Validation of CloudSat-CPR Derived Precipitation Occurrence and Phase Estimates across Canada
Abstract
1. Introduction
2. Datasets and Methodology
2.1. ECCC Hourly Present Weather Observations
2.2. CloudSat-CPR
2.3. POSS Weather Data
2.4. Method of Validation
3. Validation at Eureka, NU
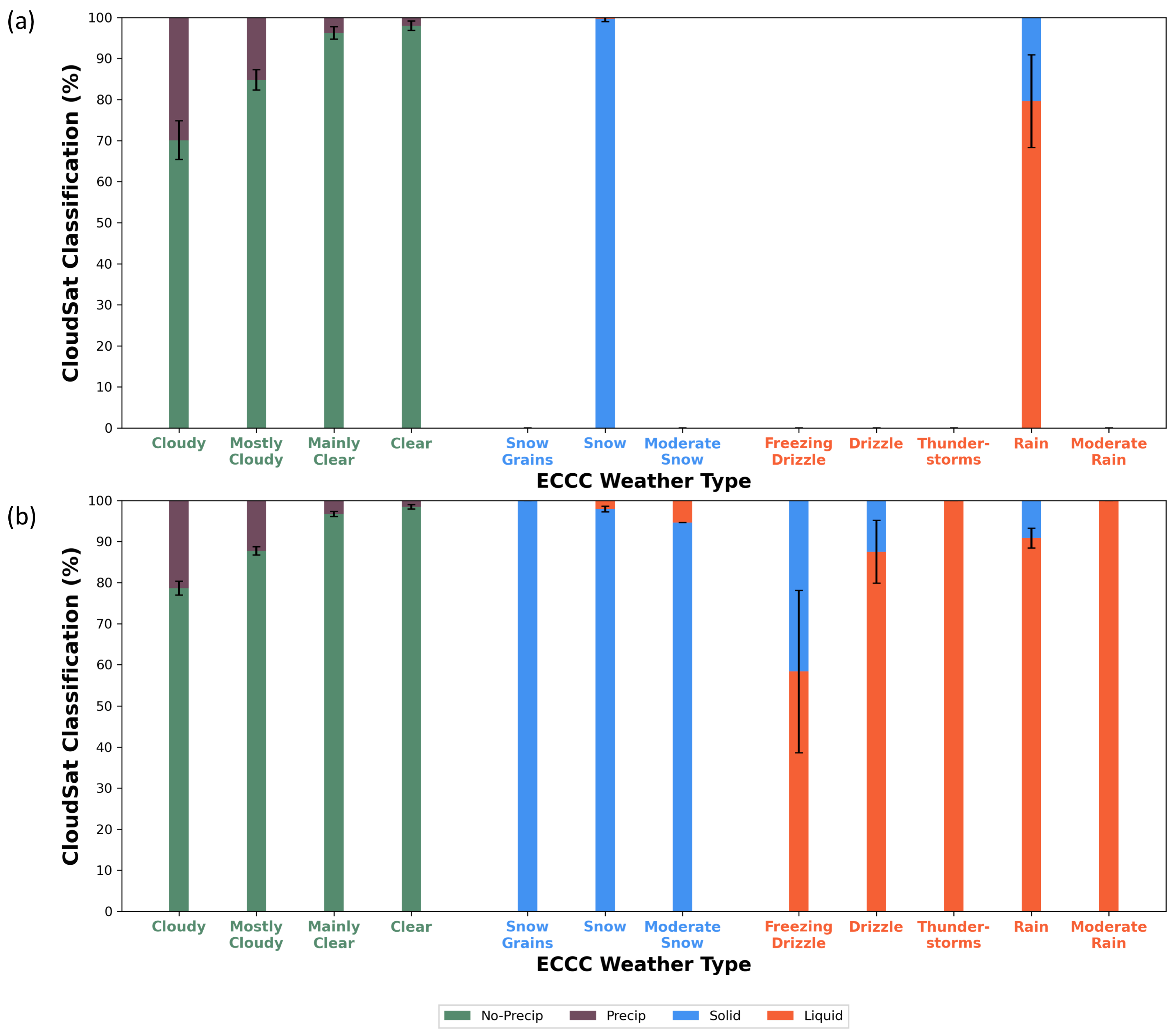
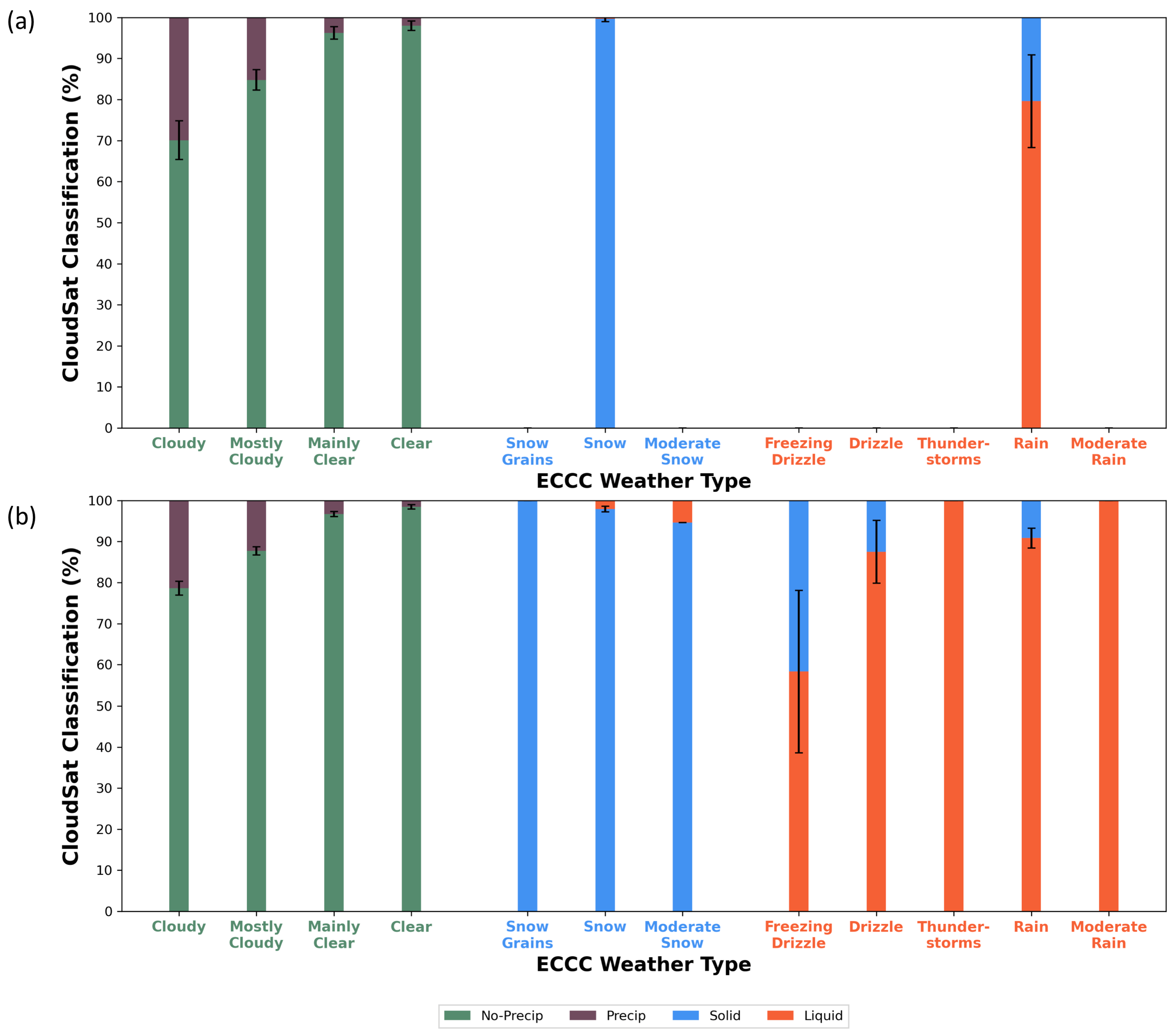
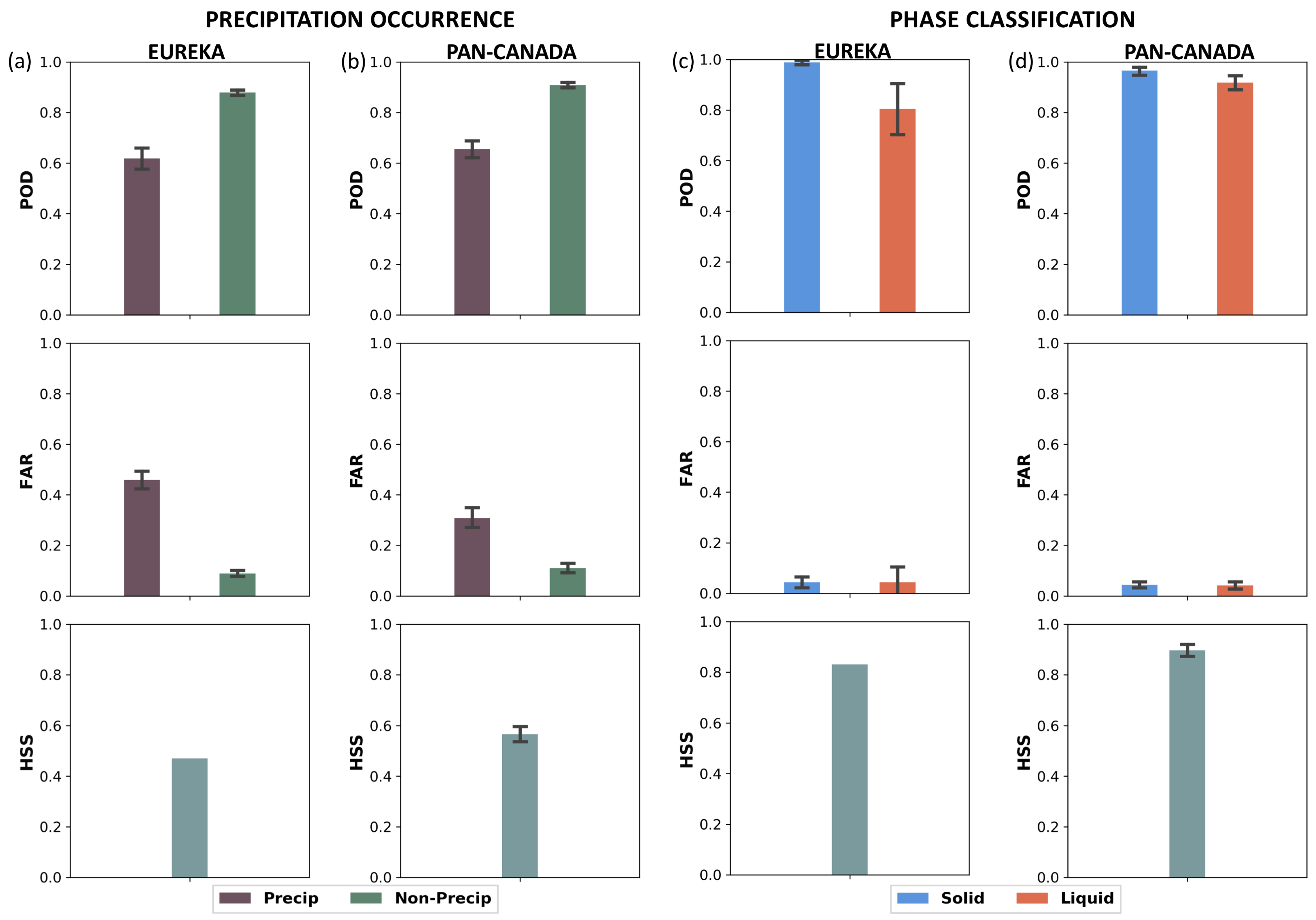
3.1. Detection of Precipitation Occurrence and Phase
3.2. Factors Influencing Detection
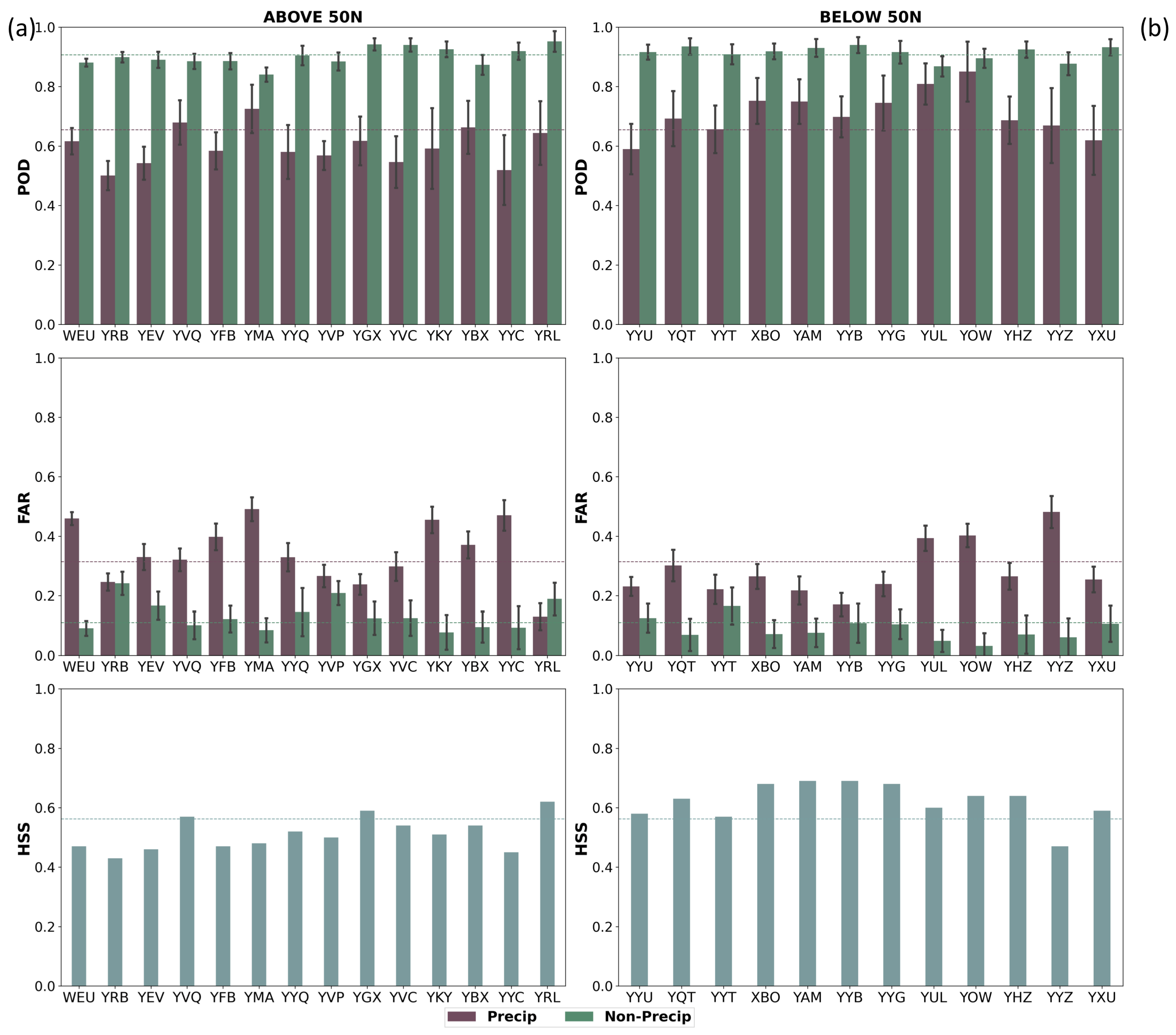
4. Validation Across Canada
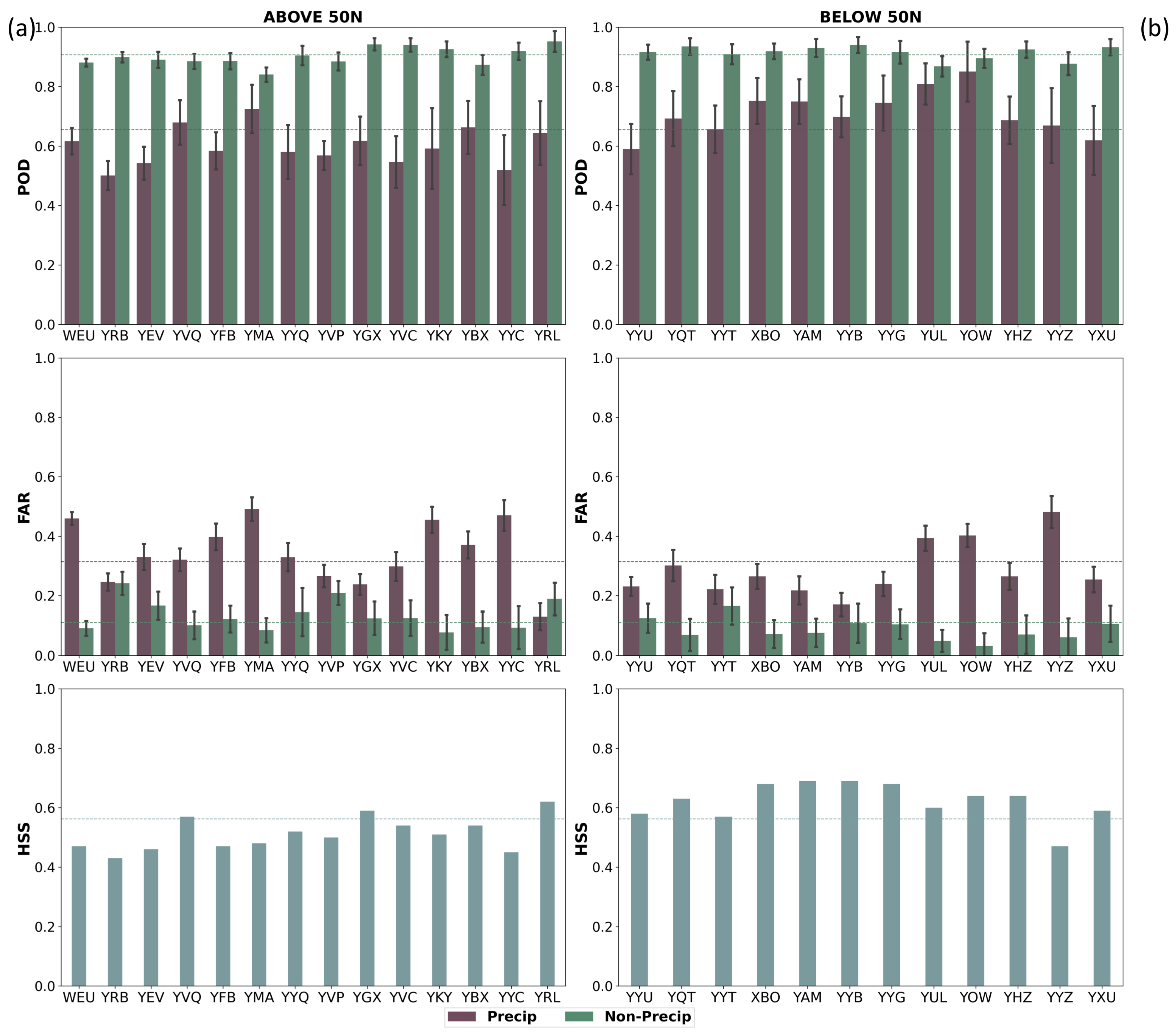
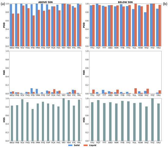
4.1. Detection of Precipitation Occurrence and Phase
4.2. Influence of Precipitation Intensity
4.3. Physical Factors Affecting Detection
5. Summary and Conclusions
Author Contributions
Funding
Institutional Review Board Statement
Informed Consent Statement
Data Availability Statement
Acknowledgments
Conflicts of Interest
References
