Sensitivity of the Short-Range Precipitation Forecast in South China Region to Sea Surface Temperature Variations
Abstract
:1. Introduction
2. Materials and Methods
2.1. Selection of Heavy Rainfall Cases
2.2. WRF Experimental Setup
2.3. Particle Trajectory Model Setup
3. Results
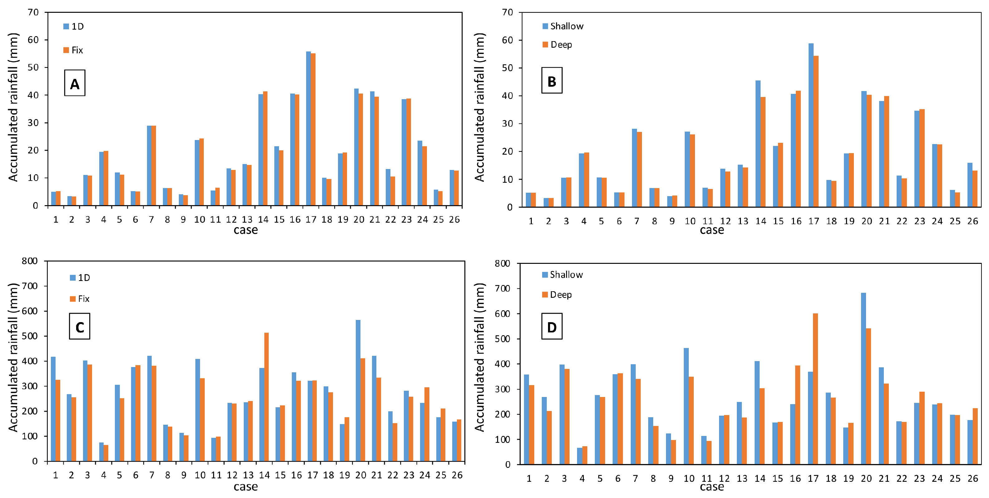
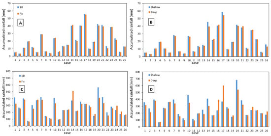
3.1. Heavy Rainfall Cases
3.2. A Case Study
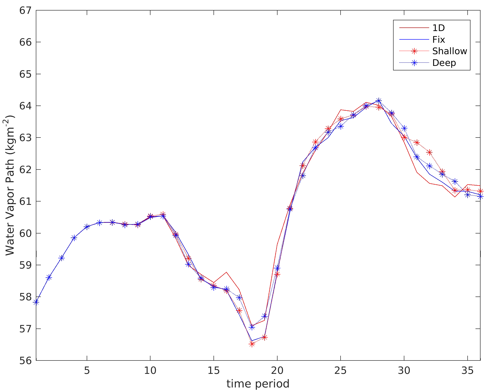
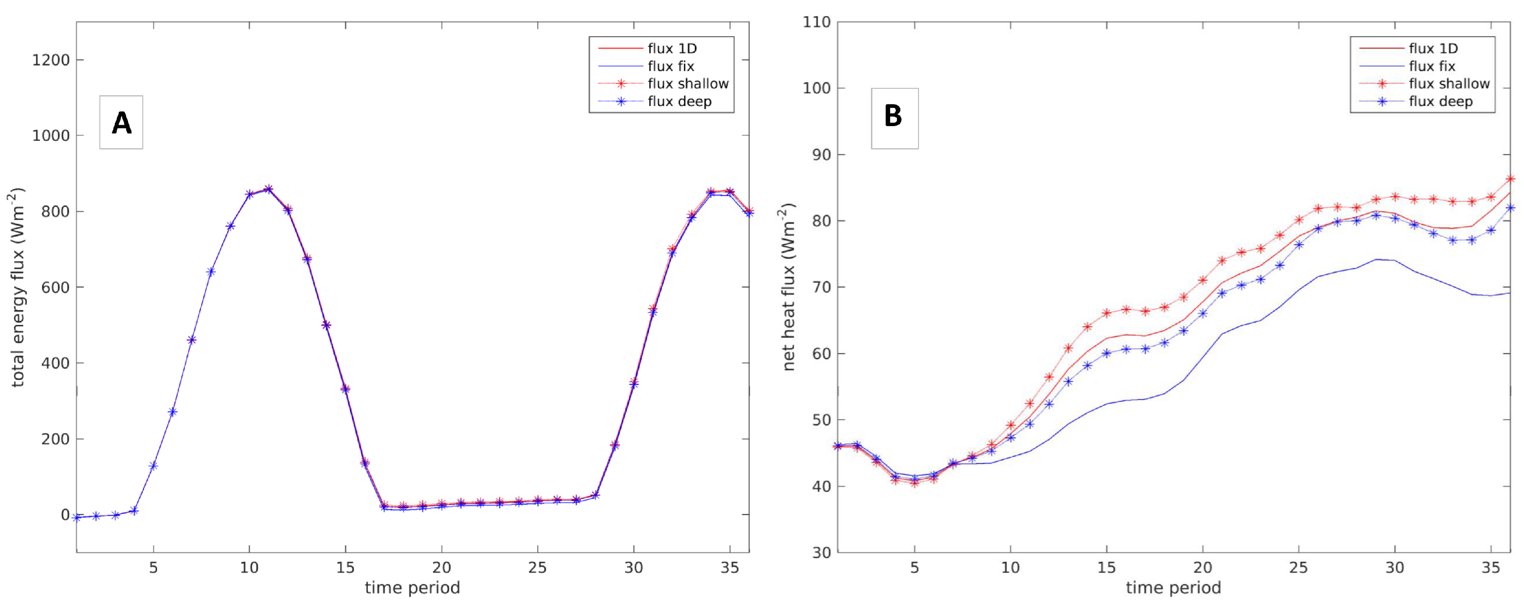
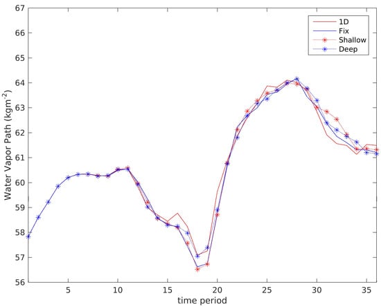
3.3. Ocean Surface Flux and Boundary Layer
3.4. Particle Trajectory
4. Discussion and Conclusions
Supplementary Materials
Author Contributions
Funding
Data Availability Statement
Conflicts of Interest
References
- Hartmann, D.L. Global Physical Climatology, 2nd ed.; Newnes: London, UK, 2015; Volume 103. [Google Scholar]
 - Deser, C.; Alexander, M.A.; Xie, S.P.; Phillips, A.S. Sea surface temperature variability: Patterns and mechanisms. Annu. Rev. Mar. Sci. 2010, 2, 115–143. [Google Scholar] [CrossRef] [Green Version]
 - Yihui, D.; Chongyin, L.; Yanju, L. Overview of the South China Sea monsoon experiment. Adv. Atmos. Sci. 2004, 21, 343–360. [Google Scholar] [CrossRef]
 - DeMott, C.A.; Klingaman, N.P.; Tseng, W.L.; Burt, M.A.; Gao, Y.; Randall, D.A. The convection connection: How ocean feedbacks affect tropical mean moisture and MJO propagation. J. Geophys. Res. Atmos. 2019, 124, 11910–11931. [Google Scholar] [CrossRef]
 - Mahmood, S.; Lewis, H.; Arnold, A.; Castillo, J.; Sanchez, C.; Harris, C. The impact of time-varying sea surface temperature on UK regional atmosphere forecasts. Meteorol. Appl. 2021, 28, e1983. [Google Scholar] [CrossRef]
 - Kendon, E.; Prein, A.; Senior, C.; Stirling, A. Challenges and outlook for convection-permitting climate modelling. Philos. Trans. R. Soc. A 2021, 379, 20190547. [Google Scholar] [CrossRef]
