The Impacts of Wind Shear on Spatial Variation of the Meteorological Element Field in the Atmospheric Convective Boundary Layer Based on Large Eddy Simulation
Abstract
1. Introduction
2. Data and Methods
3. Results
3.1. Effects of Wind Shear on the Horizontal Fields of Meteorological Elements
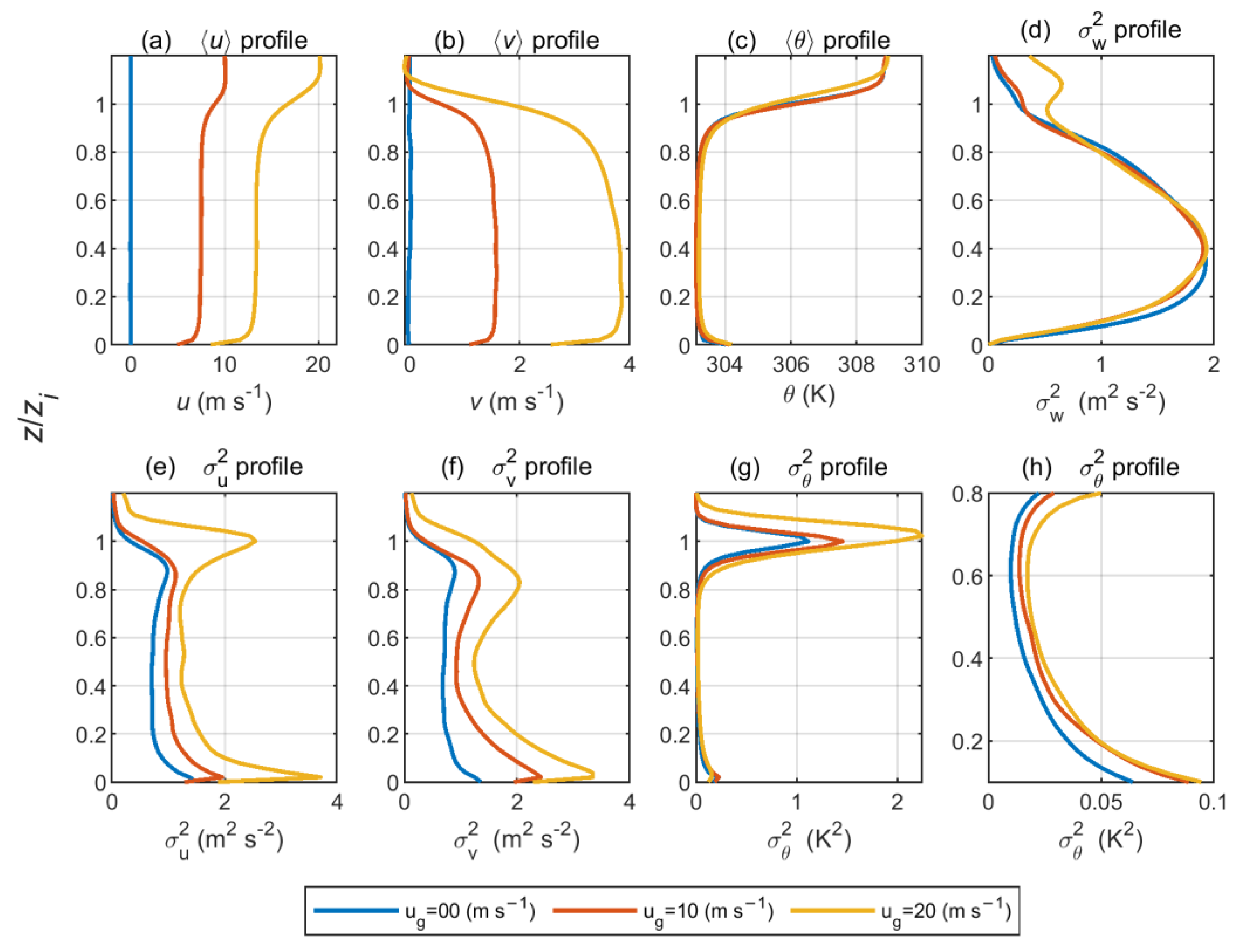
3.2. Effects of Wind Shear on the Vertical Mean Profiles of the Meteorological Elements
3.3. Effects of Wind Shear on the Spatial Gradients of Horizontal Fields of the Meteorological Elements
3.4. Effects of Wind Shear on 2-d PSDs of Meteorological Element Fields (2 Dimensions)
3.5. Effects of Wind Shear on 2-d PSDs of Meteorological Element Fields (1 Dimension)
3.6. The Effects of Filtering the Energy of Large-Scale Atmospheric Motions Out
4. Discussion and Conclusions
- (1)
- In the CBL, as wind shear increases, the variance of w differs insignificantly, u and v increase monotonically, and the variance of θ increases slightly, which implies that the spatial variations of u, v, and θ are enhanced as the wind shear increases. The spatial variation of w is insensitive to wind shear throughout the CBL depth. This is consistent with the results of the horizontal gradients of u, v, w, and θ.
