol. 2018, 38, e921–e938. [Google Scholar] [CrossRef]
- Fotso-Nguemo, T.C.; Chamani, R.; Yepdo, Z.D.; Sonkoué, D.; Matsaguim, C.N.; Vondou, D.A.; Tanessong, R.S. Projected trends of extreme rainfall events from CMIP5 models over Central Africa. Atmos. Sci. Lett. 2018, 19, e803. [Google Scholar] [CrossRef]
- Dassou, E.F.; Ombolo, A.; Chouto, S.; Mboudou, G.E.; Essi, J.M.A.; Bineli, E. Trends and Geostatistical Interpolation of Spatio-Temporal Variability of Precipitation in Northern Cameroon. Am. J. Clim. Chang. 2016, 5, 229–244. [Google Scholar] [CrossRef]
- Vondou, D.; Guenang, G.; Djiotang, T.; Kamsu-Tamo, P. Trends and Interannual Variability of Extreme Rainfall Indices over Cameroon. Sustainability 2021, 13, 6803. [Google Scholar] [CrossRef]
- Şen, Z. Innovative trend analysis methodology. J. Hydrol. Eng. 2012, 17, 1042–1046. [Google Scholar] [CrossRef]
- Şen, Z. Trend identification simulation and application. J. Hydrol. Eng. 2014, 19, 635–642. [Google Scholar] [CrossRef]
- Şen, Z. Innovative trend significance test and applications. Theor. Appl. Climatol. 2017, 127, 939–947. [Google Scholar] [CrossRef]
- Mallick, J.; Talukdar, S.; Alsubih, M.; Salam, R.; Ahmed, M.; Ben Kahla, N. Shamimuzzaman Analysing the trend of rainfall in Asir region of Saudi Arabia using the family of Mann-Kendall tests, innovative trend analysis, and detrended fluctuation analysis. Theor. Appl. Climatol. 2020, 143, 823–841. [Google Scholar] [CrossRef]
- Mann, H.B. Nonparametric tests against trend. Econometrica 1945, 13, 245–259. [Google Scholar] [CrossRef]
- Kendall, M.G. Rank Correlation Methods; Charles Griffin: London, UK, 1955. [Google Scholar]
- Penlap, E.; Matulla, C.; von Storch, H.; Kamga, F. Downscaling of GCM scenarios to assess precipitation changes in the little rainy season (March–June) in Cameroon. Clim. Res. 2004, 26, 85–96. [Google Scholar] [CrossRef]
- Alexandersson, H. A homogeneity test applied to precipitation data. J. Climatol. 1986, 6, 661–675. [Google Scholar] [CrossRef]
- Buishand, T. Some methods for testing the homogeneity of rainfall records. J. Hydrol. 1982, 58, 11–27. [Google Scholar] [CrossRef]
- Pettitt, A.N. A Non-Parametric Approach to the Change-Point Problem. Appl. Stat. 1979, 28, 126–135. [Google Scholar] [CrossRef]
- Von Neumann, J. Distribution of the Ratio of the Mean Square Successive Difference to the Variance. Ann. Math. Stat. 1941, 12, 367–395. [Google Scholar] [CrossRef]
- Wijngaard, J.B.; Tank, A.M.G.K.; Können, G.P. Homogeneity of 20th century European daily temperature and precipitation series. Int. J. Climatol. 2003, 23, 679–692. [Google Scholar] [CrossRef]
- De Luis, M.; González-Hidalgo, J.C.; Brunetti, M.; Longares, L.A. Precipitation concentration changes in Spain 1946–2005. Nat. Hazards Earth Syst. Sci. 2011, 11, 1259–1265. [Google Scholar] [CrossRef]
- Oliver, J.E. Monthly Precipitation Distribution: A Comparative Index. Prof. Geogr. 1980, 32, 300–309. [Google Scholar] [CrossRef]
- Zhang, L.; Qian, Y. Annual distribution features of precipitation in China and their interannual variations. Acta Meteorol. Sin. 2003, 17, 146–163. [Google Scholar]