 - Fiedler, E.; Mao, C.; Good, S.; Waters, J.; Martin, M. Improvements to feature resolution in the OSTIA sea surface temperature analysis using the NEMOVAR assimilation scheme. Q. J. R. Meteorol. Soc. 2019, 145, 3609–3625. [Google Scholar] [CrossRef]
 - Strajnar, B.; Cedilnik, J.; Fettich, A.; Ličer, M.; Pristov, N.; Smerkol, P.; Jerman, J. Impact of two-way coupling and sea-surface temperature on precipitation forecasts in regional atmosphere and ocean models. Q. J. R. Meteorol. Soc. 2019, 145, 228–242. [Google Scholar] [CrossRef] [Green Version]
 - Glenn, S.; Miles, T.; Seroka, G.; Xu, Y.; Forney, R.; Yu, F.; Roarty, H.; Schofield, O.; Kohut, J. Stratified coastal ocean interactions with tropical cyclones. Nat. Commun. 2016, 7, 1–10. [Google Scholar] [CrossRef]
 - Srinivas, C.; Mohan, G.M.; Naidu, C.; Baskaran, R.; Venkatraman, B. Impact of air-sea coupling on the simulation of tropical cyclones in the North Indian Ocean using a simple 3-D ocean model coupled to ARW. J. Geophys. Res. Atmos. 2016, 121, 9400–9421. [Google Scholar] [CrossRef] [Green Version]
 - Yan, Y.; Li, L.; Wang, C. The effects of oceanic barrier layer on the upper ocean response to tropical cyclones. J. Geophys. Res. Ocean. 2017, 122, 4829–4844. [Google Scholar] [CrossRef]
 - Balaguru, K.; Foltz, G.R.; Leung, L.R.; Kaplan, J.; Xu, W.; Reul, N.; Chapron, B. Pronounced impact of salinity on rapidly intensifying tropical cyclones. Bull. Am. Meteorol. Soc. 2020, 101, E1497–E1511. [Google Scholar] [CrossRef] [Green Version]
 - Su, L.; Li, J.; Shi, X.; Fung, J.C. Spatiotemporal variation in presummer precipitation over south China from 1979 to 2015 and its relationship with urbanization. J. Geophys. Res. Atmos. 2019, 124, 6737–6749. [Google Scholar] [CrossRef]
 - Huang, H.; Mao, W. The South China sea monsoon experiment—Boundary layer height (SCSMEX-BLH): Experimental design and preliminary results. Mon. Weather Rev. 2015, 143, 5035–5053. [Google Scholar] [CrossRef]
