Air Quality during New Year’s Eve: A Biomonitoring Study with Moss
Abstract
:1. Introduction
2. Materials and Methods
2.1. Materials
2.2. Methods
2.3. Quality Control
| Metal | IDL | IQL |
|---|---|---|
| Ni | 0.0043 | 0.050 |
| Cu | 0.0045 | 0.033 |
| Zn | 0.0033 | 0.010 |
| Cd | 0.0028 | 0.013 |
| Pb | 0.0130 | 0.070 |
2.4. Statistical Analysis of Data
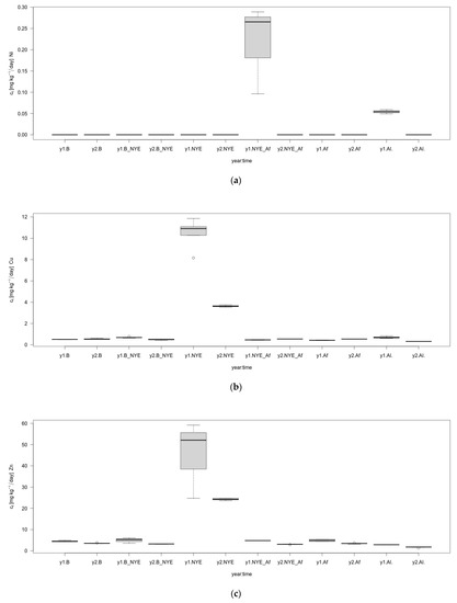
3. Results
4. Discussion
5. Conclusions
Supplementary Materials
Author Contributions
Funding
Institutional Review Board Statement
Informed Consent Statement
Data Availability Statement
Conflicts of Interest
References
- Leśniok, M.R.; Caputa, Z.A. The role of atmospheric circulation in air pollution distribution in Katowice Region (Southern Poland). Int. J. Environ. Waste Manag. 2009, 4, 62–74. [Google Scholar] [CrossRef]
- Łowicki, D. Landscape pattern as an indicator of urban air pollution of particulate matter in Poland. Ecol. Indic. 2019, 97, 17–24. [Google Scholar] [CrossRef]
- Tainio, M.; Juda-Rezler, K.; Reizer, M.; Warchałowski, A.; Trapp, W.; Skotak, K. Future climate and adverse health effects caused by fine particulate matter air pollution: Case study for Poland. Reg. Environ. Chang. 2013, 13, 705–715. [Google Scholar] [CrossRef] [Green Version]
- Wielgosinski, G.; Czerwinska, J. Smog Episodes in Poland. Atmosphere 2020, 11, 277. [Google Scholar] [CrossRef] [Green Version]
- Mikrut, M.; Macyk, W.; van Eldik, R.; Stochel, G. Physicochemical analysis of water extracts of particulate matter from polluted air in the area of Kraków, Poland. Atmosphere 2021, 12, 565. [Google Scholar] [CrossRef]
- Traczyk, P.; Gruszecka-Kosowska, A. The condition of air pollution in kraków, poland, in 2005–2020, with health risk assessment. Int. J. Environ. Res. Public Health 2020, 17, 6063. [Google Scholar] [CrossRef]
- Gruszecka-Kosowska, A. Deposited Particulate Matter Enrichment in Heavy Metals and Related Health Risk: A Case Study of Krakow, Poland. Proceedings 2019, 44, 1. [Google Scholar] [CrossRef] [Green Version]
- Wiśniewska, K.; Lewandowska, A.U.; Staniszewska, M. Air quality at two stations (Gdynia and Rumia) located in the region of Gulf of Gdansk during periods of intensive smog in Poland. Air Qual. Atmos. Health 2019, 12, 879–890. [Google Scholar] [CrossRef] [Green Version]
- Kobza, J.; Geremek, M.; Dul, L. Characteristics of air quality and sources affecting high levels of PM10 and PM2.5 in Poland, Upper Silesia urban area. Environ. Monit. Assess. 2018, 190, 1–13. [Google Scholar] [CrossRef] [PubMed] [Green Version]
- Mądziel, M.; Campisi, T.; Jaworski, A.; Tesoriere, G. The Development of Strategies to Reduce Exhaust Emissions from Passenger Cars in Rzeszow City—Poland. A Preliminary Assessment of the Results Produced by the Increase of E-Fleet. Energies 2021, 14, 1046. [Google Scholar] [CrossRef]
- Chambers, S.D.; Podstawczy, A. Improved method for characterising temporal variability in urban air quality part II: Particulate matter and precursors in central Poland. Atmos. Environ. 2019, 219, 117040. [Google Scholar] [CrossRef]
