The Caribbean and 1.5 °C: Is SRM an Option?
Abstract
1. Introduction
2. Data and Methodology
2.1. Domain
2.2. Data
2.3. Methodology
2.3.1. Task 1—Attainment of Global LTTGs of 1.5, 2.0 and 2.5 °C with and without SRM Geoengineering
2.3.2. Task 2—Model Validation
2.3.3. Task 3—Caribbean Climate at 1.5, 2.0 and 2.5 °C (No SRM)
2.3.4. Task 4—The Effect of Applying SRM to Future Caribbean Climates at 1.5, 2.0 and 2.5 °C
2.3.5. Task 5—Comparison of Caribbean Climates at Temperature LTTGs Achieved with and without SRM
3. Results
3.1. Task 1—Temporal Analysis of Temperature LTTGs with and without SRM Geoengineering
- In the absence of SRM, HadGEM_unaltered projects that the 1.5, 2.0 and 2.5 °C global warming targets are attained respectively in 2029 (range of 2029 to 2030), 2043 (range of 2042 to 2045) and 2060 (range of 2056 to 2063). For comparison, Taylor (2018) [1] shows average attainment dates of 2028, 2046 and 2070 for 10 CMIP models running RCP4.5.
- Employing G3 SRM slows the rate of temperature increase such that the 1.5, 2.0 and 2.5 °C global targets are delayed by 8, 27 and 17 years respectively compared to HadGEM_unaltered. The latter two years are achieved in the period of rapid temperature rise after SRM is discontinued. If, however, G3 SRM were continued beyond 2070 and assuming a linear rate of temperature rise, the 2.0 and 2.5 °C targets would be further delayed by 9 (total 36) and 40 (total 57) additional years, respectively.
- Employing G4 SRM would immediately reduce the global average temperature by more than 0.5 °C. The 1.5, 2.0 and 2.5 °C global targets would thereafter be delayed by as much as 33, 13 and 19 years respectively, compared to HadGEM_unaltered. Again, the latter two years are achieved in the period of rapid temperature rise after SRM is discontinued. If G4 SRM were continued beyond 2070, the 2.0 and 2.5 °C targets would be further delayed by 21 (total 44) and 31 (total 50) additional years, respectively.