 - Wu, N.; Zhuang, X.; Min, J.; Meng, Z. Practical and intrinsic predictability of a warm-sector torrential rainfall event in the South China monsoon region. J. Geophys. Res. Atmos. 2020, 125, e2019JD031313. [Google Scholar] [CrossRef]
 - Luo, Y.; Zhang, R.; Wan, Q.; Wang, B.; Wong, W.K.; Hu, Z.; Jou, B.J.D.; Lin, Y.; Johnson, R.H.; Chang, C.P.; et al. The southern China monsoon rainfall experiment (SCMREX). Bull. Am. Meteorol. Soc. 2017, 98, 999–1013. [Google Scholar] [CrossRef]
 - Huang, L.; Luo, Y.; Zhang, D.L. The relationship between anomalous presummer extreme rainfall over South China and synoptic disturbances. J. Geophys. Res. Atmos. 2018, 123, 3395–3413. [Google Scholar] [CrossRef] [Green Version]
 - Zhang, L.; Sun, J.; Ying, Z.; Xiao, X. Initiation and development of a squall line crossing Hangzhou Bay. J. Geophys. Res. Atmos. 2021, 126, e2020JD032504. [Google Scholar]
 - Skamarock, W.C.; Klemp, J.B.; Dudhia, J.; Gill, D.O.; Liu, Z.; Berner, J.; Wang, W.; Powers, J.G.; Duda, M.G.; Barker, D.M.; et al. A Description of the Advanced Research WRF Model Version 4; National Center for Atmospheric Research: Boulder, CO, USA, 2019; p. 145. [Google Scholar]
 - Pollard, R.T.; Rhines, P.B.; Thompson, R.O. The deepening of the wind-mixed layer. Geophys. Fluid Dyn. 1973, 4, 381–404. [Google Scholar] [CrossRef]
 - Emanuel, K.; DesAutels, C.; Holloway, C.; Korty, R. Environmental control of tropical cyclone intensity. J. Atmos. Sci. 2004, 61, 843–858. [Google Scholar] [CrossRef]
 - Davis, C.; Wang, W.; Chen, S.S.; Chen, Y.; Corbosiero, K.; DeMaria, M.; Dudhia, J.; Holland, G.; Klemp, J.; Michalakes, J.; et al. Prediction of landfalling hurricanes with the advanced hurricane WRF model. Mon. Weather Rev. 2008, 136, 1990–2005. [Google Scholar] [CrossRef] [Green Version]
 - Chen, M.; Xie, P. 3.3. Quality Control of Daily Precipitation Reports at NOAA/CPC. 2008. Available online: https://ftp.cpc.ncep.noaa.gov/precip.orig/CPC_UNI_PRCP/GAUGE_GLB/DOCU/CPC%20GTS%20QC%20AMS2008MingyueChen.pdf (accessed on 30 July 2020).
