Improving S-Band Polarimetric Radar Monsoon Rainfall Estimation with Two-Dimensional Video Disdrometer Observations in South China
Abstract
:1. Introduction
2. Data and Quality Control
2.1. S-Band Polarimetric Radar
- (1)
- Based on research of textural characteristics of meteorological radar echoes and non-meteorological echoes [25,26], non-meteorological echoes such as ground clutters, biological echoes and anomalous propagation were removed under restrictive conditions including SD(φDP) > 5°, SD(ZDR) > 1 dB and CC < 0.9. Therefore, the interference of ground clutter to QPE can be effectively suppressed. Progressive beam broadening and stronger impact of nonuniform beam filling (NBF) are the reasons the quality of polarimetric information deteriorates with range. So, this paper selects these samples at elevations of 1.5° within a range of 5–100 km from the radars.
- (2)
- For ZH and ZDR, the median filter and moving average of 5 range bins along the radial direction were used to eliminate outliers and reduce random fluctuations. ZH was effectively calibrated in the metal ball experiment [27]. The micro-raindrop technique was used to perorm quality control of ZDR [28,29]. Considering that ZDR is closely related to SNR (Signal Noise Ratio), SNR ≥ 15 is used in the present study to eliminate serious random errors of ZDR in the low SNR region.
- (3)
- In order to improve the capability for estimating strong precipitation, the present study sought to improve the quality control effect of φDP using the linear programming (LP) method [30], which was proposed by Giangrande et al. [31]. The φDP should be cumulatively increased and KDP is not negative in the rainfall location.
2.2. DSD Measurements
2.3. Rain Gauge
- (1)
- One of the estimated values and the observed value is null;
- (2)
- The data of partial beam blockage (PBB) in the radial direction of the radar;
- (3)
2.4. Monsoon Rainfall Events
2.5. Assessing the Accuracy of QPE Algorithms
3. Establish QPE Algorithm
3.1. QPE Algorithm Based on DSD Measurements
3.2. QPE Performance in ZH-ZDR Space
- (1)
- The performance of R(ZH) is relatively stable in the case of weak echo. With the enhancement of ZH and the increase of ZDR, the QPE accuracy becomes unstable due to the DSD of precipitation particles, so it is inapplicable to strong precipitation estimation;
- (2)
- Compared with R(ZH), the polarization variable ZDR is introduced into R(ZH, ZDR), which can reduce the error caused by big raindrops to a certain extent;
- (3)
- The performance of R(KDP) and R(KDP, ZDR) is better than that of R(ZH) and R(ZH, ZDR) in heavy rainfall. When the concentration of big raindrops is higher, the performance of R(KDP, ZDR) is slightly better than that of R(KDP).
3.3. Establishment of the 2DVD-SCM Composite Estimation Algorithm
4. Comparison of the Single and Composite QPE Algorithms
4.1. Typical Rainfall Event
4.2. All Rainfall Events
5. Comparison of the 2DVD-SCM QPE Algorithm with Three Typical QPE Algorithms
6. Conclusions and Discussions
- (1)
- In order to obtain accurate polarimetric radar QPE for monsoon rainfall systems in South China, the rainfall estimators of R(ZH), R(ZH, ZDR), R(KDP), and R(KDP, ZDR) were constructed from 2DVD DSD observations and the polarimetric radar simulator in the monsoon season of 2017 and 2018. None of the rainfall estimators can accurately estimate precipitation in all rain rate situations. The R(ZH) and R(ZH, ZDR) have better performances in light rain situations compared with R(KDP) and R(KDP, ZDR), but worse performances in heavy rainfall situations.
- (2)
- The hourly rainfall estimation normalized errors of R(ZH), R(ZH, ZDR), R(KDP), and R(KDP, ZDR) in eight monsoon events were analyzed in the ZH-ZDR space. To improve the performance of QPE, the thresholds of ZH and ZDR were obtained for composite QPE algorithm R(C) (2DVD-SCM). Evaluation results show that the R(C) has obviously lower (higher) NE and RMSE (CC) values compared to a single rainfall estimator.
