Simple Double-Layer Coating for Efficient Daytime and Nighttime Radiative Cooling
Abstract
:1. Introduction
2. Computational Method
3. Structure Design
4. Optimize the Filling Ratio of a Nanoparticle-Based Double-Layer Coating
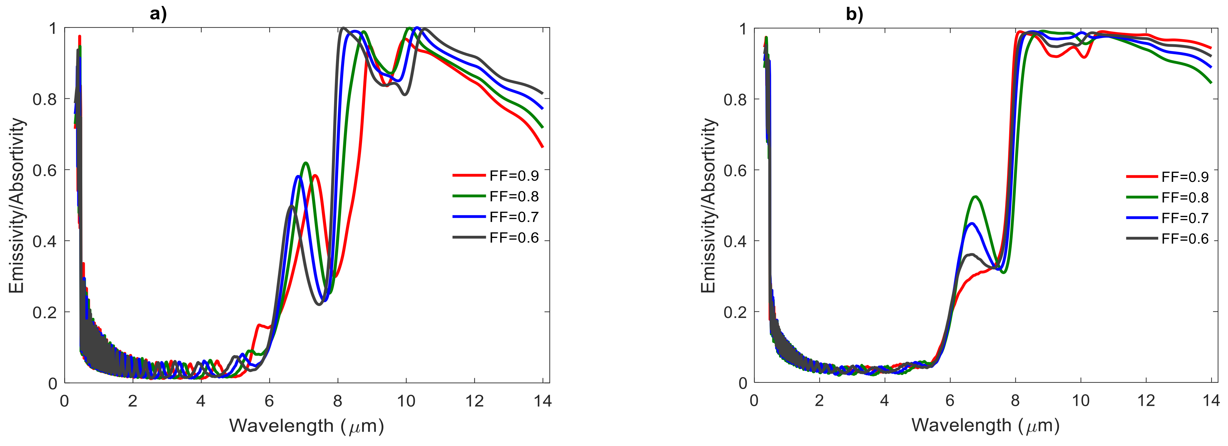
4.1. Effect of Filling Fraction of TiO2-SiO2
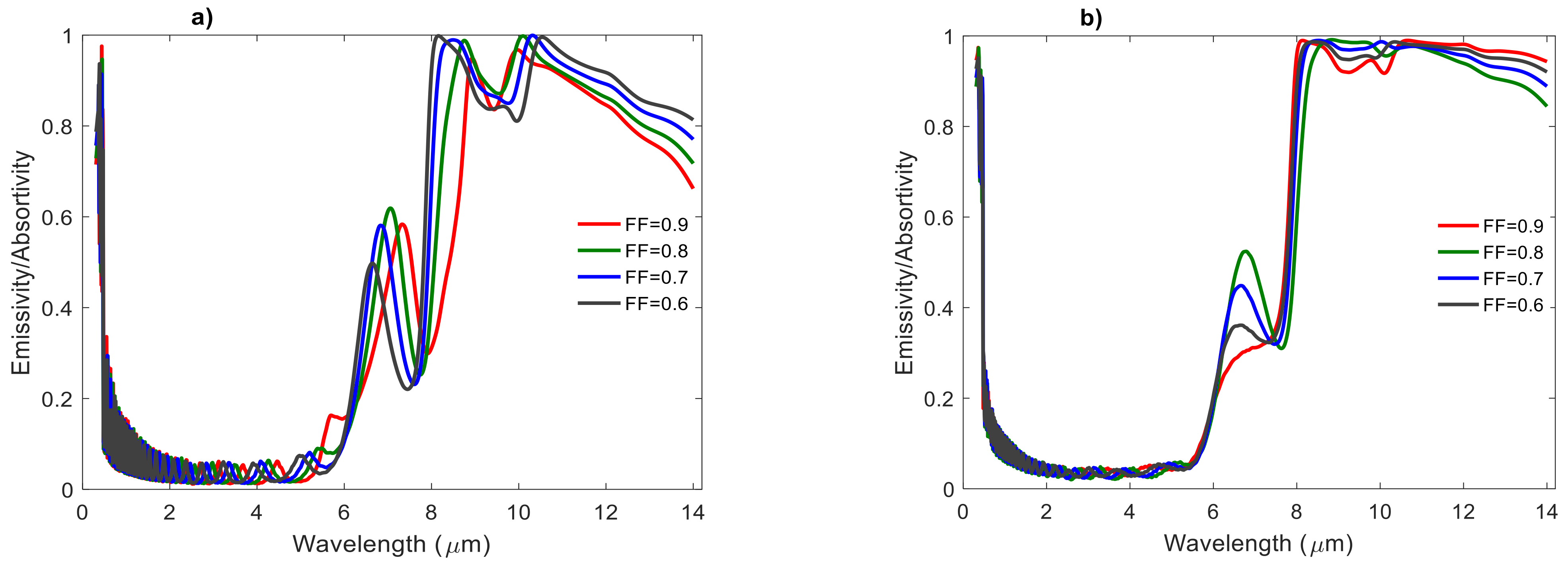
4.2. Effect of Filling Fraction of Ni-Al2O3
5. Optical Properties of the Proposed Cooler Structure
6. Principles of Passive Radiative Cooling Performance
7. Concluding Remarks
Author Contributions
Funding
Institutional Review Board Statement
Informed Consent Statement
Data Availability Statement
Acknowledgments
Conflicts of Interest
Nomenclature
| Al2O3 | Aluminium oxide (alumina) |
| silica titania | |
| phase factor | |
| incident angle | |
| refractive index of the r-th layer | |
| λ | wavelength |
| optical admittance the r-th layer | |
| substrate admittance | |
| optical admittance in free space | |
| normalized electric field | |
| normalized magnetic field | |
| reflectance | |
| absorbance | |
| complex dielectric function for Ni | |
| complex dielectric function for alumina | |
| effective medium dielectric function | |
| effective medium dielectric function of nickel | |
| thermal equilibrium temperature | |
| radiative power | |
| atmospheric power radiation | |
| power density of solar radiation | |
| power density of non-radiative heat exchange | |
| net cooling power | |
| combined non-radiative heat exchange coefficient | |
| substrate admittance |
References
- Levinson, R.; Akbari, H.; Berdahl, P.; Wood, C.; Skilton, W.; Petersheim, J. A novel technique for the production of cool colored concrete tile and asphalt shingle roofing products. Sol. Energy Mater. Sol. Cells 2010, 94, 946–954. [Google Scholar] [CrossRef] [Green Version]
- Soltani, M.; Chaker, M.; Haddad, E.; Kruzelecky, R. Thermochromic vanadium di-oxide(VO2) smart coatings for switching applications. In Applied Physics in the 21st Century; Chen, X., Ed.; Old City Publishing: Kerala, India, 2008; pp. 294–314. [Google Scholar]
- Safi, T.S.; Munday, J.N. Improving photovoltaic performance through radiative cooling in both terrestrial and extraterrestrial environments. Opt. Express 2015, 23, A1120–A1128. [Google Scholar] [CrossRef]
- Zhan, Z.; ElKabbash, M.; Li, Z.; Li, X.; Zhang, J.; Rutledge, J.; Singh, S.; Guo, C. Enhancing thermoelectric output power via radiative cooling with nanoporous alumina. Nano Energy 2019, 65, 104060. [Google Scholar] [CrossRef]
