Effects of Air Pollutants on Summer Precipitation in Different Regions of Beijing
Abstract
:1. Introduction
2. Materials and Methods
2.1. Observation Data
2.1.1. Precipitation Data
2.1.2. Aerosol Optical Depth (AOD)
2.2. Numerical Simulations
2.2.1. Case Introduction
2.2.2. Simulation Design
3. Results
3.1. Observation Results
3.1.1. Changes of PCR and AOD
3.1.2. Changes of PCR for Different Rainfall Intensities
3.2. Simulation
3.2.1. Verification of the Simulation Results
3.2.2. Effects of Air Pollution on Rainfall Intensity
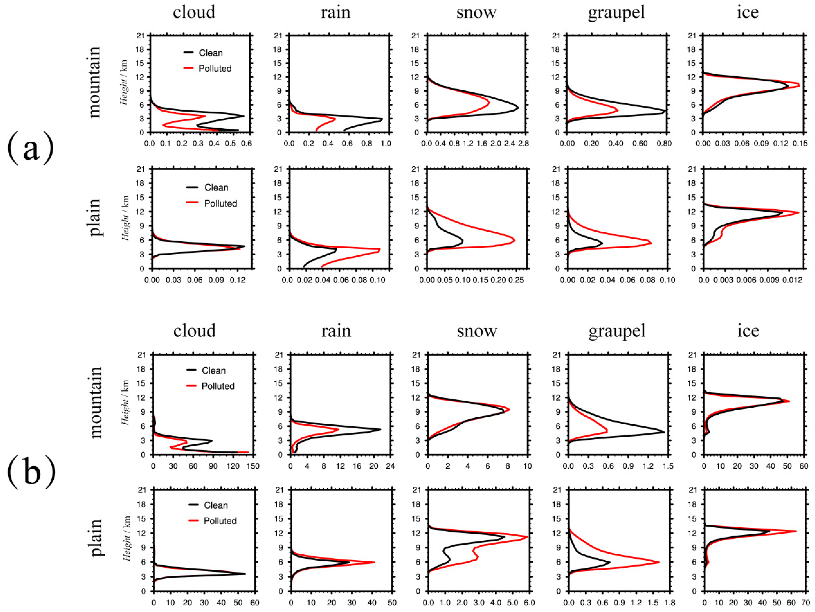
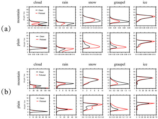
3.2.3. Changes of Aerosol and Cloud Microphysical
4. Conclusions
Author Contributions
Funding
Institutional Review Board Statement
Informed Consent Statement
Data Availability Statement
Acknowledgments
Conflicts of Interest
References
- Sharma, S.; Kumari, N. Modeling the Impact of Rain on Population Exposed to Air Pollution. Int. J. Nonlinear Sci. Numer. Simul. 2020, 21, 363–370. [Google Scholar] [CrossRef] [Green Version]
- Oduber, F.; Calvo, A.I.; Blanco-Alegre, C.; Castro, A.; Alves, C.; Cerqueira, M.; Lucarelli, F.; Nava, S.; Calzolai, G.; Martin-Villacorta, J.; et al. Towards a Model for Aerosol Removal by Rain Scavenging: The Role of Physical-Chemical Characteristics of Raindrops. Water Res. 2021, 190, 116758. [Google Scholar] [CrossRef]
- Elperin, T.; Fominykh, A.; Krasovitov, B.; Vikhansky, A. Effect of Rain Scavenging on Altitudinal Distribution of Soluble Gaseous Pollutants in the Atmosphere. Atmos. Environ. 2011, 45, 2427–2433. [Google Scholar] [CrossRef] [Green Version]
- Zhou, Y.; Yue, Y.; Bai, Y.; Zhang, L. Effects of Rainfall on PM2.5 and PM10 in the Middle Reaches of the Yangtze River. Adv. Meteorol. 2020, 2020, 2398146. [Google Scholar] [CrossRef]
- Shin, J.; Gil, K. Effect of Rainfall Characteristics on Removal Efficiency Evaluation in Vegetative Filter Strips. Environ. Earth Sci. 2014, 72, 601–607. [Google Scholar] [CrossRef]
- Twomey, S. Pollution and the Planetary Albedo. Atmos. Environ. 2007, 41, 120–125. [Google Scholar] [CrossRef]
- Altaratz, O.; Koren, I.; Remer, L.A.; Hirsch, E. Review: Cloud invigoration by aerosols—Coupling between microphysics and dynamics. Atmos. Res. 2014, 140–141, 38–60. [Google Scholar] [CrossRef]
- Ramanathan, V.; Crutzen, P.J.; Kiehl, J.T.; Rosenfeld, D. Aerosols, Climate, and the Hydrological Cycle. Science 2001, 294, 2119–2124. [Google Scholar] [CrossRef] [Green Version]
- Penner, J.E.; Dong, X.; Chen, Y. Observational Evidence of a Change in Radiative Forcing Due to the Indirect Aerosol Effect. Nat. Cell Biol. 2004, 427, 231–234. [Google Scholar] [CrossRef]
- Albrecht, B.A. Aerosols, Cloud Microphysics, and Fractional Cloudiness. Science 1989, 245, 1227–1230. [Google Scholar] [CrossRef]
