Frost Conditions Due to Climate Change in South-Eastern Europe via a High-Spatiotemporal-Resolution Dataset
Abstract
:1. Introduction
2. Materials and Methods
2.1. Study Area
2.2. Data and Models
2.3. Methods
2.3.1. Frost Indicators’ Calculations
2.3.2. Models’ Comparison
3. Results
3.1. Frost Days (FD)
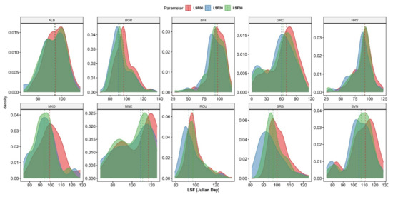
3.2. Last Spring Frost (LSF)
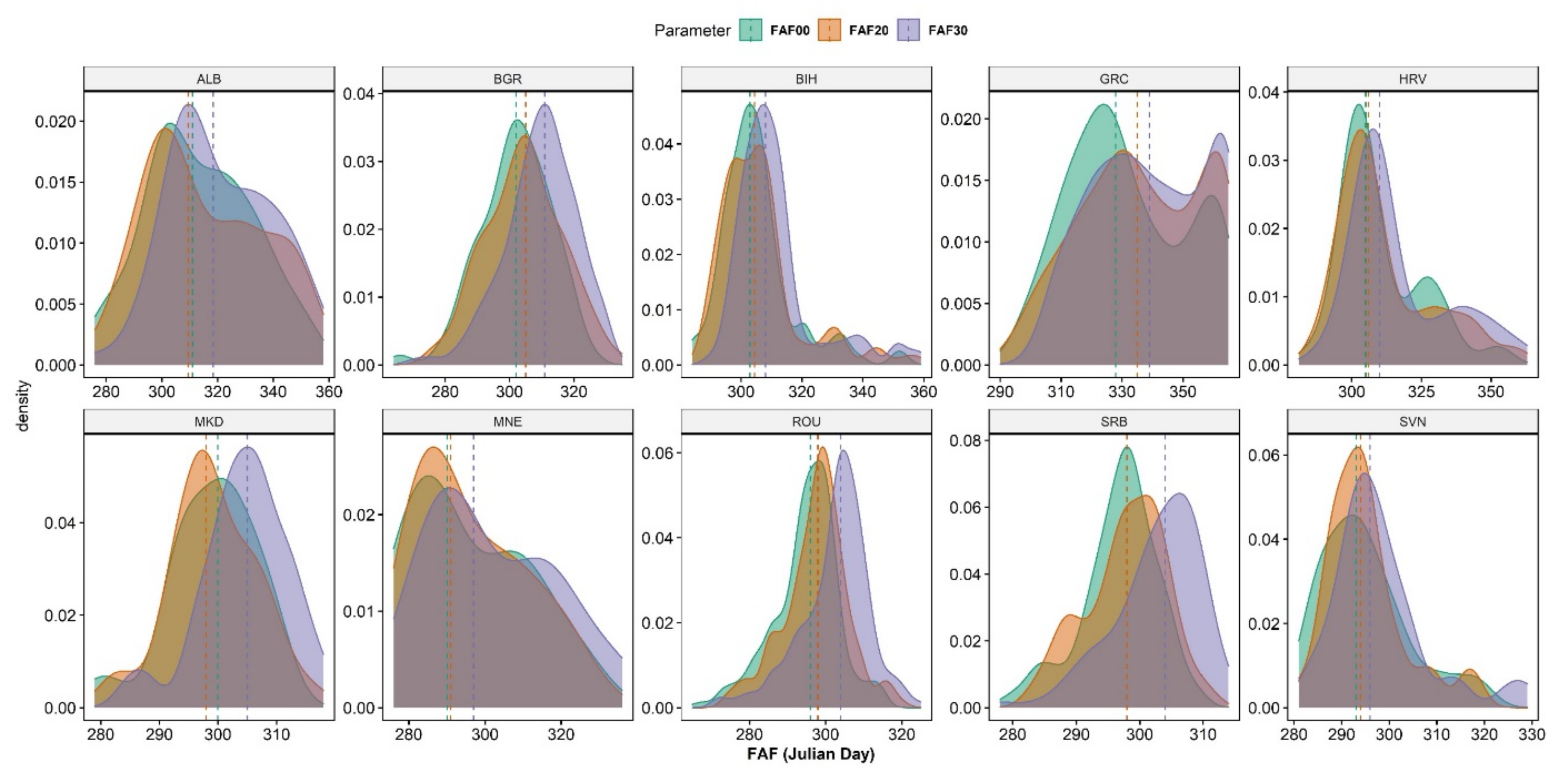
3.3. First Autumn Frost (FAF)
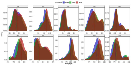
3.4. Free of Frost Days (FFD)
4. Concluding Remarks
Author Contributions
Funding
Institutional Review Board Statement
Informed Consent Statement
Data Availability Statement
Conflicts of Interest
References
- Pachauri, R.K.; Allen, M.R.; Barros, V.R.; Broome, J.; Cramer, W.; Christ, R.; Church, J.A.; Clarke, L.; Dahe, Q.; Dasgupta, P. Climate Change 2014: Synthesis Report. Contribution of Working Groups I, II and III to the Fifth Assessment Report of the Intergovernmental Panel on Climate Change; IPCC: Geneva, Switzerland, 2014; ISBN 92-9169-143-7. [Google Scholar]
- Leal Filho, W.; Trbic, G.; Filipovic, D. Climate Change Adaptation in Eastern Europe: Managing Risks and Building Resilience to Climate Change; Springer: Berlin/Heidelberg, Germany, 2018; ISBN 3-030-03383-X. [Google Scholar]
- Nastos, P.T.; Zerefos, C.S. Spatial and Temporal Variability of Consecutive Dry and Wet Days in Greece. Atmos. Res. 2009, 94, 616–628. [Google Scholar] [CrossRef]
- Bindi, M.; Olesen, J.E. The Responses of Agriculture in Europe to Climate Change. Reg. Environ. Chang. 2011, 11, 151–158. [Google Scholar] [CrossRef]
- Knez, S.; Štrbac, S.; Podbregar, I. Climate Change in the Western Balkans and EU Green Deal: Status, Mitigation and Challenges. Energy Sustain. Soc. 2022, 12, 1. [Google Scholar] [CrossRef]
- Županić, F.Ž.; Radić, D.; Podbregar, I. Climate Change and Agriculture Management: Western Balkan Region Analysis. Energy Sustain. Soc. 2021, 11, 51. [Google Scholar] [CrossRef]
- Lelieveld, J.; Hadjinicolaou, P.; Kostopoulou, E.; Chenoweth, J.; El Maayar, M.; Giannakopoulos, C.; Hannides, C.; Lange, M.A.; Tanarhte, M.; Tyrlis, E.; et al. Climate Change and Impacts in the Eastern Mediterranean and the Middle East. Clim. Chang. 2012, 114, 667–687. [Google Scholar] [CrossRef] [PubMed]
- Gaál, L.; Beranová, R.; Hlavčová, K.; Kyselý, J. Climate Change Scenarios of Precipitation Extremes in the Carpathian Region Based on an Ensemble of Regional Climate Models. Adv. Meteorol. 2014, 2014, e943487. [Google Scholar] [CrossRef]
- Oikonomou, C.; Flocas, H.A.; Hatzaki, M.; Asimakopoulos, D.N.; Giannakopoulos, C. Future Changes in the Occurrence of Extreme Precipitation Events in Eastern Mediterranean. Glob. NEST J. 2008, 10, 255–262. [Google Scholar]
- Olesen, J.E.; Bindi, M. Consequences of Climate Change for European Agricultural Productivity, Land Use and Policy. Eur. J. Agron. 2002, 16, 239–262. [Google Scholar] [CrossRef]
- Trajkovic, S.; Milanovic, M.; Milicevic, D.; Gocic, M. The Assessment of Exposure to Climate Change in South-Eastern Serbia Regions. Int. Multidiscip. Sci. GeoConference SGEM 2020, 20, 491–498. [Google Scholar]
- Droulia, F.; Charalampopoulos, I. A Review on the Observed Climate Change in Europe and Its Impacts on Viticulture. Atmosphere 2022, 13, 837. [Google Scholar] [CrossRef]
- European Environment Agency Climate Change. Impacts and Vulnerability in Europe 2016: An Indicator-Based Report; Publications Office: Luxembourg, 2017. [Google Scholar]
- Custovic, H.; Ðikic, M.; Ljusa, M.; Zurovec, O. Effect of Climate Changes on Agriculture of the Western Balkan Countries and Adaptation Policies. Poljopr. Sumar. 2012, 58, 127. [Google Scholar]
- Unkašević, M.; Tošić, I. Trends in Temperature Indices over Serbia: Relationships to Large-Scale Circulation Patterns. Int. J. Climatol. 2013, 33, 3152–3161. [Google Scholar] [CrossRef]
- Burić, D.; Luković, J.; Ducić, V.; Dragojlović, J.; Doderović, M. Recent Trends in Daily Temperature Extremes over Southern Montenegro (1951–2010). Nat. Hazards Earth Syst. Sci. 2014, 14, 67–72. [Google Scholar] [CrossRef] [Green Version]
