Scaling Properties and Persistence of Long-Term Solar Activity
Abstract
1. Introduction
2. Data and Methods
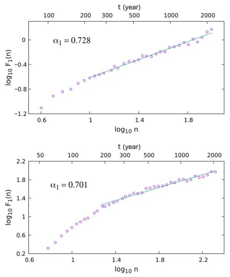
3. Results
4. Discussion
Author Contributions
Funding
Institutional Review Board Statement
Informed Consent Statement
Data Availability Statement
Conflicts of Interest
Abbreviations
| DFA | Detrended fluctuation analysis |
| SNR | Sunspot number reconstruction |
| TSIR | Total solar irradiance reconstruction |
References
- Hathaway, D.H. The Solar Cycle. Living Rev. Sol. Phys. 2015, 12, 4. [Google Scholar] [CrossRef] [PubMed]
- Hoyt, D.V.; Schatten, K.H. Group Sunspot Numbers: A New Solar Activity Reconstruction. Sol. Phys. 1998, 181, 491–512. [Google Scholar] [CrossRef]
- Clette, F.; Svalgaard, L.; Vaquero, J.M.; Cliver, E.W. Revisiting the Sunspot Number. A 400-Year Perspective on the Solar Cycle. Space Sci. Rev. 2014, 186, 35–103. [Google Scholar] [CrossRef]
- Petrovay, K. Solar cycle prediction. Living Rev. Sol. Phys. 2020, 17, 2. [Google Scholar] [CrossRef]
- Schwabe, H. Sonnenbeobachtungen im Jahre 1843. Von Herrn Hofrath Schwabe in Dessau. Astron. Nachr. 1844, 21, 233. [Google Scholar] [CrossRef]
- Gleissberg, W. Über die scheinbare Verteilung der Sonnenflecke. Astron. Nachr. 1939, 268, 81. [Google Scholar] [CrossRef]
- Gleissberg, W. The eighty-year sunspot cycle. J. Br. Astron. Assoc. 1958, 68, 148–152. [Google Scholar]
- Schove, D.J. The Sunspot Cycle, 649 BC to AD. 2000. J. Geophys. Res. 1955, 60, 127–146. [Google Scholar] [CrossRef]
- Link, F. Variations á longues périodes de l’activité solaire avant le 17ème siècle. Bull. Astron. Inst. Czechoslov. 1963, 14, 226. [Google Scholar]
- Feynman, J.; Fougere, P.F. Eighty-eight year periodicity in solar-terrestrial phenomena confirmed. J. Geophys. Res. 1984, 89, 3023–3027. [Google Scholar] [CrossRef]
- Attolini, M.R.; Cecchini, S.; Nanni, T.; Galli, M. On the persistence of the 22 Y solar cycle. Sol. Phys. 1990, 125, 389–398. [Google Scholar] [CrossRef]
- Frick, P.; Galyagin, D.; Hoyt, D.V.; Nesme-Ribes, E.; Schatten, K.H.; Sokoloff, D.; Zakharov, V. Wavelet analysis of solar activity recorded by sunspot groups. Astron. Astrophys. 1997, 328, 670–681. [Google Scholar]
- Ogurtsov, M.G.; Nagovitsyn, Y.A.; Kocharov, G.E.; Jungner, H. Long-Period Cycles of the Sun’s Activity Recorded in Direct Solar Data and Proxies. Sol. Phys. 2002, 211, 371–394. [Google Scholar] [CrossRef]
- Peristykh, A.N.; Damon, P.E. Persistence of the Gleissberg 88-year solar cycle over the last 12,000 years: Evidence from cosmogenic isotopes. J. Geophys. Res. Space Phys. 2003, 108, 1003. [Google Scholar] [CrossRef]
- Vecchio, A.; Lepreti, F.; Laurenza, M.; Alberti, T.; Carbone, V. Connection between solar activity cycles and grand minima generation. Astron. Astrophys. 2017, 599, A58. [Google Scholar] [CrossRef]
- Suess, H.E. The Radiocarbon Record in Tree Rings of the Last 8000 Years. Radiocarbon 1980, 22, 200–209. [Google Scholar] [CrossRef]
- Sonett, C.P. Very long solar periods and the radiocarbon record. Rev. Geophys. Space Phys. 1984, 22, 239–254. [Google Scholar] [CrossRef]
- Sonett, C.P.; Finney, S.A. The Spectrum of Radiocarbon. Philos. Trans. R. Soc. Lond. Ser. A 1990, 330, 413–425. [Google Scholar] [CrossRef]
- Stuiver, M.; Braziunas, T. Sun, ocean, climate and atmospheric 14CO2: An evaluation of casual and spectral relationships. Holocene 1993, 3, 289–305. [Google Scholar] [CrossRef]
- Usoskin, I.G.; Mursula, K.; Solanki, S.; Schüssler, M.; Alanko, K. Reconstruction of solar activity for the last millennium using 10Be data. Astron. Astrophys 2004, 413, 745–751. [Google Scholar] [CrossRef]
- Damon, P.E.; Sonett, C.P. Solar and terrestrial components of the atmospheric C-14 variation spectrum. In The Sun in Time; Sonett, C.P., Giampapa, M.S., Matthews, M.S., Eds.; University of Arizona Press: Tucson, AZ, USA, 1991; pp. 360–388. [Google Scholar]