- Jabłońska, M.; Janeczek, J. Identification of industrial point sources of airborne dust particles in an urban environment by a combined mineralogical and meteorological analyses: A case study from the Upper Silesian conurbation, Poland. Atmos. Pollut. Res. 2019, 10, 980–988. [Google Scholar] [CrossRef]
- Baghani, A.N.; Sorooshian, A.; Heydari, M.; Sheikhi, R.; Golbaz, S.; Ashournejad, Q.; Kermani, M.; Golkhorshidi, F.; Barkhordari, A.; Jafari, A.J.; et al. A case study of BTEX characteristics and health effects by major point sources of pollution during winter in Iran. Environ. Pollut. 2019, 247, 607–617. [Google Scholar] [CrossRef]
- Pongpiachan, S.; Iijima, A.; Cao, J. Hazard quotients, hazard indexes, and cancer risks of toxic metals in PM10 during firework displays. Atmosphere 2018, 9, 144. [Google Scholar] [CrossRef] [Green Version]
- Drewnick, F.; Hings, S.S.; Curtius, J.; Eerdekens, G.; Williams, J. Measurement of fine particulate and gas-phase species during the New Year’s fireworks 2005 in Mainz, Germany. Atmos. Environ. 2006, 40, 4316–4327. [Google Scholar] [CrossRef]
- Resmi, C.T.; Nishanth, T.; Satheesh Kumar, M.K.; Balachandramohan, M.; Valsaraj, K.T. Temporal changes in air quality during a festival season in Kannur, India. Atmosphere 2019, 10, 137. [Google Scholar] [CrossRef] [Green Version]
- Tanda, S.; Ličbinský, R.; Hegrová, J.; Goessler, W. Impact of New Year’s Eve fireworks on the size resolved element distributions in airborne particles. Environ. Int. 2019, 128, 371–378. [Google Scholar] [CrossRef] [PubMed]
- Wang, Y.; Zhuang, G.; Xu, C.; An, Z. The air pollution caused by the burning of fireworks during the lantern festival in Beijing. Atmos. Environ. 2007, 41, 417–431. [Google Scholar] [CrossRef]
- Hu, X.; Yin, Y.; Duan, L.; Wang, H.; Song, W.; Xiu, G. Temporal and spatial variation of PM2.5 in Xining, Northeast of the Qinghai-Xizang (Tibet) Plateau. Atmosphere 2020, 11, 953. [Google Scholar] [CrossRef]
- Vecchi, R.; Bernardoni, V.; Cricchio, D.; D’Alessandro, A.; Fermo, P.; Lucarelli, F.; Nava, S.; Piazzalunga, A.; Valli, G. The impact of fireworks on airborne particles. Atmos. Environ. 2008, 42, 1121–1132. [Google Scholar] [CrossRef]
- Chen, S.; Chen, Y.; Lei, Z.; Tan-Soo, J.S. Impact of air pollution on short-term movements: Evidence from air travels in China. J. Econ. Geogr. 2021, 20, 939–968. [Google Scholar] [CrossRef]
- Đurić, M.; Vujović, D. Short-term forecasting of air pollution index in Belgrade, Serbia. Meteorol. Appl. 2020, 27, 1–15. [Google Scholar] [CrossRef]
- Svozilík, V.; Krakovská, A.S.; Bitta, J.; Jančík, P. Comparison of the Air Pollution Mathematical Model of PM 10 and Moss Biomonitoring Results in the Tritia Region. Atmosphere 2021, 12, 656. [Google Scholar] [CrossRef]
- Vuković, G.; Aničić Uroševic, M.; Razumenić, I.; Kuzmanoski, M.; Pergal, M.; Škrivanj, S.; Popović, A. Air quality in urban parking garages (PM10, major and trace elements, PAHs): Instrumental measurements vs. active moss biomonitoring. Atmos. Environ. 2013, 85, 31–40. [Google Scholar] [CrossRef]