- Vuković, A.; Vujadinović Mandić, M. Study on Climate Change in the Western Balkans Region; Bosnia and Herzegovina; Regional Cooperation Council Secretariat: Sarajevo, Bosnia and Herzegovina, 2018. [Google Scholar]
- Bucur, G.M.; Dejeu, L. Researches on Situation and Trends in Climate Change in South Part of Romania and Their Effects on Grapevine. Sci. Pap. Ser. B Hortic. 2017, 61, 243–247. [Google Scholar]
- Kostopoulou, E.; Jones, P.D. Assessment of Climate Extremes in the Eastern Mediterranean. Meteorol. Atmos. Phys. 2005, 89, 69–85. [Google Scholar] [CrossRef]
- Charalampopoulos, I. Agrometeorological Conditions and Agroclimatic Trends for the Maise and Wheat Crops in the Balkan Region. Atmosphere 2021, 12, 671. [Google Scholar] [CrossRef]
- Doderović, M.; Burić, D.; Ducić, V.; Mijanović, I. Recent and Future Air Temperature and Precipitation Changes in the Mountainous North of Montenegro. J. Geogr. Inst. Jovan Cvijic SASA 2020, 70, 189–201. [Google Scholar] [CrossRef]
- Popov, T.; Gnjato, S.; Trbić, G. Changes in Temperature Extremes in Bosnia and Herzegovina: A Fixed Thresholds-Based Index Analysis. J. Geogr. Inst. Jovan Cvijic SASA 2018, 68, 17–33. [Google Scholar] [CrossRef]
- Bonacci, O. Air Temperature and Precipitation Analyses on a Small Mediterranean Island: The Case of the Remote Island of Lastovo (Adriatic Sea, Croatia). Acta Hydrotech. 2019, 32, 135–150. [Google Scholar] [CrossRef]
- Doko, A.; Krasniqi, S.; Fyshku, A.; Topi, I.; Kopali, A. Analysis of Climatic Variability and Determination of Thermal and Pluviometric Limits in Albania’s Southwestern Lowland Area (Vlora). Mech. Agric. Conserv. Resour. 2020, 66, 184–189. [Google Scholar]
- Dumitrescu, A.; Bojariu, R.; Birsan, M.-V.; Marin, L.; Manea, A. Recent Climatic Changes in Romania from Observational Data (1961–2013). Theor. Appl. Climatol. 2015, 122, 111–119. [Google Scholar] [CrossRef]
- Ionita, M.; Chelcea, S.; Rimbu, N.; Adler, M.-J. Spatial and Temporal Variability of Winter Streamflow over Romania and Its Relationship to Large-Scale Atmospheric Circulation. J. Hydrol. 2014, 519, 1339–1349. [Google Scholar] [CrossRef]
- Pörtner, H.-O.; Roberts, D.C.; Adams, H.; Adler, C.; Aldunce, P.; Ali, E.; Begum, R.A.; Betts, R.; Kerr, R.B.; Biesbroek, R. Climate Change 2022: Impacts, Adaptation and Vulnerability; Cambridge University Press: Cambridge, UK; New York, NY, USA, 2022. [Google Scholar]
- Snyder, R.L.; de Melo-Abreu, J. Frost Protection: Fundamentals, Practice and Economics; Environment and Natural Resources Service Series; FAO: Rome, Italy, 2005; Volume 1, pp. 1–240. [Google Scholar]
- Papagiannaki, K.; Lagouvardos, K.; Kotroni, V.; Papagiannakis, G. Agricultural Losses Related to Frost Events: Use of the 850 HPa Level Temperature as an Explanatory Variable of the Damage Cost. Nat. Hazards Earth Syst. Sci. 2014, 14, 2375–2386. [Google Scholar] [CrossRef]
- Semenov, M.A.; Shewry, P.R. Modelling Predicts That Heat Stress, Not Drought, Will Increase Vulnerability of Wheat in Europe. Sci. Rep. 2011, 1, 66. [Google Scholar] [CrossRef] [PubMed]
- Porter, J.R.; Challinor, A.J.; Henriksen, C.B.; Howden, S.M.; Martre, P.; Smith, P. Invited Review: Intergovernmental Panel on Climate Change, Agriculture, and Food—A Case of Shifting Cultivation and History. Glob. Chang. Biol. 2019, 25, 2518–2529. [Google Scholar] [CrossRef]
- Trnka, M.; Rötter, R.P.; Ruiz-Ramos, M.; Kersebaum, K.C.; Olesen, J.E.; Žalud, Z.; Semenov, M.A. Adverse Weather Conditions for European Wheat Production Will Become More Frequent with Climate Change. Nat. Clim. Chang. 2014, 4, 637–643. [Google Scholar] [CrossRef]
- Ray, D.K.; Gerber, J.S.; MacDonald, G.K.; West, P.C. Climate Variation Explains a Third of Global Crop Yield Variability. Nat. Commun. 2015, 6, 5989. [Google Scholar] [CrossRef]
- Moale, C. Influence of Winter Frosts on Some Peach Cultivars of Dobrogea. Sci. Pap. Ser. B Hortic. 2013, 57, 213–217. [Google Scholar]
- Nesheva, M.; Bozhkova, V. Spring Frost Damages of Plum and Apricot Cultivars Grown in the Region of Plovdiv, Bulgaria. Sci. Pap. Ser. B Hortic. 2021, 65, 194–197. [Google Scholar]