- Zhang, X.; Alexander, L.; Hegerl, G.C.; Jones, P.; Tank, A.K.; Peterson, T.C.; Trewin, B.; Zwiers, F.W. Indices for monitoring changes in extremes based on daily temperature and precipitation data. Wires Clim. Chang. 2011, 2, 851–870. [Google Scholar] [CrossRef]
- Phuong, D.N.D.; Huyen, N.T.; Liem, N.D.; Hong, N.T.; Cuong, D.K.; Loi, N.K. On the use of an innovative trend analysis methodology for temporal trend identification in extreme rainfall indices over the Central Highlands, Vietnam. Theor. Appl. Climatol. 2021, 147, 835–852. [Google Scholar] [CrossRef]
- Djoufack, V.; Fontaine, B.; Martiny, N.; Tsalefac, M. Climatic and demographic determinants of vegetation cover in northern Cameroon. Int. J. Remote Sens. 2012, 33, 6904–6926. [Google Scholar] [CrossRef]
- Shawul, A.A.; Chakma, S. Trend of extreme precipitation indices and analysis of long-term climate variability in the Upper Awash basin, Ethiopia. Theor. Appl. Climatol. 2020, 140, 635–652. [Google Scholar] [CrossRef]
- Zhang, K.; Yao, Y.; Qian, X.; Wang, J. Various characteristics of precipitation concentration index and its cause analysis in China between 1960 and 2016. Int. J. Climatol. 2019, 39, 4648–4658. [Google Scholar] [CrossRef]
- Ibrahim, B.; Karambiri, H.; Polcher, J.; Yacouba, H.; Ribstein, P. Changes in rainfall regime over Burkina Faso under the climate change conditions simulated by 5 regional climate models. Clim. Dyn. 2013, 42, 1363–1381. [Google Scholar] [CrossRef]
- Druyan, L.M. Studies of 21st-century precipitation trends over West Africa. Int. J. Climatol. 2010, 31, 1415–1424. [Google Scholar] [CrossRef]
- Chaney, N.W.; Sheffield, J.; Villarini, G.; Wood, E.F. Development of a High-Resolution Gridded Daily Meteorological Dataset over Sub-Saharan Africa: Spatial Analysis of Trends in Climate Extremes. J. Clim. 2014, 27, 5815–5835. [Google Scholar] [CrossRef]
- Leumbe, O.; Bitom, D.; Mamdem, L.; Tiki, D.; Ibrahim, A. Cartographie des zones à risques d’inondation en zone soudano-sahélienne: Cas de Maga et ses environs dans la région de l’extrême-nord Cameroun. Afr. Sci. Rev. Int. Sci. Technol. 2015, 11, 45–61. [Google Scholar]
- Aguilar, E.; Barry, A.A.; Brunet, M.; Ekang, L.; Fernandes, A.; Massoukina, M.; Mbah, J.; Mhanda, A.; do Nascimento, D.J.; Peterson, T.C.; et al. Changes in temperature and precipitation extremes in western central Africa, Guinea Conakry, and Zimbabwe, 1955–2006. J. Geophys. Res. Atmos. 2009, 114. [Google Scholar] [CrossRef]
- Mouhamed, L.; Traore, S.B.; Alhassane, A.; Sarr, B. Evolution of some observed climate extremes in the West African Sahel. Weather Clim. Extrem. 2013, 1, 19–25. [Google Scholar] [CrossRef]
- Gbode, I.E.; Adeyeri, O.E.; Menang, K.P.; Intsiful, J.D.K.; Ajayi, V.O.; Omotosho, J.A.; Akinsanola, A.A. Observed changes in climate extremes in Nigeria. Meteorol. Appl. 2019, 26, 642–654. [Google Scholar] [CrossRef]
- Akinsanola, A.A.; Zhou, W. Dynamic and thermodynamic factors controlling increasing summer monsoon rainfall over the West African Sahel. Clim. Dyn. 2018, 52, 4501–4514. [Google Scholar] [CrossRef]