- The delaying benefits of SRM are quickly reversed at cessation such that even the highest of the three warming targets is still attained before the end of the century for both the G3 and G4 experiments. Once discontinued in 2070, there is a rapid increase in air temperature over a short period, with the rate of increase moving from 0.022 °C/year (0.013 °C/year) to 0.076 °C/year (0.051 °C/year) for the G4 (G3) experiments.
3.2. Task 2—Simple Model Validation
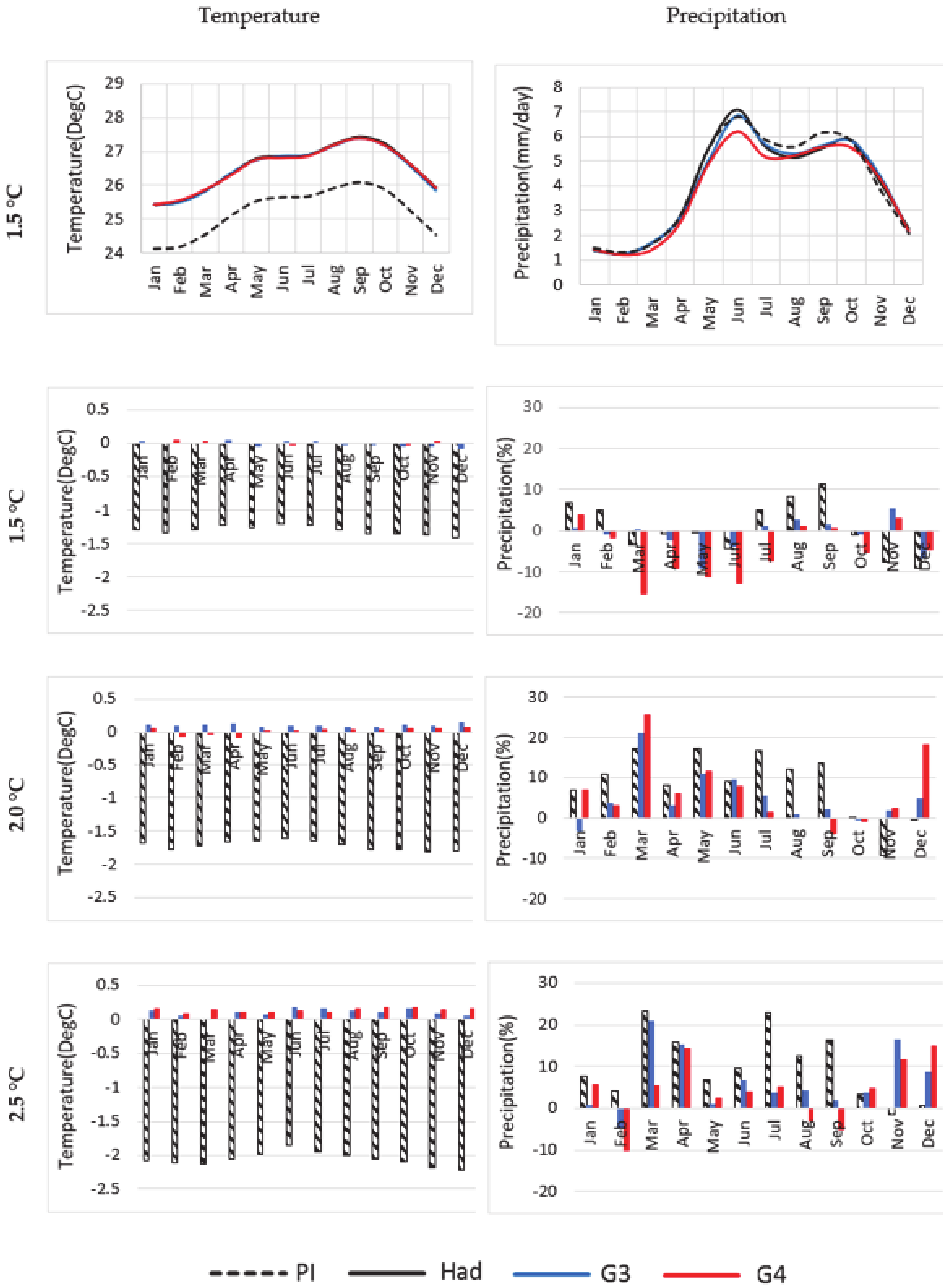
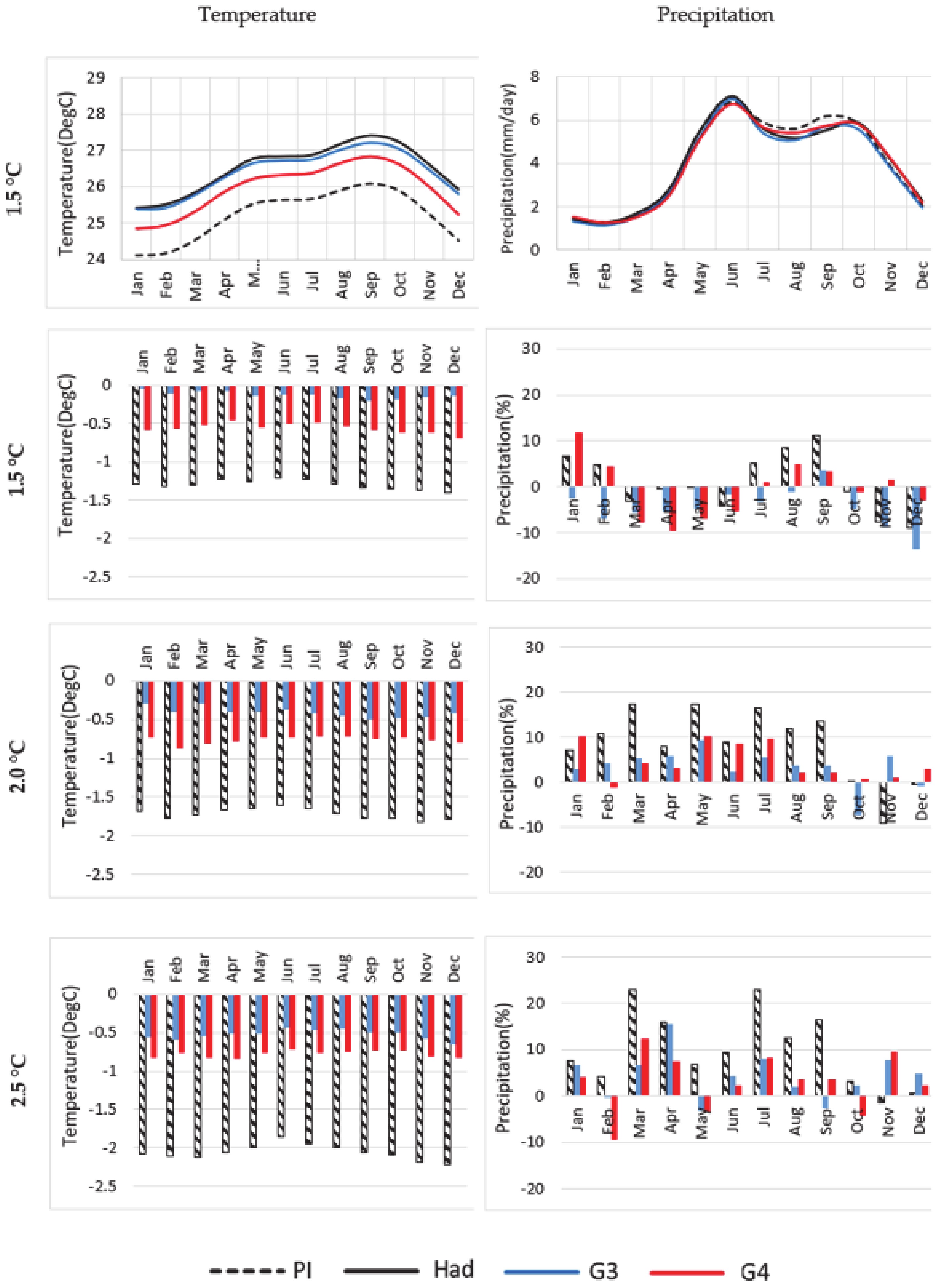
3.3. Task 3—Mean Caribbean Climates during LTTG Years (No SRM)
3.4. Task 4—Mean Caribbean Climates during LTTG Years if SRM Is Applied
- The plots in row 1 suggest that the Caribbean’s bimodal precipitation and temperature patterns continue to hold in the future under global warming. This is true for all three global temperature targets (patterns for 2.0 and 2.5 °C not shown), irrespective of the application of SRM.
- The pre-industrial minus HadGEM_unaltered temperature plots (column 1, hatched black bars in rows 2–4) suggest that the Caribbean is always a few tenths of a degree cooler than the global average. This was also noted from Figure 6 and by Taylor (2018) [1]. At the LTTGs, the highest temperature increases in the Caribbean are consistently experienced in the winter months, whilst lowest temperature increases are experienced in the spring and summer.
