Assessment of the Factors Influencing Sulfur Dioxide Emissions in Shandong, China
Abstract
:1. Introduction
2. Data
2.1. Study Area
2.2. Data Source
3. Methods
3.1. Factor Detection
3.2. Interaction Detection
3.3. Ecological Exploration
4. Results
4.1. Overview of the Data Set
4.2. Annual Detection Results
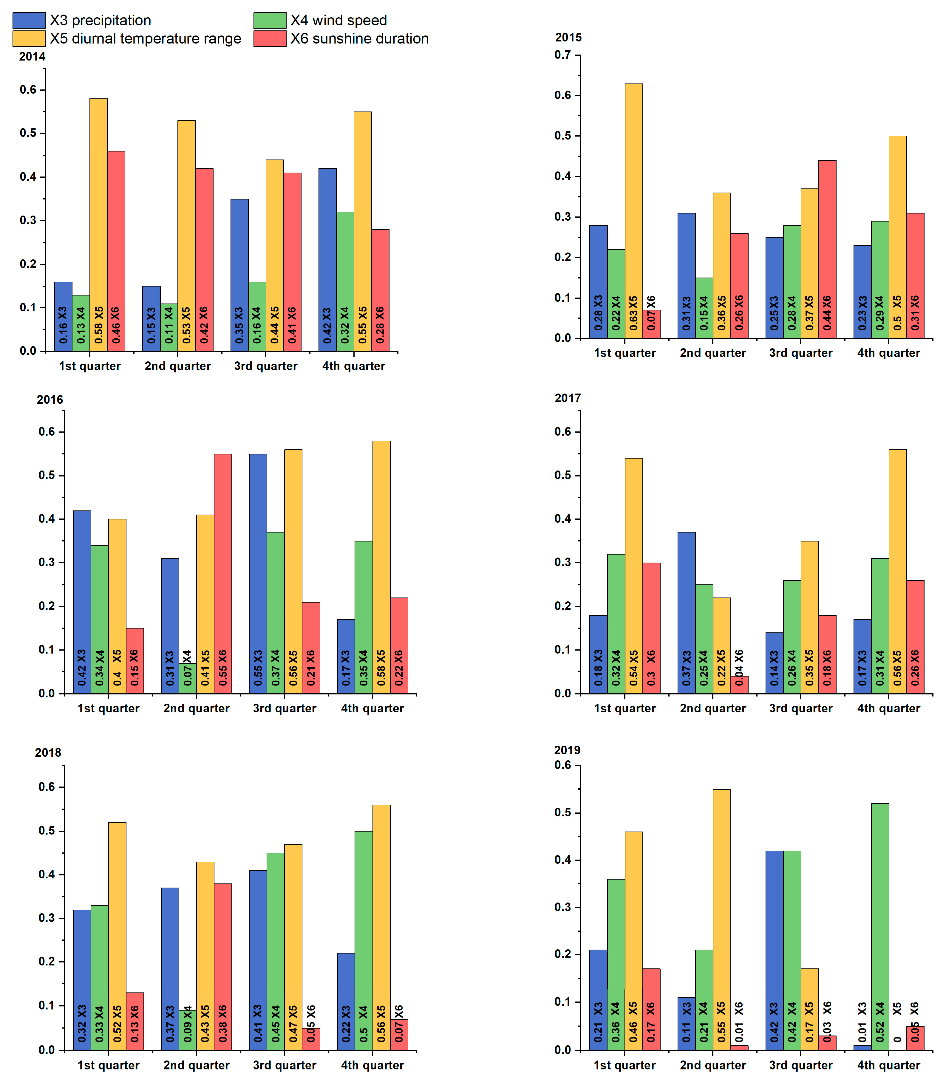
4.3. Seasonal Detection Results
4.4. Regional Human Factor Detection Results
5. Discussion
5.1. Analysis of Influencing Factors
5.2. Seasonal Variability in Meteorological Factors
5.3. Regional Analysis of Human Factors
6. Conclusions
Author Contributions
Funding
Institutional Review Board Statement
Informed Consent Statement
Data Availability Statement
Acknowledgments
Conflicts of Interest
References
- Geravandi, S.; Goudarzi, G.R.; Niri, M.V.; Mohammadi, M.J.; Saeidimehr, S.; Geravandi, S. Estimate of cardiovascular and respiratory mortality related to sulfur dioxide pollutant in Ahvaz. J. Environ. Stud. 2015, 41, 341–350. [Google Scholar] [CrossRef]
- Khaniabadi, Y.O.; Daryanoosh, S.M.; Hopke, P.K.; Ferrante, M.; De Marco, A.; Sicard, P.; Conti, G.O.; Goudarzi, G.; Basiri, H.; Mohammadi, M.J.; et al. Acute myocardial infarction and COPD attributed to ambient SO2 in Iran. Environ. Res. 2017, 156, 683. [Google Scholar] [CrossRef] [PubMed]
- Effatpanah, M.; Effatpanah, H.; Jalali, S.; Parseh, I.; Goudarzi, G.; Barzegar, G.; Geravandi, S.; Darabi, F.; Ghasemian, N.; Mohammadi, M.J. Hospital admission of exposure to air pollution in Ahvaz megacity during 2010–2013. Clin. Epidemiol. Glob. Health 2020, 8, 550. [Google Scholar] [CrossRef] [Green Version]
- He, J. Industrialization, environment and health: The impacts of industrial SO2 emission on public health in China. Chin. J. Popul. Resour. Environ. 2008, 6, 14–24. [Google Scholar] [CrossRef]
- Chit-Ming, W.; Nuntavarn, V.V.; Kan, H.; Qian, Z. Public health and air pollution in Asia (PAPA): A multicity study of short-term effects of air pollution on mortality. Environ. Health Perspect. 2007, 116, 1195–1202. [Google Scholar] [CrossRef] [Green Version]
- Turalıoğlu, F.; Nuhoğlu, A.; Bayraktar, H. Impacts of some meteorological parameters on SO2 and TSP concentrations in Erzurum, Turkey. Chemosphere 2005, 59, 1633–1642. [Google Scholar] [CrossRef]
- Yang, X.; Wang, S.; Zhang, W.; Zhan, D.; Li, J. The impact of anthropogenic emissions and meteorological conditions on the spatial variation of ambient SO2 concentrations: A panel study of 113 Chinese cities. Sci. Total Environ. 2016, 584–585, 318–328. [Google Scholar] [CrossRef] [PubMed]
- Yang, X.; Wang, S.; Zhang, W.; Li, J.; Zou, Y. Impacts of energy consumption, energy structure, and treatment technology on SO2 emissions: A multi-scale LMDI decomposition analysis in China. Appl. Energy 2016, 184, 714–726. [Google Scholar] [CrossRef]
