Seasonal Estimates and Uncertainties of Snow Accumulation from CloudSat Precipitation Retrievals
Abstract
1. Introduction
2. Data
2.1. CloudSat 2C-SNOW-PROFILE
2.2. Gridded SWE Products
2.3. Weather Observations and Reanlaysis
3. Method
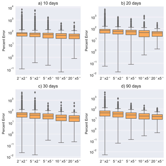
4. Estimated Accuracy of CloudSat Snow Accumulation Retrievals
5. Evaluation of CloudSat Snow Accumulation Estimates
6. Summary
Author Contributions
Funding
Institutional Review Board Statement
Informed Consent Statement
Data Availability Statement
Acknowledgments
Conflicts of Interest
Appendix A

References
- Liu, G. Deriving snow cloud characteristics from CloudSat observations. J. Geophys. Res. Atmos. 2009, 114, 1–13. [Google Scholar] [CrossRef]
- Behrangi, A.; Christensen, M.; Richardson, M.; Lebsock, M.; Stephens, G.; Huffman, G.J.; Bolvin, D.; Adler, R.F.; Gardner, A.; Lambrigtsen, B.; et al. Status of high-latitude precipitation estimates from observations and reanalyses. J. Geophys. Res. Atmos. 2016, 121, 4468–4486. [Google Scholar] [CrossRef] [PubMed]
- Mudryk, L.R.; Derksen, C.; Kushner, P.J.; Brown, R. Characterization of Northern Hemisphere snow water equivalent datasets, 1981–2010. J. Clim. 2015, 28, 8037–8051. [Google Scholar] [CrossRef]
- Behrangi, A.; Richardson, M. Observed High-Latitude Precipitation Amount and Pattern and CMIP5 Model Projections. Remote Sens. 2018, 10, 1583. [Google Scholar] [CrossRef]
- Rysman, J.-F.; Panegrossi, G.; Sanò, P.; Marra, A.C.; Dietrich, S.; Milani, L.; Kulie, M.S.; Casella, D.; Camplani, A.; Claud, C.; et al. Retrieving surface snowfall with the gpm microwave imager: A new module for the slalom algorithm. Geophys. Res. Lett. 2019, 46, 13593–13601. [Google Scholar] [CrossRef]
- Adhikari, A.; Ehsani, M.R.; Song, Y.; Behrangi, A. Comparative assessment of snowfall retrieval from Microwave Humidity Sounders using machine learning methods. Earth Space Sci. 2020, 7, e2020EA001357. [Google Scholar] [CrossRef]
- Stephens, G.L.; Vane, D.G.; Boain, R.J.; Mace, G.G.; Sassen, K.; Wang, Z.; Illingworth, A.J.; O’Connor, E.J.; Rossow, W.B.; Durden, S.; et al. The cloudsat mission and the A-Train: A new dimension of space-based observations of clouds and precipitation. Bull. Am. Meteorol. Soc. 2002, 83, 1771–1790. [Google Scholar] [CrossRef]
- Hou, A.Y.; Kakar, R.K.; Neeck, S.; Azarbarzin, A.A.; Kummerow, C.D.; Kojima, M.; Oki, R.; Nakamura, K.; Iguchi, T. The global precipitation measurement mission. Bull. Am. Meteorol. Soc. 2014, 95, 701–722. [Google Scholar] [CrossRef]
- Skofronick-Jackson, G.; Kulie, M.; Milani, L.; Munchak, S.J.; Wood, N.B.; Levizzani, V. Satellite Estimation of Falling Snow: A Global Precipitation Measurement (GPM) Core Observatory Perspective. J. Appl. Meteorol. Climatol. 2019, 58, 1429–1448. Available online: https://journals.ametsoc.org/view/journals/apme/58/7/jamc-d-18-0124.1.xml (accessed on 31 January 2021). [CrossRef]