- Applying SRM under G3 (G4) lowers the mean Caribbean air temperatures during the global warming target years. Monthly temperatures for the HadGEM_unaltered are lowered between 0.05 and 0.20 °C (0.46 to 0.69 °C) for 1.5 years; 0.29 and 0.50 °C (0.72 to 0.87 °C) for 2.0 years; and 0.44 to 0.66 °C (0.72 to 0.85 °C) for 2.5 years for G3 (G4). Summer months experience less reduction. G4 consistently produces a greater reduction in future air temperatures than G3 at each temperature LTTG. The difference in cooling effect due to G4 versus G3 is largest at 1.5 °C, likely due to the SRM methodology for G4 which is characterized by sudden injection of SO2.
- The pre-industrial minus HadGEM_unaltered precipitation plot (hatched black bars) shows mixed monthly tendencies in Caribbean precipitation at the 1.5 °C LTTG (row 2, column 2). During the pre-industrial period, January–February and July–September are between 5 and 11% wetter, while the other months are either minimally or up to 9% drier than at 1.5 °C. Otherwise stated, the months January, February, July, August and September become wetter at 1.5 °C, and the other months, including the peak rainy of season months, show small changes or are slightly drier. At 2.0 °C, however, a dominant pattern emerges, with January to September during the pre-industrial period being wetter (or the mean Caribbean during these months being drier at 2.0 °C) by up to 17%. The 2.0 °C pattern is mirrored for 2.5 °C with identical months showing identical tendencies, but with the peak change in March and July exceeding 20%. It is noted that Figure 6 suggests a similar region-wide onset of predominantly dry conditions above the LTTG of 1.5 °C which is maintained or slightly intensified for the higher LTTG. Reference [1] also made a similar observation.