- He, H. Multifractal analysis of interactive patterns between meteorological factors and pollutants in urban and rural areas. Atmos. Environ. 2017, 149, 47–54. [Google Scholar] [CrossRef]
- Wang, J.; Xu, C. Geodetector: Principle and prospective. Acta Geogr. Sin. 2017, 72, 116–134. [Google Scholar] [CrossRef]
- Zou, B.; Wilson, J.G.; Zhan, F.B.; Zeng, Y.; Wu, K. Spatial-temporal variations in regional ambient sulfur dioxide concentration and source-contribution analysis: A dispersion modeling approach. Atmos. Environ. 2011, 45, 4977–4985. [Google Scholar] [CrossRef]
- Lou, C.R.; Liu, H.Y.; Li, Y.F.; Li, Y.L. Socioeconomic Drivers of PM2.5 in the Accumulation Phase of Air Pollution Episodes in the Yangtze River Delta of China. Int. J. Environ. Res. Public Health 2016, 13, 928. [Google Scholar] [CrossRef] [PubMed] [Green Version]
- Dai, Y.H.; Zhou, W.X. Temporal and spatial correlation patterns of air pollutants in Chinese cities. PLoS ONE 2017, 12, e0182724. [Google Scholar] [CrossRef] [Green Version]
- Zhan, D.; Kwan, M.P.; Zhang, W.; Wang, S.; Yu, J. Spatiotemporal Variations and Driving Factors of Air Pollution in China. Int. J. Environ. Res. Public Health 2017, 14, 1538. [Google Scholar] [CrossRef] [Green Version]
- Han, Y.; Zhao, W.; Pereira, P. Global COVID-19 pandemic trends and their relationship with meteorological variables, air pollutants and socioeconomic aspects. Environ. Res. 2022, 204 Pt C, 112249. [Google Scholar] [CrossRef]
- Luo, W.; Jasiewicz, J.; Stepinski, T.; Wang, J.; Xu, C.; Cang, X. Spatial association between dissection density and environmental factors over the entire conterminous United States. Geophys. Res. Lett. 2016, 43, 692–700. [Google Scholar] [CrossRef] [Green Version]
- Zhang, L.; Liu, W.; Hou, K.; Lin, J.; Song, C.; Zhou, C.; Huang, B.; Tong, X.; Wang, J.; Rhine, W.; et al. Air pollution exposure associates with increased risk of neonatal jaundice. Nat. Commun. 2019, 10, 3741. [Google Scholar] [CrossRef] [PubMed]
- Li, J.; Liang, J.; Wang, J.; Ren, Z.; Yang, D.; Wang, Y.; Mu, L.; Li, X.; Li, M.; Guo, Y.; et al. Spatiotemporal trends and ecological determinants in maternal mortality ratios in 2205 Chinese counties, 2010–2013: A Bayesian modelling analysis. PLoS Med. 2020, 17, e1003114. [Google Scholar] [CrossRef] [PubMed]
- Hu, M.; Lin, H.; Wang, J.; Xu, C.; Tatem, A.J.; Meng, B.; Zhang, X.; Liu, Y.; Wang, P.; Wu, G.; et al. Risk of Coronavirus Disease 2019 Transmission in Train Passengers: An Epidemiological and Modeling Study. Clin. Infect. Dis. 2021, 72, 604–610. [Google Scholar] [CrossRef]