- Vujadinović Mandić, M.; Vuković Vimić, A.; Ranković-Vasić, Z.; Đurović, D.; Ćosić, M.; Sotonica, D.; Nikolić, D.; Đurđević, V. Observed Changes in Climate Conditions and Weather-Related Risks in Fruit and Grape Production in Serbia. Atmosphere 2022, 13, 948. [Google Scholar] [CrossRef]
- Trbic, G.; Popov, T.; Djurdjevic, V.; Milunovic, I.; Dejanovic, T.; Gnjato, S.; Ivanisevic, M. Climate Change in Bosnia and Herzegovina According to Climate Scenario RCP8.5 and Possible Impact on Fruit Production. Atmosphere 2022, 13, 1. [Google Scholar] [CrossRef]
- Komac, B.; Pavšek, M.; Topole, M. Climate and Weather of Slovenia. In The Geography of Slovenia: Small But Diverse; Perko, D., Ciglič, R., Zorn, M., Eds.; World Regional Geography Book Series; Springer International Publishing: Cham, Switzerland, 2020; pp. 71–89. ISBN 978-3-030-14066-3. [Google Scholar]
- Mavromatis, T. Crop–Climate Relationships of Cereals in Greece and the Impacts of Recent Climate Trends. Theor. Appl. Climatol. 2015, 120, 417–432. [Google Scholar] [CrossRef]
- Zurovec, O.; Vedeld, P.O.; Sitaula, B.K. Agricultural Sector of Bosnia and Herzegovina and Climate Change—Challenges and Opportunities. Agriculture 2015, 5, 245–266. [Google Scholar] [CrossRef]
- Olesen, J.E.; Trnka, M.; Kersebaum, K.C.; Skjelvåg, A.O.; Seguin, B.; Peltonen-Sainio, P.; Rossi, F.; Kozyra, J.; Micale, F. Impacts and Adaptation of European Crop Production Systems to Climate Change. Eur. J. Agron. 2011, 34, 96–112. [Google Scholar] [CrossRef]
- Bucur, G.M.; Dejeu, L. Researches on the frost resistance of grapevine with special regard to the romanian viticulture. A review. Sci. Pap. Ser. B Hortic. 2020, 64, 238–247. [Google Scholar]
- Droulia, F.; Charalampopoulos, I. Future Climate Change Impacts on European Viticulture: A Review on Recent Scientific Advances. Atmosphere 2021, 12, 495. [Google Scholar] [CrossRef]
- Alfthan, B.; Rucevska, I.; Kurvits, T.; Schoolmeester, T. Mountain Adaptation Outlook Series: Outlook on Climate Change Adaptation in the Western Balkan Mountains; United Nations Environment Programme, GRID-Arendal and Environmental Innovations Association: Nairobi, Kenya, 2015. [Google Scholar]
- Djurdjevic, V.; Trbić, G.; Krzic, A.; Bozanic, D. Projected Changes in Multi-Day Extreme Precipitation Over the Western Balkan Region. In Climate Change Adaptation in Eastern Europe: Managing Risks and Building Resilience to Climate Change; Leal Filho, W., Trbic, G., Filipovic, D., Eds.; Climate Change Management; Springer International Publishing: Cham, Switzerland, 2019; pp. 15–28. ISBN 978-3-030-03383-5. [Google Scholar]
- Milentijević, N.; Valjarević, A.; Bačević, N.R.; Ristić, D.; Kalkan, K.; Cimbaljević, M.; Dragojlović, J.; Savić, S.; Pantelić, M. Assessment of Observed and Projected Climate Changes in Bačka (Serbia) Using Trend Analysis and Climate Modeling. Q. J. Hung. Meteorol. Serv. 2022, 126, 47–68. [Google Scholar] [CrossRef]
- Milovanović, B.; Schubert, S.; Radovanović, M.; Vakanjac, V.R.; Schneider, C. Projected Changes in Air Temperature, Precipitation and Aridity in Serbia in the 21st Century. Int. J. Climatol. 2022, 42, 1985–2003. [Google Scholar] [CrossRef]
- Vukovic, A.; Vujadinovic, M.; Ruml, M.; Rankovic-Vasic, Z.; Przic, Z.; Beslic, Z.; Matijasevic, S.; Vujovic, D.; Todic, S.; Markovic, N.; et al. Implementation of Climate Change Science in Viticulture Sustainable Development Planning in Serbia. E3S Web Conf. 2018, 50, 01005. [Google Scholar] [CrossRef]
- Carvalho, D.; Cardoso Pereira, S.; Rocha, A. Future Surface Temperatures over Europe According to CMIP6 Climate Projections: An Analysis with Original and Bias-Corrected Data. Clim. Chang. 2021, 167, 10. [Google Scholar] [CrossRef]
- Nastos, P.T.; Kapsomenakis, J. Regional Climate Model Simulations of Extreme Air Temperature in Greece. Abnormal or Common Records in the Future Climate? Atmos. Res. 2015, 152, 43–60. [Google Scholar] [CrossRef]
- Kitsara, G.; van der Schriek, T.; Varotsos, K.V.; Giannakopoulos, C. Future Changes in Climate Indices Relevant to Agriculture in the Aegean Islands (Greece). Euro-Mediterr. J. Environ. Integr. 2021, 6, 34. [Google Scholar] [CrossRef]