- Compared to HadGEM_unaltered, monthly G3 (G4) changes in precipitation range between −13 and 4% (−9 to 12%) for 1.5 °C. Except in November, G4 shares the same tendency as for the pre-industrial period; i.e., January–February and July–September are wetter than HadGEM_unaltered at 1.5 °C, while the other months are either minimally or up to 12% drier. In comparison, G3 is always drier than HadGEM_unaltered except during September. Note, then, that there is less precipitation during the two rainfall peak months (June and October) due to SRM (G3 and G4) than if it were not applied. In comparison, for the 2.0 °C years, monthly G3 (G4) precipitation differences range between −7 and 9% (−1 to 10%), while for the 2.5 °C years the differences range between −3 and 16% (−9 to 12%). At these higher warming targets, there is a pattern for more rainfall (or less drying) from January through November under SRM (exceptions are G4 in February and G3 in October at 2.0 °C, and G4 in February and October and both G3 and G4 in May at 2.5 °C), though the change is never enough to restore rainfall to the level simulated during the pre-industrial period. Under this pattern, however, unlike at 1.5 °C, there is more rain in June for both the 2.0 and 2.5 °C years compared to the unaltered climate.
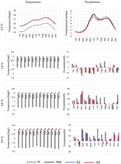
3.5. Task 5—Mean Caribbean Climates at LTTG Targets Achieved with SRM Application
- Similar to Figure 7 the plots in row 1 suggest that the Caribbean’s bimodal precipitation and temperature patterns hold in the future under global warming. This is true for all three global temperature targets (patterns for 2.0 °C and 2.5 °C not shown).
- G3 and G4 show negligible or small (less than ~0.1 °C) changes in mean monthly Caribbean temperatures for LTTGs derived with or without SRM (rows 2–4).
- Unlike air temperatures, under G3 and G4 SRM produces varied changes in precipitation amounts relative to HadGEM_unaltered at the same LTTG. G3 (G4) monthly precipitation differences range between −9 to 5% (−15 to 4%), −3 to 21% (−4 to 26%) and −5 to 21% (−10 to 15%) at the 1.5, 2.0 and 2.5 °C targets respectively.
- February through July, October and December are drier at LTTG 1.5 °C under G4 than for HadGEM_unaltered. Largest changes (up to 15%) occur between March and July including the early rainfall season. G3 shows similar signed but generally smaller monthly tendencies for the same months. In contrast, January to July, November and December (February to September, November and December) are wetter at LTTG 2.0 °C for G4 (G3) compared to HadGEM_unaltered. G3 and G4 also, in general, result in wetter conditions at LTTG 2.5 °C than for HadGEM_unaltered.
4. Discussion and Conclusions
- SRM has the potential to delay attainment of the 1.5, 2.0 and 2.5 °C global warming targets.
- SRM has the potential to produce significantly different Caribbean climates during LTTG temperature years.
- It matters how the 1.5, 2.0 and 2.5 °C targets are achieved, i.e., with or without SRM.