- Derksen, C.; Smith, S.L.; Sharp, M.; Brown, L.; Howell, S.; Copland, L.; Mueller, D.R.; Gauthier, Y.; Fletcher, C.G.; Tivy, A.; et al. Variability and change in the Canadian cryosphere. Clim. Chang. 2012, 115, 59–88. [Google Scholar] [CrossRef]
- Thackeray, C.W.; Fletcher, C.G.; Derksen, C. Quantifying the skill of CMIP5 models in simulating seasonal albedo and snow cover evolution. J. Geophys. Res. Atmos. 2015, 120, 5831–5849. [Google Scholar] [CrossRef]
- Robinson, D.; Frei, A. Seasonal Variability of Northern Hemisphere Snow Extent Using Visible Satellite Data. Prof. Geogr. 2000, 52, 307–315. [Google Scholar] [CrossRef]
- Thackeray, C.W.; Fletcher, C.G.; Derksen, C. The influence of canopy snow parameterizations on snow albedo feedback in boreal forest regions. J. Geophys. Res. Atmos. 2014, 119, 9810–9821. [Google Scholar] [CrossRef]
- Birkeland, K.W.; Mock, C.J. Atmospheric Circulation Patterns Associated with Heavy Snowfall Events, Bridger Bowl, Montana, U.S.A. Mt. Res. Dev. 1996, 16, 281–286. [Google Scholar] [CrossRef]