- Ares, A.; Aboal, J.R.; Carballeira, A.; Giordano, S.; Adamo, P.; Fernández, J.A. Moss bag biomonitoring: A methodological review. Sci. Total Environ. 2012, 432, 143–158. [Google Scholar] [CrossRef]
- Ștefănuț, S.; Öllerer, K.; Manole, A.; Ion, M.C.; Constantin, M.; Banciu, C.; Maria, G.M.; Florescu, L.I. National environmental quality assessment and monitoring of atmospheric heavy metal pollution—A moss bag approach. J. Environ. Manag. 2019, 248, 109224. [Google Scholar] [CrossRef] [PubMed]
- Markert, B. From biomonitoring to integrated observation of the environment—The multi-markered bioindication concept. Ecol. Chem. Eng. 2008, 15, 315–333. [Google Scholar]
- Boquete, M.T.; Aboal, J.R.; Carballeira, A.; Fernández, J.A. Do mosses exist outside of Europe? A biomonitoring reflection. Sci. Total Environ. 2017, 593, 567–570. [Google Scholar] [CrossRef]
- Tretiach, M.; Adamo, P.; Bargagli, R.; Baruffo, L.; Carletti, L.; Crisafulli, P.; Giordano, S.; Modenesi, P.; Orlando, S.; Pittao, E. Lichen and moss bags as monitoring devices in urban areas. Part I: Influence of exposure on sample vitality. Environ. Pollut. 2007, 146, 380–391. [Google Scholar] [CrossRef] [PubMed]
- Capozzi, F.; Sorrentino, M.C.; Di Palma, A.; Mele, F.; Arena, C.; Adamo, P.; Spagnuolo, V.; Giordano, S. Implication of vitality, seasonality and specific leaf area on PAH uptake in moss and lichen transplanted in bags. Ecol. Indic. 2020, 108, 105727. [Google Scholar] [CrossRef]
- Cesa, M.; Nimis, P.L.; Buora, C.; Lorenzonetto, A.; Pozzobon, A.; Raris, M.; Rosa, M.; Salvadori, M. Moss bags as sentinels for human safety in mercury-polluted groundwaters. Environ. Sci. Pollut. Res. 2014, 21, 6714–6722. [Google Scholar] [CrossRef]
- Arndt, J.; Planer-Friedrich, B. Moss bag monitoring as screening technique to estimate the relevance of methylated arsine emission. Sci. Total Environ. 2018, 610, 1590–1594. [Google Scholar] [CrossRef]
- Debén, S.; Fernández, J.A.; Carballeira, A.; Aboal, J.R. Using devitalized moss for active biomonitoring of water pollution. Environ. Pollut. 2016, 210, 315–322. [Google Scholar] [CrossRef] [PubMed]
- Cesa, M.; Bertossi, A.; Cherubini, G.; Gava, E.; Mazzilis, D.; Piccoli, E.; Verardo, P.; Nimis, P.L. Development of a standard protocol for monitoring trace elements in continental waters with moss bags: Inter- and intraspecific differences. Environ. Sci. Pollut. Res. 2015, 22, 5030–5040. [Google Scholar] [CrossRef]
- Bowden, J.A.; Nocito, B.A.; Lowers, R.H.; Guillette, L.J.; Williams, K.R.; Young, V.Y. Environmental indicators of metal pollution and emission: An experiment for the instrumental analysis laboratory. J. Chem. Educ. 2012, 89, 1057–1060. [Google Scholar] [CrossRef]
- Içel, Y.; Çobanoǧlu, G. Biomonitoring of atmospheric heavy metal pollution using lichens and mosses in the city of Istanbul, Turkey. Fresenius Environ. Bull. 2009, 18, 2066–2071. [Google Scholar]
- ICP Vegetation. Heavy Metals, Nitrogen and Pops in European Mosses: 2020 Survey. 2020. Available online: https://icpvegetation.ceh.ac.uk/sites/default/files/ICP%20Vegetation%20moss%20monitoring%20manual%202020.pdf (accessed on 27 July 2021).
