Impact of Black Carbon on Surface Ozone in the Yangtze River Delta from 2015 to 2018
Abstract
1. Introduction
2. Data and Methods
2.1. Sampling Area and Time
2.2. Observation Instruments and Methodology
3. Results and Discussion
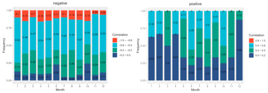
3.1. Frequency Analysis of CBO
3.2. Distribution of Pollutants under Different Levels of CBO
3.3. Diurnal Variations of Pollutants Concentrations and Metrological Elements under Significantly Positive and Negative CBOs
3.3.1. Diurnal Variations of BC and Ozone
3.3.2. Diurnal Variations of the Other Pollutants
3.3.3. Diurnal Variations of Meteorological Elements
4. Conclusions
Supplementary Materials
Author Contributions
Funding
Institutional Review Board Statement
Informed Consent Statement
Data Availability Statement
Conflicts of Interest
References
- Hvidtfeldt, U.A.; Sørensen, M.; Geels, C.; Ketzel, M.; Khan, J.; Tjønneland, A.; Overvad, K.; Brandt, J.; Raaschou-Nielsen, O. Long-term residential exposure to PM2.5, PM10, black carbon, NO2, and ozone and mortality in a Danish cohort. Environ. Int. 2019, 123, 265–272. [Google Scholar] [CrossRef] [PubMed]
- Wang, Y.; Wild, O.; Chen, X.; Wu, Q.; Gao, M.; Chen, H.; Qi, Y.; Wang, Z. Health impacts of long-term ozone exposure in China over 2013–2017. Environ. Int. 2020, 144, 106030. [Google Scholar] [CrossRef]
- Mahmood, F.; Khokhar, M.F.; Mahmood, Z. Examining the relationship of tropospheric ozone and climate change on crop productivity using the multivariate panel data techniques. J. Environ. Manag. 2020, 272, 111024. [Google Scholar] [CrossRef]
- de Foy, B.; Brune, W.H.; Schauer, J.J. Changes in ozone photochemical regime in Fresno, California from 1994 to 2018 deduced from changes in the weekend effect. Environ. Pollut. 2020, 263, 114380. [Google Scholar] [CrossRef]
- Jenkin, M.E.; Derwent, R.G.; Wallington, T.J. Photochemical ozone creation potentials for volatile organic compounds: Rationalization and estimation. Atmos. Environ. 2017, 163, 128–137. [Google Scholar] [CrossRef]
- Robinson, J.; Kotsakis, A.; Santos, F.; Swap, R.; Knowland, K.E.; Labow, G.; Connors, V.; Tzortziou, M.; Abuhassan, N.; Tiefengraber, M.; et al. Using networked Pandora observations to capture spatiotemporal changes in total column ozone associated with stratosphere-to-troposphere transport. Atmos. Res. 2020, 238, 104872. [Google Scholar] [CrossRef]
- Tarasick, D.W.; Carey-Smith, T.K.; Hocking, W.K.; Moeini, O.; He, H.; Liu, J.; Osman, M.K.; Thompson, A.M.; Johnson, B.J.; Oltmans, S.J.; et al. Quantifying stratosphere-troposphere transport of ozone using balloon-borne ozonesondes, radar windprofilers and trajectory models. Atmos. Environ. 2019, 198, 496–509. [Google Scholar] [CrossRef]
- Farooqui, Z.M.; John, K.; Biswas, J.; Sule, N. Modeling analysis of the impact of anthropogenic emission sources on ozone concentration over selected urban areas in Texas. Atmos. Pollut. Res. 2013, 4, 33–42. [Google Scholar] [CrossRef]
- Im, U.; Poupkou, A.; Incecik, S.; Markakis, K.; Kindap, T.; Unal, A.; Melas, D.; Yenigun, O.; Topcu, S.; Odman, M.T.; et al. The impact of anthropogenic and biogenic emissions on surface ozone concentrations in Istanbul. Sci. Total Environ. 2011, 409, 1255–1265. [Google Scholar] [CrossRef]
- Liu, P.; Song, H.; Wang, T.; Wang, F.; Li, X.; Miao, C.; Zhao, H. Effects of meteorological conditions and anthropogenic precursors on ground-level ozone concentrations in Chinese cities. Environ. Pollut. 2020, 262, 114366. [Google Scholar] [CrossRef]
- Ryu, Y.-H.; Baik, J.-J.; Lee, S.-H. Effects of anthropogenic heat on ozone air quality in a megacity. Atmos. Environ. 2013, 80, 20–30. [Google Scholar] [CrossRef]
- Ma, Y.; Ma, B.; Jiao, H.; Zhang, Y.; Xin, J.; Yu, Z. An analysis of the effects of weather and air pollution on tropospheric ozone using a generalized additive model in Western China: Lanzhou, Gansu. Atmos. Environ. 2020, 224, 117342. [Google Scholar] [CrossRef]
