Abrupt Change Detection Method Based on Features of Lorenz Trajectories
Abstract
1. Introduction
2. Dynamic Definition and Detection Method of Abrupt Changes
2.1. Abrupt Changes Based on Bifurcation Features
2.2. Bifurcation-Type Abrupt Change Detection Method
2.3. Bifurcation-Type Abrupt Change Detection Test
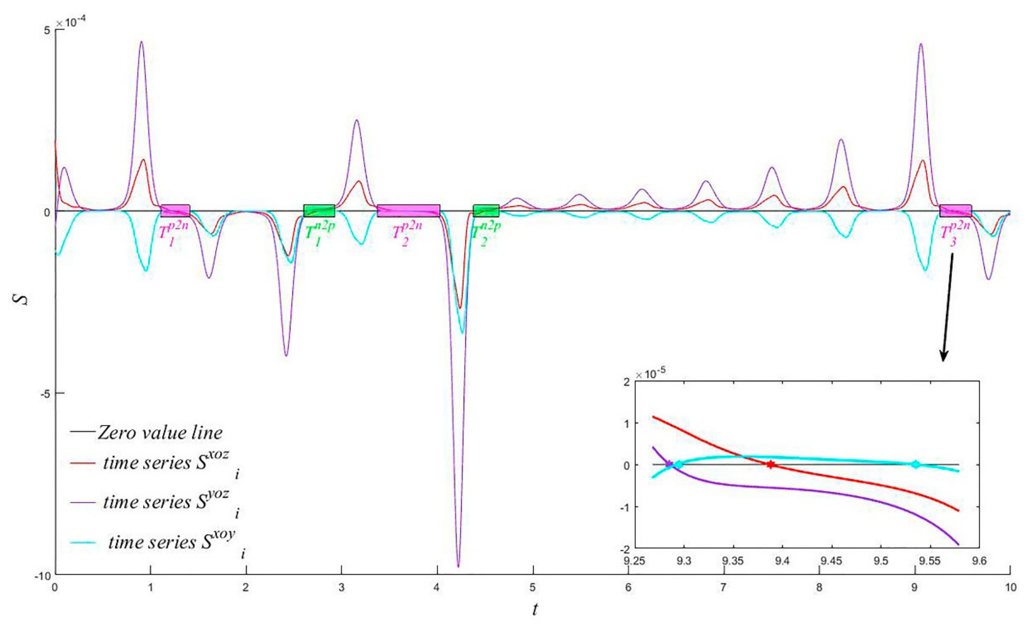
2.3.1. Single-Index Time Series Abrupt Change Detection
2.3.2. Multi-Index Time Series Abrupt Change Detection
2.3.3. Abrupt Change Detection Effect
3. Conclusions and Implications
Author Contributions
Funding
Data Availability Statement
Acknowledgments
Conflicts of Interest
References
- Li, Q.; Wu, Z.; Wang, X.; Zhang, D.; Xiao, M. The Characteristics of Summer Precipitation in China since 1981 and its Relationship with SST and Pre-circulation. Plateau Meteorol. 2020, 39, 58–67. [Google Scholar]
- Yu, R.; Zhai, P. Ocean and cryosphere change related extreme events, abrupt change and its impact and risk. Clim. Chang. Res. 2020, 16, 194–202. [Google Scholar]
- Wang, G.; Lu, L.; Sun, J. Stability of Surrounding rock and Thrust Calculation of Shield Passing through Geological mediums. Chin. J. Rock Mech. Eng. 2015, 34, 2362–2372. [Google Scholar]
- Zeng, H.; Li, D.; Huang, H. Distribution Pattern of Ploidy Variation of Actinidia chinensis and A deliciosa. J. Wuhan Bot. Res. 2009, 27, 312–317. [Google Scholar]
- Zhao, X.; Zhou, B.; Li, Y. Application of T-DNA Insertion Mutagenesis in Functional Genomics of Plant. Lett. Biotechnol. 2009, 20, 880–884. [Google Scholar]
- Li, Z.; Zou, Y.; Jiang, Y.; Hu, Y.; Qin, Y.; Li, M.; Zhan, Y.; Wang, D.; Wang, N. Bioinformatics Analysis of Cap Protein Sequences of Porcine Circovirus Type. Lett. Biotechnol. 2020, 24, 13–20. [Google Scholar]
- Jin, C.; Zhao, Y. Progress in the study of KRAS mutation in lung adenocarcinoma. J. Int. Oncol. 2020, 47, 180–184. [Google Scholar]
- Gao, Z. Human capital, industrial structure mutation and economic catching up. China Mark. 2007, 40, 28–29. [Google Scholar]
- Liu, J. Social, Cultural and Psychological Factors of Network Language Variation. Xijiang Moon. 2013. Available online: https://xueshu.baidu.com/usercenter/paper/show?paperid=ee3b00947b1b20c4b9861fc83f709e7d&site=xueshu_se (accessed on 17 June 2021).
