Chemical Composition and Source Apportionment of PM2.5 in a Border City in Southwest China
Abstract
:1. Introduction
2. Methods
2.1. Sampling Site and Sample Collection
2.2. Chemical Analysis and Quality Control
2.2.1. WSII Analysis
2.2.2. Elements Analysis
2.2.3. OC and EC Analysis
2.2.4. Quality Assurance and Control
2.3. Data Processing
2.3.1. Positive Definite Matrix Factorization (PMF) Modeling
2.3.2. HYSPLIT4 Model
3. Results and Analyses
3.1. Characteristics of PM2.5
3.2. Chemical Composition Characteristic of PM2.5
3.2.1. WSIIs Levels
3.2.2. IEs Levels
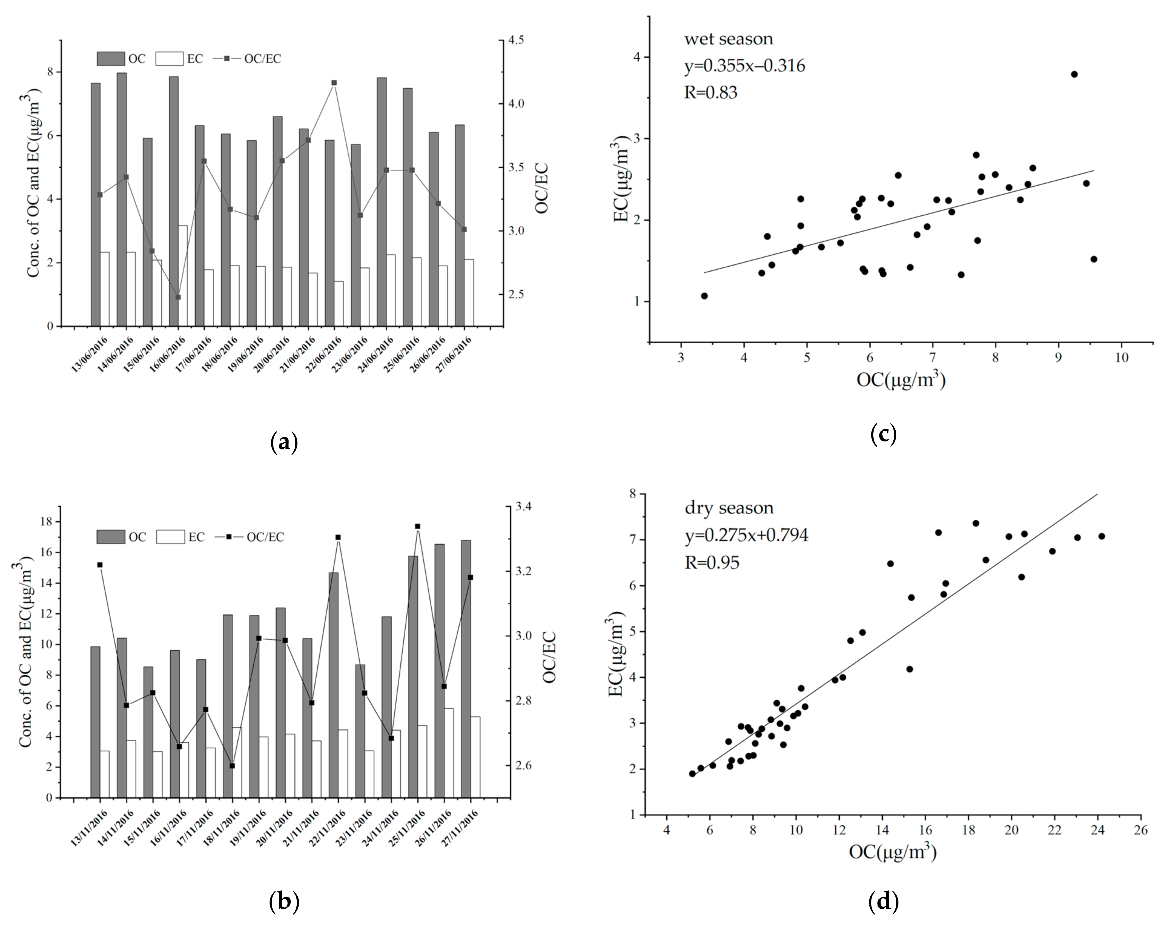
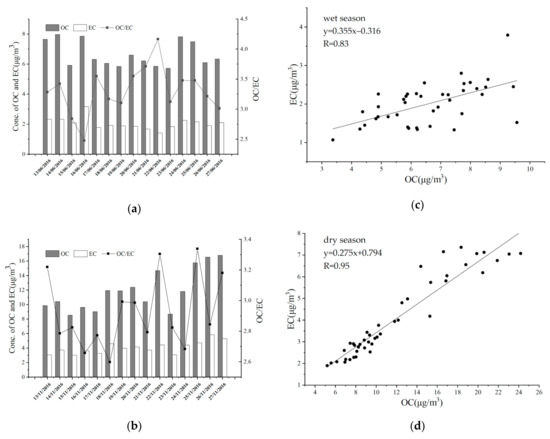
3.2.3. OC and EC Levels
3.3. Source Apportionment of PM2.5
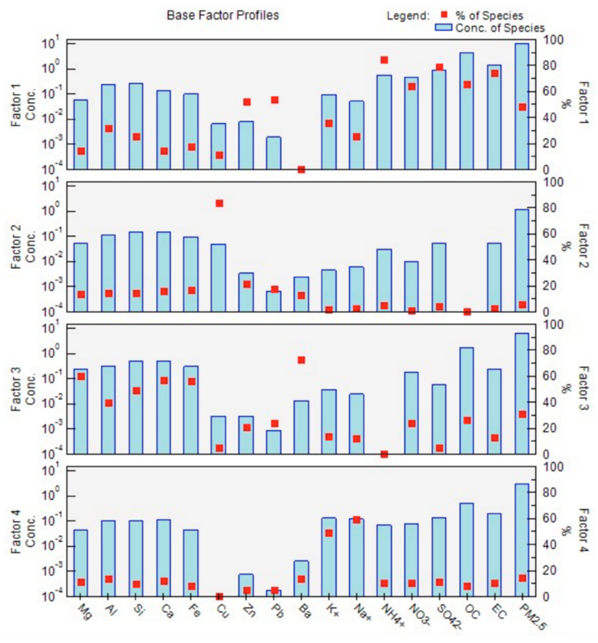
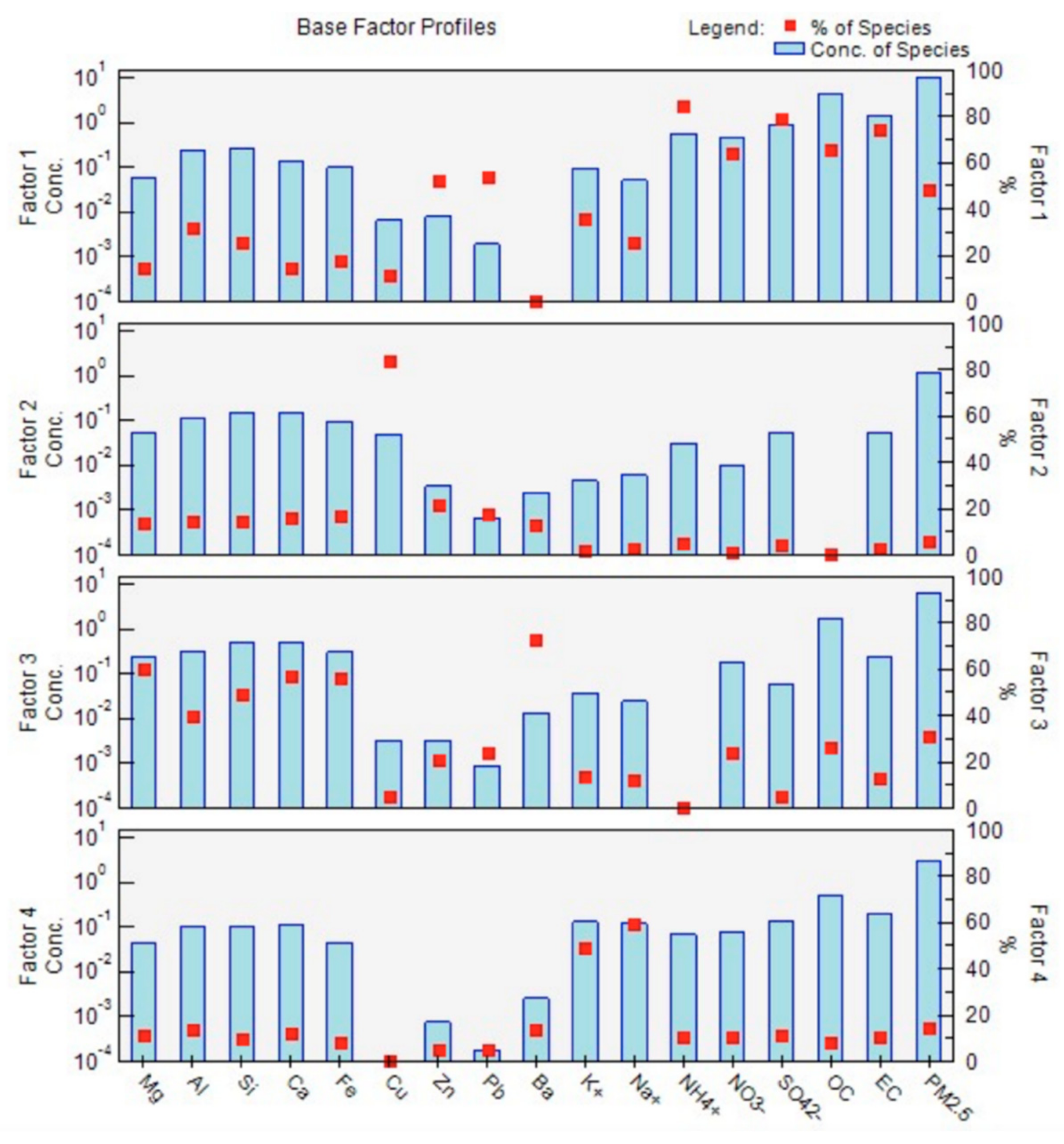
3.3.1. Factor Profiles Results of PMF
3.3.2. Relative Contributions from Sources of PM2.5 in Baoshan
3.3.3. The Long-Range Transport
4. Conclusions
Supplementary Materials
Author Contributions
Funding
Institutional Review Board Statement
Informed Consent Statement
Data Availability Statement
Acknowledgments
Conflicts of Interest
Nomenclature
| PM2.5 | Particulate matter with aerodynamic equivalent diameter less than or equal to 2.5 microns in ambient air | 
| NOx | Refers to the sum of NO and NO2 | 
| WSIIs | Water-soluble inorganic ions | 
| OC | organic carbon | 
| EC | inorganic carbon | 
| IEs | inorganic elements | 
| PMF | Positive definite matrix factorization | 
| UV | Ultraviolet | 
| BSC | Baoshan College | 
| AA | Athlete apartmentns | 
| EMS | Environmental Monitoring Station of Baoshan | 
| ICP-AES | inductively coupled plasma-atomic emission spectrometry | 
| DRI | Desert Institute | 
| FID | lame ion detector | 
| OPC | Organic pyrolysis carbon | 
| IMPROVE | Interagency Monitoring of Protected Visual Environments | 
| SIAs | Secondary inorganic aerosols (including NO3−, SO42− and NH4+) | 
| CE/AE | Cation/Anion concentration ratio | 
| NCEP | National Centers for Environmental Prediction | 
| GDAS | Global Data Assimilation System | 
| QC/QA | Quality control and Quality assurance | 
References
- Zong, Z.; Wang, X.; Tian, C.; Chen, Y.; Qu, L.; Ji, L.; Zhi, G.; Li, J.; Zhang, G. Source apportionment of PM2.5 at a regional background site in North China using PMF linked with radiocarbon analysis: Insight into the contribution of biomass burning. Atmos. Chem. Phys. Discuss. 2016, 16, 11249–11265. [Google Scholar] [CrossRef] [Green Version]
- Li, Y.; Tao, J.; Zhang, L.; Jia, X.; Wu, Y. High Contributions of Secondary Inorganic Aerosols to PM2.5 under Polluted Levels at a Regional Station in Northern China. Int. J. Environ. Res. Public Health 2016, 13, 1202. [Google Scholar] [CrossRef] [PubMed] [Green Version]
- Lu, D.; Xu, J.; Yang, D.; Zhao, J. Spatio-temporal variation and influence factors of PM2.5 concentrations in China from 1998 to 2014. Atmos. Pollut. Res. 2017, 8, 1151–1159. [Google Scholar] [CrossRef]
- Samresh, K.; Ramya, S.R. Inorganic ions in ambient fine particles over a National Park in central India: Seasonality, dependencies between SO42−, NO3− and NH4+, and neutralization of aerosol acidity. Atmos. Environ. 2016, 143, 152–163. [Google Scholar]