- Casella, D.; Panegrossi, G.; Sanò, P.; Marra, A.; Dietrich, S.; Johnson, B.; Kulie, M. Evaluation of the GPM-DPR snowfall detection capability: Comparison with CloudSatCPR. Atmos. Res. 2017, 197, 64–75. Available online: http://www.sciencedirect.com/science/article/pii/S0169809516304677 (accessed on 3 February 2021). [CrossRef]
- Daloz, A.; Mateling, M.; L’Ecuyer, T.; Kulie, M.S.; Wood, N.B.; Durand, M.; Wrzesien, M.; Stjern, C.W.; Dimri, A.P. How much snow falls in the world’s mountains? A first look at mountain snowfall estimates in A-train observations and reanalyses. Cryosphere 2020, 14, 3195–3207. [Google Scholar] [CrossRef]
- Palerme, C.; Kay, J.E.; Genthon, C.; L’Ecuyer, T.; Wood, N.B.; Claud, C. How much snow falls on the Antarctic ice sheet? Cryosphere 2014, 8, 1577–1587. [Google Scholar] [CrossRef]
- Bennartz, R.; Fell, F.; Pettersen, C.; Shupe, M.; Schuettemeyer, D. Spatial and temporal variability of snowfall over Greenland from CloudSat observations. Atmos. Chem. Phys. 2019, 19, 8101–8121. [Google Scholar] [CrossRef]
- Cabaj, A.; Kushner, P.J.; Fletcher, C.G.; Howell, S.; Petty, A.A. Constraining reanalysis snowfall over the Arctic Ocean using CloudSat observations. Geophys. Res. Lett. 2020, 47, e2019GL086426. [Google Scholar] [CrossRef]
- Duffy, G.; Bennartz, R. The Role of Melting Snow in the Ocean Surface Heat Budget. Geophys. Res. Lett. 2018, 9782–9789. [Google Scholar] [CrossRef]
- Kulie, M.S.; Milani, L.; Wood, N.B.; Tushaus, S.A.; Bennartz, R.; L’Ecuyer, T.S. A Shallow Cumuliform Snowfall Census Using Spaceborne Radar. J. Hydrometeorol. 2016, 17, 1261–1279. [Google Scholar] [CrossRef]
- Milani, L.; Kulie, M.S.; Casella, D.; Dietrich, S.; L’Ecuyer, T.S.; Panegrossi, G.; Porcù, F.; Sanò, P.; Wood, N.B. CloudSat snowfall estimates over Antarctica and the Southern Ocean: An assessment of independent retrieval methodologies and multi-year snowfall analysis. Atmos. Res. 2018, 213, 121–135. [Google Scholar] [CrossRef]
- Palerme, C.; Claud, C.; Dufour, A.; Genthon, C.; Wood, N.B.; L’Ecuyer, T. Evaluation of Antarctic snowfall in global meteorological reanalyses. Atmos. Res. 2017, 190, 104–112. [Google Scholar] [CrossRef]
- Palerme, C.; Genthon, C.; Claud, C.; Kay, J.E.; Wood, N.B.; L’Ecuyer, T. Evaluation of current and projected Antarctic precipitation in CMIP5 models. Clim. Dyn. 2017, 48, 225–239. [Google Scholar] [CrossRef]
- Wood, N.B.; L’Ecuyer, T.S.; Vane, D.G.; Stephens, G.L.; Partain, P. Level 2C Snow Profile Process Description and Interface Control Document,. CloudSat Project, (D). Available online: http://www.cloudsat.cira.colostate.edu/sites/default/files/products/files/2C-SNOW-PROFILE_PDICD.P1_R05.rev0_.pdf (accessed on 3 February 2021).
- Milani and Wood 2019: CloudSat Bias on Falling Snow Estimates over the Daylight Only Operational Period (2012–2019). AGU Fall Meeting 2019. Available online: https://core.ac.uk/download/pdf/286392927.pdf (accessed on 3 February 2021).
