Gross Alpha and Gross Beta Activity Concentrations in the Dust Fractions of Urban Surface-Deposited Sediment in Russian Cities
Abstract
1. Introduction
2. Materials and Methods
2.1. Description of the Surveyed City
Description of Investigated Cities
2.2. Sampling Procedure
2.3. Measurement of Gross Beta Activity
2.4. Gross Alpha Measurement Method
2.5. Chemical Analysis
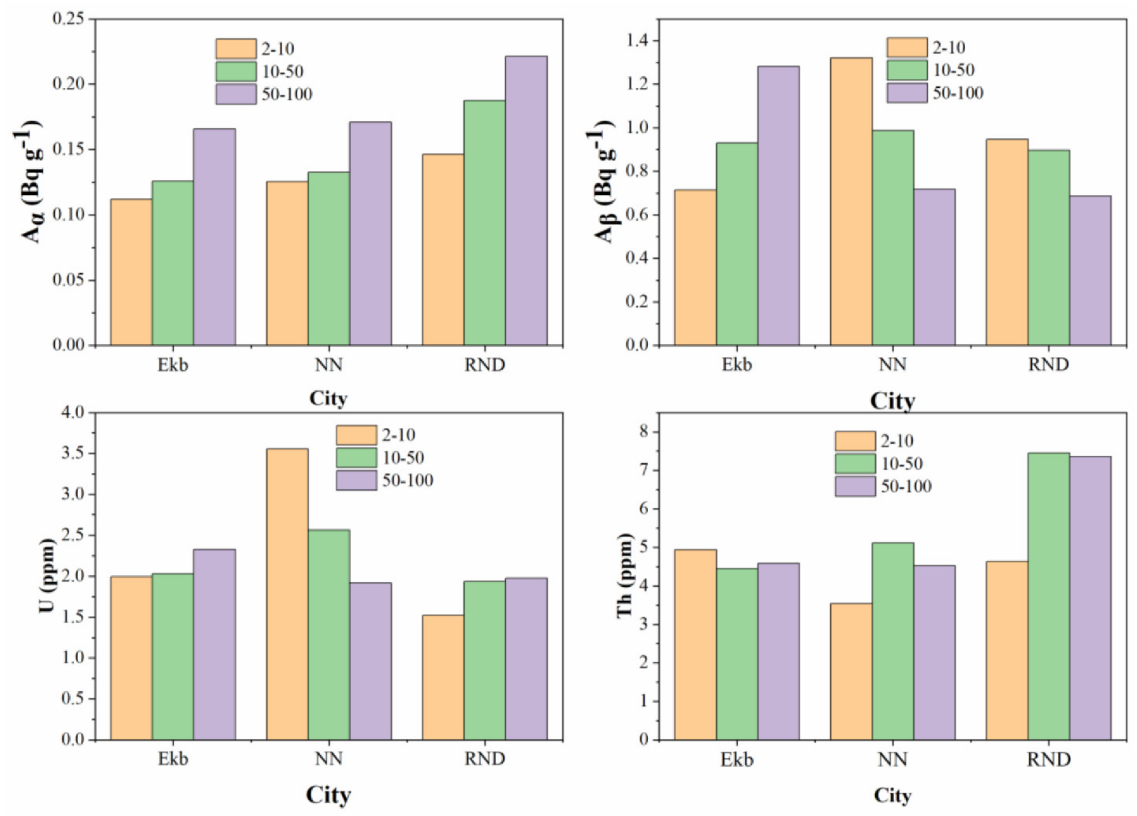
3. Results
4. Discussion
5. Conclusions
- Such natural radionuclides as U, Th, their decay products and 40K present in the USDS;
- Obtained values of GA and GB are generally associated with radionuclides of natural origin. The main sources of natural radioactivity in the urban environment are geological formations and building materials;
- Natural radionuclides participate in the sedimentation processes and can be found in the sedimentation material in each city independently of climate, geographical location, and industrial development;
- The radioactivity of fine sand and dust fractions can contribute to population radiation exposure in cases of significant resuspension of urban dust by wind and vehicles.