- Georgoulias, A.K.; Marinou, E.; Tsekeri, A.; Proestakis, E.; Akritidis, D.; Alexandri, G.; Zanis, P.; Balis, D.; Marenco, F.; Tesche, M.; et al. A First Case Study of CCN Concentrations from Spaceborne Lidar Observations. Remote Sens. 2020, 12, 1557. [Google Scholar] [CrossRef]
- Turap, Y.; Talifu, D.; Wang, X.; Abulizi, A.; Maihemuti, M.; Tursun, Y.; Rekefu, S. Temporal distribution and source appor-tionment of PM2.5 chemical composition in Xinjiang, NW-China. Atmos. Res. 2019, 218, 257–268. [Google Scholar] [CrossRef]
- Qiao, B.; Chen, Y.; Tian, M.; Wang, H.; Yang, F.; Shi, G.; Zhang, L.; Peng, C.; Luo, Q.; Ding, S. Characterization of water soluble inorganic ions and their evolution processes during PM2.5 pollution episodes in a small city in southwest China. Sci. Total Environ. 2019, 650, 2605–2613. [Google Scholar] [CrossRef]
- Tian, S.; Liu, Y.; Wang, J.; Wang, J.; Hou, L.; Lv, B.; Wang, X.; Zhao, X.; Yang, W.; Geng, C.; et al. Chemical Compositions and Source Analysis of PM2.5 during Autumn and Winter in a Heavily Polluted City in China. Atmosphere 2020, 11, 336. [Google Scholar] [CrossRef] [Green Version]
- Guo, W.; Long, C.; Zhang, Z.; Zheng, N.; Xiao, H.; Xiao, H. Seasonal Control of Water-Soluble Inorganic Ions in PM2.5 from Nanning, a Subtropical Monsoon Climate City in Southwestern China. Atmosphere 2019, 11, 5. [Google Scholar] [CrossRef] [Green Version]
- Zhang, J.; Tong, L.; Huang, Z.; Zhang, H.; He, M.; Dai, X.; Zheng, J.; Xiao, H. Seasonal variation and size distributions of water-soluble inorganic ions and carbonaceous aerosols at a coastal site in Ningbo, China. Sci. Total Environ. 2018, 639, 793–803. [Google Scholar] [CrossRef] [PubMed]
- Dong, Z.; Su, F.; Zhang, Z.; Wang, S. Observation of chemical components of PM2.5 and secondary inorganic aerosol formation during haze and sandy haze days in Zhengzhou, China. J. Environ. Sci. 2020, 88, 316–325. [Google Scholar] [CrossRef] [PubMed]
- Golly, B.; Waked, A.; Weber, S.; Samake, A.; Jacob, V.; Conil, S.; Rangognio, J.; Chrétien, E.; Vagnot, M.-P.; Robic, P.-Y.; et al. Organic markers and OC source apportionment for seasonal variations of PM2.5 at 5 rural sites in France. Atmos. Environ. 2019, 198, 142–157. [Google Scholar] [CrossRef]
- Jin, Q.; Fang, X.; Wen, B.; Shan, A. Spatio-temporal variations of PM2.5 emission in China from 2005 to 2014. Chemosphere 2017, 183, 429–436. [Google Scholar] [CrossRef] [PubMed]
- Siudek, P.; Frankowski, M. Atmospheric deposition of trace elements at urban and forest sites in central Poland—Insight into seasonal variability and sources. Atmos. Res. 2017, 198, 123–131. [Google Scholar] [CrossRef]
- Guan, Q.; Liu, Z.; Yang, L.; Luo, H.; Yang, Y.; Zhao, R.; Wang, F. Variation in PM2.5 source over megacities on the ancient Silk Road, northwestern China. J. Clean. Prod. 2019, 208, 897–903. [Google Scholar] [CrossRef]
- Rohra, H.; Pipal, A.S.; Tiwari, R.; Vats, P.; Masih, J.; Khare, P.; Taneja, A. Particle size dynamics and risk implication of atmospheric aerosols in South-Asian subcontinent. Chemosphere 2020, 249, 126140. [Google Scholar] [CrossRef] [PubMed]
- Dai, Q.; Bi, X.; Liu, B.; Li, L.; Ding, J.; Song, W.; Bi, S.; Schulze, B.C.; Song, C.; Wu, J.; et al. Chemical nature of PM2.5 and PM10 in Xi’an, China: Insights into primary emissions and secondary particle formation. Environ. Pollut. 2018, 240, 155–166. [Google Scholar] [CrossRef] [PubMed]