- Brenguier, J.L.; Pawlowska, H.; Schuller, L.; Preusker, R.; Fouquart, Y. Radiative Properties of Boundary Layer Clouds: Drop-Let Effective Radius Versus Number Concentration. J. Atmos. Sci. 2000, 57, 803–821. [Google Scholar] [CrossRef] [Green Version]
- Yunfei, C.; Jing, Z.; Chungang, F.; Xu, Z.; Wenhao, X.; Hu, X.; Duan, J.; Li, W.; Gao, Y.; Lu, G.; et al. Aerosol and Cloud Properties over a Coastal Area from Aircraft Observations in Zhejiang, China. Atmos. Environ. 2021, 267, 118771. [Google Scholar]
- Chen, Y.C.; Wang, S.H.; Min, Q.; Lu, S.; Joseph, E. Aerosol Impacts on Warm-Cloud Microphysics and Drizzle in a Moderate-Ly Polluted Environment. Atmos. Chem. Phys. 2021, 21, 4487–4502. [Google Scholar] [CrossRef]
- Fan, J.; Leung, L.R.; Rosenfeld, D.; Chen, Q.; Li, Z.; Zhang, J.; Yan, H. Microphysical Effects Determine Macrophysical Response for Aerosol Impacts on Deep Convective clouds. Proc. Natl. Acad. Sci. USA 2013, 110, E4581–E4590. [Google Scholar] [CrossRef] [Green Version]
- Li, Z.; Niu, F.; Fan, J.; Liu, Y.; Rosenfeld, D.; Ding, Y. Long-Term Impacts of Aerosols on the Vertical Development of Clouds Andprecipitation. Nat. GeoScience 2011, 4, 888–894. [Google Scholar] [CrossRef]
- Fan, J.; Rosenfeld, D.; Zhang, Y.; Giangrande, S.E.; Li, Z.; Machado, L.A.T.; Martin, S.T.; Yang, Y.; Wang, J.; de Souza, R.A.F.; et al. Substantial Convection and Precipitation Enhancements by Ultrafine Aerosol Particles. Science 2018, 359, 411–418. [Google Scholar] [CrossRef] [Green Version]
- Fan, J.; Rosenfeld, D.; Yang, Y.; Zhao, C.; Leung, L.R.; Li, Z. Substantial Contribution of Anthropogenic Air Pollution to Catastrophic Floods in Southwest China. Geophys. Res. Lett. 2015, 42, 6066–6075. [Google Scholar] [CrossRef]
- Yang, Y.; Fan, J.; Leung, L.R.; Zhao, C.; Li, Z.; Rosenfeld, D. Mechanisms Contributing to Suppressed Precipitation in Mt. Hua of Central China. Part I: Mountain Valley Circulation. J. Atmos. Sci. 2016, 73, 1351–1366. [Google Scholar] [CrossRef]
- Khain, A.; Rosenfeld, D.; Pokrovsky, A. Aerosol Impact on the Dynamics and Microphysics of Deep Convective Clouds. Q. J. R. Meteorol. Soc. 2005, 131, 2639–2663. [Google Scholar] [CrossRef] [Green Version]
- Lin, J.C.; Matsui, T.; Pielke, R.A.; Kummerow, C. Effects of Biomass-Burning-Derived Aerosols on Precipitation and Clouds in the Amazon Basin: A Satellite-Based Empirical Study. J. Geophys. Res. Space Phys. 2006, 111, 19204. [Google Scholar] [CrossRef] [Green Version]
- Kawecki, S.; Henebry, G.M.; Steiner, A.L. Effects of Urban Plume Aerosols on a Mesoscale Convective System. J. Atmos. Sci. 2016, 73, 4641–4660. [Google Scholar] [CrossRef]
- Lin, Y.; Fan, J.; Jeong, J.-H.; Zhang, Y.; Homeyer, C.R.; Wang, J. Urbanization-Induced Land and Aerosol Impacts on Storm Propagation and Hail Characteristics. J. Atmos. Sci. 2021, 78, 925–947. [Google Scholar] [CrossRef]
- Zhou, S.; Yang, J.; Wang, W.-C.; Zhao, C.; Gong, D.; Shi, P. An Observational Study of the Effects of Aerosols on Diurnal Variation of Heavy Rainfall and Associated Clouds over Beijing–Tianjin–Hebei. Atmos. Chem. Phys. Discuss. 2020, 20, 5211–5229. [Google Scholar] [CrossRef]