Author Contributions
Funding
Institutional Review Board Statement
Informed Consent Statement
Data Availability Statement
Conflicts of Interest
References
- Lin, W.; Chen, L.; Zeng, S.; Li, T.; Wang, Y.; Yu, K. Residual β activity of particulate Th as a novel proxy for tracking sediment resuspension in the ocean. Sci. Rep. 2016, 6, 27069. [Google Scholar] [CrossRef] [PubMed]
- Ojovan, M.; Lee, W. Naturally Occurring Radionuclides. In An Introduction to Nuclear Waste Immobilisation; Elsevier: Amsterdam, The Netherlands, 2014; pp. 31–39. [Google Scholar] [CrossRef]
- Lin, W.; Chen, L.; Yu, W.; Zeng, Z.; Lin, J.; Zeng, S. Radioactivity impacts of the Fukushima Nuclear Accident on the atmosphere. Atmospheric Environ. 2015, 102, 311–322. [Google Scholar] [CrossRef]
- Liu, X.; Lin, W. Natural radioactivity in the beach sand and soil along the coastline of Guangxi Province, China. Mar. Pollut. Bull. 2018, 135, 446–450. [Google Scholar] [CrossRef] [PubMed]
- Vives, J.; Aoyama, M.; Bradshaw, C.; Brown, J.; Buesseler, K.O.; Casacuberta, N.; Christl, M.; Duffa, C.; Impens, N.R.E.N.; Iosjpe, M.; et al. Science of the Total Environment Marine radioecology after the Fukushima Dai-ichi nuclear accident: Are we better positioned to understand the impact of radionuclides in marine ecosystems? Sci. Total. Environ. 2018, 618, 80–92. [Google Scholar] [CrossRef]
- Huang, Y.; Lu, X.; Ding, X.; Feng, T. Natural radioactivity level in beach sand along the coast of Xiamen. Mar. Pollut. Bull. 2015, 91, 357–361. [Google Scholar] [CrossRef]
- Trevisi, R.; Leonardi, F.; Risica, S.; Nuccetelli, C. Updated database on natural radioactivity in building materials in Europe. J. Environ. Radioact. 2018, 187, 90–105. [Google Scholar] [CrossRef]
- Raghu, Y.; Ravisankar, R.; Chandrasekaran, A.; Vijayagopal, P.; Venkatraman, B. Assessment of natural radioactivity and radiological hazards in building materials used in the Tiruvannamalai District, Tamilnadu, India, using a statistical approach. Integr. Med. Res. 2015. [Google Scholar] [CrossRef]
- Khandaker, M.U. Radiometric analysis of construction materials using hpge gamma-ray spectrometry. Radiat. Prot. Dosim. 2012, 152, 33–37. [Google Scholar] [CrossRef] [PubMed]
- Al-sewaidan, H.A. Journal of King Saud University—Science Natural radioactivity measurements and dose rate assessment of selected ceramic and cement types used in Riyadh, Saudi Arabia. J. King Saud Univ. Sci. 2019, 31, 987–992. [Google Scholar] [CrossRef]
- Hanfi, M.Y.; Yarmoshenko, I.V.; Seleznev, A.A.; Zhukovsky, M.V. The gross beta activity of surface sediment in different urban landscape areas. J. Radioanal. Nucl. Chem. 2019, 321, 831–839. [Google Scholar] [CrossRef]
- Buraeva, E.A.; Bezuglova, O.S.; Stasov, V.V.; Nefedov, V.S.; Dergacheva, E.V.; Goncharenko, A.A.; Martynenko, S.V.; Goncharova, L.Y.; Gorbov, S.N.; Malyshevsky, V.S.; et al. Geoderma Features of 137 Cs distribution and dynamics in the main soils of the steppe zone in the southern European Russia. Geoderma 2015, 259–260, 259–270. [Google Scholar] [CrossRef]
- Izwan, M.; Adziz, A.; Siong, K.K. Determination of Gross Alpha and Gross Beta in Soil Around Repository Facility at Bukit Kledang, Perak, Malaysia. AIP Conf. Proc. 2018, 1940, 020009. [Google Scholar] [CrossRef]