- Wang, S.; Yu, R.; Shen, H.; Wang, S.; Hu, Q.; Cui, J.; Yan, Y.; Huang, H.; Hu, G. Chemical characteristics, sources, and formation mechanisms of PM2.5 before and during the Spring Festival in a coastal city in Southeast China. Environ. Pollut. 2019, 251, 442–452. [Google Scholar] [CrossRef] [PubMed]
- Xie, Y.; Liu, Z.; Wen, T.; Huang, X.; Liu, J.; Tang, G.; Yang, Y.; Li, X.; Shen, R.; Hu, B.; et al. Characteristics of chemical composition and seasonal variations of PM2.5 in Shijiazhuang, China: Impact of primary emissions and secondary formation. Sci. Total Environ. 2019, 677, 215–229. [Google Scholar] [CrossRef]
- Souto-Oliveira, C.; Babinski, M.; Araújo, D.; Weiss, D.; Ruiz, I. Multi-isotope approach of Pb, Cu and Zn in urban aerosols and anthropogenic sources improves tracing of the atmospheric pollutant sources in megacities. Atmos. Environ. 2019, 198, 427–437. [Google Scholar] [CrossRef] [Green Version]
- Li, R.; Hardy, R.; Zhang, W.; Reinbold, G.L.; Strachan, S.M. Chemical Characterization and Source Apportionment of PM2.5 in a Nonattainment Rocky Mountain Valley. J. Environ. Qual. 2018, 47, 238–245. [Google Scholar] [CrossRef] [PubMed] [Green Version]
- Wang, H.; Qiao, L.; Lou, S.; Zhou, M.; Ding, A.; Huang, H.; Chen, J.; Wang, Q.; Tao, S.; Chen, C.; et al. Chemical composition of PM2.5 and meteorological impact among three years in urban Shanghai, China. J. Clean. Prod. 2016, 112, 1302–1311. [Google Scholar] [CrossRef]
- Cao, L.; Zhu, Q.; Huang, X.; Deng, J.; Chen, J.; Hong, Y.; Xu, L.; He, L. Chemical characterization and source apportionment of atmospheric submicron particles on the western coast of Taiwan Strait, China. J. Environ. Sci. 2017, 52, 293–304. [Google Scholar] [CrossRef] [PubMed]
- Zhu, W.; Xu, X.; Zheng, J.; Yan, P.; Wang, Y.; Cai, W. The characteristics of abnormal wintertime pollution events in the Jing-Jin-Ji region and its relationships with meteorological factors. Sci. Total Environ. 2018, 626, 887–898. [Google Scholar] [CrossRef] [PubMed]
- Li, J.; Bi, L.; Han, X.; Shi, J.; Yang, J.; Shi, Z.; Ning, P. Characteristics and source apportionment of the water soluble inorganic ions in PM2.5 of Kunming. J. Yunnan Univ. 2017, 39, 63–70. (In Chinese) [Google Scholar]
- Bi, L.; Hao, J.; Ning, P.; Shi, J.; Shi, Z.; Xu, X. Characteristics and sources apportionment of PM2.5-bound PAHs in Kunming. China Environ. Sci. 2015, 35, 659–667. (In Chinese) [Google Scholar]
- Wang, C.-H.; Yan, K.; Han, X.-Y.; Shi, Z.; Bi, L.-M.; Xiang, F.; Ning, P.; Shi, J.-W. Physico-chemical Characteristic Analysis of PM2.5 in the Highway Tunnel in the Plateau City of Kunming. Environ. Sci. 2017, 38, 4968–4975. (In Chinese) [Google Scholar]
- Han, L.; Huang, J.; Han, X.; Yang, J.; Shi, J.; Zhang, C.; Ning, P. Characteristics and Sources of Heavy Metals in Atmospheric PM2.5 Research during the Dry Season in Kunming. J. Kunming Univ. Sci. Technol. Nat. Sci. 2019, 44, 99–110. (In Chinese) [Google Scholar]
- Sun, Z.-R.; Ji, Z.-Y.; Han, X.-Y.; Shi, J.-W.; Zhang, J.; Zhang, C.-N.; Ning, P. Spatial and temporal characteristics of atmospheric VOCs and other pollutants concentrations in urban air of Yuxi City. J. Yunnan Univ. 2018, 40, 705–715. (In Chinese) [Google Scholar]
- Shi, Z.; Bi, L.; Shi, J.; Xiang, F.; Qian, L.; Ning, P. Characterization and Source Identification of PM2.5 in Ambient Air of Kunming in Windy Spring. Environ. Sci. Technol. 2014, 37, 143–147. (In Chinese) [Google Scholar]