- (2)
- In the middle CBL (about 0.2–0.8z/zi), with increasing wind shear, the low-wavenumber PSDs of u, v, w, and θ increase significantly. In addition, in the high-wavenumber range, with increasing wind shear, the PSDs of u and v increase slightly, and the PSD of w decreases slightly, while the PSD of θ almost remains stable.
- (3)
- In the surface layer CBL (about 0.0–0.2 z/zi), low-wavenumber PSDs of u, v, w, and θ increase significantly with the increasing wind shear. Moreover, in the high-wavenumber range, with increasing wind shear, the PSDs of u and v increase, and the PSD of w decreases slightly, while the PSD of θ increases slightly.
- (4)
- However, the low-wavenumber PSDs of u, v, w, and θ increase significantly with increasing wind shear in the CBL, indicating that the large-scale motions of the atmosphere are constantly enhanced with increasing wind shear, which means the large-scale coherent 2-d structures of the atmospheric flows in the CBL become more significant and ordered with increasing wind shear.
- (5)
- The PSDs can more precisely elucidate the spatial variation of u, v, w, and θ with wind shear. Generally, with increasing wind shear, the PSDs of u and v increase in nearly the entire wavenumber range, resulting in u and v having increased variances. On the contrary, with increasing wind shear, the PSD of w increases in the low-wavenumber range and decreases slightly in the high-wavenumber range, which results in the variance of w differing insignificantly. Since the magnitude of the PSD of θ is much smaller than those of u and v, the variance of θ increases with increasing wind shear, but it is much smaller than the variances of u and v.
Author Contributions
Funding
Institutional Review Board Statement
Informed Consent Statement
Data Availability Statement
Acknowledgments
Conflicts of Interest
References
- Hunt, J.C.R.; Kaimal, J.C.; Gaynor, J.E. Eddy Structure in the Convective Boundary Layer—New Measurements and New Concepts. Q. J. R. Meteorol. Soc. 1988, 114, 827–858. [Google Scholar]
- Mesoscale Shallow Convection in the Atmosphere-Atkinson-1996-Reviews of Geophysics-Wiley Online Library. Available online: https://agupubs.onlinelibrary.wiley.com/doi/abs/10.1029/96RG02623 (accessed on 29 August 2022).
- Brown, R.A. Longitudinal Instabilities and Secondary Flows in the Planetary Boundary Layer: A Review. Rev. Geophys. 1980, 18, 683–697. [Google Scholar] [CrossRef]
- Young, G.S.; Kristovich, D.A.; Hjelmfelt, M.R.; Foster, R.C. Rolls, Streets, Waves, and More: A Review of Quasi-Two-Dimensional Structures in the Atmospheric Boundary Layer. Bull. Am. Meteorol. Soc. 2002, 83, 997–1002. [Google Scholar]
- Weckwerth, T.M.; Wilson, J.W.; Wakimoto, R.M. Thermodynamic Variability within the Convective Boundary Layer Due to Horizontal Convective Rolls. Mon. Weather Rev. 1996, 124, 769–784. [Google Scholar] [CrossRef]
- Weckwerth, T.M. The Effect of Small-Scale Moisture Variability on Thunderstorm Initiation. Mon. Weather Rev. 2000, 128, 4017–4030. [Google Scholar] [CrossRef]
- Xue, M.; Martin, W.J. A High-Resolution Modeling Study of the 24 May 2002 Dryline Case during IHOP. Part I: Numerical Simulation and General Evolution of the Dryline and Convection. Mon. Weather Rev. 2006, 134, 149–171. [Google Scholar] [CrossRef]
- Trier, S.B.; Parsons, D.B.; Clark, J.H. Environment and Evolution of a Cold-Frontal Mesoscale Convective System. Mon. Weather Rev. 1991, 119, 2429–2455. [Google Scholar] [CrossRef]
- Wakimoto, R.M.; Wilson, J.W. Non-Supercell Tornadoes. Mon. Weather Rev. 1989, 117, 1113–1140. [Google Scholar] [CrossRef]