- Russell, K.L.; Vietz, G.J.; Fletcher, T.D. Global sediment yields from urban and urbanizing watersheds. Earth-Sci. Rev. 2017, 168, 73–80. [Google Scholar] [CrossRef]
- Seleznev, A.A.; Yarmoshenko, I.V.; Malinovsky, G.P. Assessment of Total Amount of Surface Sediment in Urban Environment Using Data on Solid Matter Content in Snow-Dirt Sludge. Environ. Process. 2019, 6, 581–595. [Google Scholar] [CrossRef]
- Yarmoshenko, I.; Malinovsky, G.; Baglaeva, E. A Landscape Study of Sediment Formation and Transport in the Urban Environment. Atmosphere 2020, 11, 1320. [Google Scholar] [CrossRef]
- Alharbi, T. Simulation of α and β gross activity measurement of soil samples with proportional counters. Appl. Radiat. Isot. 2018, 136, 65–67. [Google Scholar] [CrossRef]
- Hanfi, M.Y.; Yarmoshenko, I.; Seleznev, A.A.; Onishchenko, A.D.; Zhukovsky, M.V. Development of an appropriate method for measuring gross alpha activity concentration in low-mass size-fractionated samples of sediment using solid-state nuclear track detectors. Radioanal. Nucl. Chem. 2020, 323, 1047–1053. [Google Scholar] [CrossRef]
- Seleznev, A.; Yarmoshenko, I.; Malinovsky, G.; Ilgasheva, E.; Baglaeva, E.; Ryanskaya, A.; Kiseleva, D.; Gulyaeva, T. Snow-dirt sludge as an indicator of environmental and sedimentation processes in the urban environment. Sci. Rep. 2019, 1–12. [Google Scholar] [CrossRef] [PubMed]
- Seleznev, A.; Rudakov, M. Some geochemical characterstics of puddle sediments from cities located in various geological, geographic, climatic, and industerial zones. Carpathian J. Earth Environ. Sci. 2018, 14, 95–106. [Google Scholar] [CrossRef]
- MAIN ROADS Western Australia. WA 115.1-2017 Particle Size and Particle Size Distribution; MAIN ROADS Western Australia: East Perth, WA, Australia, 2017; p. 5.
- Durrani, S.A.; Bull, R.K. Solid State Nuclear Track Detection Principles, Methods and Applications; Pergamon Press: Oxford, UK, 1985; ISBN 0080206050. [Google Scholar]
- Fleischer, R.L.; Price, P.B.; Walker, R.M. Nuclear Tracks in Solids; Principles and applications; University of California Press: Berkeley, CA, USA, 1975; ISBN 9781137333438. [Google Scholar]
- Oufni, L.; Taj, S.; Manaut, B.; Eddouks, M. Transfer of uranium and thorium from soil to different parts of medicinal plants using SSNTD. J. Radioanal. Nucl. Chem. 2010, 287, 403–410. [Google Scholar] [CrossRef]
- Zhukovsky, M.; Onischenko, A.; Bastrikov, V. Radon measurements—Discussion of error estimates for selected methods. Appl. Radiat. Isot. 2010, 68, 816–820. [Google Scholar] [CrossRef] [PubMed]
- Currie, L.A. Limits for Qualitative Detection and Quantitative Determination Application to Radiochemistry. Anal. Chem. 1968, 40, 586–593. [Google Scholar] [CrossRef]
- Han, C.H.; Park, J.W. Analysis of the natural radioactivity concentrations of the fine dust samples in Jeju Island, Korea and the annual effective radiation dose by inhalation. J. Radioanal. Nucl. Chem. 2018, 316, 1173–1179. [Google Scholar] [CrossRef]
- Vogel, C.; Hoffmann, M.C.; Taube, M.C.; Krüger, O.; Baran, R.; Adam, C. Uranium and thorium species in phosphate rock and sewage sludge ash based phosphorus fertilizers. J. Hazard. Mater. 2020, 382, 121100. [Google Scholar] [CrossRef] [PubMed]