- Njouenwet, I.; Vondou, D.A.; Dassou, E.F.; Ayugi, B.O.; Nouayou, R. Assessment of agricultural drought during crop-growing season in the Sudano–Sahelian region of Cameroon. Nat. Hazards 2021, 106, 561–577. [Google Scholar] [CrossRef]
- Njouenwet, I.; Vondou, D.A.; Ashu, S.V.N.; Nouayou, R. Contributions of Seasonal Rainfall to Recent Trends in Cameroon’s Cotton Yields. Sustainability 2021, 13, 12086. [Google Scholar] [CrossRef]
- Saha, F.; Tchindjang, M.; Dzana, J.-G.; Nguemadjita, D. Risques naturels dans la région de l’Extrême-Nord du Cameroun et dynamique des extrêmes hydrologiques du système Chari-Logone. Physio-Géo Géogr. Phys. Environ. 2020, 15, 69–88. [Google Scholar] [CrossRef]













| Stations | Latitude (°N) | Longitude (°E) | Altitude (m) | Period | Annual Rainfall (mm) | Max (mm) | Min (mm) | Standard Deviation | Missing (%) |
|---|---|---|---|---|---|---|---|---|---|
| Bidzar | 9.9 | 14.12 | 470 | 1980–2019 | 883.6 | 1319 | 534.9 | 183.5 | 1.8 |
| Fignole | 8.57 | 13.05 | 523 | 1980–2019 | 1178 | 1654 | 688 | 221.6 | 0 |
| Guetale | 10.07 | 13.91 | 490 | 1980–2019 | 794.6 | 1013 | 436 | 135.2 | 2.8 |
| Guider | 9.03 | 13.95 | 356 | 1980–2019 | 891 | 1212 | 557 | 171.9 | 2.8 |
| Guidiguis | 10.10 | 14.71 | 362 | 1980–2019 | 779.9 | 1077 | 597 | 138.2 | 0.8 |
| Hina-Marbak | 10.37 | 13.85 | 544 | 1980–2019 | 945 | 1260 | 554.2 | 168.1 | 0.8 |
| Kaélé | 10.08 | 14.43 | 388 | 1980–2019 | 823.9 | 1080 | 604.7 | 151.7 | 0 |
| Pitoa | 9.34 | 13.53 | 274 | 1980–2019 | 926.7 | 1304 | 387 | 182.2 | 0 |
| Tchatibali | 10.05 | 14.91 | 815 | 1980–2019 | 820.9 | 1162 | 491 | 169.1 | 0 |
| Touboro | 7.67 | 15.37 | 500 | 1980–2019 | 1248 | 1539 | 830 | 195.9 | 0.6 |
| Yagoua | 10.35 | 15.23 | 325 | 1980–2019 | 715.9 | 1044 | 110 | 170.3 | 0 |
| Bere | 9.01 | 14.23 | 238 | 1980–2018 | 954.6 | 1258 | 554 | 176.3 | 0 |
| Garoua | 8.56 | 13.05 | 213 | 1980–2018 | 981.6 | 1258 | 554 | 194.8 | 0.8 |
| Madingring | 8.45 | 15.00 | 430 | 1980–2018 | 1094 | 1336 | 660 | 170.1 | 0 |
| Tchollire | 8.4 | 14.16 | 392 | 1980–2018 | 1209 | 1670 | 736 | 208.9 | 1.7 |
| Variables | Description | Definitions | Units |
|---|---|---|---|
| cdd | Consecutive dry days | Maximum number of consecutive dry days | days |
| cwd | Consecutive wet days | Maximum number of consecutive wet days | days |
| r10 | Number of heavy precipitation days | Annual count of days when RR ≥ 10 mm | Days |
| r25 | Number of very heavy precipitation days | Annual count of days when RR ≥ 25 mm | Days |
| ptot | Annual precipitation | Annual total precipitation when RR ≥ 1 mm | mm |
| r95p | Very wet days | Annual total precipitation when RR > 95th percentile | mm |
| r99p | Extremely wet days | Annual total precipitation when RR > 99th percentile | mm |
| rx1day | Maximum 1 day of precipitation | Annual highest daily precipitation | mm |
| rx5day | Maximum 5 days of precipitation | Annual highest 5 consecutive days of precipitation | mm |
| sdii | Simple daily intensity index | Annual precipitation divided by number of wet days | mm/day |