- Lazoglou, G.; Anagnostopoulou, C.; Koundouras, S. Climate Change Projections for Greek Viticulture as Simulated by a Regional Climate Model. Theor. Appl. Climatol. 2018, 133, 551–567. [Google Scholar] [CrossRef]
- Irimia, L.M.; Patriche, C.V.; Renan, L.; Herve, Q.; Cyril, T.; Sfîcă, L. Projections of Climate Suitability for Wine Production for the Cotnari Wine Region (Romania). Present Environ. Sustain. Dev. 2019, 1, 5–18. [Google Scholar]
- Bruci, E. Projection of Climate Change for South East Europe and Related Impacts. In Proceedings of the Global Environmental Change: Challenges to Science and Society in Southeastern Europe, Sofia, Bulgaria, 19–21 May 2008; Alexandrov, V., Gajdusek, M.F., Knight, C.G., Yotova, A., Eds.; Springer: Dordrecht, The Netherlands, 2010; pp. 161–175. [Google Scholar]
- Giannakopoulos, C.; Kostopoulou, E.; Hadjinicolaou, P.; Hatzaki, M.; Karali, A.; Lelieveld, J.; Lange, M.A. Impacts of Climate Change Over the Eastern Mediterranean and Middle East Region Using the Hadley Centre PRECIS RCM. In Advances in Meteorology, Climatology and Atmospheric Physics; Helmis, C.G., Nastos, P.T., Eds.; Springer: Berlin/Heidelberg, Germany, 2013; pp. 457–463. ISBN 978-3-642-29172-2. [Google Scholar]
- Torma, C.Z.; Kis, A. Bias-Adjustment of High-Resolution Temperature CORDEX Data over the Carpathian Region: Expected Changes Including the Number of Summer and Frost Days. Int. J. Climatol. 2022, 1–16. [Google Scholar] [CrossRef]
- Pongracz, R.; Bartholy, J.; Szabo, P.; Gelybo, G. A Comparison of the Observed Trends and Simulated Changes in Extreme Climate Indices in the Carpathian Basin by the End of This Century. Int. J. Glob. Warm. 2009, 1, 336–355. [Google Scholar] [CrossRef]
- Daničić, M.; Pejić, B.; Mačkić, K.; Lalić, B.; Maksimović, I.; Putnik-Delić, M. The Predicted Impact of Climate Change on Maize Production in Northern Serbia. Maydica 2021, 65, 10. [Google Scholar]
- Ruml, M.; Vuković, A.; Vujadinović, M.; Djurdjević, V.; Ranković-Vasić, Z.; Atanacković, Z.; Sivčev, B.; Marković, N.; Matijašević, S.; Petrović, N. On the Use of Regional Climate Models: Implications of Climate Change for Viticulture in Serbia. Agric. For. Meteorol. 2012, 158–159, 53–62. [Google Scholar] [CrossRef]
- Mihailović, D.T.; Lalić, B.; Drešković, N.; Mimić, G.; Djurdjević, V.; Jančić, M. Climate Change Effects on Crop Yields in Serbia and Related Shifts of Köppen Climate Zones under the SRES-A1B and SRES-A2. Int. J. Climatol. 2015, 35, 3320–3334. [Google Scholar] [CrossRef]
- Kržič, A.; Tošić, I.; Rajković, B.; Djurdjević, V. Some Indicators of the Present and Future Climate of Serbia According to the SRES-A1B Scenario. In Proceedings of the Climate Change; Berger, A., Mesinger, F., Sijacki, D., Eds.; Springer: Vienna, Austria, 2012; pp. 227–239. [Google Scholar]
- Burić, D.; Doderović, M. Projected temperature changes in Kolašin (Montenegro) up to 2100 according to EBU-POM and ALADIN regional climate models. Időjárás Q. J. Hung. Meteorol. Serv. 2020, 124, 427–445. [Google Scholar] [CrossRef]
- Zanis, P.; Katragkou, E.; Ntogras, C.; Marougianni, G.; Tsikerdekis, A.; Feidas, H.; Anadranistakis, E.; Melas, D. Transient High-Resolution Regional Climate Simulation for Greece over the Period 1960-2100: Evaluation and Future Projections. Clim. Res. 2015, 64, 123–140. [Google Scholar] [CrossRef]
- Giannakopoulos, C.; Kostopoulou, E.; Varotsos, K.V.; Tziotziou, K.; Plitharas, A. An Integrated Assessment of Climate Change Impacts for Greece in the near Future. Reg. Environ. Chang. 2011, 11, 829–843. [Google Scholar] [CrossRef]
- Angra, D.; Sapountzaki, K. Climate Change Impacts in Three Regions of Greece: Interconnections with Regional Public Perceptions and Planning Policies; 2019. In Proceedings of the AESOP, Venice, Italy, 9–13 July 2019. [Google Scholar]
- Akritidis, D.; Georgoulias, A.K.; Kalisoras, A.; Kapsomenakis, J.; Melas, D.; Zerefos, C.S.; Zanis, P. Climate Change Projections for Greece in the 21st Century; Copernicus Meetings; AESOP Annual Congress: Venice, Italy, 2022. [Google Scholar]
- Pojani, E.; Tola, M. The Effect of Climate Change on the Water Sector with a Case Study of Albania: An Economic Perspective. In Proceedings of the BALWOIS, Ohrid, Northern Macedonia, 7 May 2010. [Google Scholar]