- Santamouris, M.; Feng, J. Recent progress in daytime radiative cooling: Is it the air conditioner of the future? Buildings 2018, 8, 168. [Google Scholar] [CrossRef] [Green Version]
- Gentle, A.R.; Smith, G.B. Radiative heat pumping from the earth using surface phonon resonant nanoparticles. Nano Lett. 2010, 10, 373–379. [Google Scholar] [CrossRef] [PubMed]
- Blandre, E.; Yalçin, A.R.; Joulain, K.; Drévillon, J. Microstructured surfaces for colored and non-colored sky radiative cooling. Opt. Express 2020, 28, 29703–29713. [Google Scholar] [CrossRef]
- Head, A.K. Method and Means for Producing Refrigeration by Selective Radiation. U.S. Patent US3043112A, 10 July 1962. [Google Scholar]
- Catalanotti, S.; Cuomo, V.; Piro, G.; Ruggi, D.; Silvestrini, V.; Troise, G. The radiative cooling of selective surfaces. Sol. Energy 1975, 17, 83–89. [Google Scholar] [CrossRef]
- Zhen, Z.; Zhu, L.; Raman, A.; Fan, A. Radiative cooling to deep sub-freezing temperatures through a 24-h day–night cycle. Nat. Commun. 2016, 7, 13729. [Google Scholar]
- Hervé, A.; Drevillon, J.; Ezzahri, Y.; Joulain, K. Radiative cooling by tailoring surfaces with microstructures: Association of a grating and a multi-layer structure. J. Quant. Spectrosc. Radiat. Transf. 2018, 221, 155–163. [Google Scholar] [CrossRef]
- Wu, D.; Liu, C.; Xu, Z.; Liu, Y.; Yu, Z.; Yu, L.; Chen, L.; Li, R.; Ma, R.; Ye, H. The design of ultra-broadband selective near-perfect absorber based on photonic structures to achieve near-ideal daytime radiative cooling. Mater. Des. 2018, 139, 104–111. [Google Scholar] [CrossRef]
- Kou, L.J.; Jurado, Z.; Chen, Z.; Fan, S.; Minnich, A.J. Daytime radiative cooling using near-black infrared emitters. ACS Photonics 2017, 4, 626–630. [Google Scholar] [CrossRef] [Green Version]
- Kong, A.; Cai, B.; Shi, P.; Yuan, X.C. Ultra-broadband all-dielectric metamaterial thermal emitter for passive radiative cooling. Opt. Express 2019, 27, 30102–30115. [Google Scholar]
- Huang, Z.; Ruan, X. Nanoparticle embedded double layer coating for daytime radiative cooling. Int. J. Heat Mass Transf. 2018, 178, 115–128. [Google Scholar] [CrossRef] [Green Version]
- Zhai, Y.; Ma, Y.; David, S.N.; Zhao, D.; Lou, R.; Tan, G.; Yang, R.; Yin, X. Scalable-manufactured randomized glass-polymer hybrid metamaterial for daytime radiative cooling. Science 2017, 355, 1062–1066. [Google Scholar] [CrossRef] [PubMed] [Green Version]
- Devarapu, G.C.R.; Foteinopoulou, S. Broadband mid-IR super absorption with aperiodic polaritonic photonic crystals. J. Eur. Opt. Soc. Rapid Publ. 2014, 9, 14012. [Google Scholar] [CrossRef] [Green Version]