- Paatero, P.; Hopke, P.K. Rotational tools for factor analytic models. J. Chemom. 2009, 23, 91–100. [Google Scholar] [CrossRef]
- Paatero, P.; Eberly, S.; Brown, S.G.; Norris, G.A. Methods for estimating uncertainty in factor analytic solutions. Atmos. Meas. Tech. 2014, 7, 781–797. [Google Scholar] [CrossRef] [Green Version]
- Paatero, P.; Tapper, U. Positive matrix factorization: A non-negative factor model with optimal utilization of error estimates of data values. Environmetrics 1994, 5, 111–126. [Google Scholar] [CrossRef]
- Paatero, P. Least squares formulation of robust non-negative factor analysis. Chemom. Intell. Lab. Syst. 1997, 37, 23–35. [Google Scholar] [CrossRef]
- Nicolás, J.; Chiari, M.; Crespo, J.; Orellana, I.G.; Lucarelli, F.; Nava, S.; Pastor, C.; Yubero, E. Quantification of Saharan and local dust impact in an arid Mediterranean area by the positive matrix factorization (PMF) technique. Atmos. Environ. 2008, 42, 8872–8882. [Google Scholar] [CrossRef]
- Liao, H.-T.; Chou, C.C.-K.; Chow, J.C.; Watson, J.; Hopke, P.; Wu, C.-F. Source and risk apportionment of selected VOCs and PM2.5 species using partially constrained receptor models with multiple time resolution data. Environ. Pollut. 2015, 205, 121–130. [Google Scholar] [CrossRef] [PubMed]
- Escrig, A.; Monfort, E.; Celades, I.; Querol, X.; Amato, F.; Minguillón, M.C.; Hopke, P.K. Application of Optimally Scaled Target Factor Analysis for Assessing Source Contribution of Ambient PM10. J. Air Waste Manag. Assoc. 2009, 59, 1296–1307. [Google Scholar] [CrossRef] [PubMed]
- Zhao, P.S.; Dong, F.; He, D.; Zhao, X.J.; Zhang, X.L.; Zhang, W.Z.; Yao, Q.; Liu, H.Y. Characteristics of concentrations and chemical compositions for PM2.5 in the region of Beijing, Tianjin, and Hebei, China. Atmos. Chem. Phys. Discuss. 2013, 13, 4631–4644. [Google Scholar] [CrossRef] [Green Version]
- Liu, N.; Feng, X.; Matthew, L.; Chen, Z.; Qiu, G. Pollution Characteristics of PM2.5 in Guiyang and Its Influence on Meteorological Parameters. Earth Environ. 2014, 42, 311–315. (In Chinese) [Google Scholar]
- Shi, J.; Feng, Y.; Ren, L.; Lu, X.; Zhong, Y.; Han, X.; Ning, P. Mass Concentration, Chemical Composition, and Source Characteristics of PM2.5 in a Plateau Slope City in Southwest China. Atmosphere 2021, 12, 611. [Google Scholar] [CrossRef]
- Ac, A.; Rps, B. Decline in PM2.5 concentrations over major cities around the world associated with COVID-19. Environ. Res. 2020, 187, 109634. [Google Scholar]
- Cheng, C.; Shi, M.; Liu, W.; Mao, Y.; Hu, J.; Tian, Q.; Chen, Z.; Hu, T.; Xing, X.; Qi, S. Characteristics and source apportionment of water-soluble inorganic ions in PM2.5 during a wintertime haze event in Huanggang, central China. Atmos. Pollut. Res. 2021, 12, 111–123. [Google Scholar] [CrossRef]
- Sharma, S.; Mandal, T. Chemical composition of fine mode particulate matter (PM2.5) in an urban area of Delhi, India and its source apportionment. Urban Clim. 2017, 21, 106–122. [Google Scholar] [CrossRef]
- Li, W.; Wang, X.; Zhang, Y. Influence of PRD Industrial Emission Variation on Concentrations of SO2, NOx and their Secondary Pollutants. Res. Environ. Sci. 2009, 22, 207–214. (In Chinese) [Google Scholar]