Author Contributions
Funding
Acknowledgments
Conflicts of Interest
References
- Taylor, M.A.; Clarke, L.A.; Centeala, A.; Bezanilla, A.; Stephenson, T.S.; Jones, J.J.; Campbell, J.D.; Vichot, A.; Charlery, J. Future Caribbean Climates in a World of Rising Temperatures: The 1.5 vs. 2.0 Dilemma. J. Clim. 2018, 31, 2907–2926. [Google Scholar] [CrossRef]
- Campbell, J.D.; Taylor, M.A.; Stephenson, T.S.; Watson, R.A.; Whyte, F.S. Future climate of the Caribbean from a regional climate model. Int. J. Climatol. 2011, 31, 1866–1878. [Google Scholar] [CrossRef]
- Nurse, L.A.; McLean, R.F.; Agard, J.; Briguglio, L.; Duvat-Magnan, V.; Pelesikoti, N.; Tompkins, E.; Webb, A. Small Islands; Cambridge University Press: Cambridge, UK, 2014. [Google Scholar]
- Robinson, S.-A. Adapting to climate change at the national level in Caribbean small island developing states. Isl. Stud. J. 2018, 13, 79–100. [Google Scholar] [CrossRef]
- Mycoo, M.A. Beyond 1.5 °C: Vulnerabilities and adaptation strategies for Caribbean Small Island developing states. Reg. Environ. Chang. 2018, 18, 2341–2353. [Google Scholar] [CrossRef]
- Benjamin, L.; Thomas, A. 1.5 °C to stay alive? AOSIS and the long term temperature goal in the Paris Agreement. IUCN Acad. Environ. Law J. 2016, 7, 122–129. [Google Scholar] [CrossRef]
- Donk, P.; Van Uytven, E.; Willems, P.; Taylor, M.A. Assessment of the potential implications of a 1.5 °C versus higher global temperature rise for the Afobaka hydropower scheme in Suriname. Reg. Environ. Chang. 2018, 18, 2283–2295. [Google Scholar] [CrossRef]
- Lallo, C.H.; Cohen, J.; Rankine, D.; Taylor, M.; Cambell, J.; Stephenson, T. Characterizing heat stress on livestock using the temperature humidity index (THI)—Prospects for a warmer Caribbean. Reg. Environ. Chang. 2018, 18, 2329–2340. [Google Scholar]
- UNFCCC. Adoption of the Paris Agreement: Proposal by the President (Draft Decision). In Proceedings of the Conference of the Parties, Geneva, Switzerland, 30 November–11 December 2015. [Google Scholar]
- Raftery, A.E.; Zimmer, A.; Frierson, D.M.W.; Startz, R.; Liu, P. Less than 2 °C warming by 2100 unlikely. Nat. Clim. Chang. 2017, 7, 637. [Google Scholar] [CrossRef]
- MacMartin, D.G.; Ricke, K.L.; Keith, D.W. Solar geoengineering as part of an overall strategy for meeting the 1.5 °C Paris target. Phil. Trans. R. Soc. A 2018, 376, 20160454. [Google Scholar] [CrossRef]
- Van Vuuren, D.P.; Stehfest, E.; Gernaat, D.E.H.J.; van den Berg, M.; Bijl, D.L.; de Boer, H.Z.; Daioglou, V.; Doelman, J.C.; Edelenbosch, O.Y.; Harmsen, M.; et al. Alternative pathways to the 1.5 °C target reduce the need for negative emission technologies. Nat. Clim. Chang. 2018, 8, 391–397. [Google Scholar] [CrossRef]
- Masson-Delmotte, V.; Zhai, P.; Pörtner, H.-O.; Roberts, D.; Skea, J.; Shukla, P.R.; Pirani, A.; Moufouma-Okia, W.; Péan, C.; Pidcock, R.; et al. Global Warming of 1.5 °C: An IPCC Special Report on the Impacts of Global Warming of 1.5 °C Above Pre-industrial Levels and Related Global Greenhouse Gas Emission Pathways, in the Context of Strengthening the Global Response to the Threat of Climate Change, Sustainable Development, and Efforts to Eradicate Poverty; World Meteorological Organization: Geneva, Switzerland, 2018. [Google Scholar]
- Keith, D.W. Geoengineering. Nature 2001, 409, 420. [Google Scholar] [CrossRef]