- Świsłowski, P.; Kosior, G.; Rajfur, M. The influence of preparation methodology on the concentrations of heavy metals in Pleurozium schreberi moss samples prior to use in active biomonitoring studies. Environ. Sci. Pollut. Res. 2021, 28, 10068–10076. [Google Scholar] [CrossRef]
- Zinicovscaia, I.; Urošević, M.A.; Vergel, K.; Vieru, E.; Frontasyeva, M.V.; Povar, I.; Duca, G. Active Moss Biomonitoring of Trace Elements Air Pollution in Chisinau, Republic of Moldova. Ecol. Chem. Eng. 2018, 25, 361–372. [Google Scholar] [CrossRef] [Green Version]
- Šraj Kržič, N.; Gaberščik, A. Photochemical efficiency of amphibious plants in an intermittent lake. Aquat. Bot. 2005, 83, 281–288. [Google Scholar] [CrossRef]
- Rajfur, M.; Kłos, A.; Wacławek, M. Kinetyka sorpcji jonów Hg2+ Na glonach Spirogyra sp. (kinetics of Hg2+ ions sorption on algae Spirogyra sp.). Proc. ECOpole 2011, 5, 589–594. [Google Scholar]
- Kłos, A.; Ziembik, Z.; Rajfur, M.; Dołhańczuk-Sródka, A.; Bochenek, Z.; Bjerke, J.W.; Tømmervik, H.; Zagajewski, B.; Ziółkowski, D.; Jerz, D.; et al. The Origin of Heavy Metals and Radionuclides Accumulated in the Soil and Biota Samples Collected in Svalbard, Near Longyearbyen. Ecol. Chem. Eng. 2017, 24, 223–228. [Google Scholar] [CrossRef] [Green Version]
- Thermo Fisher Scientific Inc. iCE 3000 Series AA Spectrometers Operator’s Manual. Available online: http://photos.labwrench.com/equipmentManuals/9291-6306.pdf (accessed on 28 July 2021).
- Gibbons, J.D.; Chakraborti, S. Nonparametric Statistical Inference, Revised and Expanded, 4th ed.; CRC Press: Boca Raton, FL, USA, 2014; ISBN 0203911563. [Google Scholar]
- R Core Team. R: A Language and Environment for Statistical Computing; R Core Team: Vienna, Austria, 2021. [Google Scholar]
- Słonina, N.; Świsłowski, P.; Rajfur, M. Passive and active biomonitoring of atmospheric aerosol with the use of mosses. The research methodology. Ecol. Chem. Eng. 2021, 28, 163–172. [Google Scholar]
- Kosior, G.; Samecka-Cymerman, A.; Kolon, K.; Kempers, A.J. Bioindication capacity of metal pollution of native and transplanted Pleurozium schreberi under various levels of pollution. Chemosphere 2010, 81, 321–326. [Google Scholar] [CrossRef]
- Institute of Meteorology and Water Management. Available online: https://dane.imgw.pl (accessed on 27 July 2021).