- Wang, H.; An, J.; Cheng, M.; Shen, L.; Zhu, B.; Li, Y.; Wang, Y.; Duan, Q.; Sullivan, A.; Xia, L. One year online measurements of water-soluble ions at the industrially polluted town of Nanjing, China: Sources, seasonal and diurnal variations. Chemosphere 2016, 148, 526–536. [Google Scholar] [CrossRef]
- Wang, Y.; Zhuang, G.; Zhang, X.; Huang, K.; Xu, C.; Tang, A.; Chen, J.; An, Z. The ion chemistry, seasonal cycle, and sources of PM2.5 and TSP aerosol in Shanghai. Atmos. Environ. 2006, 40, 2935–2952. [Google Scholar] [CrossRef]
- He, Q.; Yan, Y.; Guo, L.; Zhang, Y.; Zhang, G.; Wang, X. Characterization and source analysis of water-soluble inorganic ionic species in PM2.5 in Taiyuan city, China. Atmos. Res. 2017, 184, 48–55. [Google Scholar] [CrossRef]
- Rengarajan, R.; Sudheer, A.; Sarin, M. Wintertime PM2.5 and PM10 carbonaceous and inorganic constituents from urban site in western India. Atmos. Res. 2011, 102, 420–431. [Google Scholar] [CrossRef]
- Mostafa, A.N.; Zakey, A.S.; Alfaro, S.C.; Wheida, A.A.; Monem, S.A.; Wahab, M.M.A. Validation of RegCM-CHEM4 model by comparison with surface measurements in the Greater Cairo (Egypt) megacity. Environ. Sci. Pollut. Res. Int. 2019, 26, 23524–23541. [Google Scholar] [CrossRef] [PubMed]
- Qiu, T.; Zhou, J.; Xiao, J.; Guo, H.; Yu, W. Characteristics and sources apportionment of water-soluble ions in PM2.5 in autumn and winter of Wuhan. Environ. Pollut. Control 2015, 37, 17–20. (In Chinese) [Google Scholar]
- Sun, Y.; Zhuang, G.; Wang, Y.; Han, L.; Guo, J.; Dan, M.; Zhang, W.; Wang, Z.; Hao, Z. The air-borne particulate pollution in Beijing—Concentration, composition, distribution and sources. Atmos. Environ. 2004, 38, 5991–6004. [Google Scholar] [CrossRef]
- Zhang, T.; Cao, J.; Tie, X.; Shen, Z.; Liu, S.; Ding, H.; Han, Y.; Wang, G.; Ho, K.F.; Qiang, J.; et al. Water-soluble ions in atmospheric aerosols measured in Xi’an, China: Seasonal variations and sources. Atmos. Res. 2011, 102, 110–119. [Google Scholar] [CrossRef]
- Wang, P.; Cao, J.-J.; Shen, Z.-X.; Han, Y.-M.; Lee, S.-C.; Huang, Y.; Zhu, C.-S.; Wang, Q.-Y.; Xu, H.-M.; Huang, R.-J. Spatial and seasonal variations of PM2.5 mass and species during 2010 in Xi’an, China. Sci. Total Environ. 2015, 508, 477–487. [Google Scholar] [CrossRef]
- Zhou, M.; Qiao, L.; Zhu, S.; Li, L.; Lou, S.; Wang, H.; Wang, Q.; Tao, S.; Huang, C.; Chen, C. Chemical characteristics of fine particles and their impact on visibility impairment in Shanghai based on a 1-year period observation. J. Environ. Sci. 2016, 48, 151–160. [Google Scholar] [CrossRef]
- Hu, M.; He, L.-Y.; Zhang, Y.-H.; Wang, M.; Kim, Y.P.; Moon, K. Seasonal variation of ionic species in fine particles at Qingdao, China. Atmos. Environ. 2002, 36, 5853–5859. [Google Scholar] [CrossRef]
- Fang, G.-C.; Chang, C.-N.; Wu, Y.-S.; Fu, P.P.-C.; Yang, C.-J.; Chen, C.-D.; Chang, S.-C. Ambient suspended particulate matters and related chemical species study in central Taiwan, Taichung during 1998–2001. Atmos. Environ. 2002, 36, 1921–1928. [Google Scholar] [CrossRef]
- Bhuyan, P.; Deka, P.; Prakash, A.; Balachandran, S.; Hoque, R.R. Chemical characterization and source apportionment of aerosol over mid Brahmaputra Valley, India. Environ. Pollut. 2018, 234, 997–1010. [Google Scholar] [CrossRef]