- Caldeira, K.; Bala, G.; Cao, L. The science of geoengineering. Annu. Rev. Earth Planet. Sci. 2013, 41, 231–256. [Google Scholar] [CrossRef]
- Giannini, A.; Kushnir, Y.; Cane, M.A. Interannual Variability of Caribbean Rainfall, ENSO, and the Atlantic Ocean. J. Clim. 2000, 13, 297–311. [Google Scholar] [CrossRef]
- Taylor, M.A.; Enfield, D.B.; Chen, A.A. Influence of the tropical Atlantic versus the tropical Pacific on Caribbean rainfall. J. Geophys. Res. Oceans 2002, 107, 3127. [Google Scholar] [CrossRef]
- Collins, W.; Bellouin, N.; Doutriaux-Boucher, M.; Gedney, N.; Hinton, T.; Jones, C.D.; Liddicoat, S.; Martin, G.; O’Connor, F.; Rae, J.; et al. Evaluation of the HadGEM2 Model; Met Office Exeter: Devon, UK, 2008. [Google Scholar]
- Taylor, K.E.; Stouffer, R.J.; Meehl, G.A. An overview of CMIP5 and the experiment design. Bull. Am. Meteorol. Soc. 2012, 93, 485–498. [Google Scholar] [CrossRef]
- Kravitz, B.; Robock, A.; Boucher, O.; Schmidt, H.; Taylor, K.E.; Stenchikov, G.; Schulz, M. The geoengineering model intercomparison project (GeoMIP). Atmos. Sci.Lett. 2011, 12, 162–167. [Google Scholar] [CrossRef]
- Van Vuuren, D.P.; Edmonds, J.; Kainuma, M.; Riahi, K.; Thomson, A.; Hibbard, K.; Hurtt, G.C.; Kram, T.; Krey, V.; Lamarque, J.-F.; et al. The representative concentration pathways: An overview. Clim. Chang. 2011, 109, 5–31. [Google Scholar] [CrossRef]
- Hu, T.; Sun, Y.; Zhang, X. Temperature and precipitation projection at 1.5 and 2 °C increase in global mean temperature. Chin. Sci. Bull. 2017, 62, 3098–3111. [Google Scholar]
- Ryu, J.-H.; Hayhoe, K. Understanding the sources of Caribbean precipitation biases in CMIP3 and CMIP5 simulations. Clim. Dyn. 2014, 42, 3233–3252. [Google Scholar] [CrossRef]
- Adler, R.F.; Huffman, G.J.; Chang, A.; Ferraro, R.; Xie, P.-P.; Janowiak, J.; Rudolf, B.; Schneider, U.; Curtis, S.; Boldvin, D.; et al. The Version-2 Global Precipitation Climatology Project (GPCP) Monthly Precipitation Analysis (1979—Present). J. Hydrometeorol. 2003, 4, 1147–1167. [Google Scholar] [CrossRef]
- Hersbach, H. The ERA5 Atmospheric Reanalysis. In Proceedings of the AGU Fall Meetong, San Francisco, CA, USA, 12–16 December 2016; p. NG33D-01. [Google Scholar]
- Kanamitsu, M.; Ebisuzaki, W.; Woollen, J.; Yang, S.-K.; Hnilo, J.J.; Fiorino, M.; Potter, G.L. NCEP-DOE AMIP-II Reanalysis (R-2). Bull. Am. Meteorol. Soc. 2002, 83, 1631–1643. [Google Scholar] [CrossRef]
- Centella-Artola, A.; Bezanilla-Morlot, A.; Taylor, M.A.; Herrera, D.A.; Martinez-Castro, D.; Gouirand, I.; Sierra-Lorenzo, M.; Vichot-Llano, A.; Stephenson, T.; Fonseca, C.; et al. Evaluation of Sixteen Gridded Precipitation Datasets over the Caribbean Region Using Gauge Observations. Atmosphere 2020, 11, 1334. [Google Scholar] [CrossRef]
- Jury, M.R. An Intercomparison of Observational, Reanalysis, Satellite, and Coupled Model Data on Mean Rainfall in the Caribbean. J. Hydrometeorol. 2009, 10, 413–430. [Google Scholar] [CrossRef]
- Stephenson, T.S.; Goodess, C.M.; Haylock, M.R.; Chen, A.A.; Taylor, M.A. Detecting inhomogeneities in Caribbean and adjacent Caribbean temperature data using sea-surface temperatures. J. Geophys. Res. 2008, 113, D21116. [Google Scholar] [CrossRef]
- Jury, M.R.; Winter, A. Warming of an elevated layer over the Caribbean. Clim. Chang. 2010, 99, 247–259. [Google Scholar] [CrossRef]