- Velea, L.; Bojariu, R.; Burada, C.; Udristioiu, M.T.; Paraschivu, M.; Burce, R.D. Characteristics of Extreme Temperatures Relevant for Agriculture in the near Future (2021–2040) in Romania. Environ. Eng. 2021, 10, 70–75. [Google Scholar]
- Ciupertea, A.; Piticar, A.; Djurdjevic, V.; Croitoru, A.-E.; Bartok, B. Future Changes in Extreme Temperature Indices in Cluj-Napoca, Romania. Aerul Apa Compon. Mediu. 2017, 235–242. [Google Scholar] [CrossRef]
- Haylock, M.R.; Cawley, G.C.; Harpham, C.; Wilby, R.L.; Goodess, C.M. Downscaling Heavy Precipitation over the United Kingdom: A Comparison of Dynamical and Statistical Methods and Their Future Scenarios. Int. J. Climatol. 2006, 26, 1397–1415. [Google Scholar] [CrossRef]
- Wang, Y.; Leung, L.R.; McGregor, J.L.; Lee, D.-K.; Wang, W.-C.; Ding, Y.; Kimura, F. Regional Climate Modeling: Progress, Challenges, and Prospects. J. Meteorol. Soc. Japan Ser. II 2004, 82, 1599–1628. [Google Scholar] [CrossRef]
- Wilby, R.L.; Wigley, T.M.L. Downscaling General Circulation Model Output: A Review of Methods and Limitations. Prog. Phys. Geogr. Earth Environ. 1997, 21, 530–548. [Google Scholar] [CrossRef]
- Olesen, J.E.; Carter, T.R.; Díaz-Ambrona, C.H.; Fronzek, S.; Heidmann, T.; Hickler, T.; Holt, T.; Minguez, M.I.; Morales, P.; Palutikof, J.P.; et al. Uncertainties in Projected Impacts of Climate Change on European Agriculture and Terrestrial Ecosystems Based on Scenarios from Regional Climate Models. Clim. Chang. 2007, 81, 123–143. [Google Scholar] [CrossRef]
- Kristensen, K.; Schelde, K.; Olesen, J.E. Winter Wheat Yield Response to Climate Variability in Denmark. J. Agric. Sci. 2011, 149, 33–47. [Google Scholar] [CrossRef]
- Moss, R.H.; Babiker, M.; Brinkman, S.; Calvo, E.; Carter, T.; Edmonds, J.A.; Elgizouli, I.; Emori, S.; Lin, E.; Hibbard, K. Towards New Scenarios for Analysis of Emissions, Climate Change, Impacts, and Response Strategies; Pacific Northwest National Lab. (PNNL): Richland, WA, USA, 2008. [Google Scholar]
- IPCC. Climate Change 2001: The Scientific Basis. Contribution of Working Group I to the Third Assessment Report of the Intergovernmental Panel on Climate Change; Houghton, J.T., Ding, Y., Griggs, D.J., Noguer, N., Linden, P.J., Dai, X., Maskell, K., Johnson, C.A., Eds.; IPCC: Cambridge, UK, 2001; ISBN 0-521-80767-0. [Google Scholar]
- Heinrich, G.; Gobiet, A. The Future of Dry and Wet Spells in Europe: A Comprehensive Study Based on the ENSEMBLES Regional Climate Models. Int. J. Climatol. 2012, 32, 1951–1970. [Google Scholar] [CrossRef]
- Terando, A.; Keller, K.; Easterling, W.E. Probabilistic Projections of Agro-Climate Indices in North America. J. Geophys. Res. Atmos. 2012, 117. [Google Scholar] [CrossRef] [Green Version]
- Biazar, S.M.; Ferdosi, F.B. An Investigation on Spatial and Temporal Trends in Frost Indices in Northern Iran. Theor. Appl. Climatol. 2020, 141, 907–920. [Google Scholar] [CrossRef]
- Malinovic-Milicevic, S.; Stanojevic, G.; Radovanovic, M.M. Recent Changes in First and Last Frost Dates and Frost-Free Period in Serbia. Geogr. Ann. Ser. A Phys. Geogr. 2018, 100, 44–58. [Google Scholar] [CrossRef]
- Knox, J.; Daccache, A.; Hess, T.; Haro, D. Meta-Analysis of Climate Impacts and Uncertainty on Crop Yields in Europe. Environ. Res. Lett. 2016, 11, 113004. [Google Scholar] [CrossRef]
- Önol, B.; Semazzi, F.H.M. Regionalization of Climate Change Simulations over the Eastern Mediterranean. J. Clim. 2009, 22, 1944–1961. [Google Scholar] [CrossRef]
- Altieri, M.A.; Nicholls, C.I. The Adaptation and Mitigation Potential of Traditional Agriculture in a Changing Climate. Clim. Chang. 2017, 140, 33–45. [Google Scholar] [CrossRef]
- Van‘t Wout, T.; Sessa, R.; Pijunovic, V. Good Practices for Disaster Risk Reduction in Agriculture in the Western Balkans. In Climate Change Management; Springer: Cham, Switzerland, 2019; pp. 369–393. [Google Scholar]
- Popov, T.; Gnjato, S.; Trbić, G. Effects of Changes in Extreme Climate Events on Key Sectors in Bosnia and Herzegovina and Adaptation Options. In Climate Change Adaptation in Eastern Europe: Managing Risks and Building Resilience to Climate Change; Leal Filho, W., Trbic, G., Filipovic, D., Eds.; Climate Change Management; Springer International Publishing: Cham, Switzerland, 2019; pp. 213–228. ISBN 978-3-030-03383-5. [Google Scholar]