- Chen, S.; Hong, Y.; Kulie, M.; Behrangi, A.; Stepanian, P.M.; Cao, Q.; You, Y.; Zhang, J.; Hu, J.; Zhang, X. Comparison of snowfall estimates from the NASA CloudSat Cloud Profiling Radar and NOAA/NSSL Multi-Radar Multi-Sensor System. J. Hydrol. 2016, 541, 862–872. [Google Scholar] [CrossRef]
- Matrosov, S.Y.; Battaglia, A. Influence of multiple scattering on CloudSat measurements in snow: A model study. Geophys. Res. Lett. 2009, 36, 2–5. [Google Scholar] [CrossRef]
- Grazioli, J.; Madeleine, J.-B.; Gallée, H.; Forbes, R.M.; Genthon, C.; Krinner, G.; Berne, A. Katabatic winds diminish precipitation contribution to the Antarctic ice mass balance. Proc. Natl. Acad. Sci. USA 2017, 201707633. [Google Scholar] [CrossRef] [PubMed]
- Maahn, M.; Burgard, C.; Crewell, S.; Gorodetskaya, I.V.; Kneifel, S.; Lhermitte, S.; Tricht, K.V.; van Lipzig, N.P.M. How does the spaceborne radar blind zone affect derived surface snowfall statistics in polar regions? J. Geophys. Res. Atmos. 2014, 119, 13. [Google Scholar] [CrossRef]
- Brown, R.D.; Brasnett, B.; Robinson, D. Gridded North American monthly snow depth and snow water equivalent for GCM evaluation. Atmos.-Ocean 2003, 41, 1–14. [Google Scholar] [CrossRef]
- Brasnett, B. A Global Analysis of Snow Depth for Numerical Weather Prediction. J. Appl. Meteorol. 1999, 38, 726–740. [Google Scholar] [CrossRef]
- Brun, E.; Martin, E.; Simon, V.; Gendre, C.; Coleou, C. An Energy and Mass Model of Snow Cover Suitable for Operational Avalanche Forecasting. J. Glaciol. 1989, 35, 333–342. [Google Scholar] [CrossRef]
- Takala, M.; Luojus, K.; Pulliainen, J.; Derksen, C.; Lemmetyinen, J.; Kärnä, J.P.; Koskinen, J.; Bojkov, B. Estimating northern hemisphere snow water equivalent for climate research through assimilation of space-borne radiometer data and ground-based measurements. Remote Sens. Environ. 2011, 115, 3517–3529. [Google Scholar] [CrossRef]
- Gelaro, R.; McCarty, W.; Suárez, M.J.; Todling, R.; Molod, A.; Takacs, L.; Randles, C.; Darmenov, A.; Bosilovich, M.G.; Reichle, R.; et al. The Modern-Era Retrospective Analysis for Research and Applications, Version 2 (MERRA-2). J. Clim. 2017, 30, 5419–5454. [Google Scholar] [CrossRef]
- Kochendorfer, J.; Rasmussen, R.; Wolff, M.; Baker, B.; Hall, M.E.; Meyers, T.; Landolt, S.; Jachcik, A.; Isaksen, K.; Brækkan, R.; et al. The quantification and correction of wind-induced precipitation measurement errors. Hydrol. Earth Syst. Sci. 2017, 21, 1973–1989. [Google Scholar] [CrossRef]
- Mekis, E.; Donaldson, N.; Reid, J.; Zucconi, A.; Hoover, J.; Li, Q.; Nitu, R.; Melo, S. An overview of surface-based precipitation observations at environment and climate change Canada. Atmos.-Ocean 2018, 56, 71–95. [Google Scholar] [CrossRef]
- Solman, S.A.; Sanchez, E.; Samuelsson, P.; da Rocha, R.P.; Li, L.; Marengo, J.; Pessacg, N.L.; Remedio, A.R.C.; Chou, S.C.; Berbery, H.; et al. Evaluation of an ensemble of regional climate model simulations over South America driven by the ERA-Interim reanalysis: Model performance and uncertainties. Clim. Dyn. 2013, 41, 1139–1157. [Google Scholar] [CrossRef]
- Orsolini, Y.J.; Senan, R.; Balsamo, G.; Doblas-Reyes, F.J.; Vitart, F.; Weisheimer, A.; Carrasco, A.; Benestad, R.E. Impact of snow initialization on sub-seasonal forecasts. Clim. Dyn. 2013, 41, 1969–1982. [Google Scholar] [CrossRef]