- Spence, J.M.; Taylor, M.A.; Chen, A.A. The effect of concurrent sea-surface temperature anomalies in the tropical Pacific and Atlantic on Caribbean rainfall. Int. J. Climatol. 2004, 24, 1531–1541. [Google Scholar] [CrossRef]
- Kaplan, J.O.; New, M. Arctic climate change with a 2 °C global warming: Timing, climate patterns and vegetation change. Clim. Chang. 2006, 79, 213–241. [Google Scholar] [CrossRef]
- Anderson, B.T. Intensification of seasonal extremes given a 2 °C global warming target. Clim. Chang. 2012, 112, 325–337. [Google Scholar] [CrossRef]
- James, R.; Washington, R.; Schleussner, C.-F.; Rogelj, J.; Conway, D. Characterizing half-a-degree difference: A review of methods for identifying regional climate responses to global warming targets. Wiley Interdiscip. Rev. Clim. Chang. 2017, 8, e457. [Google Scholar] [CrossRef]
- Tilmes, S.; Garcia, R.R.; Kinnison, D.E.; Gettelman, A.; Rasch, P.J. Impact of geoengineered aerosols on the troposphere and stratosphere. J. Geophys. Res. Atmos. 2009, 114. [Google Scholar] [CrossRef]
- Robock, A. Volcanic eruptions and climate. Rev. Geophys. 2000, 38, 191–219. [Google Scholar] [CrossRef]
- Stennett-Brown, R.K.; Jones, J.J.P.; Stephenson, T.S.; Taylor, M.A. Future Caribbean temperature and rainfall extremes from statistical downscaling. Int. J. Climatol. 2017, 37, 4828–4845. [Google Scholar] [CrossRef]












| Dataset | Years Global Targets First Attained | 11 Year Blocks for Composites and Climatologies | ||||
|---|---|---|---|---|---|---|
| 1.5 °C | 2.0 °C | 2.5 °C | 1.5 °C | 2.0 °C | 2.5 °C | |
| HadGEM2-ES | 2029 (2029 to 2030) | 2043 (2042 to 2045) | 2060 (2056 to 2063) | 2024 to 2034 | 2038 to 2048 | 2055 to 2065 |
| G3 | 2037 (2032 to 2041) | 2070 (2069 to 2070) | 2077 (2076 to 2081) | 2032 to 2042 | 2065 to 2075 | 2072 to 2082 |
| G3_Con’t | 2079 | 2117 | ||||
| G4 | 2062 (2058 to 2063) | 2073 (2073 to 2074) | 2079 (2071 to 2081) | 2057 to 2067 | 2068 to 2078 | 2074 to 2084 |
| G4_Con’t | 2087 | 2110 | ||||
Publisher’s Note: MDPI stays neutral with regard to jurisdictional claims in published maps and institutional affiliations. |
© 2021 by the authors. Licensee MDPI, Basel, Switzerland. This article is an open access article distributed under the terms and conditions of the Creative Commons Attribution (CC BY) license (http://creativecommons.org/licenses/by/4.0/).
Share and Cite
Clarke, L.A.; Taylor, M.A.; Centella-Artola, A.; Williams, M.S.M.; Campbell, J.D.; Bezanilla-Morlot, A.; Stephenson, T.S. The Caribbean and 1.5 °C: Is SRM an Option? Atmosphere 2021, 12, 367. https://doi.org/10.3390/atmos12030367
Clarke LA, Taylor MA, Centella-Artola A, Williams MSM, Campbell JD, Bezanilla-Morlot A, Stephenson TS. The Caribbean and 1.5 °C: Is SRM an Option? Atmosphere. 2021; 12(3):367. https://doi.org/10.3390/atmos12030367
Chicago/Turabian StyleClarke, Leonardo A., Michael A. Taylor, Abel Centella-Artola, Matthew St. M. Williams, Jayaka D. Campbell, Arnoldo Bezanilla-Morlot, and Tannecia S. Stephenson. 2021. "The Caribbean and 1.5 °C: Is SRM an Option?" Atmosphere 12, no. 3: 367. https://doi.org/10.3390/atmos12030367
APA StyleClarke, L. A., Taylor, M. A., Centella-Artola, A., Williams, M. S. M., Campbell, J. D., Bezanilla-Morlot, A., & Stephenson, T. S. (2021). The Caribbean and 1.5 °C: Is SRM an Option? Atmosphere, 12(3), 367. https://doi.org/10.3390/atmos12030367