- Norin, L.; Devasthale, A.; L’Ecuyer, T.S.; Wood, N.B.; Smalley, M. Intercomparison of snowfall estimates derived from the CloudSat Cloud Profiling Radar and the ground-based weather radar network over Sweden. Atmos. Meas. Tech. 2015, 8, 5009–5021. [Google Scholar] [CrossRef]
- Mudryk, L.R.; Derksen, C.; Howell, S.; Laliberté, F.; Thackeray, C.; Sospedra-Alfonso, R.; Vionnet, V.; Kushner, P.J.; Brown, R. Canadian snow and sea ice: Historical trends and projections. Cryosphere 2018, 12, 1157–1176. [Google Scholar] [CrossRef]
- Barnett, T.P.; Adam, J.C.; Lettenmaier, D.P. Potential impacts of a warming climate on water availability in snow-dominated regions. Nature 2005, 438, 303–309. [Google Scholar] [CrossRef]
- Flanner, M.G.; Shell, K.M.; Barlage, M.; Perovich, D.K.; Tschudi, M.A. Radiative forcing and albedo feedback from the Northern Hemisphere cryosphere between 1979 and 2008. Nat. Geosci. 2011, 4, 151–155. [Google Scholar] [CrossRef]
- Mekis, E.; Donaldson, N.; Reid, J.; Zucconi, A.; Hoover, J.; Li, Q.; Nitu, R.; Melo, S. An Overview of Surface-Based Precipitation Observations at Environment and Climate Change Canada. Atmos. Ocean 2018, 56, 71–95. [Google Scholar] [CrossRef]
- Kulie, M.S.; Bennartz, R. Utilizing Spaceborne Radars to Retrieve Dry Snowfall. J. Appl. Meteorol. Climatol. 2009, 48, 2564–2580. [Google Scholar] [CrossRef]
- Shi, J. Active Microwave Remote Sensing Systems and Applications to Snow Monitoring. In Advances in Land Remote Sensing: System, Modeling, Inversion and Application; Liang, S., Ed.; Springer: Dordrecht, The Netherlands, 2008; pp. 19–49. [Google Scholar] [CrossRef]
- Dai, A. Temperature and pressure dependence of the rain-snow phase transition over land and ocean. Geophys. Res. Lett. 2008, 35, L12802. [Google Scholar] [CrossRef]
- Mizukami, N.; Koren, V.; Smith, M.; Kingsmill, D.; Zhang, Z.; Cosgrove, B.; Cui, Z. The Impact of Precipitation Type Discrimination on Hydrologic Simulation: Rain–Snow Partitioning Derived from HMT-West Radar-Detected Brightband Height versus Surface Temperature Data. J. Hydrometeorol. 2013, 14, 1139–1158. [Google Scholar] [CrossRef]
- Wen, Y.; Behrangi, A.; Lambrigtsen, B.; Kirstetter, P.E. Evaluation and Uncertainty Estimation of the Latest Radar and Satellite Snowfall Products Using SNOTEL Measurements over Mountainous Regions in Western United States. Remote Sens. 2016, 8, 904. [Google Scholar] [CrossRef]
- Wayand, N.E.; Clark, M.P.; Lundquist, J.D. Diagnosing snow accumulation errors in a rain-snow transitional environment with snow board observations. Hydrol. Process. 2017, 31, 349–363. [Google Scholar] [CrossRef]
- Jennings, K.S.; Winchell, T.S.; Livneh, B.; Molotch, N.P. Spatial variation of the rain–snow temperature threshold across the Northern Hemisphere. Nat. Commun. 2018, 9. [Google Scholar] [CrossRef] [PubMed]
- Meteorological Service of Canada. MANOBS—Manual of Surface Weather Observations; OCLC: 907906587; Environment Canada: Gatineau, QC, Canada, 2015.