- Kücükömeroglu, B.; Kurnaz, A.; Keser, R.; Korkmaz, F.; Okumusoglu, N.T.; Karahan, G.; Sen, C.; Cevik, U. Radioactivity in sediments and gross alpha-beta activities in surface water of Firtina River, Turkey. Environ. Geol. 2008, 55, 1483–1491. [Google Scholar] [CrossRef]
- NCRP. Radiation Exposure of the U.S. Population from Consumer Products and Miscellaneous Sources; NCRP: Bethesda, MD, USA, 1987. [Google Scholar]
- Hanfi, M.Y.; Yarmoshenko, V.; Seleznev, A.A.; Malinovsky, G.; Ilgasheva, E.; Zhukovsky, M.V. Beta radioactivity of urban surface–deposited sediment in three Russian cities. Environ. Sci. Pollut. Res. 2020, 27, 1–7. [Google Scholar] [CrossRef]
- IAEA. Workplace Monitoring for Radiation and Contamination, Practical Radiation Technical; IAEA: Vienna, Austria, 2004; p. 69. [Google Scholar]
- Arslan, H. Heavy metals in street dust in bursa, turkey. J. Trace Microprobe Tech. 2001, 19, 439–445. [Google Scholar] [CrossRef]
- Zereni, F.; Alt, F. (Eds.) Palladium Emissions in the Environment; Springer: Berlin/Heidelberg, Germany, 2006; ISBN 9783540292197. [Google Scholar]
- Zereni, F.; Alt, F. (Eds.) New metal emission patterns in road traffic environments. Environ. Monit. Assess. 2006, 117, 85–98. [Google Scholar] [CrossRef] [PubMed]
- Hjortenkrans, D.S.; Bergbäck, B.G.; Häggerud, A.V. Metal Emissions from Brake Linings and Tires: Case Studies of Stockholm, Sweden 1995/1998 and 2005. Environ. Sci. Technol. 2007, 41, 5224–5230. [Google Scholar] [CrossRef]
- Winther, M.; Slento, E. (Eds.) Heavy Metal Emissions for Danish Road Transport; National Environmental Research Institute: Denmark, Roskilde, 2010; ISBN 9788770731706. [Google Scholar]

| Parameter | Ekaterinburg | Nizhny Novgorod | Rostov-on-Don |
|---|---|---|---|
| Area | 495 km2 | 460 km2 | 348.5 km2 |
| Population | 1,468,833 | 1,259,013 | 1,130,305 |
| Main rivers | Iset | Oka and Volga | Don |
| Latitudes and longitudes | 56°50′ N, 60°35′ E | 56°19 N, 44°00 E | 47°14′ N, 39°42′ E |
| Temperature in July (night/day) °C | 14/24 | 14/24 | 18/29 |
| Temperature in January (night/day) °C | −15/−9 | −11/−5 | −5/−0.1 |
| Climate | Temperate continental | Humid continental | Moderate continental, steppe |
| Geographical region | Eastern slope of the Middle Urals | Valley of the Volga and Oka rivers | Valley of the Don river |
| Geology | Ural Mountains | Alluvial river sediment | Alluvial river sediment |
| Main industries | Productions of machinery, metal processing, metallurgical production, chemical production. | Production of machinery and river shipping | Productions of machinery, river shipping, food industry. |
| City | Descriptive Parameters | GA (Bq g−1) | GB (Bq g−1) | U (ppm) | Th (ppm) | ||||||||
|---|---|---|---|---|---|---|---|---|---|---|---|---|---|
| 2–10 | 10–50 | 50–100 | 2–10 | 10–50 | 50–100 | 2–10 | 10–50 | 50–100 | 2–10 | 10–50 | 50–100 | ||
| Ekaterinburg | Athematic Mean | 0.11 | 0.13 | 0.17 | 0.71 | 0.93 | 1.28 | 1.46 | 2.03 | 2.33 | 4.94 | 4.45 | 4.58 |
| Geometric mean | 0.1 | 0.12 | 0.16 | 0.61 | 0.67 | 0.93 | 1.22 | 1.48 | 1.66 | 2.14 | 2.74 | 2.67 | |
| SD | 0.06 | 0.02 | 0.04 | 0.43 | 0.86 | 1.13 | 0.80 | 1.40 | 2.05 | 2.30 | 2.34 | 2.30 | |