- Bao, H.; Yana, C.; Wangb, B.; Fang, X.; Zhaob, C.Y.; Ruanc, X. Double-layer nanoparticle-based coatings for efficient terrestrial radiative cooling. Sol. Energy Mater. Sol. Cells 2017, 168, 78–84. [Google Scholar] [CrossRef]
- Macleod, H.A. Thin Film Optical Filters, 3rd ed.; University of Arizona, Institute of Physics Publishing: Tucson, AZ, USA, 2001. [Google Scholar]
- Macleod, H.A. Thin Film Optical Filters, 4th ed.; Taylor & Francis: Boca, FL, USA, 2009. [Google Scholar]
- Yeh, P. Optical Waves in Layered Media; Wiley: Hoboken, NJ, USA, 1988. [Google Scholar]
- Zi, J.; Wan, J.; Zhang, C. Large frequency range of negligible transmission in one-dimensional photonic quantum well structures. Appl. Phys. Lett. 1998, 73, 2084. [Google Scholar] [CrossRef] [Green Version]
- Houmard, M. Revêtements Sol-Gel TiO2-SiO2 Naturellement Super-Hydrophiles Visant À Développer Des Surfaces À Nettoyabilité Accrue. Ph.D. Thesis, Institut National Polytechnique De Grenoble—INPG, Grenoble, France, 2009. [Google Scholar]
- Niklasson, G.A.; Granqvist, C.G.; Hunderi, O. Effective medium models for the optical properties of inhomogeneous materials. Appl. Opt. 1981, 20, 26–30. [Google Scholar] [CrossRef] [PubMed]
- Bostrom, T.K.; Wackelgard, E. Optical properties of solution-chemically derived thin film Ni–Al2O3 composites and Si, Al and Si–Ti oxides. J. Phys. Condens. Matter 2006, 18, 7737–7750. [Google Scholar] [CrossRef]
- Almeida, R.M.; Vasconcelos, H.C.; Ilharco, L.M. Sol-Gel Optics III. SPIE 1998, 2288, 678. [Google Scholar]
- Bostrom, T.; Wackelgard, E.; Westin, G. Solution-chemical derived nickel alumina coatings for thermal solar absorbers. Sol. Energy 2003, 74, 497–504. [Google Scholar]
- Bostrom, T.; Wackelgard, E.; Westin, G. Experimental and theoretical optimization of a three layer solution chemically derived spectrally selective absorber. In Proceedings of the ISES World Congress, Orlando, FL, USA, 6–12 August 2005. [Google Scholar]
- Palik, E.D. Handbook of Optical Constants of Solids; Academic Press: Orlando, FL, USA, 1985. [Google Scholar]
- Querry, M.R. Optical Constants; Accession Number: ADA158623; Missouri University: Kansas City, KS, USA, 1985. [Google Scholar]
- Bergman, L.; Incropera, F.P.; de Witt, D.P.; Lavine, A.S. Fundamentals of Heat and Mass Transfer; John Wiley & Sons: Hoboken, NJ, USA, 2011. [Google Scholar]
- Available online: https://rredc.nrel.gov/solar//spectra/am1.5/ASTMG173/ASTMG173.html. (accessed on 11 May 2021).