- (3)
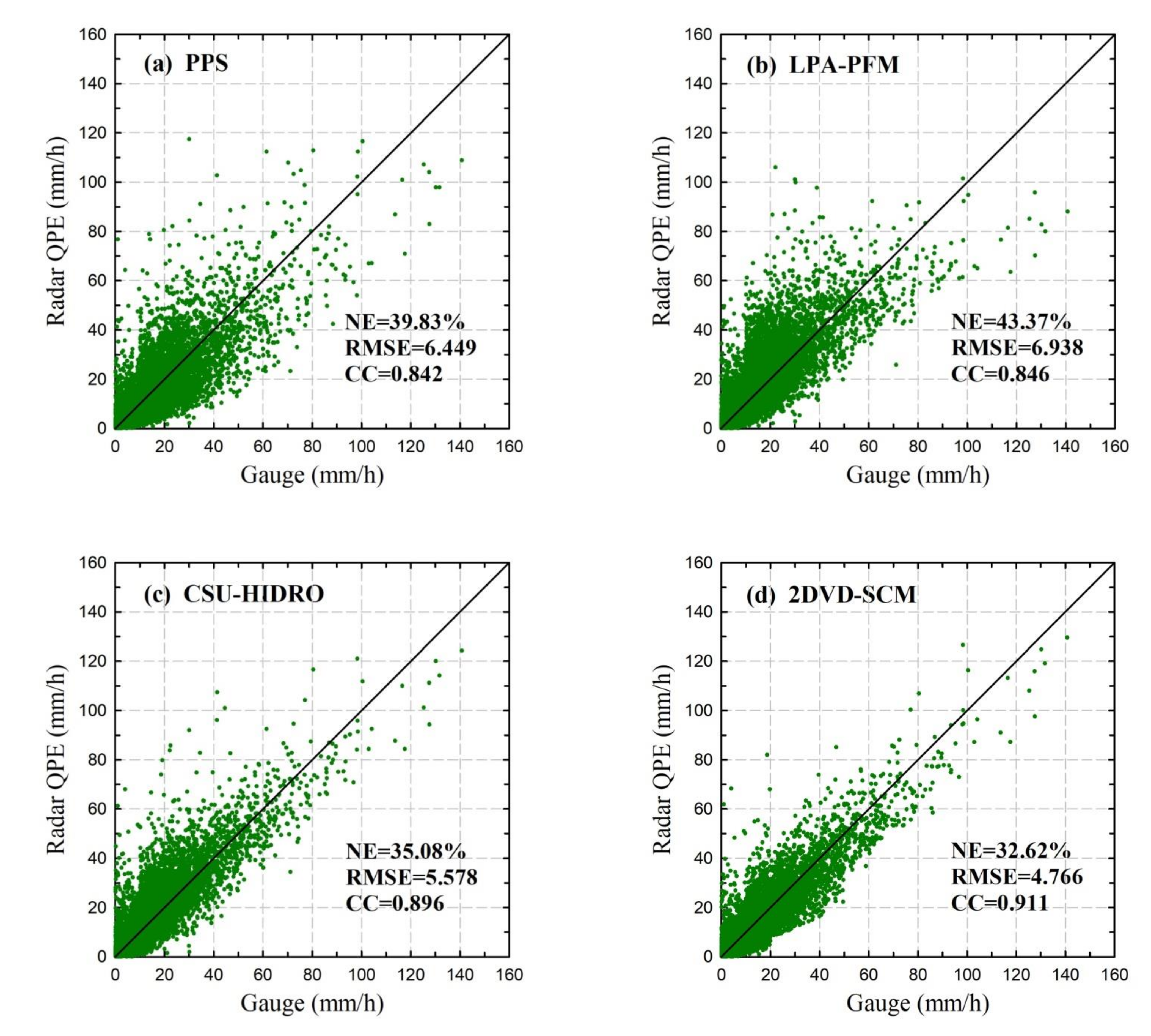
- Compared with existing PPS, LPA-PFM, and CSU-HIDRO algorithms, 2DVD-SCM has the best performances in most monsoon rainfall events. The NE and RMSE (CC) values of 2DVD-SCM are as low (high) as 32.62% and 4.766 mm (0.911) in all eight rainfall events, which are remarkably better than the existing three QPE algorithms. The 2DVD-SCM algorithm has the best performances in each hourly rainfall accumulation category.