- Charalampopoulos, I. The R Language as a Tool for Biometeorological Research. Atmosphere 2020, 11, 682. [Google Scholar] [CrossRef]
- Nakicenovic, N.; Swart, R. Intergovernmental Panel on Climate Change Special Report on Emissions Scenarios; Cambridge University Press: Cambridge, UK, 2000. [Google Scholar]
- Jagosz, B.; Rolbiecki, S.; Rolbiecki, R.; Ptach, W.; Sadan, H.A.; Kasperska-Wołowicz, W.; Pal-Fam, F.; Atilgan, A. Effect of the Forecast Air Temperature Change on the Water Needs of Vines in the Region of Bydgoszcz, Northern Poland. Agronomy 2022, 12, 1561. [Google Scholar] [CrossRef]
- Zhang, J.; Gao, Y.; Leung, L.R.; Luo, K.; Wang, M.; Zhang, Y.; Bell, M.L.; Fan, J. Isolating the Modulation of Mean Warming and Higher-Order Temperature Changes on Ozone in a Changing Climate over the Contiguous United States. Environ. Res. Lett. 2022, 17, 094005. [Google Scholar] [CrossRef]
- Snover, A.; Mauger, G.; Whitely Binder, L.; Krosby, M.; Tohver, I. Climate Change Impacts and Adaptation in Washington State: Technical Summaries for Decision Makers; Climate Impacts Group, University of Washington: Seattle, WC, USA, 2013. [Google Scholar]
- Duveiller, G.; Donatelli, M.; Fumagalli, D.; Zucchini, A.; Nelson, R.; Baruth, B. A Dataset of Future Daily Weather Data for Crop Modelling over Europe Derived from Climate Change Scenarios. Theor. Appl. Climatol. 2017, 127, 573–585. [Google Scholar] [CrossRef]
- Christensen, J.H.; Boberg, F.; Christensen, O.B.; Lucas-Picher, P. On the Need for Bias Correction of Regional Climate Change Projections of Temperature and Precipitation. Geophys. Res. Lett. 2008, 35. [Google Scholar] [CrossRef]
- Jaeger, E.B.; Anders, I.; Luthi, D.; Rockel, B.; Schar, C.; Seneviratne, S.I. Analysis of ERA40-Driven CLM Simulations for Europe. Meteorol. Z. 2008, 17, 349–368. [Google Scholar] [CrossRef]
- Collins, M.; Booth, B.B.B.; Bhaskaran, B.; Harris, G.R.; Murphy, J.M.; Sexton, D.M.H.; Webb, M.J. Climate Model Errors, Feedbacks and Forcings: A Comparison of Perturbed Physics and Multi-Model Ensembles. Clim. Dyn. 2011, 36, 1737–1766. [Google Scholar] [CrossRef]
- Dosio, A.; Paruolo, P. Bias Correction of the ENSEMBLES High-Resolution Climate Change Projections for Use by Impact Models: Evaluation on the Present Climate. J. Geophys. Res. Atmos. 2011, 116. [Google Scholar] [CrossRef]
- IPCC. Special Report on Emissions Scenarios. In Intergovernmental Panel on Climate Change Special Reports on Climate Change; Cambridge University Press: Cambridge, UK, 2000; p. 570. [Google Scholar]
- Rojas, R.; Feyen, L.; Dosio, A.; Bavera, D. Improving Pan-European Hydrological Simulation of Extreme Events through Statistical Bias Correction of RCM-Driven Climate Simulations. Hydrol. Earth Syst. Sci. 2011, 15, 2599–2620. [Google Scholar] [CrossRef]
- Mavromatis, T.; Voulanas, D. Evaluating ERA-Interim, Agri4Cast and E-OBS Gridded Products in Reproducing Spatiotemporal Characteristics of Precipitation and Drought over a Data Poor Region: The Case of Greece. Int. J. Climatol. 2021, 41, 2118–2136. [Google Scholar] [CrossRef]
- Debonne, N.; Bürgi, M.; Diogo, V.; Helfenstein, J.; Herzog, F.; Levers, C.; Mohr, F.; Swart, R.; Verburg, P. The Geography of Megatrends Affecting European Agriculture. Glob. Environ. Chang. 2022, 75, 102551. [Google Scholar] [CrossRef]
- Di Bene, C.; Diacono, M.; Montemurro, F.; Testani, E.; Farina, R. EPIC Model Simulation to Assess Effective Agro-Ecological Practices for Climate Change Mitigation and Adaptation in Organic Vegetable System. Agron. Sustain. Dev. 2022, 42, 7. [Google Scholar] [CrossRef]
- Cappelli, G.A.; Ginaldi, F.; Fanchini, D.; Corinzia, S.A.; Cosentino, S.L.; Ceotto, E. Model-Based Assessment of Giant Reed (Arundo Donax L.) Energy Yield in the Form of Diverse Biofuels in Marginal Areas of Italy. Land 2021, 10, 548. [Google Scholar] [CrossRef]
- R Core Team R: A Language and Environment for Statistical Computing. Available online: https://www.R-project.org/ (accessed on 11 July 2022).