- Sheppard, B.E.; Joe, P.I. Automated Precipitation Detection and Typing in Winter: A Two-Year Study. J. Atmos. Ocean. Technol. 2000, 17, 1493–1507. [Google Scholar] [CrossRef]
- Intrieri, J.M.; Shupe, M.D. Characteristics and Radiative Effects of Diamond Dust over the Western Arctic Ocean Region. J. Clim. 2004, 17, 2953–2960. [Google Scholar] [CrossRef]
- Cao, Q.; Hong, Y.; Chen, S.; Gourley, J.J.; Zhang, J.; Kirstetter, P.E. Snowfall Detectability Of Nasa’s Cloudsat: The First Cross-Investigation of Its 2c-Snow-Profile Product and National Multi-Sensor Mosaic Qpe (Nmq) Snowfall Data. Prog. Electromagn. Res. 2014, 148, 55–61. [Google Scholar] [CrossRef]
- Derksen, C.; Walker, A.E. Identification of systematic bias in the cross-platform (SMMR and SSM/I) EASE-Grid brightness temperature time series. IEEE Trans. Geosci. Remote Sens. 2003, 41, 910–915. [Google Scholar] [CrossRef]
- Foster, J.L.; Sun, C.; Walker, J.P.; Kelly, R.; Chang, A.; Dong, J.; Powell, H. Quantifying the uncertainty in passive microwave snow water equivalent observations. Remote Sens. Environ. 2005, 94, 187–203. [Google Scholar] [CrossRef]
- Behrangi, A.; Lebsock, M.; Wong, S.; Lambrigtsen, B. On the quantification of oceanic rainfall using spaceborne sensors. J. Geophys. Res. Atmos. 2012, 117. [Google Scholar] [CrossRef]
- Tang, L.; Tian, Y.; Lin, X. Validation of precipitation retrievals over land from satellite-based passive microwave sensors. J. Geophys. Res. Atmos. 2014, 119, 4546–4567. [Google Scholar] [CrossRef]
- Dietz, A.J.; Kuenzer, C.; Gessner, U.; Dech, S. Remote sensing of snow—A review of available methods. Int. J. Remote Sens. 2012, 33, 4094–4134. [Google Scholar] [CrossRef]
- Stephens, G.L.; Li, J.; Wild, M.; Clayson, C.A.; Loeb, N.; Kato, S.; L’Ecuyer, T.; Stackhouse, P.W.; Lebsock, M.; Andrews, T. An update on Earth’s energy balance in light of the latest global observations. Nat. Geosci. 2012, 5, 691–696. [Google Scholar] [CrossRef]
- Liu, G. Deriving snow cloud characteristics from CloudSat observations. J. Geophys. Res. Atmos. 2008, 113. [Google Scholar] [CrossRef]
- Hiley, M.J.; Kulie, M.S.; Bennartz, R. Uncertainty Analysis for CloudSat Snowfall Retrievals. J. Appl. Meteorol. Climatol. 2010, 50, 399–418. [Google Scholar] [CrossRef]
- Kulie, M.S.; Milani, L.; Wood, N.B.; Tushaus, S.A.; Bennartz, R.; L’Ecuyer, T.S. A Shallow Cumuliform Snowfall Census Using Spaceborne Radar. J. Hydrometeorol. 2016, 17, 1261–1279. [Google Scholar] [CrossRef]
- Wood, N.B. Estimation of Snow Microphysical Properties with Application to Millimeter-Wavelength Radar Retrievals for Snowfall Rate. Ph.D. Thesis, Colorado State University, Fort Collins, CO, USA, 2011. [Google Scholar]
- Marchand, R.; Mace, G.G.; Ackerman, T.; Stephens, G. Hydrometeor Detection Using Cloudsat —An Earth-Orbiting 94-GHz Cloud Radar. J. Atmos. Ocean. Technol. 2008, 25, 519–533. [Google Scholar] [CrossRef]
- Hudak, D.; Rodriguez, P.; Donaldson, N. Validation of the CloudSat precipitation occurrence algorithm using the Canadian C band radar network. J. Geophys. Res. Atmos. 2008, 113. [Google Scholar] [CrossRef]
- Chen, S.; Hong, Y.; Kulie, M.; Behrangi, A.; Stepanian, P.M.; Cao, Q.; You, Y.; Zhang, J.; Hu, J.; Zhang, X. Comparison of snowfall estimates from the NASA CloudSat Cloud Profiling Radar and NOAA/NSSL Multi-Radar Multi-Sensor System. J. Hydrol. 2016, 541, 862–872. [Google Scholar] [CrossRef]
- Stephens, G.L.; Vane, D.G.; Tanelli, S.; Im, E.; Durden, S.; Rokey, M.; Reinke, D.; Partain, P.; Mace, G.G.; Austin, R.; et al. CloudSat mission: Performance and early science after the first year of operation. J. Geophys. Res. Atmos. 2008, 113, D00A18. [Google Scholar] [CrossRef]
- Chen, A.; Leptoukh, G.; Di, L.; Nadeau, D.; Farley, J.; Lynnes, C.; Kempler, S. Visualization of and Access to CloudSat Vertical Data through Google Earth. Nat. Preced. 2007, 1. [Google Scholar] [CrossRef]