- Baidu, M.; Schwendike, J.; Marsham, J.H.; Bain, C. Effects of Vertical Wind Shear on Intensities of Mesoscale Convective Systems over West and Central Africa. Atmos. Sci. Lett. 2022, 23, e1094. [Google Scholar] [CrossRef]
- Back, L.E.; Bretherton, C.S. The Relationship between Wind Speed and Precipitation in the Pacific ITCZ. J. Clim. 2005, 18, 4317–4328. [Google Scholar] [CrossRef]
- Moeng, C.-H.; Sullivan, P.P. A Comparison of Shear-and Buoyancy-Driven Planetary Boundary Layer Flows. J. Atmos. Sci. 1994, 51, 999–1022. [Google Scholar] [CrossRef]
- Schmidt, H.; Schumann, U. Coherent Structure of the Convective Boundary Layer Derived from Large-Eddy Simulations. J. Fluid Mech. 1989, 200, 511–562. [Google Scholar] [CrossRef]
- Park, J.; Basu, S.; Manuel, L. Large-Eddy Simulation of Stable Boundary Layer Turbulence and Estimation of Associated Wind Turbine Loads: LES of SBL Turbulence and Wind Turbine Loads. Wind Energy 2014, 17, 359–384. [Google Scholar] [CrossRef]
- Park, S.-B.; Baik, J.-J.; Han, B.-S. Role of Wind Shear in the Decay of Convective Boundary Layers. Atmosphere 2020, 11, 622. [Google Scholar] [CrossRef]
- Lee, M.J.; Kim, J.; Moin, P. Structure of Turbulence at High Shear Rate. J. Fluid Mech. 1990, 216, 561–583. [Google Scholar] [CrossRef]
- Skamarock, W.C.; Klemp, J.B.; Dudhia, J.; Gill, D.O.; Barker, D.M.; Wang, W.; Powers, J.G. A Description of the Advanced Research WRF Version 3. NCAR Technical Note-475+ STR. 2008. Available online: https://citeseerx.ist.psu.edu/viewdoc/summary?doi=10.1.1.484.3656 (accessed on 30 August 2008).
- Noh, Y.; Cheon, W.G.; Hong, S.Y.; Raasch, S. Improvement of the K-Profile Model for the Planetary Boundary Layer Based on Large Eddy Simulation Data. Bound.-Layer Meteorol. 2003, 107, 401–427. [Google Scholar] [CrossRef]
- Deardorff, J.W. Stratocumulus-Capped Mixed Layers Derived from a Three-Dimensional Model. Bound.-Layer Meteorol. 1980, 18, 495–527. [Google Scholar] [CrossRef]
- Moeng, C.-H. A Large-Eddy-Simulation Model for the Study of Planetary Boundary-Layer Turbulence. J. Atmos. Sci. 1984, 41, 2052–2062. [Google Scholar] [CrossRef]
- Shin, H.H.; Hong, S.-Y. Analysis of Resolved and Parameterized Vertical Transports in Convective Boundary Layers at Gray-Zone Resolutions. J. Atmos. Sci. 2013, 70, 3248–3261. [Google Scholar] [CrossRef]
- Troen, I.B.; Mahrt, L. A Simple Model of the Atmospheric Boundary Layer; Sensitivity to Surface Evaporation. Bound.-Layer Meteorol. 1986, 37, 129–148. [Google Scholar] [CrossRef]
- Shikhovtsev, A.Y.; Kovadlo, P.G.; Khaikin, V.B.; Nosov, V.V.; Lukin, V.P.; Nosov, E.V.; Torgaev, A.V.; Kiselev, A.V.; Shikhovtsev, M.Y. Atmospheric Conditions within Big Telescope Alt-Azimuthal Region and Possibilities of Astronomical Observations. Remote Sens. 2022, 14, 1833. [Google Scholar] [CrossRef]
- Batchelor, G.K. The Theory of Homogeneous Turbulence; Cambridge University Press: Cambridge, UK, 1953. [Google Scholar]
- Peltier, L.J.; Wyngaard, J.C.; Khanna, S.; Brasseur, J.O. Spectra in the Unstable Surface Layer. J. Atmos. Sci. 1996, 53, 49–61. [Google Scholar] [CrossRef]
- Salesky, S.T.; Chamecki, M.; Bou-Zeid, E. On the Nature of the Transition between Roll and Cellular Organization in the Convective Boundary Layer. Bound.-Layer Meteorol. 2017, 163, 41–68. [Google Scholar] [CrossRef]
- Zhou, B.; Simon, J.S.; Chow, F.K. The Convective Boundary Layer in the Terra Incognita. J. Atmos. Sci. 2014, 71, 2545–2563. [Google Scholar] [CrossRef]
- Drazin, P.G.; Reid, W.H. Hydrodynamic Stability; Cambridge University Press: Cambridge, UK, 2004. [Google Scholar]