- Vasiliev, S.S.; Dergachev, V.A. The ~2400-year cycle in atmospheric radiocarbon concentration: Bispectrum of 14C data over the last 8000 years. Ann. Geophys. 2002, 20, 115–120. [Google Scholar] [CrossRef]
- Mandelbrot, B.B.; Wallis, J.R. Some Long-Run Properties of Geophysical Records. Water Resour. Res. 1969, 5, 321–340. [Google Scholar] [CrossRef]
- Ruzmaikin, A.; Feynman, J.; Robinson, P. Long-term persistence of solar activity. Sol. Phys. 1994, 149, 395–403. [Google Scholar] [CrossRef]
- Komm, R.W. Hurst Analysis of Mt. Wilson Rotation Measurements. Sol. Phys. 1995, 156, 17–28. [Google Scholar] [CrossRef]
- Lepreti, F.; Fanello, P.C.; Zaccaro, F.; Carbone, V. Persistence of solar activity on small scales: Hurst analysis of time series coming from Hα flares. Sol. Phys. 2000, 197, 149–156. [Google Scholar] [CrossRef]
- Oliver, R.; Ballester, J.L. Is there memory in solar activity? Phys. Rev. E 1998, 58, 5650–5654. [Google Scholar] [CrossRef]
- Ogurtsov, M.G. New Evidence for Long-Term Persistence in the Sun’s Activity. Sol. Phys. 2004, 220, 93–105. [Google Scholar] [CrossRef]
- Weron, R. Estimating long-range dependence: Finite sample properties and confidence intervals. Phys. A Stat. Mech. Appl. 2002, 312, 285–299. [Google Scholar] [CrossRef]
- Solanki, S.K.; Usoskin, I.G.; Kromer, B.; Schüssler, M.; Beer, J. Unusual activity of the Sun during recent decades compared to the previous 11,000 years. Nature 2004, 431, 1084–1087. [Google Scholar] [CrossRef]
- Steinhilber, F.; Abreu, J.A.; Beer, J.; Brunner, I.; Christl, M.; Fischer, H.; Heikkila, U.; Kubik, P.W.; Mann, M.; McCracken, K.G.; et al. 9,400 years of cosmic radiation and solar activity from ice cores and tree rings. Proc. Natl. Acad. Sci. USA 2012, 109, 5967–5971. [Google Scholar] [CrossRef]
- Wu, C.J.; Usoskin, I.G.; Krivova, N.; Kovaltsov, G.A.; Baroni, M.; Bard, E.; Solanki, S.K. Solar activity over nine millennia: A consistent multi-proxy reconstruction. Astron. Astrophys. 2018, 615, A93. [Google Scholar] [CrossRef]
- Peng, C.K.; Buldyrev, S.V.; Havlin, S.; Simons, M.; Stanley, H.E.; Goldberger, A.L. Mosaic organization of DNA nucleotides. Phys. Rev. E 1994, 49, 1685–1689. [Google Scholar] [CrossRef] [PubMed]
- Peng, C.K.; Havlin, S.; Stanley, H.E.; Goldberger, A.L. Quantification of scaling exponents and crossover phenomena in nonstationary heartbeat time series. Chaos 1995, 5, 82–87. [Google Scholar] [CrossRef]
- Kristoufek, L. Rescaled Range Analysis and Detrended Fluctuation Analysis: Finite Sample Properties and Confidence Intervals. Czech Econ. Rev. 2010, 4, 236–250. [Google Scholar]
- Pontieri, A.; Lepreti, F.; Sorriso-Valvo, L.; Vecchio, A.; Carbone, V. A Simple Model for the Solar Cycle. Sol. Phys. 2003, 213, 195–201. [Google Scholar] [CrossRef]




Publisher’s Note: MDPI stays neutral with regard to jurisdictional claims in published maps and institutional affiliations. |
© 2021 by the authors. Licensee MDPI, Basel, Switzerland. This article is an open access article distributed under the terms and conditions of the Creative Commons Attribution (CC BY) license (https://creativecommons.org/licenses/by/4.0/).
Share and Cite
Lepreti, F.; Carbone, V.; Vecchio, A. Scaling Properties and Persistence of Long-Term Solar Activity. Atmosphere 2021, 12, 733. https://doi.org/10.3390/atmos12060733
Lepreti F, Carbone V, Vecchio A. Scaling Properties and Persistence of Long-Term Solar Activity. Atmosphere. 2021; 12(6):733. https://doi.org/10.3390/atmos12060733
Chicago/Turabian StyleLepreti, Fabio, Vincenzo Carbone, and Antonio Vecchio. 2021. "Scaling Properties and Persistence of Long-Term Solar Activity" Atmosphere 12, no. 6: 733. https://doi.org/10.3390/atmos12060733
APA StyleLepreti, F., Carbone, V., & Vecchio, A. (2021). Scaling Properties and Persistence of Long-Term Solar Activity. Atmosphere, 12(6), 733. https://doi.org/10.3390/atmos12060733