- Liu, Y.; Wang, T. Worsening urban ozone pollution in China from 2013 to 2017—Part 1: The complex and varying roles of meteorology. Atmos. Chem. Phys. 2020, 20, 6305–6321. [Google Scholar] [CrossRef]
- Bond, T.C.; Doherty, S.J.; Fahey, D.W.; Forster, P.M.; Berntsen, T.; DeAngelo, B.J.; Flanner, M.G.; Ghan, S.; Kärcher, B.; Koch, D.; et al. Bounding the role of black carbon in the climate system: A scientific assessment: Black Carbon in the Climate System. J. Geophys. Res. Atmos. 2013, 118, 5380–5552. [Google Scholar] [CrossRef]
- Pani, S.K.; Wang, S.-H.; Lin, N.-H.; Chantara, S.; Lee, C.-T.; Thepnuan, D. Black carbon over an urban atmosphere in northern peninsular Southeast Asia: Characteristics, source apportionment, and associated health risks. Environ. Pollut. 2020, 259, 113871. [Google Scholar] [CrossRef]
- Lin, W.; Dai, J.; Liu, R.; Zhai, Y.; Yue, D.; Hu, Q. Integrated assessment of health risk and climate effects of black carbon in the Pearl River Delta region, China. Environ. Res. 2019, 176, 108522. [Google Scholar] [CrossRef] [PubMed]
- Gu, Y.; Zhang, W.; Yang, Y.; Wang, C.; Streets, D.G.; Yim, S.H.L. Assessing outdoor air quality and public health impact attributable to residential black carbon emissions in rural China. Resour. Conserv. Recycl. 2020, 159, 104812. [Google Scholar] [CrossRef]
- Ji, D.; Gao, W.; Maenhaut, W.; He, J.; Wang, Z.; Li, J.; Du, W.; Wang, L.; Sun, Y.; Xin, J.; et al. Impact of air pollution control measures and regional transport on carbonaceous aerosols in fine particulate matter in urban Beijing, China: Insights gained from long-term measurement. Atmos. Chem. Phys. 2019, 19, 8569–8590. [Google Scholar] [CrossRef]
- Kucbel, M.; Corsaro, A.; Švédová, B.; Raclavská, H.; Raclavský, K.; Juchelková, D. Temporal and seasonal variations of black carbon in a highly polluted European city: Apportionment of potential sources and the effect of meteorological conditions. J. Environ. Manag. 2017, 203, 1178–1189. [Google Scholar] [CrossRef]
- Bibi, S.; Alam, K.; Chishtie, F.; Bibi, H.; Rahman, S. Temporal variation of Black Carbon concentration using Aethalometer observations and its relationships with meteorological variables in Karachi, Pakistan. J. Atmos. Sol.-Terr. Phys. 2017, 157–158, 67–77. [Google Scholar] [CrossRef]
- Bai, Z.; Cui, X.; Wang, X.; Xie, H.; Chen, B. Light absorption of black carbon is doubled at Mt. Tai and typical urban area in North China. Sci. Total Environ. 2018, 635, 1144–1151. [Google Scholar] [CrossRef]
- Ma, Y.; Huang, C.; Jabbour, H.; Zheng, Z.; Wang, Y.; Jiang, Y.; Zhu, W.; Ge, X.; Collier, S.; Zheng, J. Mixing state and light absorption enhancement of black carbon aerosols in summertime Nanjing, China. Atmos. Environ. 2020, 222, 117141. [Google Scholar] [CrossRef]
- Xie, C.; Xu, W.; Wang, J.; Liu, D.; Ge, X.; Zhang, Q.; Wang, Q.; Du, W.; Zhao, J.; Zhou, W.; et al. Light absorption enhancement of black carbon in urban Beijing in summer. Atmos. Environ. 2019, 213, 499–504. [Google Scholar] [CrossRef]
- Zhang, B.-N.; Kim Oanh, N.T. Photochemical smog pollution in the Bangkok Metropolitan Region of Thailand in relation to O3 precursor concentrations and meteorological conditions. Atmos. Environ. 2002, 36, 4211–4222. [Google Scholar] [CrossRef]
- Hu, D.; Chen, Y.; Wang, Y.; Daële, V.; Idir, M.; Yu, C.; Wang, J.; Mellouki, A. Photochemical reaction playing a key role in particulate matter pollution over Central France: Insight from the aerosol optical properties. Sci. Total Environ. 2019, 657, 1074–1084. [Google Scholar] [CrossRef]
- Li, G.; Zhang, R.; Fan, J.; Tie, X. Impacts of black carbon aerosol on photolysis and ozone. J. Geophys. Res. Atmos. 2005, 110. [Google Scholar] [CrossRef]
- Gao, J.; Zhu, B.; Xiao, H.; Kang, H.; Pan, C.; Wang, D.; Wang, H. Effects of black carbon and boundary layer interaction on surface ozone in Nanjing, China. Atmos. Chem. Phys. 2018, 18, 7081–7094. [Google Scholar] [CrossRef]