- Motyka, O.; Macečková, B.; Seidlerová, J.; Krejčí, B. Environmental factors affecting trace metal accumulation in two moss species. Carpath. J. Earth Environ. Sci. 2015, 10, 57–63. [Google Scholar]
- Samecka-Cymerman, A.; Kosior, G.; Kolon, K.; Wojtuń, B.; Zawadzki, K.; Rudecki, A.; Kempers, A.J. Pleurozium schreberi as bioindicator of mercury pollution in heavily industrialized region. J. Atmos. Chem. 2013, 70, 105–144. [Google Scholar] [CrossRef] [Green Version]
- Cesa, M.; Campisi, B.; Bizzotto, A.; Ferraro, C.; Fumagalli, F.; Nimis, P.L. A factor influence study of trace element bioaccumulation in moss bags. Arch. Environ. Contam. Toxicol. 2008, 55, 386–396. [Google Scholar] [CrossRef]
- Giani, P.; Castruccio, S.; Anav, A.; Howard, D.; Hu, W.; Crippa, P. Short-term and long-term health impacts of air pollution reductions from COVID-19 lockdowns in China and Europe: A modelling study. Lancet Planet. Health 2020, 4, e474–e482. [Google Scholar] [CrossRef]
- Skirienė, A.F.; Stasiškienė, Ž. COVID-19 and air pollution: Measuring pandemic impact to air quality in five European countries. Atmosphere 2021, 12, 290. [Google Scholar] [CrossRef]
- Yushin, N.; Chaligava, O.; Zinicovscaia, I.; Grozdov, D.; Vergel, K. Mosses as bioindicators of heavy metal air pollution in the lockdown period adopted to cope with the COVID-19 pandemic. Atmosphere 2020, 11, 1194. [Google Scholar] [CrossRef]
- Lin, Y.; Wang, J. Concentrations, enrichment, and sources of metals in PM2.5 in Beijing during winter. Air Qual. Atmos. Health 2020, 13, 5–14. [Google Scholar] [CrossRef]
- Fu, H.; Yang, Z.; Liu, Y.; Shao, P. Ecological and human health risk assessment of heavy metals in dust affected by fireworks during the Spring Festival in Beijing. Air Qual. Atmos. Health 2021, 14, 139–148. [Google Scholar] [CrossRef]
- Do, T.M.; Wang, C.F.; Hsieh, Y.K.; Hsieh, H.F. Metals present in ambient air before and after a firework festival in Yanshui, Tainan, Taiwan. Aerosol Air Qual. Res. 2012, 12, 981–993. [Google Scholar] [CrossRef]
- Vuković, G.; Urošević, M.A.; Škrivanj, S.; Vergel, K.; Tomašević, M.; Popović, A. The first survey of airborne trace elements at airport using moss bag technique. Environ. Sci. Pollut. Res. 2017, 24, 15107–15115. [Google Scholar] [CrossRef] [PubMed]
- Kłos, A.; Rajfur, M.; Šrámek, I.; Wacławek, M. Mercury concentration in lichen, moss and soil samples collected from the forest areas of Praded and Glacensis Euroregions (Poland and Czech Republic). Environ. Monit. Assess. 2012, 184, 6765–6774. [Google Scholar] [CrossRef] [PubMed] [Green Version]
- Henriques, F.S. Leaf chlorophyll fluorescence: Background and fundamentals for plant biologists. Bot. Rev. 2009, 75, 249–270. [Google Scholar] [CrossRef]