- Thom, R. Stabilité structurelle et morphogenèse. Poetics 1974, 3, 7–19. [Google Scholar] [CrossRef]
- Zeeman, E.C. Catastrophe Theory: A reply to Thom (Dynamical Systems-Warwick 1974); Springer: Berlin/Heidelberg, Germany, 1975; pp. 373–383. [Google Scholar]
- Daniell, P.J. Lectures on Cauchy’s Problem in Linear Partial Differential Equations by J Hadamard; Dover Publications: New York, NY, USA, 1953. [Google Scholar]
- Lorenz, E.N. Deterministic non-periodic flow. J. Atmos. Sci. 1963, 20, 130–141. [Google Scholar] [CrossRef]
- Fu, C.; Wang, Q. The definition and detection of the Abrupt Climatic Change. Chin. J. Atmos. Sci. 1992, 16, 15–21. [Google Scholar]
- Fu, C. Studies on the Observed Abrupt Climatic Change. Sci. Atmos. Sin. 1994, 18, 373–384. [Google Scholar]
- Zhu, K. East Asian monsoon and rainfall in China. Acta Geogr. Sinica. 1934, 1, 23–30. [Google Scholar]
- Tu, C.; Huang, T. Advance and retreat of summer monsoon in China. Acta Meteorol. Sin. 1944, 28, 234–247. [Google Scholar]
- Tao, S.; Chen, L. Structure of atmospheric circulation over Asian continent in summer. Chin. Sci. Bull. 1957, 7, 24–25. [Google Scholar]
- Ding, Y.; Zhang, L. Intercomparison of the time for climate abrupt change between the Tibetan Plateau and other regions in China. Chin. J. Atmos. Sci. 2008, 32, 794–805. [Google Scholar]
- Krishnamurti, T.N.; Ramanathan, Y. Sensitivity of the Monsoon Onset to Differential Heating. J. Atmos. Sci. 1979, 39, 1290–1306. [Google Scholar] [CrossRef]
- Shinoda, M.; Mikami, T.; Iwasaki, K.; Kitajima, H.; Eguchi, T.; Matsumoto, J.; Masuda, K. Global Simultaneity of the Abrupt Seasonal Changes in Precipitation during May and June of 1979. J Meteorol. Soc. Jpn. 1986, 64, 531–546. [Google Scholar] [CrossRef]
- Feng, G.; Gong, Z.; Dong, W.; Li, J. Abrupt climate change detection based on heuristic segmentation algorithm. Acta Phys. Sin. 2005, 54, 5494–5499. [Google Scholar]
- Hou, W.; Feng, G.; Dong, W.; Li, J. A technique for distinguishing dynamical species in the temperature time series of north China. Acta Phys. Sin. 2006, 53, 2663–2668. [Google Scholar]
- Gong, Z.; Feng, G.; Dong, W.; Li, J. The research of dynamic structure abrupt change of nonlinear time series. Acta Phys. Sin. 2006, 53, 3180–3187. [Google Scholar]
- Feng, G.; Gong, Z.; Zhi, R. Latest advances of climate change detecting technologies. Acta Meteorol. Sin. 2008, 66, 892–905. [Google Scholar]
- Zhi, R.; Gong, Z.; Wang, D.; Feng, G. Analysis of the spatio-temporal characteristics of precipitation of China based on the power-law exponent. Acta Phys. Sin. 2006, 53, 6185–6191. [Google Scholar]
- Huang, J.P.; Yi, Y.H.; Wang, S.W.; Chou, J.F. An analogue-dynamical long-range numerical weather prediction system incorporating historical evolution. Q. J. R. Meteorol. Soc. 1993, 119, 547–565. [Google Scholar]
- He, W.P.; Liu, Q.Q.; Gu, B.; Zhao, S.S. A novel method for detecting abrupt dynamic change based on the changing hurst exponent of spatial images. Clim. Dyn. 2016, 47, 2561–2571. [Google Scholar] [CrossRef]
- Halifa-Marín, A.; Lorente-Plazas, R.; Pravia-Sarabia, E.; Montávez, J.P.; Jiménez-Guerrero, P. Atlantic and mediterranean influence promoting an abrupt change in winter precipitation over the southern iberian peninsula. Atmos. Res. 2021, 253, 105485. [Google Scholar] [CrossRef]
- Guo, F.; Yan, M.; Zhang, K.; Lei, H.; Guo, L. The climate change in qingdao during 1899–2015 and its response to global warming. J. Geosci. Environ. Prot. 2018, 6, 58–70. [Google Scholar] [CrossRef][Green Version]
- Rahman, M.R.; Lateh, H. Spatio-temporal analysis of warming in bangladesh using recent observed temperature data and GIS. Clim. Dyn. 2016, 46, 2943–2960. [Google Scholar] [CrossRef]
- Fang, S.; Yue, Q.; Han, G.; Li, Q.; Zhou, G. Changing trends and abrupt features of extreme temperature in mainland china from 1960 to 2010. Atmosphere 2016, 7, 22. [Google Scholar] [CrossRef]








Publisher’s Note: MDPI stays neutral with regard to jurisdictional claims in published maps and institutional affiliations. |
© 2021 by the authors. Licensee MDPI, Basel, Switzerland. This article is an open access article distributed under the terms and conditions of the Creative Commons Attribution (CC BY) license (https://creativecommons.org/licenses/by/4.0/).
Share and Cite
Da, C.; Shen, B.; Song, J.; Xaiwu, C.; Feng, G. Abrupt Change Detection Method Based on Features of Lorenz Trajectories. Atmosphere 2021, 12, 781. https://doi.org/10.3390/atmos12060781
Da C, Shen B, Song J, Xaiwu C, Feng G. Abrupt Change Detection Method Based on Features of Lorenz Trajectories. Atmosphere. 2021; 12(6):781. https://doi.org/10.3390/atmos12060781
Chicago/Turabian StyleDa, Chaojiu, Binglu Shen, Jian Song, Cairang Xaiwu, and Guolin Feng. 2021. "Abrupt Change Detection Method Based on Features of Lorenz Trajectories" Atmosphere 12, no. 6: 781. https://doi.org/10.3390/atmos12060781
APA StyleDa, C., Shen, B., Song, J., Xaiwu, C., & Feng, G. (2021). Abrupt Change Detection Method Based on Features of Lorenz Trajectories. Atmosphere, 12(6), 781. https://doi.org/10.3390/atmos12060781