| N° | Stations | SNHT | Pettitt’s Test | Buishand’s Test | Von Neumann’s Test | Decision |
|---|---|---|---|---|---|---|
| 1 | Bidzar | 36 | 8 | 30 | 1.74 | Useful |
| 2 | Fignole | 38 * | 30 * | 30 * | 1.58 | Doubtful |
| 3 | Guetale | 39 * | 11 | 11 | 1.40 * | Doubtful |
| 4 | Guider | 36 * | 27 | 27 | 1.70 | Useful |
| 5 | Guidiguis | 6 | 6 | 6 | 2.06 | Useful |
| 6 | Hina-Marbak | 39 * | 13 | 32 | 1.40 * | Doubtful |
| 7 | Kaélé | 38 * | 11 | 11 | 1.31 | Useful |
| 8 | Pitoa | 31 * | 31 | 31 | 1.37 | Useful |
| 9 | Tchatibali | 6 | 14 | 11 | 1.56 | Useful |
| 10 | Touboro | 10 * | 15 * | 15 * | 1.96 | Doubtful |
| 11 | Yagoua | 38 | 14 | 36 | 1.78 | Useful |
| 12 | Bere | 17 | 17 | 17 | 1.32 | Useful |
| 13 | Garoua | 8 | 31 | 8 | 1.68 | Useful |
| 14 | Madingring | 31 | 31 | 23 * | 1.57 | Useful |
| 15 | Tchollire | 8 | 8 | 8 | 1.97 | Useful |
| Stations | PCI | PCD | PCP |
|---|---|---|---|
| Bere | 0.09 | 0.0012 | 0.006 |
| Bidzar | 0.15 | 0.0017 | 0.006 |
| Fignole | 0.23 | 0.0026 | 0.008 |
| Garoua | 0.11 | 0.0020 | 0.005 |
| Guetale | 0.20 | 0.0014 | 0.003 |
| Guider | 0.05 | 0.0006 | −0.004 |
| Guidiguis | 0.06 | 0.0011 | −0.0003 |
| Hina-Marbak | 0.09 | 0.0011 | 0.007 |
| Kaélé | 0.08 | 0.0001 | 0.003 |
| Madingring | 0.11 | 0.0020 | 0.005 |
| Pitoa | 0.10 | 0.0015 | −0.001 |
| Tchatibali | 0.11 | 0.0013 | 0.009 |
| Tchollire | 0.08 | 0.0016 | 0.004 |
| Touboro | 0.05 | 0.0023 | 0.01 |
| Yagoua | 0.16 | 0.0001 | 0.011 |
Publisher’s Note: MDPI stays neutral with regard to jurisdictional claims in published maps and institutional affiliations. |
© 2022 by the authors. Licensee MDPI, Basel, Switzerland. This article is an open access article distributed under the terms and conditions of the Creative Commons Attribution (CC BY) license (https://creativecommons.org/licenses/by/4.0/).
Share and Cite
Njouenwet, I.; Tchotchou, L.A.D.; Ayugi, B.O.; Guenang, G.M.; Vondou, D.A.; Nouayou, R. Spatiotemporal Variability, Trends, and Potential Impacts of Extreme Rainfall Events in the Sudano-Sahelian Region of Cameroon. Atmosphere 2022, 13, 1599. https://doi.org/10.3390/atmos13101599
Njouenwet I, Tchotchou LAD, Ayugi BO, Guenang GM, Vondou DA, Nouayou R. Spatiotemporal Variability, Trends, and Potential Impacts of Extreme Rainfall Events in the Sudano-Sahelian Region of Cameroon. Atmosphere. 2022; 13(10):1599. https://doi.org/10.3390/atmos13101599
Chicago/Turabian StyleNjouenwet, Ibrahim, Lucie Angennes Djiotang Tchotchou, Brian Odhiambo Ayugi, Guy Merlin Guenang, Derbetini Appolinaire Vondou, and Robert Nouayou. 2022. "Spatiotemporal Variability, Trends, and Potential Impacts of Extreme Rainfall Events in the Sudano-Sahelian Region of Cameroon" Atmosphere 13, no. 10: 1599. https://doi.org/10.3390/atmos13101599
APA StyleNjouenwet, I., Tchotchou, L. A. D., Ayugi, B. O., Guenang, G. M., Vondou, D. A., & Nouayou, R. (2022). Spatiotemporal Variability, Trends, and Potential Impacts of Extreme Rainfall Events in the Sudano-Sahelian Region of Cameroon. Atmosphere, 13(10), 1599. https://doi.org/10.3390/atmos13101599