- Wickham, H.; François, R.; Henry, L.; Müller, K. Dplyr: A Grammar of Data Manipulation. Available online: https://CRAN.R-project.org/package=dplyr (accessed on 25 April 2020).
- Henry, L.; Wickham, H. RStudio Purrr: Functional Programming Tools. Available online: https://CRAN.R-project.org/package=purrr (accessed on 7 July 2022).
- Robinson, D.; Hayes, A. Broom: Convert Statistical Analysis Objects into Tidy Tibbles. Available online: https://CRAN.R-project.org/package=broom (accessed on 5 February 2022).
- Klik, M. Fst: Lightning Fast Serialisation of Data Frames. Available online: https://CRAN.R-project.org/package=fst (accessed on 7 July 2022).
- Hijmans, R.J.; van Etten, J.; Sumner, M.; Cheng, J.; Baston, D.; Bevan, A.; Bivand, R.; Busetto, L.; Canty, M.; Fasoli, B.; et al. Raster: Geographic Data Analysis and Modeling. Available online: https://CRAN.R-project.org/package=raster (accessed on 7 July 2022).
- Hijmans, R.J.; Bivand, R.; Forner, K.; Ooms, J.; Pebesma, E.; Sumner, M.D. Terra: Spatial Data Analysis. Available online: https://CRAN.R-project.org/package=terra (accessed on 7 July 2022).
- Bivand, R.; Keitt, T.; Rowlingson, B.; Pebesma, E.; Sumner, M.; Hijmans, R.; Baston, D.; Rouault, E.; Warmerdam, F.; Ooms, J.; et al. Rgdal: Bindings for the “Geospatial” Data Abstraction Library. Available online: https://CRAN.R-project.org/package=rgdal (accessed on 7 July 2022).
- QGIS Development Team QGIS Geographic Information System. 2009. Available online: http://qgis.osgeo.org (accessed on 7 July 2022).
- Erlat, E.; Türkeş, M. Dates of Frost Onset, Frost End and the Frost-Free Season in Turkey: Trends, Variability and Links to the North Atlantic and Arctic Oscillation Indices, 1950–2013. Clim. Res. 2016, 69, 155–176. [Google Scholar] [CrossRef]
- Zhang, Y.; Gowda, P.; Brown, D.; Rice, C.; Zambreski, Z.; Kutikoff, S.; Lin, X. Time-Varying Trends in Frost Indicators in the U.S. Southern Great Plains. Int. J. Climatol. 2020, 41, 1264–1278. [Google Scholar] [CrossRef]
- Anandhi, A.; Perumal, S.; Gowda, P.H.; Knapp, M.; Hutchinson, S.; Harrington, J.; Murray, L.; Kirkham, M.B.; Rice, C.W. Long-Term Spatial and Temporal Trends in Frost Indices in Kansas, USA. Clim. Chang. 2013, 120, 169–181. [Google Scholar] [CrossRef]
- Wypych, A.; Ustrnul, Z.; Sulikowska, A.; Chmielewski, F.-M.; Bochenek, B. Spatial and Temporal Variability of the Frost-Free Season in Central Europe and Its Circulation Background. Int. J. Climatol. 2017, 37, 3340–3352. [Google Scholar] [CrossRef]
- Trnka, M.; Brázdil, R.; Dubrovský, M.; Semerádová, D.; Štěpánek, P.; Dobrovolný, P.; Možný, M.; Eitzinger, J.; Málek, J.; Formayer, H.; et al. A 200-Year Climate Record in Central Europe: Implications for Agriculture. Agron. Sustain. Dev. 2011, 31, 631–641. [Google Scholar] [CrossRef]
- Scheifinger, H.; Menzel, A.; Koch, E.; Peter, C. Trends of Spring Time Frost Events and Phenological Dates in Central Europe. Theor. Appl. Climatol. 2003, 74, 41–51. [Google Scholar] [CrossRef]
- Lamichhane, J.R. Rising Risks of Late-Spring Frosts in a Changing Climate. Nat. Clim. Chang. 2021, 11, 554–555. [Google Scholar] [CrossRef]
- Terando, A.; Easterling, W.E.; Keller, K.; Easterling, D.R. Observed and Modeled Twentieth-Century Spatial and Temporal Patterns of Selected Agro-Climate Indices in North America. J. Clim. 2012, 25, 473–490. [Google Scholar] [CrossRef]
- Cressie, N.; Wikle, C.K. Statistics for Spatio-Temporal Data; John Wiley & Sons: Hoboken, NJ, USA, 2015; ISBN 1-119-24304-1. [Google Scholar]
- Taylor, K.E. Summarizing Multiple Aspects of Model Performance in a Single Diagram. J. Geophys. Res. Atmos. 2001, 106, 7183–7192. [Google Scholar] [CrossRef]
- Miao, C.; Duan, Q.; Sun, Q.; Huang, Y.; Kong, D.; Yang, T.; Ye, A.; Di, Z.; Gong, W. Assessment of CMIP5 Climate Models and Projected Temperature Changes over Northern Eurasia. Environ. Res. Lett. 2014, 9, 055007. [Google Scholar] [CrossRef]
- Carslaw, D.C.; Ropkins, K. Openair—An R Package for Air Quality Data Analysis. Environ. Model. Softw. 2012, 27–28, 52–61. [Google Scholar] [CrossRef]
- Wickham, H. Reshape2: Flexibly Reshape Data: A Reboot of the Reshape Package. Available online: https://CRAN.R-project.org/package=reshape2 (accessed on 25 April 2020).