Author Contributions
Funding
Institutional Review Board Statement
Informed Consent Statement
Data Availability Statement
Acknowledgments
Conflicts of Interest
References
- Ding, Y.H. Monsoons over China; Kluwer Academic Publishers: Amsterdam, The Netherlands, 1994; 419p. [Google Scholar]
- Luo, Y.; Zhang, R.; Wan, Q.; Wang, B.; Wong, W.K.; Hu, Z.; Jou, B.J.D.; Lin, Y.; Johnson, R.H.; Chang, C.P.; et al. The Southern China monsoon rainfall experiment (SCMREX). Bull. Am. Meteor. Soc. 2017, 98, 999–1013. [Google Scholar] [CrossRef]
- Ryzhkov, A.V.; Giangrande, S.E.; Schuur, T.J. Rainfall estimation with a polarimetric prototype of WSR–88D. J. Appl. Meteorol. 2005, 44, 502–515. [Google Scholar] [CrossRef] [Green Version]
- Bringi, V.N.; Chandrasekar, V. Polarimetric Doppler Weather Radar: Principles and Applications; Cambridge University Press: Cambridge, UK, 2001; ISBN 1139429469. [Google Scholar]
- You, C.H.; Kang, M.Y.; Hwang, Y.; Yee, J.J.; Jang, M.; Lee, D.I. A statistical approach to radar rainfall estimates using polarimetric variables. Atmos. Res. 2018, 209, 65–75. [Google Scholar] [CrossRef]
- Berkowitz, D.S.; Schultz, J.A.; Vasiloff, S.; Elmore, K.L.; Payne, C.D.; Boettcher, J.B. Status of dual pol QPE in the WSR-88D network. In Proceedings of the 93th AMS, 27thConference on Hydrology, Austin, TX, USA, 5–10 January 2013. [Google Scholar]
- Chen, G.; Zhao, K.; Zhang, G.; Huang, H.; Liu, S.; Wen, L.; Yang, Z.L.; Yang, Z.W.; Xu, L.; Zhu, W. Improving polarimetric c–band radar rainfall estimation with two–dimensional video disdrometer observations in eastern China. J. Hydrometeorol. 2017, 18, 1375–1391. [Google Scholar] [CrossRef]
- Liu, X.; Wan, Q.; Wang, H.; Xiao, H.; Zhang, Y.; Zheng, T.; Feng, L. Raindrop Size Distribution Parameters Retrieved from Guangzhou S-band Polarimetric Radar Observations. J. Meteorol. Res. 2018, 32, 571–583. [Google Scholar] [CrossRef]
- Ryzhkov, A.V.; Zrnic, D.S. Discrimination between rain and snow with a polarimetric radar. J. Appl. Meteorol. 1998, 37, 1228–1240. [Google Scholar] [CrossRef]
- Brandes, E.A.; Ryzhkov, R.V.; Zrnic, D.S. An evaluation of radar rainfall estimates from specific differential phase. J. Atmos. Ocean. Technol. 2001, 18, 363–375. [Google Scholar] [CrossRef]
- Bringi, V.N.; Rico-Ramirez, M.A.; Thurai, M. Rainfall estimation with an operational polarimetric C-band radar in the United Kingdom: Comparison with a gauge network and error analysis. J. Hydrometeorol. 2011, 12, 935–954. [Google Scholar] [CrossRef]
- Zhang, Y.; Liu, L.; Wen, H.; Wu, C.; Zhang, Y. Evaluation of the Polarimetric-Radar Quantitative Precipitation Estimates of an Extremely Heavy Rainfall Event and Nine Common Rainfall Events in Guangzhou. J. Atmos. 2018, 9, 330. [Google Scholar] [CrossRef] [Green Version]
- Zhang, Y.; Liu, L.; He, J.; Wen, H. Application of raindrop size distribution data from a disdrometer network to quantitative precipitation estimation. Torr. Rain Dis. 2016, 35, 173–181. [Google Scholar]