- Sutter, K.; Jung, K.; Krauss, G.-J. Effects of Heavy Metals on the Nitrogen Metabolism of the. Environ. Sci. Pollut. Res. 2002, 9, 417–421. [Google Scholar] [CrossRef] [PubMed]
- Bellini, E.; Maresca, V.; Betti, C.; Castiglione, M.R.; Fontanini, D.; Capocchi, A.; Sorce, C.; Borsò, M.; Bruno, L.; Sorbo, S.; et al. The moss Leptodictyum riparium counteracts severe cadmium stress by activation of glutathione transferase and phytochelatin synthase, but slightly by phytochelatins. Int. J. Mol. Sci. 2020, 21, 1583. [Google Scholar] [CrossRef] [PubMed] [Green Version]
- Yamakawa, H.; van Stokkum, I.H.M.; Heber, U.; Itoh, S. Mechanisms of drought-induced dissipation of excitation energy in sun- and shade-adapted drought-tolerant mosses studied by fluorescence yield change and global and target analysis of fluorescence decay kinetics. Photosynth. Res. 2018, 135, 285–298. [Google Scholar] [CrossRef] [Green Version]
- Williams, T.G.; Flanagan, L.B. Measuring and modelling environmental influences on photosynthetic gas exchange in Sphagnum and Pleurozium. Plant. Cell Environ. 1998, 21, 555–564. [Google Scholar] [CrossRef]
- Kangas, L.; Maanavilja, L.; Hájek, T.; Juurola, E.; Chimner, R.A.; Mehtätalo, L.; Tuittila, E.S. Photosynthetic traits of Sphagnum and feather moss species in undrained, drained and rewetted boreal spruce swamp forests. Ecol. Evol. 2014, 4, 381–396. [Google Scholar] [CrossRef]
- Hájek, T.; Tuittila, E.S.; Ilomets, M.; Laiho, R. Light responses of mire mosses—A key to survival after water-level drawdown? Oikos 2009, 118, 240–250. [Google Scholar] [CrossRef]
- Zhang, Y.; Zhou, X.; Yin, B.; Downing, A. Sensitivity of the xerophytic moss Syntrichia caninervis to prolonged simulated nitrogen deposition. Ann. Bot. 2016, 117, 1153–1161. [Google Scholar] [CrossRef] [PubMed] [Green Version]
- Świsłowski, P.; Rajfur, M.; Wacławek, M. Influence of Heavy Metal Concentration on Chlorophyll Content in Pleurozium schreberi Mosses. Ecol. Chem. Eng. 2020, 27, 591–601. [Google Scholar] [CrossRef]




| BCR-482 Lichen | AAS (n = 5) | Dev. ** | |||
|---|---|---|---|---|---|
| Metal | Concentration | Measurement Uncertainty | Average | ±SD * of the Concentrations | |
| [mg/kg dm] | [%] | ||||
| Ni | 2.47 | 0.07 | 2.16 | 0.32 | −13.0 |
| Cu | 7.03 | 0.19 | 6.63 | 0.17 | −5.70 |
| Zn | 100.6 | 2.20 | 95.1 | 2.30 | −5.50 |
| Cd | 0.56 | 0.02 | 0.53 | 0.03 | −5.30 |
| Pb | 40.9 | 1.40 | 38.2 | 1.00 | −6.60 |
| Ni | Cu | Zn | Cd | Pb | Hg | |
|---|---|---|---|---|---|---|
| min | <1.25 | 5.48 | 38.2 | <0.325 | 2.50 | 0.0201 |
| ql | <1.25 | 7.13 | 48.6 | <0.325 | 3.04 | 0.0357 |
| ME | <1.25 | 7.66 | 50.5 | <0.325 | 3.50 | 0.0406 |
| mean | 1.45 | 10.9 | 57.7 | 0.390 | 7.09 | 0.0394 |
| qu | <1.25 | 11.8 | 58.5 | 0.473 | 9.80 | 0.0443 |