 - Thompson, G.; Field, P.R.; Rasmussen, R.M.; Hall, W.D. Explicit forecasts of winter precipitation using an improved bulk microphysics scheme. Part II: Implementation of a new snow parameterization. Mon. Weather Rev. 2008, 136, 5095–5115. [Google Scholar] [CrossRef]
 - Iacono, M.J.; Delamere, J.S.; Mlawer, E.J.; Shephard, M.W.; Clough, S.A.; Collins, W.D. Radiative forcing by long-lived greenhouse gases: Calculations with the AER radiative transfer models. J. Geophys. Res. Atmos. 2008, 113. [Google Scholar] [CrossRef]
 - Chen, F.; Dudhia, J. Coupling an advanced land surface–hydrology model with the Penn State–NCAR MM5 modeling system. Part I: Model implementation and sensitivity. Mon. Weather Rev. 2001, 129, 569–585. [Google Scholar] [CrossRef] [Green Version]
 - Hong, S.Y.; Noh, Y.; Dudhia, J. A new vertical diffusion package with an explicit treatment of entrainment processes. Mon. Weather Rev. 2006, 134, 2318–2341. [Google Scholar] [CrossRef] [Green Version]
 - Zhang, C.; Wang, Y.; Hamilton, K. Improved representation of boundary layer clouds over the southeast Pacific in ARW-WRF using a modified Tiedtke cumulus parameterization scheme. Mon. Weather Rev. 2011, 139, 3489–3513. [Google Scholar] [CrossRef] [Green Version]
 - Zuo, H.; Balmaseda, M.A.; Mogensen, K. The new eddy-permitting ORAP5 ocean reanalysis: Description, evaluation and uncertainties in climate signals. Clim. Dyn. 2017, 49, 791–811. [Google Scholar] [CrossRef]
 - de Boyer Montégut, C.; Madec, G.; Fischer, A.S.; Lazar, A.; Iudicone, D. Mixed layer depth over the global ocean: An examination of profile data and a profile-based climatology. J. Geophys. Res. Ocean. 2004, 109. [Google Scholar] [CrossRef]
 - Hersbach, H.; Bell, B.; Berrisford, P.; Biavati, G.; Horányi, A.; Muñoz Sabater, J.; Nicolas, J.; Peubey, C.; Radu, R.; Rozum, I.; et al. ERA5 Hourly Data on Pressure Levels from 1979 to Present, Copernicus Climate Change Service (C3S) Climate Data Store (CDS). 2018. Available online: https://cds.climate.copernicus.eu/cdsapp#!/dataset/10.24381/cds.bd0915c6?tab=overview (accessed on 4 August 2020). [CrossRef]
 - Stein, A.; Draxler, R.R.; Rolph, G.D.; Stunder, B.J.; Cohen, M.; Ngan, F. NOAA’s HYSPLIT atmospheric transport and dispersion modeling system. Bull. Am. Meteorol. Soc. 2015, 96, 2059–2077. [Google Scholar] [CrossRef]
 - Liang, J.; Yong, Y. Climatology of atmospheric rivers in the Asian monsoon region. Int. J. Climatol. 2021, 41, E801–E818. [Google Scholar] [CrossRef]
 - Su, L.; Fung, J.C.; Li, J.; Wong, W.K. Trends in diurnal cycle of summertime rainfall over coastal South China in the past 135 years: Characteristics and possible causes. J. Geophys. Res. Atmos. 2021, 126, e2020JD033621. [Google Scholar] [CrossRef]
 - Frankignoul, C.; Kestenare, E. The surface heat flux feedback. Part I: Estimates from observations in the Atlantic and the North Pacific. Clim. Dyn. 2002, 19, 633–647. [Google Scholar]
 - Park, S.; Deser, C.; Alexander, M.A. Estimation of the surface heat flux response to sea surface temperature anomalies over the global oceans. J. Clim. 2005, 18, 4582–4599. [Google Scholar] [CrossRef] [Green Version]
 - Vitart, F.; Robertson, A. The sub-seasonal to seasonal prediction project (S2S) and the prediction of extreme events. NPJ Clim. Atmos. Sci. 2018, 1, 1–7. [Google Scholar] [CrossRef] [Green Version]
 - Souri, A.H.; Choi, Y.; Kodros, J.K.; Jung, J.; Shpund, J.; Pierce, J.R.; Lynn, B.H.; Khain, A.; Chance, K. Response of Hurricane Harvey’s rainfall to anthropogenic aerosols: A sensitivity study based on spectral bin microphysics with simulated aerosols. Atmos. Res. 2020, 242, 104965. [Google Scholar] [CrossRef]