- Rosenfeld, D.; Ulbrich, C.W. Cloud microphysical properties, processes, and rainfall estimation opportunities. In Radar and Atmospheric Science: A Collection of Essays in Honor of David Atlas; American Meteorological Society: Boston, MA, USA, 2003; pp. 237–258. [Google Scholar]
- Zhang, G.; Sun, J.; Brandes, E.A. Improving parameterization of rain microphysics with disdrometer and radar observations. J. Atmos. Sci. 2006, 63, 1273–1290. [Google Scholar] [CrossRef] [Green Version]
- Cao, Q.; Zhang, G.; Brandes, E.A.; Schuur, T.J. Polarimetric radar rain estimation through retrieval of drop size distribution using a Bayesian approach. J. Appl. Meteorol. Climatol. 2010, 49, 973–990. [Google Scholar] [CrossRef]
- Cifelli, R.; Chandrasekar, V.; Lim, S.; Kennedy, P.C.; Wang, Y.; Rutledge, S.A. A new dual-polarization radar rainfall algorithm: Application in Colorado precipitation events. J. Atmos. Ocean. Technol. 2011, 28, 352–364. [Google Scholar] [CrossRef] [Green Version]
- Guo, J.; Wu, Y.; Luo, L.; Xiao, H. Improvement of the Quantitative Precipitation Estimation Algorithm Based on the CINRAD-SA Polarization Radar and Its Application Evaluation. J. Clim. Environ. Res. 2020, 25, 305–319. (In Chinese) [Google Scholar]
- Chen, H.; Chandrasekar, V.; Bechini, R. An improved dual-polarization radar rainfall algorithm (DROPS2.0): Application in NASA IFloodS Field Campaign. J. Hydrometeorol. 2017, 18, 917–937. [Google Scholar] [CrossRef]
- Ryzhkov, A.; Zrnic, D. Assessment of rainfall measurement that uses specific differential phase. J. Appl. Meteorol. 1996, 35, 2080–2090. [Google Scholar] [CrossRef]
- Cifelli, R.; Petersen, W.A.; Carey, L.D.; Rutledge, S.A.; da Silva Dias, M.A. Radar observations of the kinematic, microphysical, and precipitation characteristics of two MCSs in TRMM LBA. J. Geophys. Res. 2002, 107, 2156–22202. [Google Scholar]
- Wang, D.; Liu, L.; Wu, F. An optimization rainfall algorithm of s-band dual-polarization radar based on hydrometeor. J. Meteorol. Mon. 2017, 43, 1041–1051. [Google Scholar]
- Zhang, Y. Study on the quantitative precipitation estimation algorithm utilized with the operational dual-polarization radar network and automatic stations and its effect analysis. Chin. Acad. Meteorol. Sci. 2019, 15–35. [Google Scholar]
- Huang, H.; Zhao, K.; Zhang, G.; Giangrande, S. A hybrid method to estimate specific differential phase and rainfall with linear programming and physics constraints. IEEE Trans. Geosci. Remote Sens. 2016, 54, 1–16. [Google Scholar] [CrossRef]
- Giangrande, S.E.; Ryzhkov, A.V. Calibration of dual-polarization radar in the presence of partial beam blockage. J. Atmos. Ocean. Technol. 2005, 22, 1156–1166. [Google Scholar] [CrossRef] [Green Version]
- Huang, H. A research on optimization-based rainfall parameter retrieval using polarimetric radar data. Nanjing Univ. 2018, 12–36. [Google Scholar]
- Scarchilli, G.; Gorgucci, E.; Chandrasekar, V.; Dobaie, A. Selfconsistency of polarization diversity measurement of rainfall. IEEE Trans. Geosci. Remote Sens. 1996, 34, 22–26. [Google Scholar] [CrossRef] [Green Version]
- Lee, G.W. Sources of errors in rainfall measurements by polarimetric radar: Variability of drop size distributions, observational noise, and variation of relationships between R and polarimetric parameters. J. Atmos. Ocean. Technol. 2006, 23, 1005–1028. [Google Scholar] [CrossRef]