- Guo, C.; Xiao, H.; Yang, H.; Wen, W. Effects of Anthropogenic Aerosols on a Heavy Rainstorm in Beijing. Atmosphere 2019, 10, 162. [Google Scholar] [CrossRef] [Green Version]
- Yu, R.; Zhou, T.; Xiong, A.; Zhu, Y.; Li, J. Diurnal Variations of Summer Precipitation over Contiguous China. Geophys. Res. Lett. 2007, 34, 223–234. [Google Scholar] [CrossRef] [Green Version]
- Chang, H.; Zhao, Y.; Wang, Q.; Wang, J.; Li, H.; Zhai, J.; Han, J.; Jiang, S. Available Water Supplies in Beijing, China, Under Single- and Multi-Year Drought. JAWRA J. Am. Water Resour. Assoc. 2020, 56, 230–246. [Google Scholar] [CrossRef]
- Jena, C.; Ghude, S.D.; Kumar, R.; Debnath, S.; Govardhan, G.; Soni, V.K.; Kulkarni, S.H.; Beig, G.; Nanjundiah, R.S.; Rajeevan, M. Performance of High Resolution (400 M) PM2.5 Forecast over Delhi. Sci. Rep. 2021, 11, 4104. [Google Scholar] [CrossRef] [PubMed]
- Zhang, Y.; Shindell, D.; Seltzer, K.; Shen, L.; Lamarque, J.-F.; Zheng, B.; Xing, J.; Jiang, Z.; Zhang, L. Impacts of Emission Changes in China from 2010 to 2017 on Domestic and Intercontinental Air Quality and Health Effect. Atmos. Chem. Phys. Discuss. 2021, 21, 16051–16065. [Google Scholar] [CrossRef]
- Hung, W.-T.; Lu, C.-H.S.; Alessandrini, S.; Kumar, R.; Lin, C.-A. Estimation of PM2.5 Concentrations in New York State: Understanding the Influence of Vertical Mixing on Surface PM2.5 Using Machine Learning. Atmosphere 2020, 11, 1303. [Google Scholar] [CrossRef]
- Crawford, J.H.; Ahn, J.-Y.; Al-Saadi, J.; Chang, L.; Emmons, L.K.; Kim, J.; Lee, G.; Park, J.-H.; Park, R.J.; Woo, J.H.; et al. The Korea–United States Air Quality (KORUS-AQ) Field Study. Elem. Sci. Anth. 2021, 9, 00163. [Google Scholar] [CrossRef]
- Lyapustin, A.; Wang, Y.; Korkin, S.; Huang, D. MODIS Collection 6 MAIAC Algorithm. Atmos. Meas. Tech. 2018, 11, 5741–5765. [Google Scholar] [CrossRef] [Green Version]
- Chudnovsky, A.A.; Kostinski, A.; Lyapustin, A.; Koutrakis, P. Spatial Scales of Pollution from Variable Resolution Satellite Imaging. Environ. Pollut. 2013, 172, 131–138. [Google Scholar] [CrossRef]
- Jing, L.; Zhang, Y.; Chen, M.; Wang, L.; Zhao, S.; Pu, X.; Chen, X. Estimation of Monthly 1 Km Resolution PM2.5 Concentrations Using a Random Forest Model over “2 + 26” Cities, China. Urban Clim. 2021, 35, 1000734. [Google Scholar]
- Jia, C.; Sun, L.; Wang, Y.; Zhang, X. Accuracy Validation of 1 Km Resolution AOD Products in Beijing-Tianjin-Hebei Region and Correlation Analysis with Air Pollution. Laser Optoelectron. Prog. 2020, 57, 232802. [Google Scholar] [CrossRef]
- Grell, G.A.; Peckham, S.E.; Schmitz, R.; McKeen, S.A.; Frost, G.; Skamarock, W.C.; Eder, B. Fully Coupled “online” Chemistry within the WRF Model. Atmos. Environ. 2005, 39, 6957–6975. [Google Scholar] [CrossRef]