| max | 4.62 | 25.0 | 118 | 0.608 | 23.4 | 0.0561 |
| SD | 0.71 | 5.92 | 16.9 | 0.110 | 6.06 | 0.0081 |
| n | 39 | 43 | 43 | 43 | 43 | 43 |
| B | B_NYE | NYE | NYE_Af | Af | |
|---|---|---|---|---|---|
| B_NYE | x | − | − | − | − |
| NYE | x | x | − | − | − |
| NYE_Af | 0.093 | 0.093 | 0.093 | − | − |
| Af | x | x | x | 0.146 | − |
| Al. | 0.093 | 0.093 | 0.093 | 1.000 | 0.146 |
| Metal | 2019/2020 | 2020/2021 | ||||||||||
|---|---|---|---|---|---|---|---|---|---|---|---|---|
| B | B_NYE | NYE | NYE_Af | Af | Al. | B | B_NYE | NYE | NYE_Af | Af | Al. | |
| Ni | n.d. | n.d. | n.d. | 1.78 | n.d. | 0.30 | n.d. | n.d. | n.d. | n.d. | n.d. | n.d. |
| Cu | 0.21 | 0.90 | 2.57 | 0.25 | 0.01 | 2.59 | 0.21 | 0.20 | 0.13 | 0.36 | 0.18 | 0.48 |
| Zn | 0.19 | 0.48 | 0.70 | 0.43 | 0.28 | 0.60 | 0.15 | 0.20 | 0.13 | 0.14 | 0.12 | 0.16 |
| Cd | n.d. | n.d. | n.d. | 0.03 | 0.05 | 0.14 | n.d. | n.d. | n.d. | 0.78 | n.d. | 0.68 |
| Hg | 0.19 | 0.24 | 0.11 | 0.01 | 0.05 | 0.06 | 0.27 | 0.23 | 0.16 | 0.85 | 0.99 | 1.37 |
| Pb | 1.09 | 0.64 | 1.44 | 0.62 | 0.93 | 0.08 | 0.32 | 0.37 | 0.50 | 0.78 | 0.46 | 1.77 |
| Parameter | Fs | Fms | Y(II) | Ft |
|---|---|---|---|---|
| Exposure Period | Average ± SD | |||
| control | 113 ± 27.7 | 158 ± 49.1 | 0.273 ± 0.07 | 107 ± 26.1 |
| B | 125 ± 25.0 | 144 ± 30.7 | 0.125 ± 0.03 | 124 ± 24.9 |
| B_NYE | 128 ± 16.8 | 264 ± 96.3 | 0.509 ± 0.11 | 117 ± 16.1 |
| NYE | 137 ± 28.8 | 214 ± 77.9 | 0.332 ± 0.11 | 133 ± 25.5 |
| NYE_Af | 107 ± 10.4 | 139 ± 14.0 | 0.224 ± 0.08 | 105 ± 10.1 |
| Af | 112 ± 20.2 | 138 ± 26.8 | 0.184 ± 0.07 | 110 ± 19.9 |
| Al. | 115 ± 39.1 | 161 ± 74.5 | 0.257 ± 0.11 | 115 ± 36.3 |
Publisher’s Note: MDPI stays neutral with regard to jurisdictional claims in published maps and institutional affiliations. |
© 2021 by the authors. Licensee MDPI, Basel, Switzerland. This article is an open access article distributed under the terms and conditions of the Creative Commons Attribution (CC BY) license (https://creativecommons.org/licenses/by/4.0/).
Share and Cite
Świsłowski, P.; Ziembik, Z.; Rajfur, M. Air Quality during New Year’s Eve: A Biomonitoring Study with Moss. Atmosphere 2021, 12, 975. https://doi.org/10.3390/atmos12080975
Świsłowski P, Ziembik Z, Rajfur M. Air Quality during New Year’s Eve: A Biomonitoring Study with Moss. Atmosphere. 2021; 12(8):975. https://doi.org/10.3390/atmos12080975
Chicago/Turabian StyleŚwisłowski, Paweł, Zbigniew Ziembik, and Małgorzata Rajfur. 2021. "Air Quality during New Year’s Eve: A Biomonitoring Study with Moss" Atmosphere 12, no. 8: 975. https://doi.org/10.3390/atmos12080975
APA StyleŚwisłowski, P., Ziembik, Z., & Rajfur, M. (2021). Air Quality during New Year’s Eve: A Biomonitoring Study with Moss. Atmosphere, 12(8), 975. https://doi.org/10.3390/atmos12080975