- Guo, Z.; Sun, Z.; Guo, J.; Li, F.; Bu, Z. A Method for Calibrating Zdr by Using Light Rain Echo in Volume Scan Data. In Proceedings of the 2019 International Conference on Meteorology Observations, Chengdu, China, 28–31 December 2020; pp. 1–3. [Google Scholar]
- Ma, J.; Chen, M.; Li, S.; Yang, M. Application of linear programming on quality control of differential propagation phase shift data for X-band dual linear polarimetric Doppler weather radar. Acta Meteorol. Sin. 2019, 77, 516–528. (In Chinese) [Google Scholar]
- Giangrande, S.E.; McGraw, R.; Lei, L. An application of linear programming to polarimetric radar differential phase processing. J. Atmos. Ocean. Technol. 2013, 30, 1716–1729. [Google Scholar] [CrossRef]
- Tokay, A.; Petersen, W.A.; Gatlin, P.; Wingo, M. Comparison of raindrop size distribution measurements by collocated disdrometers. J. Atmos. Ocean. Technol. 2013, 30, 1672–1690. [Google Scholar] [CrossRef]
- Wen, L.; Zhao, K.; Zhang, G.F.; Xue, M.; Zhou, B.W.; Liu, S.; Chen, X.C. Statistical characteristics of raindrop size distributions observed in East China during the Asian summer monsoon season using 2–D video disdrometer and Micro Rain Radar data. J. Geophys. Res. Atmos. 2016, 121, 2265–2282. [Google Scholar] [CrossRef] [Green Version]
- Feng, L.; Hu, S.; Liu, X.; Xiao, H.; Pan, X.; Xia, F.; Ou, G.; Zhang, C. Precipitation Microphysical Characteristics of Typhoon Mangkhut in Southern China Using 2D Video Disdrometers. Atmosphere 2020, 11, 975. [Google Scholar] [CrossRef]
- Wu, H.Y.; Li, Z.H.; Li, W.Y. Characteristics analysis of extremely severe precipitation based on regional automatic weather station in Guangdong. J. Meteorol. Mon. 2020, 46, 801–812. [Google Scholar]
- Lee, J.-S.; Grunes, M.R.; de Grandi, G. Polarimetric SAR speckle filtering and its implication for classification. IEEE Trans. Geosci. Remote Sens. 1999, 37, 2363–2373. [Google Scholar]
- Wang, H.; Wan, Q.L.; Yin, J.F.; Ding, W.Y. Application of the dual-polarization readr data in numerical modeling studies: Construction of the simulator. Acta Meteorol. Sin. 2016, 74, 229–243. [Google Scholar]
- Biondi, D.; Greco, A.; Luciano De Luca, D. Fixed-area vs storm-centered Areal Reduction factors: A Mediterranean case study. J. Hydrol. 2020, 595, 1–51. [Google Scholar] [CrossRef]
- Greco, A.; Luca, D.; Avolio, E. Heavy Precipitation Systems in Calabria Region (Southern Italy): High-Resolution Observed Rainfall and Large-Scale Atmospheric Pattern Analysis. Water 2020, 12, 1468. [Google Scholar] [CrossRef]











| Event | Period (UTC) | Total Time (h) | No. of Valued Gauges | Mean Gauge Accumulation (mm) | Max Gauge Accumulation (mm) | Max Gauge Hourly Accumulation (mm) |
|---|---|---|---|---|---|---|
| 1 | 11 July 2016 | 21 | 731 | 54.3 | 272.8 | 98.8 |
| 2 | 16–19 June 2017 | 38 | 1121 | 110.9 | 405.7 | 89.6 |
| 3 | 3–4 July 2017 | 21 | 206 | 69.0 | 655.9 | 104.1 |
| 4 | 23–24 July 2018 | 24 | 1246 | 48.3 | 274.3 | 63.3 |