- Meng, C.; Wang, L.; Zhang, F.; Wei, Z.; Ma, S.; Ma, X.; Yang, J. Characteristics of concentrations and water-soluble inorganic ions in PM2.5 in Handan City, Hebei province, China. Atmos. Res. 2016, 171, 133–146. [Google Scholar] [CrossRef]
- Yang, Y.; Zhou, R.; Yu, Y.; Yan, Y.; Liu, Y.; Di, Y.; Wu, D.; Zhang, W. Size-resolved aerosol water-soluble ions at a regional background station of Beijing, Tianjin, and Hebei, North China. J. Environ. Sci. 2017, 55, 146–156. [Google Scholar] [CrossRef]
- Huang, L.; Wang, G. Chemical characteristics and source apportionment of atmospheric particles during heating period in Harbin, China. J. Environ. Sci. 2014, 26, 2475–2483. [Google Scholar] [CrossRef] [PubMed]
- Lv, S.; Shao, L.; Wu, M. Characteristics of Chemical Elements in Beijing PM10 and Their Source Apportionment. J. China Univ. Min. Technol. 2006, 35, 685–688. (In Chinese) [Google Scholar]
- Pakkanen, T.A.; Loukkola, K.; Korhonen, C.H.; Aurela, M.; Mäkelä, T.; Hillamo, R.E.; Aarnio, P.; Koskentalo, T.; Kousa, A.; Maenhaut, W. Sources and chemical composition of atmospheric fine and coarse particles in the Helsinki area. Atmos. Environ. 2001, 35, 5381–5391. [Google Scholar] [CrossRef]
- Chu, S.-H. Stable estimate of primary OC/EC ratios in the EC tracer method. Atmos. Environ. 2005, 39, 1383–1392. [Google Scholar] [CrossRef]
- Wang, T.; Nie, W.; Gao, J.; Xue, L.K.; Gao, X.M.; Wang, X.F.; Qiu, J.; Poon, C.N.; Meinardi, S.; Blake, D.; et al. Air quality during the 2008 Beijing Olympics: Secondary pollutants and regional impact. Atmos. Chem. Phys. Discuss. 2010, 10, 7603–7615. [Google Scholar] [CrossRef] [Green Version]
- Rotivit, L.; Jacobsen, D. Temperature increase and respiratory performance of macroinvertebrates with different tolerances to organic pollution. Limnologica 2013, 43, 510–515. [Google Scholar] [CrossRef]
- Cheng, S.-Y.; Liu, C.; Han, L.-H.; Li, Y.; Wang, Z.; Tian, C. Characteristics and Source Apportionment of Organic Carbon and Elemental Carbon in PM2.5 During the Heating Season in Beijing. J. Beijing Univ. Technol. 2014, 40, 586–591. (In Chinese) [Google Scholar]
- Tan, J.; Duan, J.; He, K.; Ma, Y.; Duan, F.; Chen, Y.; Fu, J. Chemical characteristics of PM2.5 during a typical haze episode in Guangzhou. J. Environ. Sci. 2009, 21, 774–781. [Google Scholar] [CrossRef]
- Zhang, C.; Lu, X.; Zhai, J.; Chen, H.; Yang, X.; Zhang, Q.; Zhao, Q.; Fu, Q.; Sha, F.; Jin, J. Insights into the formation of secondary organic carbon in the summertime in urban Shanghai. J. Environ. Sci. 2018, 72, 118–132. [Google Scholar] [CrossRef]
- Zhang, Q.; Sarkar, S.; Wang, X.; Zhang, J.; Mao, J.; Yang, L.; Shi, Y.; Jia, S. Evaluation of factors influencing secondary organic carbon (SOC) estimation by CO and EC tracer methods. Sci. Total Environ. 2019, 686, 915–930. [Google Scholar] [CrossRef]
- Chueinta, W.; Hopke, P.; Paatero, P. Investigation of sources of atmospheric aerosol at urban and suburban residential areas in Thailand by positive matrix factorization. Atmos. Environ. 2000, 34, 3319–3329. [Google Scholar] [CrossRef]
- Baumann, K.; Jayanty, R.; Flanagan, J.B. Fine Particulate Matter Source Apportionment for the Chemical Speciation Trends Network Site at Birmingham, Alabama, Using Positive Matrix Factorization. J. Air Waste Manag. Assoc. 2008, 58, 27–44. [Google Scholar] [CrossRef] [Green Version]