- Smalley, M.; L’Ecuyer, T.; Lebsock, M.; Haynes, J. A Comparison of Precipitation Occurrence from the NCEP Stage IV QPE Product and the CloudSat Cloud Profiling Radar. J. Hydrometeorol. 2013, 15, 444–458. [Google Scholar] [CrossRef]
- Cronk, H.; Partain, P. CloudSat ECMWF-AUX Auxillary Data ProductProcess Description and Interface Control Document; Technical Report; Colorado State University: Fort Collins, CO, USA, 2017. [Google Scholar]
- ECMWF. IFS Documentation CY46R1. In ECMWF Forecast User Guide; ECMWF: Reading, UK, 2019. [Google Scholar]
- Palerme, C.; Genthon, C.; Claud, C.; Kay, J.E.; Wood, N.B.; L’Ecuyer, T. Evaluation of current and projected Antarctic precipitation in CMIP5 models. Clim. Dyn. 2017, 48, 225–239. [Google Scholar] [CrossRef]
- Milani, L.; Kulie, M.S.; Casella, D.; Dietrich, S.; L’Ecuyer, T.S.; Panegrossi, G.; Porcù, F.; Sanò, P.; Wood, N.B. CloudSat snowfall estimates over Antarctica and the Southern Ocean: An assessment of independent retrieval methodologies and multi-year snowfall analysis. Atmos. Res. 2018, 213, 121–135. [Google Scholar] [CrossRef]
- Panegrossi, G.; Rysman, J.F.; Casella, D.; Marra, A.C.; Sanò, P.; Kulie, M.S. CloudSat-Based Assessment of GPM Microwave Imager Snowfall Observation Capabilities. Remote Sens. 2017, 9, 1263. [Google Scholar] [CrossRef]
- Sheppard, B.E. Sampling Errors in the Measurement of Rainfall Parameters Using the Precipitation Occurrence Sensor System (POSS). J. Atmos. Ocean. Technol. 2007, 24, 125–140. [Google Scholar] [CrossRef]
- Sheppard, B.E.; Joe, P.I. Performance of the Precipitation Occurrence Sensor System as a Precipitation Gauge. J. Atmos. Ocean. Technol. 2008, 25, 196–212. [Google Scholar] [CrossRef]
- Castellani, B.B.; Shupe, M.D.; Hudak, D.R.; Sheppard, B.E. The annual cycle of snowfall at Summit, Greenland. J. Geophys. Res. Atmos. 2015, 120, 6654–6668. [Google Scholar] [CrossRef]
- Wood, N.; L’Ecuyer, T. Level 2C Snow Profile Process Description and Interface Control Document. 2018. Available online: http://www.cloudsat.cira.colostate.edu/sites/default/files/products/files/2C-SNOW-PROFILE_PDICD.P_R04.20130210.pdf (accessed on 23 February 2021).
- Wilks, D.S. Statistical Methods in the aTmospheric Sciences; Academic Press: Amsterdam, The Netherlands; Boston, MA, USA, 2006. [Google Scholar]
- Heidke, P. Berechnung des Erfolges und der Güte der Windstärkevorhersagen im Sturmwarnungsdienst. Geogr. Ann. 1926, 8, 301–349. [Google Scholar] [CrossRef]
- Fall, V.M.; Cao, Q.; Hong, Y. Intercomparison of Vertical Structure of Storms Revealed by Ground-Based (NMQ) and Spaceborne Radars (CloudSat-CPR and TRMM-PR). Sci. World J. 2013, 2013. [Google Scholar] [CrossRef]
- Fargey, S.; Henson, W.; Hanesiak, J.; Goodson, R. Characterization of an unexpected snowfall event in Iqaluit, Nunavut, and surrounding area during the Storm Studies in the Arctic field project. J. Geophys. Res. Atmos. 2014, 119, 5492–5511. [Google Scholar] [CrossRef]
- Haynes, J.M.; L’Ecuyer, T.S.; Stephens, G.L.; Miller, S.D.; Mitrescu, C.; Wood, N.B.; Tanelli, S. Rainfall retrieval over the ocean with spaceborne W-band radar. J. Geophys. Res. Atmos. 2009, 114. [Google Scholar] [CrossRef]
- Wang, Y.; You, Y.; Kulie, M. Global Virga Precipitation Distribution Derived From Three Spaceborne Radars and Its Contribution to the False Radiometer Precipitation Detection. Geophys. Res. Lett. 2018, 45, 4446–4455. [Google Scholar] [CrossRef]
- Thériault, J.M.; Stewart, R.E.; Henson, W. On the Dependence of Winter Precipitation Types on Temperature, Precipitation Rate, and Associated Features. J. Appl. Meteorol. Climatol. 2010, 49, 1429–1442. [Google Scholar] [CrossRef]
- Merenti-Välimäki, H.L.; Lönnqvist, J.; Laininen, P. Present weather: Comparing human observations and one type of automated sensor. Meteorol. Appl. 2001, 8, 491–496. [Google Scholar] [CrossRef]
- Lesbock, M. Level 2C RAIN-PROFILE Product Process Description and Interface Control Document; Technical Report; NASA: Washington, DC, USA, 2018.