- Sorbjan, Z. Effects Caused by Varying the Strength of the Capping Inversion Based on a Large Eddy Simulation Model of the Shear-Free Convective Boundary Layer. J. Atmos. Sci. 1996, 53, 2015–2024. [Google Scholar] [CrossRef]
- Gibbs, J.A.; Fedorovich, E. Comparison of Convective Boundary Layer Velocity Spectra Retrieved from Large-Eddy-Simulation and Weather Research and Forecasting Model Data. J. Appl. Meteorol. Climatol. 2014, 53, 377–394. [Google Scholar] [CrossRef]
- Tennekes, H.; Lumley, J.L.; Lumley, J.L. A First Course in Turbulence; MIT Press: Cambridge, MA, USA, 1972. [Google Scholar]
- Sullivan, P.P.; Patton, E.G. The Effect of Mesh Resolution on Convective Boundary Layer Statistics and Structures Generated by Large-Eddy Simulation. J. Atmos. Sci. 2011, 68, 2395–2415. [Google Scholar] [CrossRef]
- Jiménez, M.A.; Cuxart, J. Large-Eddy Simulations of the Stable Boundary Layer Using the Standard Kolmogorov Theory: Range of Applicability. Bound.-Layer Meteorol. 2005, 115, 241–261. [Google Scholar] [CrossRef]
- Zhou, B.; Sun, S.; Sun, J.; Zhu, K. The Universality of the Normalized Vertical Velocity Variance in Contrast to the Horizontal Velocity Variance in the Convective Boundary Layer. J. Atmos. Sci. 2019, 76, 1437–1456. [Google Scholar] [CrossRef]
- Skamarock, W.C. Evaluating Mesoscale NWP Models Using Kinetic Energy Spectra. Mon. Weather Rev. 2004, 132, 3019–3032. [Google Scholar] [CrossRef]
- Wicker, L.J.; Skamarock, W.C. Time-Splitting Methods for Elastic Models Using Forward Time Schemes. Mon. Weather Rev. 2002, 130, 2088–2097. [Google Scholar] [CrossRef]
- Selesnick, I.W.; Burrus, C.S. Generalized Digital Butterworth Filter Design. IEEE Trans. Signal Process. 1998, 46, 1688–1694. [Google Scholar] [CrossRef]
- Golder, D. Relations among Stability Parameters in the Surface Layer. Bound.-Layer Meteorol. 1972, 3, 47–58. [Google Scholar] [CrossRef]












| Runs - | Km s−1 | m s−1 | m | m | m s−1 | - | m s−1 | - |
|---|---|---|---|---|---|---|---|---|
| Shear-free | 0.24 | 00 | 1130 | −3.6 | 2.04 | −1047 | 0.21 | 0.102 |
| Shear-10 | 0.24 | 10 | 1138 | −47.2 | 2.05 | −33 | 0.51 | 0.251 |
| Shear-20 | 0.24 | 20 | 1213 | −181.6 | 2.09 | −8 | 0.82 | 0.390 |
Publisher’s Note: MDPI stays neutral with regard to jurisdictional claims in published maps and institutional affiliations. |
© 2022 by the authors. Licensee MDPI, Basel, Switzerland. This article is an open access article distributed under the terms and conditions of the Creative Commons Attribution (CC BY) license (https://creativecommons.org/licenses/by/4.0/).
Share and Cite
Zhang, H.; Yin, J.; He, Q.; Wang, M. The Impacts of Wind Shear on Spatial Variation of the Meteorological Element Field in the Atmospheric Convective Boundary Layer Based on Large Eddy Simulation. Atmosphere 2022, 13, 1567. https://doi.org/10.3390/atmos13101567
Zhang H, Yin J, He Q, Wang M. The Impacts of Wind Shear on Spatial Variation of the Meteorological Element Field in the Atmospheric Convective Boundary Layer Based on Large Eddy Simulation. Atmosphere. 2022; 13(10):1567. https://doi.org/10.3390/atmos13101567
Chicago/Turabian StyleZhang, Hailiang, Jinfang Yin, Qing He, and Minzhong Wang. 2022. "The Impacts of Wind Shear on Spatial Variation of the Meteorological Element Field in the Atmospheric Convective Boundary Layer Based on Large Eddy Simulation" Atmosphere 13, no. 10: 1567. https://doi.org/10.3390/atmos13101567
APA StyleZhang, H., Yin, J., He, Q., & Wang, M. (2022). The Impacts of Wind Shear on Spatial Variation of the Meteorological Element Field in the Atmospheric Convective Boundary Layer Based on Large Eddy Simulation. Atmosphere, 13(10), 1567. https://doi.org/10.3390/atmos13101567