- Saraga, D.E.; Tolis, E.I.; Maggos, T.; Vasilakos, C.; Bartzis, J.G. PM2.5 source apportionment for the port city of Thessaloniki, Greece. Sci. Total Environ. 2019, 650, 2337–2354. [Google Scholar] [CrossRef] [PubMed]
- Marcazzan, G.M.; Vaccaro, S.; Valli, G.; Vecchi, R. Characterisation of PM10 and PM2.5 particulate matter in the ambient air of Milan (Italy). Atmos. Environ. 2001, 35, 4639–4650. [Google Scholar] [CrossRef]
- Pacyna, J.M.; Pacyna, E.G. An assessment of global and regional emissions of trace metals to the atmosphere from anthropogenic sources worldwide. Environ. Rev. 2001, 9, 269–298. [Google Scholar] [CrossRef]
- Manousakas, M.; Diapouli, E.; Papaefthymiou, H.; Migliori, A.; Karydas, A.; Padilla-Alvarez, R.; Bogovac, M.; Kaiser, R.; Jaksic, M.; Bogdanovic-Radovic, I.; et al. Source apportionment by PMF on elemental concentrations obtained by PIXE analysis of PM10 samples collected at the vicinity of lignite power plants and mines in Megalopolis, Greece. Nucl. Instrum. Methods Phys. Res. Sect. B Beam Interact. Mater. Atoms 2015, 349, 114–124. [Google Scholar] [CrossRef]
- Kim, E.; Larson, T.V.; Hopke, P.K.; Slaughter, C.; Sheppard, L.E.; Claiborn, C. Source identification of PM2.5 in an arid Northwest U.S. City by positive matrix factorization. Atmos. Res. 2003, 66, 291–305. [Google Scholar] [CrossRef]
- Shridhar, V.; Khillare, P.S.; Agarwal, T.; Ray, S. Metallic species in ambient particulate matter at rural and urban location of Delhi. J. Hazard. Mater. 2010, 175, 600–607. [Google Scholar] [CrossRef] [PubMed]
- Ivošević, T.; Stelcer, E.; Orlić, I.; Radović, I.B.; Cohen, D. Characterization and source apportionment of fine particulate sources at Rijeka, Croatia from 2013 to 2015. Nucl. Instrum. Methods Phys. Res. Sect. B Beam Interact. Mater. Atoms 2016, 371, 376–380. [Google Scholar] [CrossRef]
- Pey, J.; Pérez, N.; Cortés, J.; Alastuey, A.; Querol, X. Chemical fingerprint and impact of shipping emissions over a western Mediterranean metropolis: Primary and aged contributions. Sci. Total Environ. 2013, 463–464, 497–507. [Google Scholar] [CrossRef] [PubMed]
- Tipayarom, D.; Thi, N.; Oanh, K. Effects from Open Rice Straw Burning Emission on Air Quality in the Bangkok Metropolitan Region. Sci. Asia 2007, 33, 339–345. [Google Scholar] [CrossRef]
- Aung, T.S.; Shengji, L.; Condon, S. Evaluation of the environmental impact assessment (EIA) of Chinese EIA in Myanmar: Myitsone Dam, the Lappadaung Copper Mine and the Sino-Myanmar oil and gas pipelines. Impact Assess. Proj. Apprais. 2019, 37, 71–85. [Google Scholar] [CrossRef]










| Components | Wet Season | Dry Season | Average | 
|---|---|---|---|
| PM2.5 | 12.63 ± 4.75 | 34.45 ± 6.27 | 23.54 ± 5.51 | 
| Na | 0.12 ± 0.10 | 0.16 ± 0.09 | 0.14 ± 0.10 | 
| Mg | 0.45 ± 0.29 | 0.31 ± 0.16 | 0.47 ± 0.23 | 
| Al | 0.87 ± 0.43 | 0.60 ± 0.51 | 0.74 ± 0.47 | 
| Si | 1.06 ± 0.42 | 1.44 ± 0.97 | 1.25 ± 0.70 | 
| P | 0.01 ± 0.01 | 0.03 ± 0.02 | 0.02 ± 0.02 | 
| K | 0.17 ± 0.16 | 0.55 ± 0.34 | 0.36 ± 0.25 | 
| Ca | 0.93 ± 0.74 | 1.00 ± 0.82 | 0.97 ± 0.78 | 
| Ti | 0.62 ± 0.45 | 0.92 ± 0.67 | 0.77 ± 0.56 | 
| Fe | 0.56 ± 0.46 | 0.63 ± 0.82 | 0.60 ± 0.64 | 
| Cu | 0.06 ± 0.15 | 0.01 ± 0.02 | 0.04 ± 0.09 | 
| Zn | 0.03 ± 0.03 | 0.04 ± 0.03 | 0.04 ± 0.04 | 
| Sb | 0.08 ± 0.07 | 0.09 ± 0.11 | 0.09 ± 0.09 | 
| Ba | 0.02 ± 0.03 | 0.01 ± 0.01 | 0.02 ± 0.02 | 