| Max | 0.18 | 0.15 | 0.20 | 1.72 | 3.20 | 5.30 | 2.90 | 5.16 | 8.26 | 7.02 | 8.65 | 8.11 | |
| Min | 0.06 | 0.11 | 0.12 | 0.28 | 0.15 | 0.20 | 0.31 | 0.08 | 0.17 | 0.14 | 0.10 | 0.10 | |
| n | 3 | 4 | 4 | 10 | 23 | 24 | 12 | 14 | 14 | 12 | 14 | 14 | |
| Nizhny Novgorod | Athematic Mean | 0.13 | 0.13 | 0.17 | 1.32 | 0.99 | 0.72 | 1.28 | 1.98 | 1.92 | 3.54 | 5.12 | 4.53 |
| Geometric mean | 0.09 | 0.12 | 0.16 | 0.90 | 0.91 | 0.70 | 1.16 | 1.92 | 1.70 | 2.51 | 4.86 | 4.36 | |
| SD | 0.11 | 0.06 | 0.04 | 1.15 | 0.27 | 0.16 | 0.59 | 0.56 | 1.63 | 2.19 | 1.50 | 1.20 | |
| Max | 0.20 | 0.20 | 0.21 | 4.15 | 1.58 | 1.10 | 2.74 | 3.92 | 10.92 | 9.25 | 7.67 | 7.14 | |
| Min | 0.05 | 0.08 | 0.13 | 0.30 | 0.05 | 0.39 | 0.56 | 1.44 | 1.24 | 1.06 | 2.52 | 2.30 | |
| n | 2 | 4 | 3 | 12 | 32 | 35 | 22 | 34 | 34 | 22 | 34 | 35 | |
| Rostov On Don | Athematic Mean | 0.15 | 0.19 | 0.22 | 0.95 | 0.90 | 0.69 | 1.52 | 1.94 | 1.97 | 4.64 | 7.45 | 7.35 |
| Geometric mean | 0.14 | 0.18 | 0.20 | 0.88 | 0.85 | 0.65 | 1.45 | 1.93 | 1.96 | 3.84 | 7.39 | 7.23 | |
| SD | 0.04 | 0.07 | 0.11 | 0.33 | 0.33 | 0.23 | 0.51 | 0.21 | 0.22 | 2.89 | 0.95 | 1.33 | |
| Max | 0.18 | 0.26 | 0.37 | 1.69 | 2.34 | 1.24 | 2.79 | 2.33 | 2.59 | 9.78 | 8.96 | 10.04 | |
| Min | 0.10 | 0.12 | 0.14 | 0.21 | 0.36 | 0.40 | 0.67 | 1.59 | 1.49 | 1.08 | 5.45 | 4.11 | |
| n | 3 | 3 | 4 | 31 | 30 | 34 | 17 | 26 | 35 | 17 | 26 | 35 | |
| 2–10 | GA | GB | Th | U |
|---|---|---|---|---|
| GA | - | |||
| GB | 1 * | - | ||
| Th | 0.74 | −0.14 | - | |
| U | 0.99 | 0.22 | 0.78 | - |
| 10–50 | GA | GB | Th | U |
| GA | - | |||
| GB | −0.98 | - | ||
| Th | 0.38 | −0.49 | - | |
| U | 0.31 | −0.38 | 0.90 | - |
| 50–100 | GA | GB | Th | U |
| GA | - | |||
| GB | −0.60 | - | ||
| Th | −0.93 | 0.06 | - | |
| U | −0.95 | 0.15 | 0.66 | - |
Publisher’s Note: MDPI stays neutral with regard to jurisdictional claims in published maps and institutional affiliations. |
© 2021 by the authors. Licensee MDPI, Basel, Switzerland. This article is an open access article distributed under the terms and conditions of the Creative Commons Attribution (CC BY) license (https://creativecommons.org/licenses/by/4.0/).
Share and Cite
Hanfi, M.Y.; Yarmoshenko, I.; Seleznev, A.A. Gross Alpha and Gross Beta Activity Concentrations in the Dust Fractions of Urban Surface-Deposited Sediment in Russian Cities. Atmosphere 2021, 12, 571. https://doi.org/10.3390/atmos12050571
Hanfi MY, Yarmoshenko I, Seleznev AA. Gross Alpha and Gross Beta Activity Concentrations in the Dust Fractions of Urban Surface-Deposited Sediment in Russian Cities. Atmosphere. 2021; 12(5):571. https://doi.org/10.3390/atmos12050571
Chicago/Turabian StyleHanfi, Mohamed Y., Ilia Yarmoshenko, and Andrian A. Seleznev. 2021. "Gross Alpha and Gross Beta Activity Concentrations in the Dust Fractions of Urban Surface-Deposited Sediment in Russian Cities" Atmosphere 12, no. 5: 571. https://doi.org/10.3390/atmos12050571
APA StyleHanfi, M. Y., Yarmoshenko, I., & Seleznev, A. A. (2021). Gross Alpha and Gross Beta Activity Concentrations in the Dust Fractions of Urban Surface-Deposited Sediment in Russian Cities. Atmosphere, 12(5), 571. https://doi.org/10.3390/atmos12050571