- Sims, E.M.; Liu, G. A Parameterization of the Probability of Snow–Rain Transition. J. Hydrometeorol. 2015, 16, 1466–1477. [Google Scholar] [CrossRef]
- Wen, L.; Nagabhatla, N.; Lü, S.; Wang, S.Y. Impact of rain snow threshold temperature on snow depth simulation in land surface and regional atmospheric models. Adv. Atmos. Sci. 2013, 30, 1449–1460. [Google Scholar] [CrossRef]
- Ye, H.; Cohen, J.; Rawlins, M. Discrimination of Solid from Liquid Precipitation over Northern Eurasia Using Surface Atmospheric Conditions. J. Hydrometeorol. 2013, 14, 1345–1355. [Google Scholar] [CrossRef]
- Motoyama, H. Simulation of Seasonal Snowcover Based on Air Temperature and Precipitation. J. Appl. Meteorol. 1990, 29, 1104–1110. [Google Scholar] [CrossRef]
- King, F.D.M. Validating CloudSat-CPR Retrievals for the Estimation of Snow Accumulation in the Canadian Arctic. Master’s Thesis, University of Waterloo, Waterloo, ON, Canada, 2019. [Google Scholar]










| CloudSat Product | Version | Extracted Variables | Units |
|---|---|---|---|
| ECMWF-AUX | P_R05 | 2 m temperature | K |
| 2C-PRECIP-COLUMN | P_R05 | Precipitation flag | - |
| Melted mass fraction | - | ||
| Near surface reflectivity | dBZe | ||
| Height of top of lowest significant cloud layer | km | ||
| 2C-SNOW-PROFILE | P1_R05 | Surface snowfall rate | mm/h |
| Ground | Solid | Liquid | |
|---|---|---|---|
| CloudSat | |||
| Solid | a | b | |
| Liquid | c | d | |
| Sl No. | Station | Station Code | Lat (°) | Lon (°) | Solid | Liquid | No-Precip |
|---|---|---|---|---|---|---|---|
| 1 | Eureka | WEU | 79.99 | −85.93 | 502 | 81 | 2469 |
| 2 | Resolute−Bay | YRB | 74.72 | −94.97 | 391 | 85 | 762 |
| 3 | Inuvik | YEV | 68.67 | −133.68 | 163 | 86 | 637 |
| 4 | Norman Wells | YVQ | 65.28 | −126.80 | 153 | 54 | 617 |
| 5 | Iqaluit | YFB | 63.75 | −68.54 | 113 | 55 | 511 |
| 6 | Mayo | YMA | 63.62 | −135.87 | 88 | 55 | 632 |
| 7 | Churchill | YYQ | 58.73 | −94.07 | 95 | 30 | 342 |
| 8 | Kuujjuaq | YVP | 58.34 | −68.38 | 166 | 103 | 499 |
| 9 | Gilllam | YGX | 56.34 | −94.70 | 86 | 42 | 418 |
| 10 | La Ronge | YVC | 55.11 | −105.29 | 83 | 33 | 416 |
| 11 | Kindersley | YKY | 51.52 | −109.18 | 33 | 29 | 428 |
| 12 | Blanc Sablon | YBX | 51.44 | −57.13 | 55 | 79 | 405 |
| 13 | Calgary | YYC | 51.11 | −114.02 | 39 | 29 | 389 |
| 14 | Red Lake | YRL | 51.09 | −93.69 | 64 | 40 | 196 |
| 15 | Kapuskasing | YYU | 49.40 | −82.41 | 94 | 63 | 410 |
| 16 | Thunder−Bay | YQT | 48.45 | −89.32 | 44 | 38 | 341 |
| 17 | St. John’s | YYT | 47.62 | −52.74 | 40 | 86 | 262 |
| 18 | Quebec | XBO | 46.83 | −71.25 | 53 | 66 | 397 |
| 19 | Sault Ste Marie | YAM | 46.57 | −84.41 | 61 | 54 | 338 |
| 20 | North−Bay | YYB | 46.40 | −79.39 | 79 | 58 | 325 |
| 21 | Charlottetown | YYG | 46.29 | −63.13 | 34 | 48 | 249 |
| 22 | Montreal | YUL | 45.47 | −73.74 | 44 | 49 | 374 |
| 23 | Ottawa | YOW | 45.32 | −75.67 | 27 | 46 | 355 |
| 24 | Halifax | YHZ | 44.88 | −63.51 | 35 | 75 | 345 |
| 25 | Toronto | YYZ | 43.68 | −79.63 | 17 | 42 | 313 |
| 26 | London | YXU | 43.00 | −81.25 | 39 | 43 | 256 |
| pan-Canada | 2598 | 1469 | 12,686 |
| Present Weather Type | Pan-Canada | Eureka |
|---|---|---|
| Mostly cloudy | 4125 | 794 |
| Mainly clear | 3265 | 586 |
| Clear | 2982 | 725 |
| Snow | 2508 | 484 |
| Cloudy | 2314 | 364 |
| Rain | 1099 | 74 |
| Drizzle | 250 | 5 |
| Thunderstorms | 52 | 0 |
| Snow grains | 50 | 18 |
| Freezing drizzle | 41 | 2 |
| Moderate snow | 40 | 0 |
| Moderate rain | 27 | 0 |
Publisher’s Note: MDPI stays neutral with regard to jurisdictional claims in published maps and institutional affiliations. |
© 2021 by the authors. Licensee MDPI, Basel, Switzerland. This article is an open access article distributed under the terms and conditions of the Creative Commons Attribution (CC BY) license (http://creativecommons.org/licenses/by/4.0/).
Share and Cite
Kodamana, R.; Fletcher, C.G. Validation of CloudSat-CPR Derived Precipitation Occurrence and Phase Estimates across Canada. Atmosphere 2021, 12, 295. https://doi.org/10.3390/atmos12030295
Kodamana R, Fletcher CG. Validation of CloudSat-CPR Derived Precipitation Occurrence and Phase Estimates across Canada. Atmosphere. 2021; 12(3):295. https://doi.org/10.3390/atmos12030295
Chicago/Turabian StyleKodamana, Rithwik, and Christopher G. Fletcher. 2021. "Validation of CloudSat-CPR Derived Precipitation Occurrence and Phase Estimates across Canada" Atmosphere 12, no. 3: 295. https://doi.org/10.3390/atmos12030295
APA StyleKodamana, R., & Fletcher, C. G. (2021). Validation of CloudSat-CPR Derived Precipitation Occurrence and Phase Estimates across Canada. Atmosphere, 12(3), 295. https://doi.org/10.3390/atmos12030295