- Granqvist, C.C.; Hjortsberg, A. Radiative cooling to low temperature: General consideration and application to selectivity emitting SiO films. J. Appl. Phys. 1981, 52, 4205–4220. [Google Scholar] [CrossRef]
- Raman, A.P.; Anoma, M.A.; Zhu, L.; Rephaeli, E.; Fan, S. Passive radiative cooling below ambient air temperature under direct light. Nature 2014, 515, 540–544. [Google Scholar] [CrossRef] [PubMed]
- Zahir, M.; Benlattar, M. Design of radiative cooler based on porous TiO2 for improving solar cells performance. Appl. Opt. 2021, 60, 445–451. [Google Scholar] [CrossRef]
- Mabchour, G.; Benlattar, M.; Saadouni, K.; Mazroui, M. Daytime radiative cooling purposes with selective multilayer design based on Ta2O5. Optik 2020, 164811. [Google Scholar] [CrossRef]
- Duffie, J.A.; Beckman, W.A. Solar Engineering of Thermal Processes, 4th ed.John Wiley & Sons Inc: Hoboken, NJ, USA, 2013. [Google Scholar]
- Fu, Y.; Yang, J.; Su, Y.S.; Du, W.; Ma, Y.G. Daytime passive radiative cooler using porous alumina. Sol. Energy Mater. Sol. Cells 2019, 191, 50–54. [Google Scholar] [CrossRef] [Green Version]
- Diatezua, D.M.; Thiry, P.A.; Dereux, A.; Caudano, R. Silicon oxynitride multilayers as spectrally selective material for passive radiative cooling applications. Sol. Energy Mater. Sol. Cells 1996, 40, 253–259. [Google Scholar] [CrossRef]
- Hossain, M.M.; Jia, B.; Gu, M. A metamaterial emitter for highly efficient radiative cooling. Adv. Opt. Mater. 2015, 3, 1047–1051. [Google Scholar] [CrossRef]
- Zou, C.; Ren, G.; Hossain, M.; Nirantar, S.; Withayachumnankul, W.; Ahmed, T.; Bhaskaran, M.; Sriram, S.; Gu, M.; Fumeaux, C. Metal-loaded dielectric resonator metasurfaces for radiative cooling. Adv. Opt. Mater. 2017, 5, 1700460. [Google Scholar] [CrossRef]
- Zahir, M.; Benlattar, M. Daytime radiative cooler using porous TiO2: New approach. Appl. Opt. 2021, 59, 9400–9408. [Google Scholar] [CrossRef] [PubMed]











Publisher’s Note: MDPI stays neutral with regard to jurisdictional claims in published maps and institutional affiliations. |
© 2021 by the authors. Licensee MDPI, Basel, Switzerland. This article is an open access article distributed under the terms and conditions of the Creative Commons Attribution (CC BY) license (https://creativecommons.org/licenses/by/4.0/).
Share and Cite
Benlattar, M.; Ibourk, I.; Adhiri, R. Simple Double-Layer Coating for Efficient Daytime and Nighttime Radiative Cooling. Atmosphere 2021, 12, 1198. https://doi.org/10.3390/atmos12091198
Benlattar M, Ibourk I, Adhiri R. Simple Double-Layer Coating for Efficient Daytime and Nighttime Radiative Cooling. Atmosphere. 2021; 12(9):1198. https://doi.org/10.3390/atmos12091198
Chicago/Turabian StyleBenlattar, Mourad, Issam Ibourk, and Rahma Adhiri. 2021. "Simple Double-Layer Coating for Efficient Daytime and Nighttime Radiative Cooling" Atmosphere 12, no. 9: 1198. https://doi.org/10.3390/atmos12091198
APA StyleBenlattar, M., Ibourk, I., & Adhiri, R. (2021). Simple Double-Layer Coating for Efficient Daytime and Nighttime Radiative Cooling. Atmosphere, 12(9), 1198. https://doi.org/10.3390/atmos12091198