- Lu, X.; Zhang, L.; Chen, Y.; Zhou, M.; Zheng, B.; Li, K.; Liu, Y.; Lin, J.; Fu, T.-M.; Zhang, Q. Exploring 2016–2017 surface ozone pollution over China: Source contributions and meteorological influences. Atmos. Chem. Phys. 2019, 19, 8339–8361. [Google Scholar] [CrossRef]
- Shen, L.; Jacob, D.J.; Liu, X.; Huang, G.; Li, K.; Liao, H.; Wang, T. An evaluation of the ability of the Ozone Monitoring Instrument (OMI) to observe boundary layer ozone pollution across China: Application to 2005–2017 ozone trends. Atmos. Chem. Phys. 2019, 19, 6551–6560. [Google Scholar] [CrossRef]
- Tan, Y.; Wang, H.; Shi, S.; Shen, L.; Zhang, C.; Zhu, B.; Guo, S.; Wu, Z.; Song, Z.; Yin, Y.; et al. Annual variations of black carbon over the Yangtze River Delta from 2015 to 2018. J. Environ. Sci. 2020, 96, 72–84. [Google Scholar] [CrossRef] [PubMed]
- Lu, X.; Hong, J.; Zhang, L.; Cooper, O.R.; Schultz, M.G.; Xu, X.; Wang, T.; Gao, M.; Zhao, Y.; Zhang, Y. Severe Surface Ozone Pollution in China: A Global Perspective. Environ. Sci. Technol. Lett. 2018, 5, 487–494. [Google Scholar] [CrossRef]
- Xie, Y.; Dai, H.; Zhang, Y.; Wu, Y.; Hanaoka, T.; Masui, T. Comparison of health and economic impacts of PM2.5 and ozone pollution in China. Environ. Int. 2019, 130, 104881. [Google Scholar] [CrossRef] [PubMed]
- Drinovec, L.; Močnik, G.; Zotter, P.; Prévôt, A.S.H.; Ruckstuhl, C.; Coz, E.; Rupakheti, M.; Sciare, J.; Müller, T.; Wiedensohler, A.; et al. The “dual-spot” Aethalometer: An improved measurement of aerosol black carbon with real-time loading compensation. Atmos. Meas. Tech. 2015, 8, 1965–1979. [Google Scholar] [CrossRef]
- Putero, D.; Cristofanelli, P.; Marinoni, A.; Adhikary, B.; Duchi, R.; Shrestha, S.D.; Verza, G.P.; Landi, T.C.; Calzolari, F.; Busetto, M.; et al. Seasonal variation of ozone and black carbon observed at Paknajol, an urban site in the Kathmandu Valley, Nepal. Atmos. Chem. Phys. 2015, 15, 13957–13971. [Google Scholar] [CrossRef]
- Ran, L.; Deng, Z.Z.; Wang, P.C.; Xia, X.A. Black carbon and wavelength-dependent aerosol absorption in the North China Plain based on two-year aethalometer measurements. Atmos. Environ. 2016, 142, 132–144. [Google Scholar] [CrossRef]
- Ravi Kiran, V.; Talukdar, S.; Venkat Ratnam, M.; Jayaraman, A. Long-term observations of black carbon aerosol over a rural location in southern peninsular India: Role of dynamics and meteorology. Atmos. Environ. 2018, 189, 264–274. [Google Scholar] [CrossRef]















Publisher’s Note: MDPI stays neutral with regard to jurisdictional claims in published maps and institutional affiliations. |
© 2021 by the authors. Licensee MDPI, Basel, Switzerland. This article is an open access article distributed under the terms and conditions of the Creative Commons Attribution (CC BY) license (https://creativecommons.org/licenses/by/4.0/).
Share and Cite
Tan, Y.; Zhao, D.; Wang, H.; Zhu, B.; Bai, D.; Liu, A.; Shi, S.; Dai, Q. Impact of Black Carbon on Surface Ozone in the Yangtze River Delta from 2015 to 2018. Atmosphere 2021, 12, 626. https://doi.org/10.3390/atmos12050626
Tan Y, Zhao D, Wang H, Zhu B, Bai D, Liu A, Shi S, Dai Q. Impact of Black Carbon on Surface Ozone in the Yangtze River Delta from 2015 to 2018. Atmosphere. 2021; 12(5):626. https://doi.org/10.3390/atmos12050626
Chicago/Turabian StyleTan, Yue, Delong Zhao, Honglei Wang, Bin Zhu, Dongping Bai, Ankang Liu, Shuangshuang Shi, and Qihang Dai. 2021. "Impact of Black Carbon on Surface Ozone in the Yangtze River Delta from 2015 to 2018" Atmosphere 12, no. 5: 626. https://doi.org/10.3390/atmos12050626
APA StyleTan, Y., Zhao, D., Wang, H., Zhu, B., Bai, D., Liu, A., Shi, S., & Dai, Q. (2021). Impact of Black Carbon on Surface Ozone in the Yangtze River Delta from 2015 to 2018. Atmosphere, 12(5), 626. https://doi.org/10.3390/atmos12050626