- Georgoulias, A.K.; Akritidis, D.; Kalisoras, A.; Kapsomenakis, J.; Melas, D.; Zerefos, C.S.; Zanis, P. Climate Change Projections for Greece in the 21st Century from High-Resolution EURO-CORDEX RCM Simulations. Atmos. Res. 2022, 271, 106049. [Google Scholar] [CrossRef]
- Burić, D.; Doderović, M. Changes in Temperature and Precipitation in the Instrumental Period (1951–2018) and Projections up to 2100 in Podgorica (Montenegro). Int. J. Climatol. 2021, 41, E133–E149. [Google Scholar] [CrossRef]
- Peters, G.P.; Andrew, R.M.; Boden, T.; Canadell, J.G.; Ciais, P.; Le Quéré, C.; Marland, G.; Raupach, M.R.; Wilson, C. The Challenge to Keep Global Warming below 2 °C. Nat. Clim. Chang. 2013, 3, 4–6. [Google Scholar] [CrossRef]











| FD00 | FD20 | FD30 | LSF00 | LSF20 | LSF30 | FAF00 | FAF20 | FAF30 | FFD00 | FFD20 | FFD30 | |
|---|---|---|---|---|---|---|---|---|---|---|---|---|
| ALB * | 68 | 52.5 | 47.5 | 86.5 | 84.5 | 85 | 311 | 309.5 | 318.5 | 220 | 223.5 | 233 |
| BGR | 87 | 73 | 72 | 96.5 | 90 | 92 | 302 | 305 | 311 | 206 | 215 | 218 |
| BIH | 85 | 70 | 66.5 | 97 | 92 | 94 | 303 | 304.5 | 308 | 206 | 212.5 | 214 |
| GRC | 23.5 | 15.5 | 14 | 70 | 60 | 63 | 328 | 335 | 339 | 258.5 | 277 | 275 |
| HRV | 77 | 62.5 | 59 | 92 | 87 | 91 | 305 | 306 | 310 | 213 | 219 | 218.5 |
| MKD | 98.5 | 86.5 | 81 | 99 | 94 | 94 | 300 | 298 | 305 | 200 | 204 | 212 |
| MNE | 126 | 115 | 102 | 117 | 109 | 111 | 290 | 291 | 297 | 173 | 181 | 188 |
| ROU | 107 | 94 | 94 | 97 | 93 | 97 | 296 | 298 | 304 | 199 | 205 | 207 |
| SRB | 95 | 80 | 78 | 100 | 94 | 97 | 298 | 298 | 304 | 198 | 204 | 207 |
| SVN | 109 | 104 | 100 | 111 | 105 | 107 | 293 | 294 | 296 | 181 | 186 | 189 |
| FD 00-20 | FD 00-30 | LSF 00-20 | LSF 00-30 | FAF 00-20 | FAF 00-30 | FFD 00-20 | FFD 00-30 | |
|---|---|---|---|---|---|---|---|---|
| ALB * | 22.8 | 30.1 | 2.3 | 1.7 | 0.5 | −2.4 | −1.6 | −5.9 |
| BGR | 16.1 | 17.2 | 6.7 | 4.7 | −1.0 | −3.0 | −4.4 | −5.8 |
| BIH | 17.6 | 21.8 | 5.2 | 3.1 | −0.5 | −1.7 | −3.2 | −3.9 |
| GRC | 34.0 | 40.4 | 14.3 | 10.0 | −2.1 | −3.4 | −7.2 | −6.4 |
| HRV | 18.8 | 23.4 | 5.4 | 1.1 | −0.3 | −1.6 | −2.8 | −2.6 |
| MKD | 12.2 | 17.8 | 5.1 | 5.1 | 0.7 | −1.7 | −2.0 | −6.0 |
| MNE | 8.7 | 19.0 | 6.8 | 5.1 | −0.3 | −2.4 | −4.6 | −8.7 |
| ROU | 12.1 | 12.1 | 4.1 | 0.0 | −0.7 | −2.7 | −3.0 | −4.0 |
| SRB | 15.8 | 17.9 | 6.0 | 3.0 | 0.0 | −2.0 | −3.0 | −4.5 |
| SVN | 4.6 | 8.3 | 5.4 | 3.6 | −0.3 | −1.0 | −2.8 | −4.4 |
Publisher’s Note: MDPI stays neutral with regard to jurisdictional claims in published maps and institutional affiliations. |
© 2022 by the authors. Licensee MDPI, Basel, Switzerland. This article is an open access article distributed under the terms and conditions of the Creative Commons Attribution (CC BY) license (https://creativecommons.org/licenses/by/4.0/).
Share and Cite
Charalampopoulos, I.; Droulia, F. Frost Conditions Due to Climate Change in South-Eastern Europe via a High-Spatiotemporal-Resolution Dataset. Atmosphere 2022, 13, 1407. https://doi.org/10.3390/atmos13091407
Charalampopoulos I, Droulia F. Frost Conditions Due to Climate Change in South-Eastern Europe via a High-Spatiotemporal-Resolution Dataset. Atmosphere. 2022; 13(9):1407. https://doi.org/10.3390/atmos13091407
Chicago/Turabian StyleCharalampopoulos, Ioannis, and Fotoula Droulia. 2022. "Frost Conditions Due to Climate Change in South-Eastern Europe via a High-Spatiotemporal-Resolution Dataset" Atmosphere 13, no. 9: 1407. https://doi.org/10.3390/atmos13091407
APA StyleCharalampopoulos, I., & Droulia, F. (2022). Frost Conditions Due to Climate Change in South-Eastern Europe via a High-Spatiotemporal-Resolution Dataset. Atmosphere, 13(9), 1407. https://doi.org/10.3390/atmos13091407