| Pb | 0.01 ± 0.01 | 0.04 ± 0.07 | 0.03 ± 0.04 | 
| Na+ | 0.20 ± 0.23 | 0.45 ± 0.21 | 0.33 ± 0.22 | 
| K+ | 0.26 ± 0.24 | 0.57 ± 0.23 | 0.42 ± 0.24 | 
| Ca2+ | 1.32 ± 0.36 | 1.02 ± 0.27 | 1.17 ± 0.32 | 
| Mg2+ | 0.12 ± 0.03 | 0.13 ± 0.04 | 0.13 ± 0.04 | 
| NH4+ | 0.70 ± 0.29 | 1.20 ± 0.51 | 0.95 ± 0.40 | 
| Cl− | 0.17 ± 0.19 | 0.51 ± 0.52 | 0.34 ± 0.36 | 
| F− | 0.12 ± 0.10 | 0.11 ± 0.06 | 0.12 ± 0.08 | 
| SO42− | 1.27 ± 0.57 | 1.57 ± 0.77 | 1.42 ± 0.67 | 
| NO3− | 0.75 ± 0.10 | 0.72 ± 0.43 | 0.74 ± 0.27 | 
| OC | 6.58 ± 1.42 | 11.88 ± 5.14 | 9.23 ± 3.28 | 
| EC | 2.01 ± 1.50 | 4.06 ± 1.80 | 3.03 ± 1.50 | 
| Cities | Year | Season | PM2.5 | Na+ | K+ | Ca2+ | Mg2+ | NH4+ | Cl− | F− | SO42− | NO3− | Ref. | 
|---|---|---|---|---|---|---|---|---|---|---|---|---|---|
| Baoshan | 2016 | wet and dry season | 23.17 ± 12.32 | 0.33 ± 0.25 | 0.42 ± 0.28 | 1.17 ± 0.35 | 0.13 ± 0.04 | 0.95 ± 0.48 | 0.34 ± 0.23 | 0.19 ± 0.07 | 1.42 ± 0.69 | 0.73 ± 0.31 | this study | 
| Kunming | 2013 | spring | - | - | 0.77 | 2.83 | 0.30 | 0.52 | 0.72 | 0.54 | 9.72 | 0.51 | [30] | 
| Wenshan | 2014 | spring, autumn | 44.85 ± 10.99 | - | 0.63 ± 0.24 | 1.04 ± 0.50 | 0.07 ± 0.02 | 2.81 ± 1.16 | 0.31 ± 0.19 | 0.19 ± 0.07 | 1.42 ± 0.69 | 0.73 ± 0.31 | [39] | 
| Huanggang | 2018 | winter | 110.40 ± 45.9 | 1.10 ± 0.50 | 0.20 ± 0.10 | 0.60 ± 0.30 | 0.90 ± 0.30 | 13.0 ± 6.90 | 2.70 ± 1.20 | 0.04 ± 0.02 | 15.0 ± 7.30 | 30.8 ± 15.7 | [41] | 
| Delhi | 2013 | four seasons | 125.50 ± 77.20 | 4.51 ± 1.62 | 4.94 ± 1.92 | - | - | 10.86 ± 8.37 | 7.30 ± 4.82 | 1.05 ± 0.57 | 13.06 ± 5.95 | 10.77 ± 8.17 | [42] | 
| Wet Season | Dry Season | ||||
|---|---|---|---|---|---|
| Cluster of Trajectories | Frequency of Occurrence | PM2.5 (μg/m3) | Cluster of Trajectories | Frequency of Occurrence | PM2.5 (μg/m3) | 
| 1 | 45.00% | 8.65 | 1 | 38.61% | 13.55 | 
| 2 | 18.33% | 8.23 | 2 | 2.50% | 12.33 | 
| 3 | 36.67% | 7.00 | 3 | 58.89% | 12.77 | 
| Publisher’s Note: MDPI stays neutral with regard to jurisdictional claims in published maps and institutional affiliations. | 
© 2021 by the authors. Licensee MDPI, Basel, Switzerland. This article is an open access article distributed under the terms and conditions of the Creative Commons Attribution (CC BY) license (https://creativecommons.org/licenses/by/4.0/).
Share and Cite
Shi, J.; Zhao, C.; Wang, Z.; Pang, X.; Zhong, Y.; Han, X.; Ning, P. Chemical Composition and Source Apportionment of PM2.5 in a Border City in Southwest China. Atmosphere 2022, 13, 7. https://doi.org/10.3390/atmos13010007
Shi J, Zhao C, Wang Z, Pang X, Zhong Y, Han X, Ning P. Chemical Composition and Source Apportionment of PM2.5 in a Border City in Southwest China. Atmosphere. 2022; 13(1):7. https://doi.org/10.3390/atmos13010007
Chicago/Turabian StyleShi, Jianwu, Chenyang Zhao, Zhijun Wang, Xiaochen Pang, Yaoqian Zhong, Xinyu Han, and Ping Ning. 2022. "Chemical Composition and Source Apportionment of PM2.5 in a Border City in Southwest China" Atmosphere 13, no. 1: 7. https://doi.org/10.3390/atmos13010007
APA StyleShi, J., Zhao, C., Wang, Z., Pang, X., Zhong, Y., Han, X., & Ning, P. (2022). Chemical Composition and Source Apportionment of PM2.5 in a Border City in Southwest China. Atmosphere, 13(1), 7. https://doi.org/10.3390/atmos13010007
 
         
                                                
 
       