- Zaveri, R.A.; Easter, R.C.; Fast, J.D.; Peters, L.K. Model for Simulating Aerosol Interactions and Chemistry (MOSAIC). J. Geophys. Res. Space Phys. 2008, 113, 13204. [Google Scholar] [CrossRef]
- Zaveri, R.; Peters, L.K. A New Lumped Structure Photochemical Mechanism for Large-Scale Applications. J. Geophys. Res. Space Phys. 1999, 104, 30387–30415. [Google Scholar] [CrossRef]
- Fast, J.D.; Gustafson, W.; Easter, R.C.; Zaveri, R.; Barnard, J.C.; Chapman, E.G.; Grell, G.A.; Peckham, S.E. Evolution of Ozone, Particulates, and Aerosol Direct Radiative Forcing in the Vicinity of Houston Using a Fully Coupled Meteorology-Chemistry-Aerosol Model. J. Geophys. Res. Space Phys. 2006, 111. [Google Scholar] [CrossRef]
- Zhang, X.Y.; Gong, S.L.; Shen, Z.X.; Mei, F.M.; Xi, X.; Liu, L.C.; Zhou, Z.J.; Wang, D.; Wang, Y.Q.; Cheng, Y. Characterization of Soil Dust Aerosol in China and Its Transport and Distribution During 2001 ACE-Asia: Network Observations. J. Geophys. Res. 2003, 108, 4261. [Google Scholar] [CrossRef]
- Zhao, C.; Leung, L.R.; Easter, R.C.; Hand, J.; Avise, J. Characterization of Speciated Aerosol Direct Radiative Forcing over California. J. Geophys. Res. Atmos. 2013, 118, 2372–2388. [Google Scholar] [CrossRef]
- Hess, M.; Koepke, P.; Schult, I. Optical Properties of Aerosols and Clouds: The Software Package OPAC. Bull. Am. Meteorol. Soc. 1998, 79, 831–844. [Google Scholar] [CrossRef]
- Zhao, C.; Chen, S.; Leung, L.R.; Qian, Y.; Kok, J.F.; Zaveri, R.A.; Huang, J. Uncertainty in Modeling Dust Mass Balance and Radiative Forcing from Size Parameterization. Atmos. Chem. Phys. Discuss. 2013, 13, 10733–10753. [Google Scholar] [CrossRef] [Green Version]
- Hong, S.-Y.; Noh, Y.; Dudhia, J. A New Vertical Diffusion Package with an Explicit Treatment of Entrainment Processes. Mon. Weather. Rev. 2006, 134, 2318–2341. [Google Scholar] [CrossRef] [Green Version]
- Chen, F.; Dudhia, J. Coupling an Advanced Land Surface-Hydrology Model with the Penn State-NCAR MM5 Modeling System. Part I: Model Implementation and Sensitivity. Mon. Weather Rev. 2001, 129, 569–585. [Google Scholar] [CrossRef] [Green Version]
- Morrison, H.; Gettelman, A. A New Two-Moment Bulk Stratiform Cloud Microphysics Scheme in the Community Atmosphere Model, Version 3 (CAM3). Part I: Description and Numerical Tests. J. Clim. 2008, 21, 3642–3659. [Google Scholar] [CrossRef]
- Morrison, H.; Pinto, J.O. Mesoscale Modeling of Springtime Arctic Mixed-Phase Stratiform Clouds Using a New Two-Moment Bulk Microphysics Scheme. J. Atmos. Sci. 2005, 62, 3683–3704. [Google Scholar] [CrossRef]
- Mlawer, E.J.; Taubman, S.J.; Brown, P.D.; Iacono, M.J.; Clough, S.A. Radiative Transfer for Inhomogeneous Atmospheres: RRTM, a Validated Correlated-K Model for the Longwave. J. Geophys. Res. Space Phys. 1997, 102, 16663–16682. [Google Scholar] [CrossRef] [Green Version]