| 5 | 28–31 August 2018 | 37 | 1236 | 167.7 | 614.3 | 103.5 |
| 6 | 24–29 May 2019 | 92 | 1316 | 148.3 | 672.8 | 122 |
| 7 | 21–22 May 2020 | 16 | 1377 | 53.5 | 402.2 | 140.8 |
| 8 | 30 May–2 June 2020 | 24 | 1221 | 77.5 | 646.1 | 98.1 |
| Event | Statistical Values | QPE Relation | ||||
|---|---|---|---|---|---|---|
| R(ZH) | R(ZH, ZDR) | R(KDP) | R(KDP, ZDR) | R(C) | ||
| 1 | NE (%) | 45.74 | 44.16 | 57.8 | 63.43 | 37.05 |
| RMSE (mm) | 7.166 | 6.751 | 8.750 | 10.573 | 5.330 | |
| CC | 0.833 | 0.829 | 0.764 | 0.712 | 0.884 | |
| 2 | NE (%) | 32.15 | 44.03 | 43.77 | 44.82 | 31.22 |
| RMSE (mm) | 5.061 | 5.927 | 5.701 | 5.916 | 4.855 | |
| CC | 0.858 | 0.845 | 0.856 | 0.854 | 0.874 | |
| 3 | NE (%) | 28.31 | 35.84 | 33.21 | 33.52 | 24.95 |
| RMSE (mm) | 5.866 | 6.474 | 5.642 | 5.713 | 4.780 | |
| CC | 0.908 | 0.904 | 0.927 | 0.925 | 0.945 | |
| 4 | NE (%) | 39.27 | 51.82 | 45.8 | 49.44 | 36.37 |
| RMSE (mm) | 5.032 | 6.292 | 6.631 | 7.869 | 4.553 | |
| CC | 0.867 | 0.835 | 0.723 | 0.674 | 0.868 | |
| 5 | NE (%) | 47.28 | 64.49 | 56.41 | 63.48 | 41.29 |
| RMSE (mm) | 5.762 | 7.126 | 7.477 | 9.685 | 4.647 | |
| CC | 0.845 | 0.820 | 0.739 | 0.663 | 0.881 | |
| 6 | NE (%) | 46.82 | 45.44 | 42.24 | 45.52 | 34.43 |
| RMSE (mm) | 6.821 | 7.613 | 5.790 | 6.596 | 4.635 | |
| CC | 0.854 | 0.839 | 0.853 | 0.831 | 0.894 | |
| 7 | NE (%) | 34.40 | 35.63 | 31.64 | 32.49 | 28.06 |
| RMSE (mm) | 7.227 | 8.229 | 6.009 | 6.211 | 5.516 | |
| CC | 0.913 | 0.903 | 0.935 | 0.936 | 0.944 | |
| 8 | NE (%) | 46.89 | 51.2 | 36 | 37.75 | 32.8 |
| RMSE (mm) | 7.143 | 7.963 | 4.817 | 5.062 | 4.556 | |
| CC | 0.824 | 0.802 | 0.912 | 0.915 | 0.91 | |
Publisher’s Note: MDPI stays neutral with regard to jurisdictional claims in published maps and institutional affiliations. |
© 2021 by the authors. Licensee MDPI, Basel, Switzerland. This article is an open access article distributed under the terms and conditions of the Creative Commons Attribution (CC BY) license (https://creativecommons.org/licenses/by/4.0/).
Share and Cite
Guo, Z.; Hu, S.; Liu, X.; Chen, X.; Zhang, H.; Qi, T.; Zeng, G. Improving S-Band Polarimetric Radar Monsoon Rainfall Estimation with Two-Dimensional Video Disdrometer Observations in South China. Atmosphere 2021, 12, 831. https://doi.org/10.3390/atmos12070831
Guo Z, Hu S, Liu X, Chen X, Zhang H, Qi T, Zeng G. Improving S-Band Polarimetric Radar Monsoon Rainfall Estimation with Two-Dimensional Video Disdrometer Observations in South China. Atmosphere. 2021; 12(7):831. https://doi.org/10.3390/atmos12070831
Chicago/Turabian StyleGuo, Zeyong, Sheng Hu, Xiantong Liu, Xingdeng Chen, Honghao Zhang, Tao Qi, and Guangyu Zeng. 2021. "Improving S-Band Polarimetric Radar Monsoon Rainfall Estimation with Two-Dimensional Video Disdrometer Observations in South China" Atmosphere 12, no. 7: 831. https://doi.org/10.3390/atmos12070831
APA StyleGuo, Z., Hu, S., Liu, X., Chen, X., Zhang, H., Qi, T., & Zeng, G. (2021). Improving S-Band Polarimetric Radar Monsoon Rainfall Estimation with Two-Dimensional Video Disdrometer Observations in South China. Atmosphere, 12(7), 831. https://doi.org/10.3390/atmos12070831