- Wang, J.F.; Li, X.H.; Christakos, G.; Liao, Y.L.; Zhang, T.; Gu, X.; Zheng, X.Y. Geographical Detectors-Based Health Risk Assessment and its Application in the Neural Tube Defects Study of the Heshun Region, China. Int. J. Geogr. Inf. Sci. 2010, 24, 107–127. [Google Scholar] [CrossRef]
- Geodetector. Available online: http://www.geodetector.cn/ (accessed on 22 December 2021).
- Li, L.; Qian, J.; Ou, C.; Zhou, Y.; Guo, C.; Guo, Y. Spatial and temporal analysis of Air Pollution Index and its timescale-dependent relationship with meteorological factors in Guangzhou, China, 2001–2011. Environ. Pollut. 2014, 190, 75–81. [Google Scholar] [CrossRef] [PubMed]
- Han, Y.; Xiong, X.; Liu, Y.; Pan, Y. The analysis of factors affecting SO2 emission of Chinese industry. In Proceedings of the International Conference on Computer & Management, Wuhan, China, 19–21 May 2011. [Google Scholar]
- Li, R.; Fu, H.; Cui, L.; Li, J.; Wu, Y.; Meng, Y.; Wang, Y.; Chen, J. The spatiotemporal variation and key factors of SO2 in 336 cities across China. J. Clean. Prod. 2019, 210, 602–611. [Google Scholar] [CrossRef]
- Hao, L. Spatial-Temporal Variation of the Precipitation in North China and the Impact Factors of Precipitation Reduction. Ph.D. Thesis, Nanjing University of Information Science & Technology, Nanjing, China, 2011. [Google Scholar]
- Walter, H.C.; David, H.S.C. Regional-scale precipitation scavenging of SO2, SO4, NO3 and HNO3. Atmos. Environ. 1986, 20, 1397–1402. [Google Scholar] [CrossRef]
- Zhou, J.; Shao, H.; Wu, Y.; Hu, J. Spatial and temporal characteristics of diurnal temperature range in North China. J. Yangzhou Univ. (Nat. Sci. Ed.) 2013, 16, 38–43. [Google Scholar] [CrossRef]
- Makowski, K.; Wild, M.; Ohmura, A. Diurnal temperature range over Europe between 1950 and 2005. Atmos. Chem. Phys. 2008, 8, 6483–6498. [Google Scholar] [CrossRef] [Green Version]
- Zhao, B.; Zhang, J.; Liu, X.; Chen, J. Analyzing 24-hour variation of atmosphere pollution character in Luoyang city and related meteorological factors. Environ. Monit. China 2004, 20, 21–23. [Google Scholar] [CrossRef]
- Liu, S.; Qiu, J.; Mo, X. Wind velocity variation from 1951 to 2006 in the north China plain. Resour. Sci. 2009, 31, 1486–1492. [Google Scholar] [CrossRef]
- Lin, C.; Chen, Y.; Liu, C.; Chen, W.; Chou, C.K. Satellite-derived correlation of SO2, NO2, and aerosol optical depth with meteorological conditions over east Asia from 2005 to 2015. Remote Sens. 2019, 11, 1738. [Google Scholar] [CrossRef] [Green Version]
- Bralić, M.; Buljac, M.; Periš, N.; Buzuk, M.; Dabić, P.; Brinić, S. Monthly and Seasonal Variations of NO2, SO2 and Black-smoke Located Within the Sport District in Urban Area, City of Split, Croatia. Croat. Chem. Acta 2012, 85, 139–145. [Google Scholar] [CrossRef]