 - Dong, W.; Feng, Y.; Chen, C.; Wu, Z.; Xu, D.; Li, S.; Xu, Q.; Wang, L.; Beardsley, R.C.; Lin, H.; et al. Observational and modeling studies of oceanic responses and feedbacks to typhoons Hato and Mangkhut over the northern shelf of the South China Sea. Prog. Oceanogr. 2021, 191, 102507. [Google Scholar] [CrossRef]
 - Weckwerth, T.M. The effect of small-scale moisture variability on thunderstorm initiation. Mon. Weather Rev. 2000, 128, 4017–4030. [Google Scholar] [CrossRef]
 - Hsiao, F.; Chen, Y.L.; Hitzl, D.E. Heavy rainfall events over central Oahu under weak wind conditions during seasonal transitions. Mon. Weather Rev. 2020, 148, 4117–4141. [Google Scholar] [CrossRef]
 - Du, Y.; Chen, G. Heavy rainfall associated with double low-level jets over southern China. Part II: Convection initiation. Mon. Weather Rev. 2019, 147, 543–565. [Google Scholar] [CrossRef]
 - Grist, J.P.; Josey, S.A.; Sinha, B.; Catto, J.L.; Roberts, M.J.; Coward, A.C. Future evolution of an eddy rich ocean associated with enhanced east Atlantic storminess in a coupled model projection. Geophys. Res. Lett. 2021, 48, e2021GL092719. [Google Scholar] [CrossRef]
 












| Category | Setup | 
|---|---|
| Microphysics | Thompson [24] | 
| Radiation | Rapid Radiative Transfer Model [25] | 
| Land surface | Noah Land Surface Model [26] | 
| Planetary Boundary Layer (PBL) | YSU [27] | 
| Cumulus parameterization | Tiedtke [28] | 
| Ocean physics | Pollard OML model [20] | 
| Experiment | SST Condition | Ocean Coupling | 
|---|---|---|
| Fix | ERA5 initial SST (fixed) | None | 
| 1D | ERA5 initial SST, SST changing based on WRF 1-D OML model (initial MLD = daily MLD, lapse rate = area mean daily lapse rate from vertical temperature profile) | 1-D OML model | 
| Shallow | ERA5 initial SST, SST changing based on WRF 1-D OML model (initial MLD = daily MLD − 1 STD, lapse rate = area mean daily lapse rate from vertical temperature profile) | 1-D OML model | 
| Deep | ERA5 initial SST, SST changing based on WRF 1-D OML model (initial MLD = daily MLD + 1 STD, lapse rate = area mean daily lapse rate from vertical temperature profile) | 1-D OML model | 
| End-Time | 7500 m | 6600 m | 5500 m | 4210 m | 3000 m | 1500 m | 
|---|---|---|---|---|---|---|
| 11 p.m. UTC 18 May 2009 | 4% | 3% | 5% | 6% | 10% | 26% | 
| 1 a.m. UTC 19 May 2009 | 6% | 8% | 8% | 11% | 15% | 21% | 
Publisher’s Note: MDPI stays neutral with regard to jurisdictional claims in published maps and institutional affiliations.  | 
© 2021 by the authors. Licensee MDPI, Basel, Switzerland. This article is an open access article distributed under the terms and conditions of the Creative Commons Attribution (CC BY) license (https://creativecommons.org/licenses/by/4.0/).
Share and Cite
Lestari, D.V.; Shi, X. Sensitivity of the Short-Range Precipitation Forecast in South China Region to Sea Surface Temperature Variations. Atmosphere 2021, 12, 1138. https://doi.org/10.3390/atmos12091138
Lestari DV, Shi X. Sensitivity of the Short-Range Precipitation Forecast in South China Region to Sea Surface Temperature Variations. Atmosphere. 2021; 12(9):1138. https://doi.org/10.3390/atmos12091138
Chicago/Turabian StyleLestari, Diah Valentina, and Xiaoming Shi. 2021. "Sensitivity of the Short-Range Precipitation Forecast in South China Region to Sea Surface Temperature Variations" Atmosphere 12, no. 9: 1138. https://doi.org/10.3390/atmos12091138
APA StyleLestari, D. V., & Shi, X. (2021). Sensitivity of the Short-Range Precipitation Forecast in South China Region to Sea Surface Temperature Variations. Atmosphere, 12(9), 1138. https://doi.org/10.3390/atmos12091138
        
                                                