- Li, M.; Liu, H.; Geng, G.; Hong, C.; Liu, F.; Song, Y.; Tong, D.; Zheng, B.; Cui, H.; Man, H.; et al. Anthropogenic Emission Inventories in China: A Review. Natl. Sci. Rev. 2017, 4, 834–866. [Google Scholar] [CrossRef]
- Zheng, B.; Tong, D.; Li, M.; Liu, F.; Hong, C.; Geng, G.; Li, H.; Li, X.; Peng, L.; Qi, J.; et al. Trends in China’s Anthropogenic Emissions since 2010 As the Consequence of Clean Air Actions. Atmos. Chem. Phys. 2018, 18, 14095. [Google Scholar] [CrossRef] [Green Version]








| Classification | Station | Latitude | Longitude |
|---|---|---|---|
| mountain | Yanqing | 40°26′58″ | 115°58′8″ |
| Foyeding | 40°36′5″ | 116°8′5″ | |
| Tanghekou | 40°43′53″ | 116°37′45″ | |
| Shangdianzi | 40°39′32″ | 117°6′42″ | |
| Zhaitang | 39°58′27″ | 115°41′30″ | |
| Xiayunling | 39°43′44″ | 115°44′25″ | |
| foot of mountains | Mentougou | 39°56′ | 116°6′ |
| Haidian | 39°59′13″ | 116°17′26″ | |
| Changping | 40°13′24″ | 116°12′42″ | |
| Miyun | 40°22′39″ | 116°51′51″ | |
| Huairou | 40°21′27″ | 116°37′38″ | |
| Pinggu | 40°10′10″ | 117°7′4″ | |
| plain | Fangshan | 39°46′ | 116°12′ |
| Tongzhou | 39°54′48″ | 116°37′3″ | |
| Guanxiangtai | 39°48′22″ | 116°28′10″ | |
| Daxing | 39°43′9″ | 116°21′14″ | |
| Chaoyang | 39°57′9″ | 116°30′3″ | |
| Shijingshan | 39°56′25″ | 116°11′59″ | |
| Fengtai | 39°52′13″ | 116°14′43″ | |
| Shunyi | 40°7′36″ | 116°36′55″ |
| Physics/Chemistry Options | Parameterization |
|---|---|
| Cloud microphysics | Morrison 2-moment scheme [45,46] |
| SW and LW radiation | Rapid radiative transfer model [47] |
| Land surface model | Noah Land Surface Model [44] |
| Planetary boundary layer | YSU scheme [43] |
| Photolysis | CBM-Z [37] |
| Gas-phase chemistry | MOSAIC [36] |
Publisher’s Note: MDPI stays neutral with regard to jurisdictional claims in published maps and institutional affiliations. |
© 2022 by the authors. Licensee MDPI, Basel, Switzerland. This article is an open access article distributed under the terms and conditions of the Creative Commons Attribution (CC BY) license (https://creativecommons.org/licenses/by/4.0/).
Share and Cite
Yang, Y.; Zhou, W.; Gao, Q.; Zhao, D.; Liu, X.; Wang, Y. Effects of Air Pollutants on Summer Precipitation in Different Regions of Beijing. Atmosphere 2022, 13, 141. https://doi.org/10.3390/atmos13010141
Yang Y, Zhou W, Gao Q, Zhao D, Liu X, Wang Y. Effects of Air Pollutants on Summer Precipitation in Different Regions of Beijing. Atmosphere. 2022; 13(1):141. https://doi.org/10.3390/atmos13010141
Chicago/Turabian StyleYang, Yan, Wei Zhou, Qian Gao, Delong Zhao, Xiange Liu, and Yongqing Wang. 2022. "Effects of Air Pollutants on Summer Precipitation in Different Regions of Beijing" Atmosphere 13, no. 1: 141. https://doi.org/10.3390/atmos13010141
APA StyleYang, Y., Zhou, W., Gao, Q., Zhao, D., Liu, X., & Wang, Y. (2022). Effects of Air Pollutants on Summer Precipitation in Different Regions of Beijing. Atmosphere, 13(1), 141. https://doi.org/10.3390/atmos13010141