- Goudarzi, G.; Geravandi, S.; Idani, E.; Hosseini, S.A.; Baneshi, M.M.; Yari, A.R.; Vosoughi, M.; Dobaradaran, S.; Shirali, S.; Marzooni, M.B.; et al. An evaluation of hospital admission respiratory disease attributed to sulfur dioxide ambient concentration in Ahvaz from 2011 through 2013. Environ. Sci. Pollut. Res. 2016, 23, 22001–22007. [Google Scholar] [CrossRef] [Green Version]
- de Gouw, J.A.; Parrish, D.D.; Frost, G.J.; Trainer, M. Reduced emissions of CO2, NOx, and SO2 from U.S. power plants owing to switch from coalto natural gas with combined cycle technology. Earth’s Future 2014, 2, 75–82. [Google Scholar] [CrossRef]
- He, H.; Vinnikov, K.Y.; Li, C.; Krotkov, N.A.; Jongeward, A.R.; Li, Z.; Stehr, J.W.; Hains, J.C.; Dickerson, R.R. Response of SO2 and particulate air pollution to local and regional emission controls: A case study in Maryland. Earth’s Future 2016, 4, 94–109. [Google Scholar] [CrossRef]
- Luo, J.; Angelina, I.H.; He, Q. Research on the decomposition of the economic impact factors of air pollution in Hubei province in China. In Proceedings of the 2nd International Conference on Education, Management and Information Technology, Jinan, China, 10–11 October 2015. [Google Scholar]
- Azimi, M.; Feng, F.; Yang, Y. Air Pollution Inequality and Its Sources in SO2 and NOX Emissions among Chinese Provinces from 2006 to 2015. Sustainability 2018, 10, 367. [Google Scholar] [CrossRef] [Green Version]








Publisher’s Note: MDPI stays neutral with regard to jurisdictional claims in published maps and institutional affiliations. |
© 2022 by the authors. Licensee MDPI, Basel, Switzerland. This article is an open access article distributed under the terms and conditions of the Creative Commons Attribution (CC BY) license (https://creativecommons.org/licenses/by/4.0/).
Share and Cite
Wu, H.; Hong, S.; Hu, M.; Li, Y.; Yun, W. Assessment of the Factors Influencing Sulfur Dioxide Emissions in Shandong, China. Atmosphere 2022, 13, 142. https://doi.org/10.3390/atmos13010142
Wu H, Hong S, Hu M, Li Y, Yun W. Assessment of the Factors Influencing Sulfur Dioxide Emissions in Shandong, China. Atmosphere. 2022; 13(1):142. https://doi.org/10.3390/atmos13010142
Chicago/Turabian StyleWu, Huisheng, Shan Hong, Maogui Hu, Yongheng Li, and Wenzheng Yun. 2022. "Assessment of the Factors Influencing Sulfur Dioxide Emissions in Shandong, China" Atmosphere 13, no. 1: 142. https://doi.org/10.3390/atmos13010142
APA StyleWu, H., Hong, S., Hu, M., Li, Y., & Yun, W. (2022). Assessment of the Factors Influencing Sulfur Dioxide Emissions in Shandong, China. Atmosphere, 13(1), 142. https://doi.org/10.3390/atmos13010142