- Quets, J.; De Lannoy, G.J.; Al Yaari, A.; Chan, S.; Cosh, M.H.; Gruber, A.; Reichle, R.H.; Van der Schalie, R.; Wigneron, J.P. Uncertainty in soil moisture retrievals: An ensemble approach using SMOS L-band microwave data. Remote Sens. Environ. 2019, 229, 133–147. [Google Scholar] [CrossRef]
- Oozeer, Y.; Fletcher, C.G.; Champagne, C. Evaluation of Satellite-Derived Surface Soil Moisture Products over Agricultural Regions of Canada. Remote Sens. 2020, 12, 1455. [Google Scholar] [CrossRef]
- King, F.; Fletcher, C.G. Using CloudSat-CPR retrievals to estimate snow accumulation in the Canadian Arctic. Earth Space Sci. 2020, 7, e2019EA000776. [Google Scholar] [CrossRef]
- Rife, D.L.; Pinto, J.O.; Monaghan, A.J.; Davis, C.A.; Hannan, J.R. NCAR Global Climate Four-Dimensional Data Assimilation (CFDDA) Hourly 40 km Reanalysis; The National Center for Atmospheric Research, Computational and Information Systems Laboratory: Boulder, CO, USA, 2014. [Google Scholar] [CrossRef]
- Norin, L.; Devasthale, A.; L’Ecuyer, T.S.; Wood, N.B.; Smalley, M. Intercomparison of snowfall estimates derived from the CloudSat Cloud Profiling Radar and the ground-based weather radar network over Sweden. Atmos. Meas. Tech. 2015, 8, 5009–5021. [Google Scholar] [CrossRef]
- Souverijns, N.; Gossart, A.; Lhermitte, S.; Gorodetskaya, I.V.; Grazioli, J.; Berne, A.; Duran-Alarcon, C.; Boudevillain, B.; Genthon, C.; Scarchilli, C.; et al. Evaluation of the CloudSat surface snowfall product over Antarctica using ground-based precipitation radars. Cryosphere 2018, 12, 3775–3789. [Google Scholar] [CrossRef]
- Palerme, C.; Claud, C.; Wood, N.B.; L’Ecuyer, T.; Genthon, C. How Does Ground Clutter Affect CloudSat Snowfall Retrievals over Ice Sheets? IEEE Geosci. Remote Sensing Lett. 2019, 16, 342–346. [Google Scholar] [CrossRef]








Publisher’s Note: MDPI stays neutral with regard to jurisdictional claims in published maps and institutional affiliations. |
© 2021 by the authors. Licensee MDPI, Basel, Switzerland. This article is an open access article distributed under the terms and conditions of the Creative Commons Attribution (CC BY) license (http://creativecommons.org/licenses/by/4.0/).
Share and Cite
Duffy, G.; King, F.; Bennartz, R.; Fletcher, C.G. Seasonal Estimates and Uncertainties of Snow Accumulation from CloudSat Precipitation Retrievals. Atmosphere 2021, 12, 363. https://doi.org/10.3390/atmos12030363
Duffy G, King F, Bennartz R, Fletcher CG. Seasonal Estimates and Uncertainties of Snow Accumulation from CloudSat Precipitation Retrievals. Atmosphere. 2021; 12(3):363. https://doi.org/10.3390/atmos12030363
Chicago/Turabian StyleDuffy, George, Fraser King, Ralf Bennartz, and Christopher G. Fletcher. 2021. "Seasonal Estimates and Uncertainties of Snow Accumulation from CloudSat Precipitation Retrievals" Atmosphere 12, no. 3: 363. https://doi.org/10.3390/atmos12030363
APA StyleDuffy, G., King, F., Bennartz, R., & Fletcher, C. G. (2021). Seasonal Estimates and Uncertainties of Snow Accumulation from CloudSat Precipitation Retrievals. Atmosphere, 12(3), 363. https://doi.org/10.3390/atmos12030363

